| Скачать .docx | Скачать .pdf |
Реферат: Матрица
Матрицей размерности m x n называется прямоугольная таблица m x n чисел a ij , i=1,..., m, j=1,..., n :

расположенных в m строках и n столбцах. Матрица называется квадратной , если m=n (n - порядок матрицы).
Линейные матричные операции
По определению, чтобы умножить матрицу на число
, нужно умножить на это число все элементы матрицы.
Суммой двух матриц
одинаковой размерности, называется матрица той же размерности, каждый элемент которой равен сумме соответствующих элементов слагаемых.
Произведение матриц определяется следующим образом. Пусть заданы две матрицы A и B , причем число столбцов первой из них равно числу строк второй. Если
,
,
то произведением матриц A и B , называется матрица
,
элементы которой вычисляются по формуле
c ij =a i1 b 1j + a i2 b 2j + ... +a in b nj , i=1, ..., m, j=1, ..., k.
Произведение матриц A и B обозначается AB , т.е. C=AB .
ПРИМЕР 1. Действия с матрицами.
Произведение матриц, вообще говоря, зависит от порядка сомножителей. Если AB=BA , то матрицы A и B называются перестановочными .
ПРИМЕР 2. Проверка перестановочности матриц.
Для квадратных матриц определена единичная матрица - квадратная матрица, все диагональные элементы которой единицы, а остальные - нули:

Единичная матрица чаще всего обозначается буквой E или E n , где n - порядок матрицы. Непосредственным вычислением легко проверить основное свойство единичной матрицы:
AE=EA=A .
Скалярной матрицей называется диагональная матрица с одинаковыми числами на главной диагонали; единичная матрица - частный случай скалярной матрицы.
ПРИМЕР 3. Умножение матрицы на матрицы специального вида
Для квадратных матриц определена операция возведения в целую неотрицательную степень :
A 0 =E, A 1 =A, A 2 =AA, ..., A n =A n-1 A, ... .
ПРИМЕР 4. Возведение матрицы в степень.
Для прямоугольных матриц определена операция транспонирования . Рассмотрим произвольную прямоугольную матрицу A . Матрица, получающаяся из матрицы A заменой строк столбцами, называется транспонированной по отношению к матрице и обозначается A T :
,
.
Вернысоотношения:
(AT
)T
=A;
(A+B)T
=AT
+BT
;
(AB)T
=BT
AT
.
Квадратная матрица A , для которой A T =A , называется симметричной . Элементы такой матрицы, расположенные симметрично относительно главной диагонали, равны.
Квадратная матрица
A
называется обратимой
, если существует такая матрица X
, что
AX=XA=E
.
Матрица X
называется обратной
к матрице A
и обозначается A -1
, т.е.
A A -1
=A -1
A=E
.
Известно, что если матрица A невырождена (т.е ее определитель отличен от нуля), то у нее существует обратная матрица A -1 .
Верно соотношение: (A-1 )T =(AT ) -1 .
ПРИМЕР 5. Обращение матрицы.
Квадратная матрица U , для которой U -1 =U T , называется ортогональной матрицей.
Свойства ортогональной матрицы:
· Модуль определителя ортогональной матрицы равен единице.
· Сумма квадратов элементов любого столбца ортогональной матрицы равна единице.
· Сумма произведений элементов любого столбца ортогональной матрицы на соответствующие элементы другого столбца равна нулю. Такими же свойствами обладают строки ортогональной матрицы
Матрицей размерности m x n называется прямоугольная таблица m x n чисел a ij , i=1,..., m, j=1,..., n :

расположенных в m строках и n столбцах. Матрица называется квадратной , если m=n (n - порядок матрицы).
Линейные матричные операции
По определению, чтобы умножить матрицу на число
, нужно умножить на это число все элементы матрицы.
Суммой двух матриц
одинаковой размерности, называется матрица той же размерности, каждый элемент которой равен сумме соответствующих элементов слагаемых.
Произведение матриц определяется следующим образом. Пусть заданы две матрицы A и B , причем число столбцов первой из них равно числу строк второй. Если
,
,
то произведением матриц A и B , называется матрица
,
элементы которой вычисляются по формуле
c ij =a i1 b 1j + a i2 b 2j + ... +a in b nj , i=1, ..., m, j=1, ..., k.
Произведение матриц A и B обозначается AB , т.е. C=AB .
ПРИМЕР 1. Действия с матрицами.
Произведение матриц, вообще говоря, зависит от порядка сомножителей. Если AB=BA , то матрицы A и B называются перестановочными .
ПРИМЕР 2. Проверка перестановочности матриц.
Для квадратных матриц определена единичная матрица - квадратная матрица, все диагональные элементы которой единицы, а остальные - нули:

