| Скачать .docx | Скачать .pdf |
Реферат: Автокорреляция
Содержание
Введение
1. Суть и причины автокорреляции
2. Обнаружение автокорреляции
3. Последствия автокорреляции
4. Методы устранения
4.1 Определение
на основе статистики Дарбина-Уотсона
Заключение
Список использованной литературы
Введение
Модели, построенные по данным, характеризующим один объект за ряд последовательных моментов (периодов), называются моделями временных рядов. Временной ряд – это совокупность значений какого-либо показателя за несколько последовательных моментов или периодов. Применение традиционных методов корреляционно-регрессионного анализа для изучения причинно-следственных зависимостей переменных, представленных в форме временных рядов, может привести к ряду серьезных проблем, возникающих как на этапе построения, так и на этапе анализа эконометрических моделей. В первую очередь эти проблемы связаны со спецификой временных рядов как источника данных в эконометрическом моделировании.
Предполагается, что в общем случае каждый уровень временного ряда содержит три основные компоненты: тенденцию (Т), циклические или сезонные колебания (S) и случайную компоненту (E). Если временные ряды содержат сезонные или циклические колебания, то перед проведением дальнейшего исследования взаимосвязи необходимо устранить сезонную или циклическую компоненту из уровней каждого ряда, поскольку ее наличие приведет к завышению истинных показателей силы и связи изучаемых временных рядов в случае, если оба ряда содержат циклические колебания одинаковой периодичности, либо к занижению этих показателей в случае, если сезонные или циклические колебания содержит только один из рядов или периодичность колебаний в рассматриваемых временных рядах различна. Устранение сезонной компоненты из уровней временных рядов можно проводить в соответствии с методикой построения аддитивной и мультипликативной моделей. Если рассматриваемые временные ряды имеют тенденцию, коэффициент корреляции по абсолютной величине будет высоким, что в данном случае есть результат того, что х и у зависят от времени, или содержат тенденцию. Для того чтобы получить коэффициенты корреляции, характеризующие причинно-следственную связь между изучаемыми рядами, следует избавиться от так называемой ложной корреляции, вызванной наличием тенденции в каждом ряде. Влияние фактора времени будет выражено в корреляционной зависимости между значениями остатков
за текущий и предыдущие моменты времени, которая получила название «автокорреляция в остатках».
1.Суть и причины автокорреляции
Автокорреляция — это взаимосвязь последовательных элементов временного или пространственного ряда данных. В эконометрических исследованиях часто возникают и такие ситуации, когда дисперсия остатков постоянная, но наблюдается их ковариация. Это явление называют автокорреляцией остатков.
Автокорреляция остатков чаще всего наблюдается тогда, когда эконометрическая модель строится на основе временных рядов. Если существует корреляция между последовательными значениями некоторой независимой переменной, то будет наблюдаться и корреляция последовательных значений остатков. Автокорреляция может быть также следствием ошибочной спецификации эконометрической модели. Кроме того, наличие автокорреляции остатков может означать, что необходимо ввести в модель новую независимую переменную.
Автокорреляция в остатках есть нарушение одной из основных предпосылок МНК – предпосылки о случайности остатков, полученных по уравнению регрессии. Один из возможных путей решения этой проблемы состоит в применении к оценке параметров модели обобщенного МНК.
Среди основных причин, вызывающих появление автокорреляции, можно выделить ошибки спецификации, инерцию в изменении экономических показателей, эффект паутины, сглаживание данных.
Ошибки спецификации. Неучет в модели какой-либо важной объясняющей переменной либо неправильный выбор формы зависимости обычно приводит к системным отклонениям точек наблюдений от линии регрессии, что может обусловить автокорреляцию.
