| Скачать .docx | Скачать .pdf |
Реферат: Принятие управленческих решений 5
Методы принятия управленческих решений.
Проблема принятия решений составляет суть любой целенаправленной человеческой деятельности. Вместе с тем она, несмотря на всё многообразие возможных условий, и ситуаций, в которых осуществляется выбор, носит достаточно универсальный характер. Для ситуаций, в которых происходит выбор решений, характерны:
1) Наличие цели (целей): необходимость принятия решения диктуется только наличием некоторой цели, которую следует достичь. Если цель отсутствует, то не возникает и необходимость принимать какое-либо решение.
2) Наличие альтернативных линий поведения: решения принимаются в условиях, когда существует более одного способа достижения поставленной цели. Каждый из способов может характеризоваться различными степенями и различными вероятностями достижения цели, требовать различных затрат.
3) Наличие ограничивающих факторов: естественно, что лицо, принимающее решение, не обладает бесконечными возможностями. Все множества ограничивающих факторов можно разбить на три группы:
а) экономические факторы – денежные средства, трудовые и производственные ресурсы, время и т.п.
б) технические факторы – габариты, вес, энергопотребление, надёжность, точность и т.п.
в) социальные факторы, учитывающие требования человеческой этики и морали.
Процесс принятия управленческого решения – это преобразование исходной информации (информации состояния) в выходную информацию (информацию управления - приказ). Решение может быть формальным и творческим. Принято считать, что если преобразование информации выполняется с помощью математических моделей, то выработанное решение считается формальным, если решение появляется в результате скрытой работы интеллекта человека, принимающего решение, то оно - творческое.
Такое деление в достаточной степени условно, поскольку чисто формального или чисто творческого решения не существует. Если решение вырабатывается с помощью математической модели, то знания и опыт человека (элементы творчества) используются при её создании, а интуиция (тоже момент творчества) – в момент, когда он задаёт то или иное значение параметра исходной информации или выбирает из множества альтернативных вариантов, полученных с помощью математической модели, один в качестве решения на управление. Если основным инструментом выработки решения является интеллект человека, то формальные методы, носителем которых практически является вся наука, скрыто присутствуют в его знаниях и опыте.
В соответствии с подразделением на творческие и формальные всё множество проблем, сопутствующих любому процессу принятия решений, условно делится на два класса: проблемы концептуального характера и проблемы формально-математического и вычислительного характера.
К концептуальным проблемам относятся сложные логические проблемы, которые невозможно решить с применением только формально-математических методов и ЭВМ. Часто эти проблемы уникальны в том смысле, что они решаются впервые и не имеют прототипов в прошлом. Концептуальные проблемы обычно решаются на уровне руководителей с привлечением группы экспертов, в качестве которых выступают высококвалифицированные специалисты из различных областей науки и практической деятельности. При решении концептуальных проблем наибольший вес имеют не формально-математические методы, а эрудиция, опыт и интуиция людей. Формальные методы здесь играют вспомогательную роль как средство, облегчающее и организующее эвристическую деятельность людей. К числу концептуальных относятся, в частности, такие проблемы, как анализ и выбор целей, выявление совокупностей показателей, характеризующих следствия принятого решения, выбор из их числа критериев оптимальности и т.п. Формализация эвристических процедур является содержанием так называемой неформальной теории принятия решений.
В дальнейшем предполагается, что цели управления, соответствующие им критерии оптимальности и ограничения заданы и обсуждению не подлежат. То есть происходит изучение лишь количественной или формальной теории принятия решений.
Процесс принятия решений является сложной итерационной процедурой. Структурная схема процесса принятия решений может иметь вид:

Общая постановка задачи принятия решения (ЗПР).
Пусть эффективность выбора того или иного решения определяется некоторым критерием F, допускающим количественное представление. В общем случае все факторы, от которых зависит эффективность выбора, можно разбить на две группы:
а) контролируемые (управляемые) факторы, выбор которых определяется лицами, принимающими решения. Обозначим эти факторы X1,X2,…,XL.
б) неконтролируемые (неуправляемые) факторы, характеризующие условия, в которых осуществляется выбор и на которые лица, принимающие решения, влиять не могут. В состав неконтролируемых факторов может входить и время t. Неконтролируемые факторы в зависимости от информированности о них подразделяют на три подгруппы:
- детерминированные неконтролируемые факторы – неслучайные фиксированные величины, значения которых полностью известны, A1,A 2,…, AP.
- стохастические неконтролируемые факторы – случайные величины и процессы с известными законами распределений, Y1,Y 2,…, Yg.