Единичная матрица чаще всего обозначается буквой E или E n , где n - порядок матрицы. Непосредственным вычислением легко проверить основное свойство единичной матрицы:
AE=EA=A .
Скалярной матрицей называется диагональная матрица с одинаковыми числами на главной диагонали; единичная матрица - частный случай скалярной матрицы.
ПРИМЕР 3. Умножение матрицы на матрицы специального вида
Для квадратных матриц определена операциявозведения в целую неотрицательную степень :
A 0 =E, A 1 =A, A 2 =AA, ..., A n =A n-1 A, ... .
ПРИМЕР 4. Возведение матрицы в степень.
Для прямоугольных матриц определена операция транспонирования . Рассмотрим произвольную прямоугольную матрицу A . Матрица, получающаяся из матрицы A заменой строк столбцами, называется транспонированной по отношению к матрице и обозначается A T :
,
.
Вернысоотношения:
(AT
)T
=A;
(A+B)T
=AT
+BT
;
(AB)T
=BT
AT
.
Квадратная матрица A , для которой A T =A , называется симметричной . Элементы такой матрицы, расположенные симметрично относительно главной диагонали, равны.
Квадратная матрицаA
называется обратимой
, если существует такая матрица X
, что
AX=XA=E
.
Матрица X
называется обратной
к матрице A
и обозначается A -1
, т.е.
A A -1
=A -1
A=E
.
Известно, что если матрица A невырождена (т.е ее определитель отличен от нуля), то у нее существует обратная матрица A -1 .
Верно соотношение: (A-1 )T =(AT ) -1 .
ПРИМЕР 5. Обращение матрицы.
Квадратная матрицаU , для которой U -1 =U T , называется ортогональной матрицей.
Свойства ортогональной матрицы:
· Модуль определителя ортогональной матрицы равен единице.
· Сумма квадратов элементов любого столбца ортогональной матрицы равна единице.
· Сумма произведений элементов любого столбца ортогональной матрицы на соответствующие элементы другого столбца равна нулю. Такими же свойствами обладают строки ортогональной матрицы
Матрица в математике, система элементов a
ij
(чисел, функций или иных величин, над которыми можно производить алгебраические операции), расположенных в виде прямоугольной схемы. Если схема имеет m
строк и n
столбцов, то говорят о (m
´ n
)-матрице. Обозначения:
или
.
Короче:
,
. Наряду с конечными Матрица (в математике) рассматриваются Матрица (в математике) с бесконечным числом строк или столбцов.
Матрица (в математике), состоящая из одной строки, называется строкой, из одного столбца - столбцом. Если m
= n
, то Матрица (в математике) называется квадратной, а число n
- её порядком. Квадратная Матрица (в математике), у которой отличны от нуля лишь диагональные элементы ai
= aii
называется диагональной и обозначается diag(a1
, ..., an
). Если все ai
= a, получают скалярную Матрица (в математике) При a = 1 Матрица (в математике) называется единичной и обозначается Е
. Матрица (в математике), все элементы которой равны нулю, называется нулевой.
Переставив в Матрица (в математике) строки со столбцами, получают транспонированную Матрица (в математике)A’
, или A
T
. Если элементы Матрица (в математике) заменяют на комплексно-сопряжённые, получают комплексно-сопряжённую Матрица (в математике) А. Если элементы транспонированной Матрица (в математике)A’
заменяют на комплексно-сопряжённые, то получают Матрица (в математике)А
*, называется сопряжённой с А
. Определитель
квадратной Матрица (в математике)А
обозначается ½A
½ или det A
. Минором k
-го порядка Матрица (в математике)А
называется определитель k
-го порядка, составленный из элементов, находящихся на пересечении некоторых k
строк и k
столбцов Матрица (в математике)A
в их естественном расположении. Рангом Матрица (в математике)А
называется максимальный порядок отличных от нуля миноров матрицы.
Действия над матрицами. Произведением прямоугольной (m
´ n
)-матрицы А
на число ее называют Матрица (в математике), элементы которой получены из элементов a
ij
умножением на число a:

Сумма определяется для прямоугольных Матрица (в математике) одинакового строения, и элементы суммы равны суммам соответствующих слагаемых, то есть