Инерция. Многие экономические показатели (например, инфляция, безработица, ВНП и т.п.) обладают определенной цикличностью, связанной с волнообразностью деловой активности. Действительно, экономический подъем приводит к росту занятости, сокращению инфляции, увеличению ВНП и т.д. Этот рост продолжается до тех пор, пока изменение конъюктуры рынка и ряда экономических характеристик не приведет к замедлению роста, затем остановке и движению вспять рассматриваемых показателей. В любом случае эта трансформация происходит не мгновенно, а обладает определенной инертностью.
Эффект паутины. Во многих производственных и других сферах экономические показатели реагируют на изменение экономических условий с запаздыванием (временным лагом). Например, предложение сельскохозяйственной продукции реагирует на изменение цены с запаздыванием (равным периоду созревания урожая). Большая цена сельскохозяйственной продукции в прошедшем году вызовет (скорее всего) ее перепроизводство в текущем году, а следовательно, цена на нее снизится и т.д.
Сглаживание данных. Зачастую данные по некоторому продолжительному временному периоду получают усреднением данных по составляющим его подынтервалам. Это может привести к определенному сглаживанию колебаний, которые имелись внутри рассматриваемого периода, что в свою очередь может послужить причиной автокорреляции.
2.Обнаружение автокорреляции
В силу неизвестности значений параметров уравнения регрессии неизвестными будут также и истинные значения отклонений
,t=1,2…T. Поэтому выводы об их независимости осуществляются на основе оценок
,t=1,2…T, полученные из эмпирического уравнения регрессии. Рассмотрим возможные методы определения автокорреляции.
2.1.Графический метод
Существует несколько вариантов графического определения автокорреляции. Один из них, указывающий отклонения
с моментами t их получении (их порядковыми номерами i), приведен на рис. 2.1.Это так называемые последовательно-временные графики. В этом случае по оси абсцисс обычно откладывают либо время (момент) получения статистических данных, либо порядковый номер наблюдения, а по оси ординат- отклонения
(либо оценки отклонений
)
Рис.2.1.
Естественно предположить, что на рис 2.1. а-г имеются определенные связи между отклонениями, т.е. автокорреляция имеет место. Отсутствие зависимости на рис. д скорее всего свидетельствует об отсутствии автокорреляции.
Например, на рис. 2.1.б отклонения вначале в основном отрицательные, затем положительные, потом снова отрицательные. Это свидетельствует о наличии между отклонениями определенной зависимости.
2.2. Метод рядов
Этот метод достаточно прост: последовательно определяются знаки отклонений
,t=1,2…T. Например,
(-----)(+++++++)(---)(++++)(-),
Т.е. 5 «-», 7 «+», 3 «-», 4 «+», 1 «-» при 20 наблюдениях.
Ряд определяется как непрерывная последовательность одинаковых знаков. Количество знаков в ряду называется длиной ряда.
Визуальное распределение знаков свидетельствует о неслучайном характере связей между отклонениями. Если рядов слишком мало по сравнению с количеством наблюдений n, то вполне вероятна положительная автокорреляция. Если же рядов слишком много, то вероятна отрицательная автокорреляция .
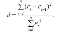
2.3 Критерий Дарбина-Уотсона
Наиболее известным критерием обнаружения автокорреляции первого порядка является критерий Дарбина- Уотсона и расчет величины
(2.3.1)
Согласно (2.3.1) величина d есть отношение суммы квадратов разностей последовательных значений остатков к остаточной сумме квадратов по модели регрессии. Значение критерия Дарбина – Уотсона указывается наряду с коэффициентом детерминации, значениями t- и F- критериев.
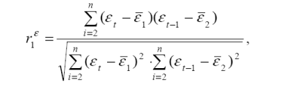
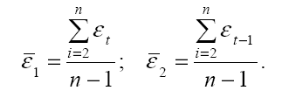
Коэффициент автокорреляции остатков первого порядка определяется как

где
(2.3.2)
Между критерием Дарбина–Уотсона и коэффициентом автокорреляции остатков первого порядка имеет место следующее соотношение:
![]()
Таким образом, если в остатках существует полная положительная автокорреляция и
= 1, то d
= 0. Если в остатках полная отрицательная автокорреляция, то
= – 1 и, следовательно, d =
4. Если автокорреляция остатков отсутствует, то
= 0 и d
= 2. Следовательно, 0 <d <4.
