| Скачать .docx | Скачать .pdf |
Реферат: Контрольная работа по Эконометрике
1. Построим поле корреляции (на отдельном листе) и сформулируем гипотезу о форме связи, предполагая, что генеральное уравнение регрессии – линейное: ![]()

2. Найдем оценки b0
и b1
параметров модели парной линейной регрессии
по следующим формулам:

![]()
Тогда уравнение эмпирической линии регрессии (линии тренда) имеет вид:
= 369,3142 + 0,0443![]()
3. С надежностью 0,95 проверим значимость оценок b0
и b1
теоретических коэффициентов регрессии
с помощью t-статистики Стьюдента и сделаем соответствующие выводы о значимости этих оценок.
Для уровня значимости a=0,05 и числа степеней свободы к=n-2=12-2=10 критерий Стьюдента равен
.
Дисперсии средние квадратичные отклонения коэффициентов b0 и b1 уравнения регрессии определим из равенств с использованием результатов табл. 2.

![]()

![]()
Для определения статистической значимости коэффициентов b0 и b1 найдем t – статистики Стьюдента:
![]()
![]()
Сравнение расчетных и табличных величин критерия Стьюдента показывает, что
или
и
или 0.4244<2,2280, т.е. с надежностью 0,95 оценка b0
теоретического коэффициента регрессии b0
статистически незначима, оценка b1
теоретического коэффициента регрессии b1
статистически значима.
4. С надежностью 0,95 определим интервальные оценки теоретических коэффициентов
регрессии и сделаем соответствующие выводы о значимости этих оценок.
Доверительные интервалы для этих коэффициентов равны:

Подставив числовые значения, значения коэффициентов b0 и b1 , их средние квадратичные отклонения и значение для t имеем:
![]()
Так как точка 0 (ноль) лежит внутри доверительного интервала, то интервальная оценка коэффициента b1 статистически незначима.
5. Определим коэффициент детерминации R2 и коэффициент корреляции rxy и сделаем соответствующие выводы о качестве уравнения регрессии.
Определяем дисперсии и средние квадратичные отклонения независимого X и результативного Y факторов:
![]()
![]()
![]()
![]()
Тесноту связи между переменными X и Y определяем через ковариацию и коэффициент корреляции.
![]()
![]()
Величина rxy =0,1330 , близка к 1, что характеризует слабую линейную связь между независимым и результативным признаками.
Для определения коэффициента детерминации воспользуемся результатами расчетов таблицы 2.
По таблице 2 найдем:
· общую ошибку (столбец 11):
![]()
· ошибку объясняемую регрессией (столбец 13)
![]()
· остаточную ошибку (столбец 9)
![]()
Причем имеем TSS=RSS+ESS
Тогда коэффициент детерминации равен
![]()
Полученная величина коэффициента детерминации свидетельствует о том, что необъясненная ошибка составляет более 98 процентов от общей ошибки.
6. Проверим при уровне значимости 0,05 значимость уравнения регрессии с помощью F статистики Фишера и сделаем соответствующие выводы о значимости уравнения регрессии.
Статистика Фишера вычисляется по формуле:
.
Имеем F = (1481,071/82232,60)·10=0,1801
Найдем для заданной доверительной вероятности 0,05 критическое значение статистики Фишера:
По таблице
.
Имеем F< Fкр , поэтому уравнение незначимо с надежностью 0,95.
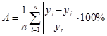
7. Оценим с помощью средней ошибки аппроксимации качество уравнения регрессии.
![]() |
A=14,934%.
Судя по величине средней ошибки, качество уравнения регрессии среднее.
8. Рассчитаем прогнозное значение результата Yp, если прогнозное значение фактора Xр увеличится на 15% от его среднего уровня.
Хр = 1,15*Хср = 1,15*1215,8333 = 1398,2083.
Прогнозируемую величину yp определяем из равенства:
![]()
9. С уровнем значимости 0,05 определим интервальную оценку условного математического ожидания Уp для вычислинного значения Хp.
Дисперсия математического ожидания прогнозируемой величины yp равна

Среднее квадратичное отклонение математического ожидания прогнозируемой величины равно
![]()
С уровнем значимости a=0,05 доверительный интервал для условного математического ожидания yp при данном xp равен:
![]()
![]()
10. С надежностью 0,95 определим доверительный интервал значения Уp для вычислинного значения Хp
Имеем 
Дисперсия конкретного значения прогнозируемой величины yp равна