Умножение Матрица (в математике) определяется только для прямоугольных Матрица (в математике) таких, что число столбцов первого множителя равно числу строк второго. Произведением (m
´ р
)-матрицы А
на (р
´ n
)-матрицу В
будет (m
´ n
)-матрица С
с элементами
cij
= ai1
b1j
+ ai2
b2j
+ ... + aip
bpj
,
i
= 1, ..., m
, j
= 1, ..., n
.
Введённые три действия над Матрица (в математике) обладают свойствами, близкими к свойствам действий над числами. Исключением является отсутствие коммутативного закона при умножении Матрица (в математике): равенство AB
= BA
может не выполняться. Матрицы А
и В
называются перестановочными, если AB
= BA
. Кроме того, произведение двух Матрица (в математике) может равняться нулевой Матрица (в математике), хотя каждый сомножитель отличен от нулевой. Справедливы правила:
![]()
Определитель произведения двух квадратных Матрица (в математике) равен произведению определителей перемножаемых Матрица (в математике)
Часто удобно разбивать Матрица (в математике) на клетки, являющиеся Матрица (в математике) меньших размеров, проводя разделительные линии через всю Матрица (в математике) слева направо или сверху вниз. При умножении такой так называемой клеточной Матрица (в математике) на число, нужно умножить все её клетки на то же число. При надлежащем согласовании разбиений действия сложения и умножения клеточных Матрица (в математике) осуществляются так, как будто вместо клеток стоят числа.
Квадратная Матрица (в математике)А
= (aij
) называется неособенной, или невырожденной, если её определитель не равен нулю; в противном случае Матрица (в математике) называется особенной (вырожденной). Матрица (в математике)А
-1
называется обратной к квадратной Матрица (в математике)А
, если AA-
1
= E
, при этом
. Неособенность Матрица (в математике)А
есть необходимое и достаточное условие существования обратной Матрица (в математике), которая при этом оказывается единственной и перестановочной с исходной Матрица (в математике) Верна формула: (AB
)-1
= B
-1
A
-1
.
Большой интерес приобретает обобщённая обратная (или псевдообратная) Матрица (в математике)А
+
, определяемая как для любой прямоугольной Матрица (в математике), так и для особенной квадратной. Эта Матрица (в математике) определяется из четырёх равенств:
AA
+
A
= A
, А
+
АА
+
= А
, AA
+
= (AA
+
)*, А
+
А
= (А
+
А
)*.
Квадратные матрицы. Степенью An
Матрица (в математике)А
называется произведение n
сомножителей, равных А
. Выражение видаa0
Аn
+ a1
An-1
+ ... + an
E
, где a0
, a1
, ..., an
- числа, называется значением полинома a0
tn
+ ai
tn-1
+ ... + an
E
от квадратной Матрица (в математике)А
. Правила действий над полиномами от данной Матрица (в математике)А
ничем не отличаются от правил действий над алгебраическими многочленами. Можно рассматривать и аналитические функции от Матрица (в математике)В
частности, если
![]()
есть сходящийся на всей комплексной плоскости ряд (например,
), то и бесконечный ряд
оказывается сходящимся при любой Матрица (в математике)А
, его сумму естественно считать равной f(A)
. Если же ряд f(t)
сходится в некотором конечном круге сходимости, то f(A)
задаётся этим рядом для достаточно «малых» Матрица (в математике)
Аналитические функции от Матрица (в математике) играют большую роль в теории дифференциальных уравнений. Так, система обыкновенных дифференциальных уравнений с постоянными коэффициентами, записанных в матричных обозначениях в виде
![]()
(здесь Х
- столбец из неизвестных функций), имеет решение х
= e
At
C
, где С
- столбец из произвольных постоянных.
Ненулевой столбец Х
такой, что AX
= lХ
, называется собственным вектором Матрица (в математике)А
. В этом равенстве коэффициент l может быть лишь одним из корней многочлена