Алгоритм выявления автокорреляции остатков на основе критерия Дарбина–Уотсона следующий. Выдвигается гипотеза Н0 об отсутствии автокорреляции остатков. Альтернативные гипотезы
и
состоят, соответственно, в наличии положительной или отрицательной автокорреляции в остатках. Далее по таблице (приложение А) определяются критические значения критерия Дарбина–Уотсона
и
для заданного числа наблюдений n
, числа независимых переменных модели k
и уровня значимости a
. По этим значениям числовой промежуток [0;4] разбивают на пять отрезков. Принятие или отклонение каждой из гипотез с вероятностью (1–a
) рассматривается на рис. 2.3.

Рис. 2.3.1. Механизм проверки гипотезы о наличии автокорреляции остатков
Если фактическое значение критерия Дарбина – Уотсона попадает в зону неопределенности, то на практике предполагают существование автокорреляции остатков и отклоняют гипотезу H0.
Пример 2.3.1. Проверка гипотезы о наличии автокорреляции в остатках.
Исходные данные, значения
и результаты промежуточных расчетов
представлены в табл. 2.3.1.
Таблица 2.3.1. - Расчет критерия Дарбина–Уотсона для модели зависимости потребления от дохода

Фактическое значение критерия Дарбина–Уотсона для этой модели составляет d = 4,1233/1,6624 = 2,48. Сформулируем гипотезы:
Н0 – в остатках нет автокорреляции;
Н1 – в остатках есть положительная автокорреляция;
Н1* – в остатках есть отрицательная автокорреляция.
Зададим уровень значимости a = 0,05. По таблицам значений критерия Дарбина–Уотсона определим для числа наблюдений n = 7 и числа независимых переменных модели k ' = 1 критические d L = 0,700 и d U = 1,356. Получим следующие промежутки внутри интервала [0;4]

Рис. 2.3.2. Промежутки внутри интервала [0; 4]
Фактическое значение d
= 2,48 попадает в промежуток от
до 4 –
.
Следовательно, нет оснований отклонять гипотезу H0
об отсутствии автокорреляции в остатках.
Пример 2.3.2. В таблице 2.3.2. приведены данные, отражающие спрос на некоторый товар за восьмилетний период, т.е. временной ряд спроса ![]()
Таблица 2.3.2.
Выявить на уровне значимости 0,05 наличие автокорреляции в остатках для временного ряда.
Получили уравнение тренда:
![]()
В таблице 2.3.3 приведены необходимые вычисления

Таблица 2.3.3
По формуле вычислили ![]()
По таблице критических точек при n=15
,
, т.е. фактически найденное d=2.34 находится в пределах от
до 4-
(1.36<d<2.64). При n<15 критических значений d-статистики в таблице нет, но судя по тенденции их изменений с уменьшением n, можно предполагать, что найденное значение останется в интервале (
,4-
), т.е. для рассматриваемого временного ряда спроса на уровне значимости 0,005 гипотеза об отсутствии автокорреляции остатков не отвергается .
Есть несколько существенных ограничений на применение критерия Дарбина–Уотсона. Во-первых, он неприменим к моделям, включающим в качестве независимых переменных лаговые значения результативного признака, т. е. к моделям авторегрессии. Во-вторых, методика расчета и использования критерия Дарбина – Уотсона направлена только на выявление автокорреляции остатков первого порядка. При проверке остатков на автокорреляцию более высоких порядков следует применять другие методы. В-третьих, критерий Дарбина–Уотсона дает достоверные результаты только для больших выборок.
2.4. Тест серий (Бреуша-Годфри)
Тест основан на следующей идее: если имеется корреляция между соседними наблюдениями, то естественно ожидать, что в уравнении
, t
=1,…,n (2.4.1)
(где
-остатки регрессии, полученные обычным методом наименьших квадратов), коэффициент
окажется значимо отличающимся от нуля.