- неопределённые неконтролируемые факторы, для каждого из которых известна только область, внутри которой находится закон распределения, значения неопределённых факторов неизвестны в момент принятия решения, Z1,Z 2,…, ZZ.
В соответствии с выделенными факторами критерий оптимальности можно представить в виде:
F=F(X1,X2,…,XL, A1,A 2,…, A P, Y1,Y 2,…, Yg, Z1,Z 2,…, ZZ, t)
Значения контролируемых факторов обычно ограничены рядом естественных причин, например, ограниченностью располагаемых ресурсов. То есть, определены (имеются) области x1, x2,…, xL пространства, внутри которых расположены возможные (допустимые) значения факторов X1,X2,…,XL. Аналогично могут быть ограничены и области возможных значений неконтролируемых факторов. Величины X, A, Y, Z в общем случае могут быть скалярами, векторами, матрицами.
Поскольку критерий оптимальности есть количественная мера степени достижения цели управления, математически цель управления выражается в стремлении к максимально возможному увеличению (или уменьшению) значения критерия F, что можно записать в виде: Fàmax (или min).
Средством достижения этой цели является соответствующий выбор управлений X1,X2,…,XL из областей x1, x2,…, xL их допустимых значений. Таким образом, общая постановка задачи принятия решений может быть сформулирована так: при заданных значениях и характеристиках фиксированных неконтролируемых факторов A 2,…, AP, Y1,Y 2,…, Yg с учётом неопределённых факторов Z1,Z 2,…, ZZ найти оптимальные значения X1опт,X2опт,…,XLопт из областей x1, x2,…, xL их допустимых значений, которые по возможности обращали бы в максимум (минимум) критерий оптимальности F.
Задачи принятия решений классифицируют по трём признакам:
а) по количеству целей управления и соответствующих им критериев оптимальности ЗПР делят на одноцелевые или однокритериальные (скалярные) и многоцелевые или многокритериальные (векторные);
б) по наличию или отсутствию зависимости критерия оптимальности и ограничений от времени ЗПР делят на статические (не зависящие от времени) и динамические (зависящие от времени).
Динамическим ЗПР присущи две особенности:
- в качестве критерия оптимальности в динамических ЗПР выступает не функция, как в статических ЗПР, а функционал, зависящий от функции времени;
- в составе ограничений обычно присутствуют так называемые дифференциальные связи, описываемые дифференциальными уравнениями.
в) по наличию случайных и неопределённых факторов, этот признак называется “определённость-риск-неопределённость”. ЗПР подразделяют на три больших подкласса:
- принятие решения в условиях определённости, или детерминированные ЗПР. Они характеризуются однозначной детерминированной связью между принятым решением и его исходом;
- принятие решений при риске, или стохастические ЗПР. Любое принятое решение может привести к одному из множества возможных исходов, причём каждый исход имеет определённую вероятность появления. Предполагается, что эти вероятности заранее известны лицу, принимающему решение;
- принятие решений в условиях неопределённости. Любое принятое решение может привести к одному из множества возможных исходов, вероятности появления которых неизвестны.
Рассмотрим пример однокритериальной статической детерминированной ЗПР
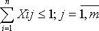
Пусть необходимо отображать некоторое количество информационных моделей, например, картографическую информацию. Для отображения любой из моделей всегда требуется n различных задач З1,З2,…,ЗN(отображение символов, отображение векторов, поворот и перемещение изображения, масштабирование и т.п.). Все задачи взаимно независимы. Для решения этих задач могут быть использованы m различных микропроцессоров M1,M2,…,MM. В течение времени t микропроцессор Mj может решить aij задач типа Зi (i=1,…,n; j=1,…,m), то есть решить задачу Зi несколько раз по одному и тому же алгоритму, но для различных исходных данных.
Информационную модель можно отображать только в том случае, если она содержит полный набор результатов решения всех задач З1,З2,…,ЗN. Требуется распределить задачи по микропроцессорам так, чтобы число информационных моделей, синтезированных за время t, было максимально. Иначе говоря, необходимо указать, какую часть времени t микропроцессор Mj должен занимать решением задачи Зi. Обозначим эту величину через xij (если эта задача не будет решаться на данном микропроцессоре, то xij=0). Очевидно, что общее время занятости каждого микропроцессора решением всех задач не должно превышать общего запаса времени t, ”доля» - единицы. Таким образом, имеем следующие ограничительные условия:
![]()
Общее количество решений Ni задачи Зi, полученных всеми микропроцессорами вместе:
![]()
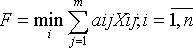
Так как информационная модель может быть синтезирована лишь из полного набора результатов решения всех задач, то количество информационных моделей F будет определяться минимальным из числа Ni.
