| Скачать .docx | Скачать .pdf |
Реферат: Основные модели управления запасами на предприятии
ОСНОВНЫЕ МОДЕЛИ УПРАВЛЕНИЯ ЗАПАСАМИ
11.1. Теоретическое введение
11.1.1. Модель Уилсона
Математические модели управления запасами (УЗ) позволяют найти оптимальный уровень запасов некоторого товара, минимизирующий суммарные затраты на покупку, оформление и доставку заказа, хранение товара, а также убытки от его дефицита. Модель Уилсона является простейшей моделью УЗ и описывает ситуацию закупки продукции у внешнего поставщика, которая характеризуется следующими допущениями:
- интенсивность потребления является априорно известной и постоянной величиной;
- заказ доставляется со склада, на котором хранится ранее произведенный товар;
- время поставки заказа является известной и постоянной величиной;
- каждый заказ поставляется в виде одной партии;
- затраты на осуществление заказа не зависят от размера заказа;
- затраты на хранение запаса пропорциональны его размеру;
- отсутствие запаса (дефицит) является недопустимым.
Входные параметры модели Уилсона
1) ν – интенсивность (скорость) потребления запаса, [ед. тов. / ед. t];
2) s – затраты на хранение запаса, [руб./ ед.тов.⋅ ед.t ];
3) K – затраты на осуществление заказа, включающие оформление и доставку заказа, [руб.];
4) tд – время доставки заказа, [ед.t].
Выходные параметры модели Уилсона
1) Q – размер заказа, [ед. тов.];
2) L – общие затраты на управление запасами в единицу времени, [руб./ед.t];
3) τ – период поставки, т.е. время между подачами заказа или между поставками, [ед.t];
4) h0 – точка заказа, т.е. размер запаса на складе, при котором надо подавать заказ на доставку очередной партии, [ед. тов.].
Циклы изменения уровня запаса в модели Уилсона графически представлены на рис. 11.1. Максимальное количество продукции, которая находится в запасе, совпадает с размером заказа Q.

Рис. 11.1. График циклов изменения запасов в модели Уилсона
Формулы модели Уилсона
(формула Уилсона), (11.1)
где Qw – оптимальный размер заказа в модели Уилсона;


![]()
График затрат на УЗ в модели Уилсона представлен на рис. 11.2

Рис. 11.2. График затрат на УЗ в модели Уилсона
11.1.2. Модель планирования экономичного размера партии
Модель Уилсона, используемую для моделирования процессов закупки продукции у внешнего поставщика, можно модифицировать и применять в случае собственного производства продукции. На рис. 11.3 схематично представлен некоторый производственный процесс. На первом станке производится партия деталей с интенсивностью λ деталей в единицу времени, которые используются на втором станке с интенсивностью ν [дет./ед.t].

Рис. 11.3. Схема производственного процесса
Входные параметры модели планирования экономичного размера партии
1) λ – интенсивность производства продукции первым станком, [ед. тов./ед. t];
2) ν – интенсивность потребления запаса, [ед. тов./ед. t];
3) s – затраты на хранение запаса, [руб./ ед.тов.⋅ ед.t ];
4) K – затраты на осуществление заказа, включающие подготовку (переналадку) первого станка для производства продукции, потребляемой на втором станке, [руб.];
5) tп – время подготовки производства (переналадки), [ед.t].
Выходные параметры модели планирования экономичного размера партии
1) Q – размер заказа, [ед. тов.];
2) L – общие затраты на управление запасами в единицу времени, [руб./ед.t];
3) τ – период запуска в производство партии заказа, т.е. время между включениями в работу первого станка, [ед. t];
4) h0 – точка заказа, т.е. размер запаса, при котором надо подавать заказ на производство очередной партии, [ед. тов.].
Изменение уровня запасов происходит следующим образом (рис. 11.4):
- в течение времени t1 работают оба станка, т.е. продукция производится и потребляется одновременно, вследствие чего запаса накапливается с интенсивностью (λ − ν);
- в течение времени t2 работает только второй станок, потребляя накопившийся запас с интенсивностью ν .