Практическое применение теста заключается в оценивании методом наименьших квадратов регрессии (2.4.1)
Преимущество теста Бреуша–Годфри по сравнению с тестом Дарбина-Уотсона содержит зону неопределенности для значений статистики d. Другим преимуществом теста является возможность обобщения: в число регрессоров могут быть включены не только остатки с лагом 1, но и с лагом 2,3 и т.д., что позволяет выявить корреляцию не только между соседними, но и между более отдаленными наблюдениями.
Рассмотрим в качестве примера (2.4) временной ряд
- ряд последовательных значений курса ценной бумаги А, наблюдаемых в моменты времени 1,…,100. Результаты наблюдений графически изображены на рисунке 2.4.

Рис.2.4
Очевидно, курс ценной бумаги А имеет тенденцию к росту, что можно проследить на графике.
Оценивая обычным методом наименьших квадратов зависимость курса наблюдений (т.е. от времени), получим следующие результаты:

![]()
Имеет место положительная автокорреляция (т.к. результаты предыдущих торгов оказывают влияние на результаты последующих)
Проверим это с помощью теста Бреуша-Годфри.
Рассмотрим авторегрессионную зависимость остатков от их предыдущих значений, используя авторегрессионную модель р-го порядка. Применяя МНК, получим:
(2.4.2)
(0,10) (0,12) (0,10)
Как видно, значимым оказывается только регрессор
,т.е.существенное влияние на результат наблюдения
оказывает только одно предыдущее значение
. Положительность оценкисоответствующего коэффициента регрессии указывает на положительную корреляцию между ошибками регрессии
и
.
2.5. Q -тест Льюинга-Бокса
Тест основан на рассмотрении выборочных автокорреляционной и частной автокорреляционной функцией временного ряда.
Если ряд стационарный, то, как можно доказать, выборочный частный коэффициент корреляции совпадает с оценкой обычного метода наименьших квадратов коэффициента
в авторегрессионной модели AR
(
p
)
:
![]()
Это утверждение лежит в основе вычисления значений частной автокорреляционной функции.
Очевидно, что в случае отсутствия автокорреляции все значения автокорреляционной функции равны нулю. Разумеется, ее выборочные значения окажутся отличными от нуля, но в этом случае отличие не должно быть существенным. На этой идее и основан тест Льюинга-Бокса, проверяющий гипотезу об отсутствии автокорреляции.
Статистика Льюинга-Бокса имеет вид:
(2.5)
Можно доказать, что если верна гипотеза
о равенстве нулю всех коэффициентов корреляции
, где
, то статистика
имеет распределение
с р
степенями свободы.
Пример 2.5 Проверить гипотезу об отсутствии автокорреляции в модели зависимости курса ценной бумаги А от времени t (пример 2.4)
Значение d-статистики Дарбина-Уотсона, примерно равное единице, дает оценку коэффициента корреляции между
и
, т.е. r(1)=0,5/
Отсюда по формуле 2.5
![]()
Так как фактическое значение статистики больше критического
, то гипотеза
отвергается
Заметим, что гипотеза
=0 и
о равенстве нулю коэффициента
в уравнении 2.4.1 представляют собой по сути одно и то же утверждение об отсутствии авторегрессии первого порядка. Результат тестирования этих гипотез должен совпадать с выводом, к которому приводит значение статистики Дарбина- Уотсона.
3. Последствия автокорреляции
Среди последствий автокорреляции при применении МНК обычно выделяются следующие.
1.Оценки параметров, оставаясь линейными и несмещенными, перестают быть эффективными. Следовательно, они перестают обладать свойствами наилучших линейных несмещенных оценок (ВLUE-оценок).