Итак, имеем следующую математическую модель: требуется найти такие xij,чтобы обращалась в минимум функция F:
![]()
при
![]()
Принятие решений в условиях неопределённости.
Стоит отметить принципиальное различие между стохастическими факторами, приводящими к принятию решения в условиях риска, и неопределёнными факторами, приводящими к принятию решения в условиях неопределённости. И те, и другие приводят к разбросу возможных исходов результатов управления. Но стохастические факторы полностью описываются известной стохастической информацией, эта информация и позволяет выбрать лучшее в среднем решение. Применительно к неопределённым факторам подобная информация отсутствует.
В общем случае неопределённость может быть вызвана либо противодействием разумного противника, либо недостаточной осведомлённостью об условиях, в которых осуществляется выбор решения.
Принятие решений в условиях разумного противодействия является объектом исследования теории игр.
Рассмотрим принципы выбора решений при наличии недостаточной осведомлённости относительно условий, в которых осуществляется выбор. Такие ситуации принято называть “играми с природой”.
В терминах “игр с природой” задача принятия решений может быть сформулирована следующим образом:
Пусть лицо, принимающее решение, может выбрать один из m возможных вариантов своих решений X1,X2,…,XM и пусть относительно условий , в которых будут реализованы возможные варианты, можно сделать n предположений Y1,Y2,…,YN. Оценки каждого варианта решения в каждых условиях (Xi ,Yi) известны и заданы в виде матрицы выигрышей лица, принимающего решения A=|aij|. Предположим вначале, что априорная информация о вероятностях возникновения той или иной ситуации Yj отсутствует.
Теория статистических решений предлагает несколько критериев оптимальности выбора решений. Выбор того или иного критерия неформализуем, он осуществляется человеком, принимающим решения, субъективно, исходя из его опыта, интуиции и т.п. Рассмотрим эти критерии.
Критерий Лапласа: поскольку вероятности возникновения той или иной ситуации Yj неизвестны, будем их все считать равновероятными. Тогда для каждой строки матрицы выигрышей подсчитывается среднее арифметическое значение оценок. Оптимальному решению будет соответствовать такое решение, которому соответствует максимальное значение этого среднего арифметического, то есть
![]()
Критерий Вальда: в каждой строке матрицы выбираем минимальную оценку. Оптимальному решению соответствует такое решение, которому соответствует максимум этого минимума, то есть
![]()
Этот критерий очень осторожен. Он ориентирован на наихудшие условия, только среди которых и отыскивается наилучший, и теперь уже гарантированный результат.
Критерий Сэвиджа: в каждом столбце матрицы находится максимальная оценка
и составляется новая матрица, элементы которой определяются соотношением:
![]()
Величину rij называют риском, под которым понимают разность между максимальным выигрышем, который имел бы место, если бы было достоверно известно, что наступит ситуация Yj, и выигрыш при выборе решения Xi в условиях Yj. Эта новая матрица называется матрицей рисков. Далее из матрицы рисков выбирают такое решение, при котором величина риска принимает наименьшее значение в самой неблагоприятной ситуации, то есть
![]()
Сущность этого критерия заключается в минимизации риска. Как и критерий Вальда, критерий Сэвиджа очень осторожен. Они различаются разным пониманием худшей ситуации: в первом случае – это минимальный выигрыш, во втором – максимальная потеря выигрыша по сравнению с тем, чего можно было бы достичь в данных условиях.
Критерий Гурвица: вводится некоторый коэффициент
, называемый коэффициентом оптимизма, 0
1. В каждой строке матрицы выигрышей находится самая большая оценка
и самая маленькая
. Они умножаются соответственно на
и (1-
) и затем вычисляется их сумма. Оптимальному решению будет соответствовать такое решение, которому соответствует максимум этой суммы, то есть
![]()
При
=0 критерий Гурвица трансформируется в критерий Вальда. Это случай ”крайнего пессимизма”. При
=1 (случай крайнего оптимизма) человек, принимающий решение, рассчитывает на то, что ему будет сопутствовать самая благоприятная ситуация. Коэффициент оптимизма
назначается субъективно, исходя из опыта, интуиции и т.п. Чем более опасна ситуация, тем более осторожным должен быть подход к выбору решения и тем меньшее значение присваивается коэффициенту
.
Примером принятия решения в условиях неопределённости может служить рассмотренная ранее задача выбора метода кодирования картографической информации, когда вероятности появления того или иного вида этой информации неизвестны.
Многокритериальные задачи принятия решений.
