| Скачать .docx | Скачать .pdf |
Доклад: Равносоставленность и задачи на разрезание
Равносоставленность
Геометрическая формулировка:
Изначально теорема была сформулирована следующим образом: В прямоугольном треугольнике площадь квадрата, построенного на гипотенузе, равна сумме площадей квадратов, построенных на катетах.
Алгебраическая формулировка:
В прямоугольном треугольнике квадрат длины гипотенузы равен сумме квадратов длин катетов.
То есть, обозначив длину гипотенузы треугольника через c, а длины катетов через a и b:
a2 + b2 = c2
Обе формулировки теоремы эквивалентны, но вторая формулировка более элементарна, она не требует понятия площади. То есть второе утверждение можно проверить, ничего не зная о площади и измерив только длины сторон прямоугольного треугольника.
Обратная теорема Пифагора:
Для всякой тройки положительных чисел a, b и c, такой, что a2 + b2 = c2 , существует прямоугольный треугольник с катетами a и b и гипотенузой c.
Доказательства:
На данный момент в научной литературе зафиксировано 367 доказательств данной теоремы [1] . Вероятно, теорема Пифагора является единственной теоремой со столь внушительным числом доказательств. Такое многообразие можно объяснить лишь фундаментальным значением теоремы для геометрии.
Разумеется, концептуально все их можно разбить на малое число классов. Самые известные из них: доказательства методом площадей, аксиоматические и экзотические доказательства (например с помощью дифференциальных уравнений).
Через подобные треугольники
Следующее доказательство алгебраической формулировки — наиболее простое из доказательств, строящихся напрямую из аксиом. В частности, оно не использует понятие площади фигуры.
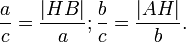
Пусть ABC есть прямоугольный треугольник с прямым углом C. Проведём высоту из C и обозначим её основание через H. Треугольник ACH подобен треугольнику ABC по двум углам. Аналогично, треугольник CBH подобен ABC. Введя обозначения:
![]()
получаем
![]()
Что эквивалентно:
![]()
Сложив, получаем:
![]()
Или:
![]()

Доказательства методом площадей:
Ниже приведённые доказательства, несмотря на их кажущуюся простоту, вовсе не такие простые. Все они используют свойства площади, доказательства которых сложнее доказательства самой теоремы Пифагора.
1) Доказательство через равнодополняемость

1. Расположим четыре равных прямоугольных треугольника так, как показано на рисунке 1.
2. Четырёхугольник со сторонами c является квадратом, так как сумма двух острых углов 90°, а развёрнутый угол — 180°.
3. Площадь всей фигуры равна, с одной стороны, площади квадрата со стороной (a+b), а с другой стороны, сумме площадей четырёх треугольников и площади внутреннего квадрата.
![]()
![]()
![]()
Что и требовалось доказать.
2) Доказательство Евклида
Идея доказательства Евклида состоит в следующем: попробуем доказать, что половина площади квадрата, построенного на гипотенузе, равна сумме половин площадей квадратов, построенных на катетах, а тогда и площади большого и двух малых квадратов равны.

Чертеж к доказательству Евклида

Иллюстрация к доказательству Евклида
Рассмотрим чертеж. На нём мы построили квадраты на сторонах прямоугольного треугольника и провели из вершины прямого угла С луч s перпендикулярно гипотенузе AB, он рассекает квадрат ABIK, построенный на гипотенузе, на два прямоугольника — BHJI и HAKJ соответственно. Оказывается, что площади данных прямоугольников в точности равны площадям квадратов, построенных на соответствующих катетах.
Попытаемся доказать, что площадь квадрата DECA равна площади прямоугольника AHJK Для этого воспользуемся вспомогательным наблюдением: Площадь треугольника с той же высотой и основанием, что и данный прямоугольник, равна половине площади заданного прямоугольника. Это следствие определения площади треугольника как половины произведения основания на высоту. Из этого наблюдения вытекает, что площадь треугольника ACK равна площади треугольника AHK (не изображённого на рисунке), которая, в свою очередь, равна половине площади прямоугольника AHJK.
Докажем теперь, что площадь треугольника ACK также равна половине площади квадрата DECA. Единственное, что необходимо для этого сделать, — это доказать равенство треугольников ACK и BDA (так как площадь треугольника BDA равна половине площади квадрата по указанному выше свойству). Равенство это очевидно, треугольники равны по двум сторонам и углу между ними. Именно — AB=AK,AD=AC — равенство углов CAK и BAD легко доказать методом движения: повернём треугольник CAK на 90° против часовой стрелки, тогда очевидно, что соответствующие стороны двух рассматриваемых треугольников совпадут (ввиду того, что угол при вершине квадрата — 90°).
Рассуждение о равенстве площадей квадрата BCFG и прямоугольника BHJI совершенно аналогично.
Тем самым мы доказали, что площадь квадрата, построенного на гипотенузе, слагается из площадей квадратов, построенных на катетах.
Задачи на разрезание
Задача о треугольнике (разрезанном треугольнике, частях треугольника) — известная оптическая иллюзия. Из одних и тех же частей составлены два прямоугольных треугольника 13×5, но в одном из них есть дыра размером 1×1.
Условие

Перестановка частей
Дан треугольник, составленный из 4 частей (на рис). После перестановки частей при визуальном сохранении изначальных пропорций появляется новый, не занятый ни одной частью, квадрат.
Решение
Секрет в том, что синий и красный треугольники имеют неравные углы, что визуально незаметно из-за слишком малой разницы. Поэтому на первом рисунке создаётся излом внутрь, а на втором — наружу. Это легко проверить наложением и вычислениями.
Площадь каждого треугольника 13×5 не равна площади частей, из которых они составлены.

"Гипотенуза" на самом деле является ломаной линией
Действительно, общая площадь четырёх частей (жёлтой, красной, синей и зелёной) равна 32 кв. ед., а площадь треугольника 13×5 равна 32,5 кв. ед. Отношение длин катетов синего треугольника 5:2, а красного — 8:3, поэтому эти треугольники не являются подобными, а значит, имеют разные углы. Гипотенузы в обоих треугольниках 13×5 на самом деле являются ломаными линиями. Если наложить треугольники 13×5 друг на друга, то между их гипотенузами образуется параллелограмм, в котором и содержится "лишняя" площадь.
По словам Мартина Гарднера, эту задачу изобрёл иллюзионист-любитель из Нью-Йорка Пол Карри в 1953. Однако принцип, заложенный в неё, был известен ещё в 1860-е годы.
Длины сторон фигур из данной задачи (2, 3, 5, 8, 13) являются последовательными числами Фибоначчи. Многие другие задачи на перестановку фигур, подобные этой, основаны на свойствах последовательности чисел Фибоначчи.
Вообще, данные фигуры не являются треугольниками. Они представляют собой соответственно выпуклый и вогнутый четырёхугольники.
Вывод
Равносоставленность позволяет находить множество решений задач и доказательств теорем. Благодаря свойствам равносоставленности стало возможным применение задач на разрезание. А они, в свою очередь, позволяют сократить и упростить ход решений и доказательств, особенно, если речь идет о площадях.