2.Дисперсии оценок являются смещенными. Зачастую дисперсии, вычисляемые по стандартным формулам, являются заниженными, что приводит к увеличению t-статистик. Это может привести к признанию статистически значимыми объясняющие переменные, которые в действительности таковыми могут и не являться.
3.Оценка дисперсии регрессии
является смещенной
оценкой истинного значения
, во многих случаях занижая его.
4.В силу вышесказанного выводы по t- и F-статистикам, определяющим значимость коэффициентов регрессии и коэффициента детерминации, возможно, будут неверными. Вследствие этого ухудшаются прогнозные качества модели.
4. Методы устранения автокорреляции
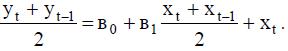
Основной причиной наличия случайного члена в модели являются несовершенные знания о причинах и взаимосвязях, определяющих то или иное значение зависимой переменной. Поэтому свойства случайных отклонений, в том числе и автокорреляция, в первую очередь зависят от выбора формулы зависимости и состава объясняющих переменных. Так как автокорреляция чаще всего вызывается неправильной спецификацией модели, то для ее устранения необходимо, прежде всего, попытаться скорректировать саму модель. Возможно, автокорреляция вызвана отсутствием в модели некоторой важной объясняющей переменной. Необходимо попытаться определить данный фактор и учесть его в уравнении регрессии . Также можно попробовать изменить формулу зависимости (например, линейную на лог-линейную, линейную на гиперболическую и т. д.). Однако если все разумные процедуры изменения спецификации модели. на ваш взгляд, исчерпаны, а автокорреляция имеет место, то можно предположить, что она обусловлена какими-то внутренними свойствами ряда {ет }. В этом случае можно воспользоваться авторегрессионным преобразованием. В линейной регрессионной модели либо в моделях, сводящихся к линейной, наиболее целесообразным и простым преобразованием является авторегрессионная схема первого порядка AR(1).
Для простоты изложения AR(1) рассмотрим модель парной линейной регрессии
(4.1)
Тогда наблюдениям t и (t-1) соответствуют формулы
(4.2)
(4.3)
Пусть случайные отклонения подвержены воздействию авторегресси первого порядка:
![]()
где vt,t=2,3…T- случайные отклонения, удовлетворяющие всем предпосылкам МНК, а коэффициент р известен.
Вычтем из (4.2) соотношение (4.3),умножив на
:
(4.4)
Положив
, получим:
![]()
Так как по предположению коэффициент р известен, то очевидно,
вычисляются достаточно просто. В силу того, что случайные отклонения
удовлетворяют предпосылкам МНК, то оценки
и
будут обладать свойствами наилучших линейных несмещенных оценок.
Однако способ вычисления y, х приводит к потере первого наблюдения (если мы не обладаем предшествующим ему наблюдением). Число степеней свободы уменьшится на единицу, что при больших выборках не так существенно, но при малых выборках может привести к потере эффективности. Эта проблема обычно преодолевается с помощью поправки Прайса-Виистена:
(4.5)
4.1. Определение
на основе статистики Дарбина-Уотсона
Статистика Дарбина-Уотсона тесно связана с коэффициентом корреляции между соседними отклонениями через соотношение:
(4.1.1)
Тогда в качестве оценки коэффициента
может быть взят коэффициент
. Из (5.1.1) имеем:
(4.1.2)
Этот метод оценивания весьма неплох при большом числе наблюдений. В этом случае оценка rпараметра
будет достаточно точной.
4.2 Метод Кохрана- Оркатта
Другим возможным методом оценивания
является итеративный процесс, называемый методом Кохрана- Оркатта. Опишем данный метод на примере парной регрессии:
![]()
И авторегрессионной схемы первого порядка AR(1)
![]()
1. Оценивается по МНК регрессия и для нее определяются оценки
отклонений
t=1,2,…n.
2. Используя схему AR(1), оценивается регрессионная зависимость
(4.2.1)
![]()
3. На основе данной оценки строится уравнение:
(4.2.2)
с помощью которого оцениваются коэффициенты
и
(в этом случае значение
известно).
