| Скачать .docx | Скачать .pdf |
Реферат: Контрольная работа: Передаточные функции одноконтурной системы
Практическая работа № 1
1. По заданным дифференциальным уравнениям определить операторные уравнения при нулевых начальных условиях, передаточные функции, структурные схемы звеньев, характеристические уравнения и их корни. Показать распределение корней на комплексной плоскости.
Оценить устойчивость каждого из звеньев.
а)
; б)
.
2. По заданной передаточной функции записать дифференциальное уравнение:
.
1. а). Дифференциальное уравнение можно записать в виде:
.
Обозначим Y(s) и F(s) как изображения сигналов соответственно y и f , тогда операторное уравнение (при нулевых начальных условиях) примет вид:
1,25s3Y(s) – 4s2Y(s) + 5sY(s) = 3F(s) – sF(s).
Данное уравнение можно преобразовать, вынеся Y(s) и F(s) за скобки:
Y(s). (1,25s3 – 4s2 + 5s) = F(s). (3 – s).
Отсюда получено:
.
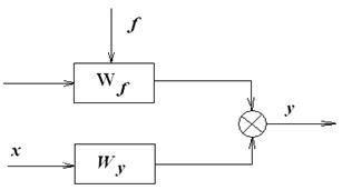
Очевидно, что входной сигнал x
отсутствует, и выходной сигнал у
определяется только внешним воздействием f
(система, действующая по возмущению):
, то получается уравнение Y(s) = WF(s).F(s). Структурная схема объекта приведена на рис. 1.

Рис.1

Рис. 2
Передаточная функция имеет знаменатель, называемый характеристическим выражением:
A(s) =
.
Если приравнять данное выражение к нулю, то образуется характеристическое уравнение
, корни которого:
,
и
.
Распределение корней на комплексной плоскости показано на рис. 2. По рисунку видно, что корни лежат в правой полуплоскости, следовательно, объект неустойчив.
б) Дифференциальное уравнение можно записать в виде:
.
Обозначим Y(s), X(s) и F(s) как изображения сигналов соответственно y , x и f , тогда операторное уравнение (при нулевых начальных условиях) примет вид:
2s2Y(s) + 4sY(s) + 10Y(s) = 3X(s) + 4sF(s).
Данное уравнение можно преобразовать, вынеся Y(s) и X(s) за скобки:
Y(s). (5s2 + 4s + 10) = 3X(s) + 4sF(s).
Отсюда получено:
.
Если обозначить передаточные функции объекта как
и
,
то получается уравнение Y(s) = Wx(s).X(s) + WF(s).F(s). Структурная схема объекта приведена на рис. 3.
Рис. 3
Характеристическая функция имеет вид:
,
а характеристическое уравнение:
.
Корни этого уравнения равны:
и
.
Распределение корней на комплексной плоскости показано на рис. 4:

Рис. 4.
Все корни характеристического уравнения лежат в левой полуплоскости, очевидно, что объект устойчив.
2. Дана передаточная функция вида:

Зная, что по определению,
, получим:
, тогда:
.
Раскрывая скобки:
![]()
Применяя к полученному выражению обратное преобразование Лапласа, находим искомое дифференциальное уравнение:
.
Практическая работа № 2

Дана одноконтурная АСР, для которой определена передаточная функция регулятора (Р) с настройками и дифференциальное уравнение объекта управления (ОУ). Требуется определить:
- передаточную функцию разомкнутой системы W∞(s),
- характеристическое выражение замкнутой системы (ХВЗС),
- передаточные функции замкнутой системы Фз(s) – по заданию, Фв(s) – по возмущению, ФЕ(s) – по ошибке,
- коэффициенты усиления АСР,
- устойчивость системы.
Р - ПИ-регулятор с ПФ вида
;
дифференциальное уравнение объекта управления:
.
Определим передаточную функцию объекта:
W
об(
s
)
.
Передаточная функция разомкнутой системы имеет вид:

Характеристическое выражение замкнутой системы:
;
Передаточные функции замкнутой системы:
- по заданию;
- по ошибке;
- по возмущению.
По передаточным функциям определим коэффициенты усиления путем подстановки в них s = 0:
К3 = Ф3(0) = 1 – по заданию;
КЕ = ФЕ(0) = 0 – по ошибке;
Кв = Фв(0) = 0 – по возмущению.
Определим устойчивость АСР по критерию Гурвица.
Так как коэффициенты ХВЗС а3 = 4, а2 = 6, а1 = 18, а0 = 4 (степень полинома n = 3), то матрица Гурвица имеет вид:

Диагональные миноры матрицы равны соответственно:

Поскольку все определители положительны, то АСР является устойчивой.
Практическая работа № 3
По табличным данным построить переходную кривую объекта, определить параметры передаточной функции объекта, рассчитать настройки ПИД-регулятора, обеспечивающие 20%-е перерегулирование.
DXвх = 5,5 кПа; DY = 0,149 %; tзап = 40 сек
| t, мин |
0 |
20 |
50 |
80 |
110 |
140 |
170 |
200 |
230 |
260 |
| D Y |
0 |
0,009 |
0,032 |
0,060 |
0,089 |
0,116 |
0,130 |
0,141 |
0,149 |
0,149 |
Полученная переходная характеристика изображена на рисунке 5:

Рис. 5. Переходная характеристика.
Установившееся значение выходной величины составляет:
;
Коэффициент усиления равен:
;
Постоянная времени равна:
.
Для процесса с 20 % перерегулированием ПИД-регулятора, его настройки:
;
;
.
Практическая работа № 4
Дана одноконтурная АСР. Требуется определить:
· передаточные функции регулятора и объекта управления,
· передаточную функцию разомкнутой системы W∞(s),
· характеристическое выражение замкнутой системы (ХВЗС),
· передаточные функции замкнутой системы Фз(s) – по заданию,
Фв(s) – по возмущению, ФЕ(s) – по ошибке,
· коэффициенты усиления АСР,
· примерный вид переходных процессов по заданию, ошибке и возмущению,
· устойчивость системы.
Структурная схема АСР:
![]() |
W1(s):
; W2(s):
;
K1 = 1,2; K0 = 1,0; K = 1,0
· Передаточная функция регулятора:
.
· Передаточная функция объекта управления:
.
Определим операторные уравнения звеньев объекта управления: для этого обозначим Y(s) и U(s) как изображения сигналов соответственно y и u , тогда операторные уравнения примут вид:
W1(s): sY(s) = 2U(s);
W2(s): 2s2Y(s)+sY(s)+4Y(s)=7U(s).
Данные уравнения можно преобразовать, вынеся Y(s) и U(s) за скобки:
W1(s): sY(s) = 2U(s);
W2(s): Y(s)·(2s2+s+4)=7U(s).
Отсюда получено:
W1(s): Y
(
s
)
= ![]()
W2(s): Y(s)
=
.
Тогда:
![]()
.
Передаточная функция объекта управления:

· Передаточная функция разомкнутой системы:
![]()
![]()
· Характеристическое выражение замкнутой системы:
![]()
· передаточные функции замкнутой системы
Ф3(s) – по заданию:
![]()
ФЕ(s) – по ошибке:
![]()
ФВ(s) – по возмущению:
При определении передаточной функции по возмущению принимается Wу.в. = Wоу. Тогда:

.
· По передаточным функциям определим коэффициенты усиления путем подстановки в них s = 0:
К3 = Ф3(0) = 1 – по заданию;
КЕ = ФЕ(0) = 0 – по ошибке;
Кв = Фв(0) = 0 – по возмущению.
· Определим устойчивость АСР по критерию Гурвица.
Так как коэффициенты ХВЗС
(степень полинома n = 4), то матрица Гурвица имеет вид:

Диагональные миноры матрицы равны соответственно:

Поскольку все определители положительны, то АСР является устойчивой.
· Определим вид переходных процессов по заданию, ошибке и возмущению:
а) По заданию:
![]()
Корни знаменателя:

Изображение разбивается на сумму дробей:
.
Тогда оригинал y (t), согласно таблицам, имеет вид:
y (t) = y 0 + y 1,2(t) + y 3,4(t) =
+
;
где a1,2, α3,4 и w1,2, w3,4 - действительная и мнимая части пары комплексных корней s1,2 и s3,4 соответственно.
C1,2, С3,4 и D1,2, D3,4 – действительная и мнимая части пары коэффициентов М1 и М3 соответственно.
Для корня s0 = 0:
;
Для корней
:
=
;
Для корней
:

;
Тогда:
![]()
Получим оригинал:
![]()

б) По ошибке:
![]()
Корни знаменателя:

Изображение разбивается на сумму дробей:
.
Тогда оригинал y (t), согласно таблицам, имеет вид:
y (t) = y 1,2(t) + y 3,4(t) =
+
;
где a1,2, α3,4 и w1,2, w3,4 - действительная и мнимая части пары комплексных корней s1,2 и s3,4 соответственно.
C1,2, С3,4 и D1,2, D3,4 – действительная и мнимая части пары коэффициентов М1 и М3 соответственно.
Для корней
:


Для корней
:

;
Тогда:
![]()
Получим оригинал:
![]()

в) По возмущению:
![]()
Корни знаменателя:

Изображение разбивается на сумму дробей:
.
Тогда оригинал y (t), согласно таблицам, имеет вид:
y (t) = y 1,2(t) + y 3,4(t) =
+
;
где a1,2, α3,4 и w1,2, w3,4 - действительная и мнимая части пары комплексных корней s1,2 и s3,4 соответственно.
C1,2, С3,4 и D1,2, D3,4 – действительная и мнимая части пары коэффициентов М1 и М3 соответственно.
Для корней
:


Для корней
:

;
Тогда:
![]()
Получим оригинал:
![]()