Рис. 11.4. График циклов изменения запасов в модели планирования экономичного размера партии
Формулы модели экономичного размера партии

где * – означает оптимальность размера заказа;

11.2. Методические рекомендации
Основная сложность при решении задач по УЗ состоит в правильном определении входных параметров задачи, поскольку не всегда в условии их числовые величины задаются в явном виде. При использовании формул модели УЗ необходимо внимательно следить за тем, чтобы все используемые в формуле числовые величины были согласованы по единицам измерения. Так, например, оба параметра s и ν должны быть приведены к одним и тем же временных единицам (к дням, к сменам или к годам), параметры K и s должны измеряться в одних и тех же денежных единицах и т.д.
Задача № 11.01
Объем продажи некоторого магазина составляет в год 500 упаковок супа в пакетах. Величина спроса равномерно распределяется в течение года. Цена покупки одного пакета равна 2 руб. За доставку заказа владелец магазина должен заплатить 10 руб. Время доставки заказа от поставщика составляет 12 рабочих дней (при 6-дневной рабочей неделе). По оценкам специалистов, издержки хранения в год составляют 40 коп. за один пакет. Необходимо определить: сколько пакетов должен заказывать владелец магазина для одной поставки; частоту заказов; точку заказа. Известно, что магазин работает 300 дней в году.
Решение
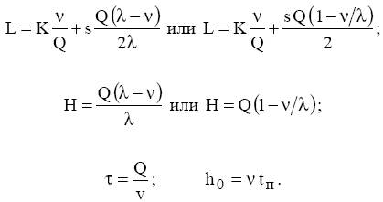
Примем за единицу времени год, тогда ν = 500 шт. пакетов в год, K =10 руб., s = 0,4 руб./шт.⋅ год . Поскольку пакеты супа заказываются со склада поставщика, а не производятся самостоятельно, то будем использовать модель Уилсона.

Поскольку число пакетов должно быть целым, то будем заказывать по 158 штук. При расчете других параметров задачи будем использовать не Q* =158,11, а Q=158. Годовые затраты на УЗ равны

Подачу каждого нового заказа должна производиться через

Поскольку известно, что в данном случае год равен 300 рабочим дням, то

Заказ следует подавать при уровне запаса, равном

т.е. эти 20 пакетов будут проданы в течение 12 дней, пока будет доставляться заказ.
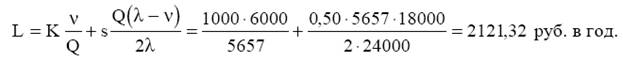
Задача № 11.02
На некотором станке производятся детали в количестве 2000 штук в месяц. Эти детали используются для производства продукции на другом станке с интенсивностью 500 шт. в месяц. По оценкам специалистов компании, издержки хранения составляют 50 коп. в год за одну деталь. Стоимость производства одной детали равна 2,50 руб., а стоимость на подготовку производства составляет 1000 руб. Каким должен быть размер партии деталей, производимой на первом станке, с какой частотой следует запускать производство этих партий?
Решение
K =1000 руб.,
= 2000 шт. в месяц или 24000 шт. в год, ν =500 шт. в месяц или 6000 шт. в год, s = 0,50 руб. в год за деталь. В данной ситуации необходимо использовать модель планирования экономичного размера партии.

Частота запуска деталей в производство равна

Общие затраты на УЗ составляют

МОДЕЛЬ УПРАВЛЕНИЯ ЗАПАСАМИ, УЧИТЫВАЮЩАЯ СКИДКИ
12.1. Теоретическое введение
Уравнение общих затрат для ситуации, когда учитываются затраты на покупку товара, имеет вид

где с – цена товара [руб./ед. тов.]; сν – затраты на покупку товара в единицу времени [руб./ед.t]. Если цена закупки складируемого товара постоянна и не зависит от Q, то ее включение в уравнение общих затрат приводит к перемещению графика этого уравнения параллельно оси Q и не изменяет его формы (см. рис. 12.1). Т.е. в случае постоянной цены товара ее учет не меняет оптимального решения Qw .