4. Значения
подставляются в уравнение регрессии. Вновь вычисляются оценки отклонений и процесс возвращается к этапу 2.
Чередование этапов осуществляется до тех пор, пока не будет достигнута требуемая точность. То есть пока разность между предыдущей и последующей оценками не станет меньше любого наперед заданного числа.
4.3. Метод Хилдрета-Лу
По данному методу регрессия
![]()
оценивается для каждого возможного значения
из интервала [-1;1] с любым шагом (например, 0,001;0,01 и т.д.). Величина
, дающая наименьшую стандартную ошибку регрессии, принимается в качестве оценки коэффициента
. И значение
и
оценивается из уравнения регрессии именно с данным значением
.
4.4. Метод первых разностей
В случае, когда есть основания считать, что автокорреляция отклонений очень велика, можно использовать метод превых разностей.
Для временных рядов характерна положительная автокорреляция остатков. Поэтому при высокой автокорреляции полагают
,и, следовательно, уравнение (4.4) принимает вид:
(4.4.1)
Или ![]()
Обозначив
из (4.4.1) получим
(4.4.2)
Из уравнения (4.4.2) по МНК оценивается коэффициент
.Заметим, что коэффициент
в данном случае не определяется непосредственно. Однако из МНК известно, что ![]()
В случае
, можно получить следующее уравнение регрессии:
![]()
Или

Однако, метод первых разностей предполагает уж слишком сильное упрощение (
). Поэтому более предпочтительными являются приведенные выше итерационные методы.
Вывод
В силу ряда причин в регрессионных моделях может иметь место корреляционная зависимость между соседними случайными отклонениями. Это нарушает одну из фундаментальных предпосылок МНК. Вследствие этого оценки, полученные на основе МНК, перестают быть эффективными. Это делает ненадежными выводы по значимости коэффициентов регрессии и по качеству самого уравнения. Поэтому достаточно важным является умение определить наличие автокорреляции и устранить это нежелательное явление. Существует несколько методов определения автокорреляции, среди которых были выделены графический, метод рядов, критерий Дарбина-Уотсона.
При установлении автокорреляции необходимо в первую очередь проанализировать правильность спецификации модели. Если после ряда возможных усовершенствований регрессии автокорреляция по-прежнему имеет место, то, возможно, это связано с внутренними свойствами ряда отклонений. В этом случае возможны некоторые преобразования, устраняющие автокорреляцию. Среди них выделяется авторегрессионная схема первого порядка AR(1). Для применения указанных схем необходимо оценить коэффициент корреляции между отклонениями. Это может быть сделано различными методами: на основе статистики Дарбина-Уотсона, Кохрана-Оркатта, Хилдрета-Лу и др. В случае наличия среди объясняющих переменных лаговой зависимой переменной наличие автокорреляции устанавливается с помощью h-статистики Дарбина. А для ее устранения в этом случае предпочтителен метод Хилдрета-Лу.
Список использованной литературы
1. Анатольев С. Эконометрика для продолжающих (Эконометрика-3). Курс лекций, М.: Российская Экономическая Школа, 2002-2003
2. Давнис В.В., Тинякова В.И., Мокшина С.И., Воищева О.С., Щекунских С.С. Эконометрика сложных экономических процессов, Воронеж: ВГУ, 2004.
3. Доугерти Кр. Введение в эконометрику, М.: ИНФРА-М, 1997.
4. Елисеева И. И. Эконометрика, М.: Финансы и статистика, 2001.
5. Кремер Н. Ш., Путко Б. А. Эконометрика, М.: ЮНИТИ-ДАНА, 2002.
6. Магнус Я. Р. Эконометрика. Начальный курс, М.: Дело, 1997.
7. Носко В.П. Эконометрика: Введение в регрессионный анализ временных рядов, Москва, 2002.
Приложение А
Значения статистик Дарбина – Уотсона dL dU при 5%- ном уровнезначимости