который называется характеристическим многочленом Матрица (в математике)А
. Эти корни называются собственными значениями, или характеристическими числами, Матрица (в математике)А
. Коэффициенты характеристического многочлена выражаются через суммы некоторых миноров Матрица (в математике) А. В частности, p1
= a11
+ ... + a1n
= SpA
(след A
),
. Справедливо соотношение Кэли - Гамильтона: если j(f
) есть характеристический многочлен Матрица (в математике)А
, то j(A
) = 0, так что Матрица (в математике)А
является «корнем» своего характеристического многочлена.
Матрица (в математике)А
называется подобной Матрица (в математике) В, если существует такая неособенная Матрица (в математике)С
, что В
= С-1
AС
. Легко проверяется, что подобные Матрица (в математике) имеют одинаковые характеристические многочлены.
Исчисление матриц. Матрица (в математике) - полезный аппарат для исследования многих задач теоретической и прикладной математики. Одной из важнейших задач является задача нахождения решения систем линейных алгебраических уравнений. В матричных обозначениях такие системы записываются в виде
AX
= F
,
где A
есть Матрица (в математике) коэффициентов, Х
- искомое решение, записанное в виде столбца из n
элементов, F
- столбец свободных членов из m
элементов. Если А
- квадратная неособенная Матрица (в математике), то система имеет единственное решение Х
= A -1
F
. Если A
прямоугольная (m
´ n
-матрица ранга k
, то решение может не существовать или быть не единственным. В случае несуществования решения имеет смысл обобщённое решение, дающее минимум сумме квадратов невязок (см. Наименьших квадратов метод
). При отсутствии единственности точного или обобщённого решения часто выбирают нормальное решение, то есть решение с наименьшей суммой квадратов компонент. Нормальное обобщённое решение находится по формуле Х
= A
+ F
. Наиболее важен случай переопределённой системы: k
= n
< m
. В этом случае обобщённое решение единственно. При k
= m
< n
(недоопределённая система) точных решений бесконечно много и формула даёт нормальное решение.
Не менее важной для многочисленных приложений (в теории дифференциальных уравнений, в теории малых колебаний, в квантовой механике и т. д.) является задача решения полной или частичной проблемы собственных значений. Здесь ищутся все или часть собственных значений Матрица (в математике) и принадлежащие им собственные или корневые (некоторые обобщения собственных) векторы. К этой задаче близко примыкает и обобщённая проблема собственных значений, в которой ищутся числа и векторы такие, что AX
= lBX
(А
и В
- заданные Матрица (в математике)), и многие родственные проблемы.
С полной проблемой непосредственно связана также задача о приведении преобразованиями подобия квадратной Матрица (в математике) к каноническjй форме. Такой формой будет diag (l1
, ..., ln
), если Матрица (в математике) имеет n
различных собственных значений l1
, ..., ln
, или форма Жордана [см. Нормальная (жорданова) форма матрицы
] в общем случае.
Ввиду большой практической важности поставленных задач для их численного решения имеется большое число различных методов. Наряду с нахождением численного решения важно оценивать качество найденного решения и исследовать устойчивость решаемой задачи.
Матрицы специального типа. Существует большое число различных типов Матрица (в математике) в зависимости от выполнения различных соотношений между элементами.
Некоторые типы естественно возникают в приложениях. Приведённая таблица даёт ряд важных типов квадратных Матрица (в математике)
Следует отметить также ленточные Матрица (в математике) - такие Матрица (в математике), ненулевые элементы которых могут располагаться на главной диагонали и на диагоналях, соседних с главной, например, двухдиагональные и трёхдиагональные Матрица (в математике) Не менее важны специальные типы Матрица (в математике), употребляемых в качестве вспомогательных. Это элементарные Матрица (в математике) - Матрица (в математике), отличающиеся от единичной одним элементом; Матрица (в математике) вращения и отражения.
Имеются унитарные аналоги Матрица (в математике) вращения и отражения; правые (левые) треугольные Матрица (в математике) - Матрица (в математике), у которых равны нулю элементы под (над) главной диагональю; правые (левые) почти треугольные Матрица (в математике) (Матрица (в математике) типа Хессенберга) - Матрица (в математике), у которых равны нулю элементы под (над) диагональю, соседней снизу (сверху) с главной.
Преобразование матриц. Численные методы решения систем линейных уравнений основываются обычно на преобразовании систем посредством цепочки левых умножений на подходящие вспомогательные Матрица (в математике) с тем, чтобы перейти к легко решаемой системе. В качестве вспомогательных для вещественных Матрица (в математике) употребляются элементарные Матрица (в математике), Матрица (в математике) вращения или Матрица (в математике) отражения. Система с неособенной Матрица (в математике) приводится либо к системе с треугольной Матрица (в математике), либо с ортогональной. В теоретическом аспекте это равносильно представлению Матрица (в математике) коэффициентов в виде произведения двух треугольных Матрица (в математике) (при выполнении некоторых дополнительных условий) или в виде произведения треугольной на ортогональную (в том или другом порядке).
Для переопределённой системы умножением слева на цепочку Матрица (в математике) вращения или отражения можно прийти к системе с треугольной Матрица (в математике) порядка n
, решение которой даёт обобщённое решение исходной системы.
Для решения проблемы собственных значений, раньше чем применять наиболее эффективные итерационные методы, целесообразно подобно преобразовать Матрица (в математике) общего вида к Матрица (в математике) типа Хессенберга или к трёх диагональной в случае симметрии. Этого можно добиться за счёт цепочки подобных преобразований элементарными Матрица (в математике), Матрица (в математике) вращения или Матрица (в математике) отражения.
Историческая справка. Понятие Матрица (в математике) было введено в работах У. Гамильтона
и А. Кэли
в середине 19 века. Основы теории созданы К. Вейерштрассом
и Ф. Фробениусом
(2-я половина 19 века и начало 20 века). И. А. Лаппо-Данилевский
разработал теорию аналитических функций от многих матричных аргументов и применил эту теорию к исследованию систем дифференциальных уравнений с аналитическими коэффициентами. Матричные обозначения получили распространение в современной математике и её приложениях. Исчисление Матрица (в математике) развивается в направлении построения эффективных алгоритмов для численного решения основных задач.
Лит.:
Смирнов В. И., Курс высшей математики, 9 изд., т. 3, ч. 1, Матрица (в математике), 1967; Мальцев А. И., Основы линейной алгебры, 3 изд., Матрица (в математике), 1970; Гантмахер Ф. Р., Теория матриц, 3 изд., Матрица (в математике), 1967; Уилкинсон Дж. Х., Алгебраическая проблема собственных значений, перевод с английского, Матрица (в математике), 1970; Фаддеев Д. К., Фаддеева В. Н., Вычислительные методы линейной алгебры, 2 изд., Матрица (в математике) - Л., 1963; Воеводин В. В., Численные методы алгебры. Теория и алгорифмы, Матрица (в математике), 1966; Лаппо-Данилевский И. А., Применение функций от матриц к теории линейных систем обыкновенных дифференциальных уравнений, Матрица (в математике), 1957; Фрезер Р. А., Дункан В., Коллар А., Теория матриц и её приложения к дифференциальным уравнениям и динамике, перевод с английского, Матрица (в математике), 1950; Вазов В., Форсайт Дж., Разностные методы решения дифференциальных уравнений в частных производных, перевод с английского, Матрица (в математике), 1963.
В. Н. Фаддеева.
1. Сложение и вычитание матриц:
Сложение и вычитание матриц - одно из простейших действий над ними, т.к. необходимо сложить или отнять соответствующие элементы двух матриц. Главное помнить, что складывать и вычитать можно только матрицы одинаковых размеров, т.е. тех, у которых одинаковое количество строк и одинаковое количество столбцов.
Например, пусть даны две матрицы равного размера 2х3, т.е. с двумя строками и тремя столбцами:

Сумма двух матриц:

Разность двух матриц:

2. Умножение матрицы на число:
Умножение матрицы на число - процесс, заключающийся в умножении числа на каждый элемент матрицы.
Например, пусть дана матрица А:

Умножим число 3 на матрицу А:

3. Умножение двух матриц:
Умножение двух матриц возможно только при условии, что число столбцов первой матрицы должно равняться числу строк второй. Новая матрица, которая получится при умножении матриц, будет состоять из количества строк, равное количеству столбцов первой матрицы и количества столбцов, равное количеству строк второй матрицы.
Предположим есть две матрицы размерами 3х4 и 4х2, т.е. в первой матрице 3 строки и 4 столбца, а во второй матрице 4 строки и 2 столбца. Т.к. количество столбцов первой матрицы (4), равно количеству строк второй матрицы (4), то матрицы можно перемножить, новая матрица будет иметь размер: 3х2, т.е. 3 строки и 2 столбца.
Можно представить все это в виде схемы:

После того как Вы определились с размером новой матрицы, которая получится при умножении двух матриц, можно приступить к заполнению этой матрицы элементами. Если Вам надо заполнить первую строчку первого столбца этой матрицы, то надо каждый элемент первой строки первой матрицы умножать на каждый элемент первого столбца второй матрицы, если будем заполнять вторую строку первого столбца соответственно будем брать каждый элемент второй строки первой матрицы и умножать на первый столбец второй матрицы и т.д.
Посмотрим как это выглядит на схеме:

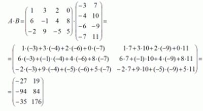
Посмотрим как это выглядит на примере:
Даны две матрицы:

Найдем произведение этих матриц:

4. Деление матриц:
Деление матриц - действие над матрицами, которое в этом понятии не встретишь в учебниках. Но если есть необходимость разделить матрицу А на матрицу В, то в этом случае используют одно из свойств степеней:

Согласно этому свойству разделим матрицу А на матрицу В:

В результате задача о делении матриц сводиться к умножению обратной матрицы матрице В на матрицу А.
Задачу об обратной матрице рассмотрим в следующей статье.
Итак мы рассмотрели действия над матрицами.