Рис. 12.1. График затрат на УЗ с учетом затрат на покупку
Если на заказы большого объема предоставляются скидки, то заказы на более крупные партии повлекут за собой увеличение затрат на хранение, но это увеличение может быть компенсировано снижением закупочной цены. Таким образом, оптимальный размер заказа может изменяться по сравнению с ситуацией отсутствия скидок. Поэтому затраты на приобретение товара необходимо учитывать в модели покупок со скидками.
Новые входные параметры модели, учитывающей скидки
1) Qр1, Qр2 – точки разрыва цен, т.е. размеры покупок, при которых начинают действовать соответственно первая и вторая скидки, [ед. тов.];
2) с, с1, с2 – соответственно исходная цена, цена с первой скидкой, цена со второй скидкой, [руб./ед. тов.].
Влияние единственной скидки на общие затраты на УЗ показано на рис.12.2. Чтобы определить оптимальный размер заказа Q∗ , необходимо проанализировать, в какую из трех областей попадает точка разрыва цены Qр1 (см. рис. 12.2). Правило выбора Q∗ для случая с одной скидкой имеет вид:
(12,2)
12.2. Методические рекомендации
Правильность решения задач с УЗ со скидками в большой степени определяется качественно построенным графиком общих затрат с указанием на графике всех параметров, используемых при решении. Поэтому в первую очередь необходимо анализировать ситуацию графически и только после этого проводить численные вычисления. Например, если внимательно проанализировать ситуации на рис. 12.2, то можно принимать решение без непосредственного использования правила (12.2). Зрительно легко определить более "выгодный" объем заказа, найдя точку, координата которой по оси L лежит ниже других вариантов заказов.
При решении задач с двумя скидками сначала находится оптимальный объем заказа с учетом первой скидки, а затем рассматривается вторая скидка, т.е. обе подзадачи решаются по правилу (12.2).

Рис. 12.2. График затрат с учетом скидок: a) wQ* = Q ; b) р1Q* = Q ; с) wQ* = Q
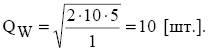
Задача №12.01
Пусть затраты на заказ равны 10 руб., затраты на хранение продукции 1 руб. в сутки, интенсивность потребления товара 5 шт. в день, цена товара – 2 руб. за штуку, а при объеме закупки 15 шт. и более – 1 руб. Определите оптимальный размер заказа, цену покупки и затраты на УЗ.
Решение
Начинаем решение с приблизительного построения пунктирными линиями графиков двух функций общих затрат, соответствующих двум ценам, которые указываем над соответствующими линиями затрат: с = 2 руб./шт. и с1 = 1 руб./шт. (рис. 12.3).

Рис. 12.3. Общие затраты на УЗ к задаче № 12.01
Поскольку объем заказа, задаваемый формулой Уилсона (11.1), легко определяется зрительно как точка минимума обеих функций, то без предварительных вычислений графически находим объем Уилсона Qw и отмечаем его на графике.
Только после этого, используя параметры K =10 руб., ν = 5 шт. в день, s =1 руб. за 1 шт. в сутки, вычисляем значение Qw и подписываем его на графике под обозначением Qw .

Очевидно, что в область I Qр1 =15 шт. не попадает, т.к. Qр1 > Qw . Таким образом, Qр1 может попасть в области II или III. Границей между этими областями служит размер заказа Q1, уравнивающий общие затраты при цене со скидкой 1 руб./шт. и затраты при заказе Qw по исходной цене 2 руб./шт. Сначала строим Q1 графически (рис. 12.4).

Рис. 12.4. Построение Q1на графике общих затрат УЗ задаче № 12.01
Только после этого найдем Q1 численно. Используя рис. 12.4, запишем выражение, показывающее равенство затрат,
12,3
с численными значениями параметров:
![]()
После использования (12.1) для раскрытия левой и правой частей (12.3) Получаем

Всегда выбираем больший из корней Q1 = 26,18, т.к. меньший по значению корень не дает нам информации о границе областей II и III (см. рис. 12.4), и отмечаем численное значение 26,18 на графике.
Таким образом, точка разрыва цен Qр1 =15 попадает в область II, т.к.
![]()
Отметим эту точку на графике в любом месте области II (рис. 12.5).