Пусть, как и прежде, необходимо выбрать одно из множества решений X из области
x их допустимых значений. Но, в отличие от рассмотренного ранее, каждое выбранное решение оценивается совокупностью критериев f1,f2,…,fk, которые могут различаться своими коэффициентами относительной важности (
1…
k). Критерии fq, q=1..k, называют частными или локальными критериями, они образуют интегральный или векторный критерий оптимальности F={fq}. Коэффициенты
образуют вектор важности
. Каждый локальный критерий характеризует некоторую локальную цель принимаемого решения.
Оптимальное решение X должно удовлетворять соотношению:
![]()
где: F – оптимальное решение интегрального критерия;
opt – оператор оптимизации, он определяет выбранный принцип оптимизации.
Область допустимых решений
x может быть разбита на две непересекающиеся части:
– область согласия, в которой качество решения может быть улучшено одновременно по всем локальным критериям или без снижения уровня любого из критериев;
– область компромиссов, в которой улучшение качества решения по одним локальным критериям приводит к ухудшению качества решения по другим.
Очевидно, что оптимальное решение может принадлежать только области компромиссов, так как в области согласия решение может и должно быть улучшено по соответствующим критериям.
Выделение области компромисса сужает область возможных решений, но для выбора одного-единственного варианта решения необходимо выбрать схему компромисса, то есть раскрыть смысл оператора оптимизации opt. Этот выбор осуществляется субъективно.
Рассмотрим основные схемы компромисса, предполагая вначале, что все локальные критерии нормализованы (то есть имеют одинаковую размерность или являются безразмерными величинами) и одинаково важны. Рассмотрение удобно вести, перейдя от пространства
x выбираемых решений X к пространству
k возможных (допустимых) локальных критериев F={f1,f2,…,fk}, деля его на область согласия и область компромиссов.
Тогда сформулированную ранее модель оптимизации можно переписать в виде:
![]()
Основными схемами компромисса являются:
- принцип равномерности;
- принцип справедливой уступки;
- принцип выделения одного оптимизируемого критерия;
- принцип последовательной уступки.
Принцип равномерности провозглашает целесообразность выбора такого варианта решения, при котором достигалась бы некоторая “равномерность” показателей по всем локальным критериям. Используют следующие реализации принципа равномерности:
- принцип равенства;
- принцип максимина;
- принцип квазиравенства.
Принцип равенства формально выражается следующим образом:
, то есть оптимальным считается вариант, принадлежащий области компромиссов, при котором все значения локальных критериев равны между собой. Однако случай f1=f2=…=fk может не попасть в область компромиссов или вообще не принадлежать к области допустимых вариантов.
Принцип максимина формально выражается следующим образом:
![]()
В случае применения этого принципа из области компромиссов выбирается вариант с минимальными значениями локальных критериев и среди них ищется вариант, имеющий максимальное значение. Равномерность в этом случае обеспечивается за счёт “подтягивания” критерия с наименьшим уровнем.
Принцип квазиравенства заключается в том, что стремятся достичь приближённого равенства всех локальных критериев. Приближение характеризуется некоторой величиной
. Это принцип может быть использован в дискретном случае.
Следует отметить, что принципы равенства, несмотря на их привлекательность, не могут быть рекомендованы во всех случаях. Иногда даже небольшое отклонение от равномерности может дать значительный прирост одному из критериев.
Способы нормализации критериев.
Проблема нормализации критериев возникает во всех задачах векторной оптимизации, в которых локальные критерии оптимальности имеют различные единицы измерения. Исключение составляют те задачи, в которых в качестве схемы компромисса применяется принцип относительной уступки.
В основу нормализации критериев положено понятие “идеального вектора”, то есть вектора с “идеальными” значениями параметров
.
В нормализованном пространстве критериев вместо действительного значения критерия fq рассматривается безразмерная величина:

Если лучшим считается большое значение критерия и если ![]()
Успешное решение проблемы нормализации во многом зависит от того, насколько правильно и объективно удаётся определить идеальные значения
. Способ выбора идеального вектора
и определяет способ нормализации. Рассмотрим основные способы нормализации.
Способ 1: идеальный вектор определяется заданными величинами критериев:
![]()
Недостатком этого способа является сложность и субъективность назначения
, что приводит к субъективности оптимального решения.
Способ 2: в качестве идеального вектора выбирают вектор, параметрами которого являются максимально возможные значения локальных критериев:
![]()
Недостатком этого способа является то, что он существенно зависит от максимально возможного уровня локальных критериев. В результате равноправие критериев нарушается и предпочтение автоматически отдаётся варианту с наибольшим значением локального критерия.
Способ 3: в качестве параметров идеального вектора принимают максимально возможный разброс соответствующих локальных критериев, то есть
![]()
Известны и другие способы нормализации. Нормализация критериев по существу является преобразованием пространства критериев, в котором задача выбора варианта приобретает большую ясность.