Среднее квадратичное отклонение ожидаемой прогнозируемой величины yp равно
![]()
Тогда получим,
![]()
11. Найдем основные регрессионные характеристики используя функцию Регрессия (У,Х) из надстройки "Анализ данных". Уровень надежности установим 95%.
| ВЫВОД ИТОГОВ | ||||||
| Регрессионная статистика | ||||||
| Множественный R | 0,133012 | |||||
| R-квадрат | 0,017692 | |||||
| Нормированный R-квадрат | -0,080539 | |||||
| Стандартная ошибка | 90,68219 | |||||
| Наблюдения | 12 | |||||
| Дисперсионный анализ | ||||||
| df | SS | MS | F | Значимость F | ||
| Регрессия | 1 | 1481,071 | 1481,071 | 0,180108 | 0,680266 | |
| Остаток | 10 | 82232,6 | 8223,26 | |||
| Итого | 11 | 83713,67 | ||||
| Коэффициенты | Стандартная ошибка | t-статистика | P-Значение | Нижние 95% | Верхние 95% | |
| Y-пересечение | 369,3142 | 129,5655 | 2,850405 | 0,017238 | 80,62417 | 658,0043 |
| Переменная X 1 | 0,044293 | 0,104368 | 0,424391 | 0,680266 | -0,188253 | 0,276838 |
Таблица 2
| № | x | y | xy | x^2 | y^2 | ||||||||
| 1 | 2 | 3 | 4 | 5 | 6 | 7 | 8 | 9 | 10 | 11 | 12 | 13 | 14 |
| 1 | 1305 | 420 | 548100 | 1703025,0 | 176400 | 427,116 | -7,12 | 50,638 | 7951 | 10,03 | 3,949 | 15,598 | 0,017 |
| 2 | 1440 | 512 | 737280 | 2073600,0 | 262144 | 433,096 | 78,90 | 6225,9 | 50251 | 7891,36 | 9,929 | 98,584 | 0,154 |
| 3 | 1230 | 430 | 528900 | 1512900,0 | 184900 | 423,794 | 6,21 | 38,512 | 201 | 46,69 | 0,627 | 0,394 | 0,014 |
| 4 | 1275 | 230 | 293250 | 1625625,0 | 52900 | 425,787 | -195,8 | 38332,6 | 3501 | 37313,4 | 2,621 | 6,868 | 0,851 |
| 5 | 1700 | 505 | 858500 | 2890000,0 | 255025 | 444,612 | 60,39 | 3646,75 | 234417 | 6696,69 | 21,445 | 459,888 | 0,0120 |
| 6 | 1480 | 402 | 594960 | 2190400,0 | 161604 | 434,867 | -32,87 | 1080,26 | 69784 | 448,03 | 11,701 | 136,905 | 0,082 |
| 7 | 1305 | 430 | 561150 | 1703025,0 | 184900 | 427,116 | 2,88 | 8,316 | 7951 | 46,69 | 3,949 | 15,598 | 0,007 |
| 8 | 895 | 400 | 358000 | 801025,0 | 160000 | 408,956 | -8,96 | 80,212 | 102904 | 536,69 | -14,211 | 201,940 | 0,022 |
| 9 | 775 | 410 | 317750 | 600625,0 | 168100 | 403,641 | 6,36 | 40,436 | 19434 | 173,36 | -19,526 | 381,251 | 0,016 |
| 10 | 1000 | 585 | 585000 | 1000000,0 | 342225 | 413,607 | 171,39 | 29375,6 | 46584 | 26190,0 | -9,560 | 93,390 | 0, 293 |
| 11 | 1035 | 370 | 382950 | 1071225,0 | 136900 | 415,157 | -45,16 | 2039,16 | 32701 | 2826,69 | -8,010 | 64,153 | 0,122 |
| 12 | 1150 | 384 | 441600 | 1322500,0 | 147456 | 420,251 | -36,25 | 1314,11 | 4334 | 1534,03 | -2,916 | 8,503 | 0,094 |
| ∑ | 14590 | 5078 | 6207440 | 18493950,0 | 2232554 | 5078,0 | 0,0 | 82232,6 | 754942 | 83713,7 | 0,0000 | 1481,071 | 1,7921 |
| Ср
. знач |
1215,833 | 423,1667 | 517286,67 | 1541162,5 | 186046,17 | - | - | - | - | 6976,1 | - | 123,4226 | 0,1493 |