Рис. 12.5. Оптимальное решение задачи № 12.01
После этого сплошной линией обведем те участки обеих функций затрат, которые соответствуют действующим ценам, т.е. до объема Qр1 =15 обведем верхнюю линию затрат, а после – нижнюю.
Согласно правилу (12.2) и графику (см. рис. 12.5) оптимальным является объем заказа Q∗ =15 шт. по цене 1 руб./шт. Таким образом, в данной ситуации скидкой пользоваться выгодно. Общие затраты при этом составляют
[руб./ сут.]. Если бы заказывали по 10 шт. товара, то общие затраты составили бы 20 рублей, т.е. при заказе в 15 шт. экономия средств составляет 4,17 рублей в сутки.
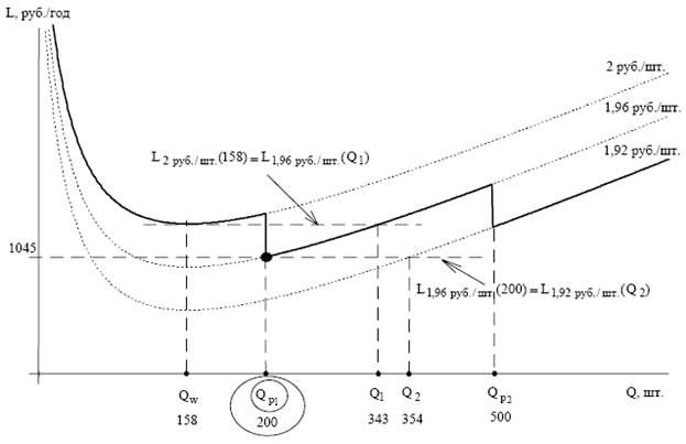
Задача № 12.02
Рассмотрим задачу № 11.01. Пусть поставщик супа в пакетах предоставляет следующие скидки

Следует ли владельцу магазина воспользоваться одной из скидок, предоставляемых поставщиком? Каковы при этом будут размер заказа и общие затраты на УЗ?
Решение
1. Строим пунктирными линиями графики трех функций затрат и обозначаем на них соответствующие цены с =2, с1 =1,96 и с2 =1,92 (рис. 12.6).
Строим на графике точку, соответствующую Qw .

Рис. 12.6. Решение задачи № 12.02 с двумя скидками
2. Вычисляем значение Qw =158 (см. решение задачи № 11.01), отмечаем это значение на графике.
3. Поскольку Qр1 = 200 не попадает в область I, то необходимо найти границу областей II и III. Для этого строим на графике уровень затрат, соответствующий заказу Qw и цене с=2 руб. до пересечения со второй линией затрат, и графически находим и строим Q1.
4. Находим Q1 численно, используя выражение

5. Используя правило (12.2) и график на рис. 12.6, находим более дешевый объем заказа (с учетом только первой скидки)
![]()
6. Чтобы рассмотреть вторую скидку, построим на графике уровень затрат, соответствующий заказу, оптимальному при действии только первой скидки, т.е.
. При пересечении этого уровня и третьей линии общих затрат графически определяем
Q2 .
7. Находим численно Q2 =354, исходя из выражения
![]()
8. Используя правило (12.2) и график затрат, находим наиболее дешевый объем заказа с учетом первой и второй скидок
![]()
9. Таким образом, пользоваться второй скидкой владельцу магазина невыгодно. Оптимальный для него вариант – заказывать 200 пакетов по цене 1,96 руб./шт. обойдется в L1,96 руб.(200)=1045 [руб./год].
Список используемой литературы
1. Черногородова Г.М. Теория принятия решений: Конспект лекций. Ч.1. Екатеринбург: Изд-во УМЦ УПИ, 2001. 97с.
2. Ю.П. Зайченко. Исследование операций. Учебник. - 6-е изд. Киев: Изд. дом: «Слово», 2003. 688с.
3. Задачи по исследованию операций. http://www.allmath.ru/appliedmath/operations/problems-tgru/zadachi.htm
4. Исследование операций: методы и модели. http://ecocyb.narod.ru/317/begin.htm
5. Электронное учебное пособие по курсу: «Моделирование экономических процессов». http://www.usfeu.ru/general_info/faculties/feu/metod/0611/Ush_posobie/Mep/ModEcProc/ras2.html
6. Википедия. Свободная энциклопедия. http://ru.wikipedia.org