| Скачать .docx | Скачать .pdf |
Курсовая работа: Курсовая работа: Расчёт экономической эффективности внедрения новой техники
ЧАСТНОЕ ОБРАЗОВАТЕЛЬНОЕ УЧРЕЖДЕНИЕ
СРЕДНЕГО ПРОФЕССИОНАЛЬНОГО ОБРАЗОВАНИЯ
КОЛЛЕДЖ ПРАВА И ЭКОНОМИКИ
УТВЕРЖДАЮ
Заместитель директора по УПР
______М.В. Залесская
__________________
РАСЧЁТ ЭКОНОМИЧЕСКОЙ ЭФФЕКТИВНОСТИ ВНЕДРЕНИЯ НОВОЙ ТЕХНИКИ
Курсовая работа по дисциплине «Экономика отрасли»
КПиЭ-ПР.230105 00053-05ПЗ
| В.А. Коклина | ||
| 2010 | ||
| Автор работы | ||
| студент группы П-310 | ||
| Чечасов И.И | ||
| 2010 | ||
Челябинск
2010
СОДЕРЖАНИЕ
3.1 Составление сметы затрат на производство и реализацию продукции. 4
3.2 Составление калькуляции себестоимости продукции. 6
3.4 Снижение себестоимости. 14
3.5 Хозрасчётный годовой экономический эффект. 16
ВВЕДЕНИЕ
В курсовой работе по дисциплине «Экономика отрасли» на тему «Расчёт экономической эффективности внедрения новой техники» рассматривается расчёт, который влияет на снижение себестоимости продукции.
Цель курсового проектирования – закрепление полученных теоретических знаний по дисциплине экономика организации.
В процессе выполнения курсовой работы не обходимо применить знания и навыки в области:
-методов и техники проведения экономических расчётов;
-анализ хозяйственный деятельности;
-разработки мероприятий по организации внедрения управленческих решений.
Себестоимость продукции является качественным показателем, характеризующим производственно-хозяйственную деятельность производственного объединения, предприятия. Себестоимость продукции – это затраты предприятия в денежном выражении на её производство и сбыт.
Таким образом, в себестоимости как в обобщающем экономическом показателе находят своё отражение все стороны деятельности предприятия: степень технологического оснащения производства и освоения технологических процессов;
-3 –уровень организации производства и труда, степень использования производственных мощностей; экономичность использования материальных и трудовых ресурсов и другие условия, и факторы, характеризующие производственно-хозяйственную деятельность, поэтому проблема нахождения путей снижения себе стоимости является актуальной в настоящее время.
ЗАДАНИЕ №1
3.1 Составление сметы затрат на производство и реализацию продукции
Определить:
- хозрасчётный годовой экономический эффект;
- срок окупаемости капитальных вложений в мероприятия НТП.
Исходные данные:
Предприятие выпускает два вида продукции А и В. Объём производства и реализация продукции в 1 квартале представлены в таблице 1.
Таблица 1 – Исходные данные.
| Наименование | Изделие А | Изделие В |
| Объём производства и реализация продукции в первом квартале. | 3150 | 6150 |
| Норма расхода материалов: металла (т/шт) топлива (т/шт) электроэнергии (кВт/ч) |
0,2 0,01 800 |
0,15 0,008 500 |
| Сдельные расценки на единицу продукции (руб/шт) | 80 | 100 |
| Рентабельность продукции (в процентах к себестоимости) | 20 | 15 |
Потребление материальных ресурсов: Электроэнергия (млн кВт/ч) |
550 50 2 |
|
Цена приобретения и продажи материальных ресурсов представлена в соответствии с таблицей 2,
Таблица 2 – Цена приобретения и продажи материальных ресурсов
| Материальные ресурсы | Цена приобретения | Цена продажи руб/т |
| Металл | 1440 | |
| Топливо | 1200 | 1620 |
| Электроэнергия | 0,90 руб/кВт,ч |
Состояние основных фондов представлено в соответствии с таблицей 3.
Таблица 3 – Состояние основных фондов
| Показатели | Стоимость, млн.руб | Норма амортизации |
| Здания и сооружения | 2 | 2 |
| Машины и оборудование | 3 | 12 |
Вся сумма амортизационных отчислений и 40% чистой прибыли направляются на развитие производства. В результате внедрения новой техники со второго полугодия норма расхода металла снизилась на 8% при повышении цен на 10%; квартальный объём производства и соответственно производительность труда повысилась в 1,2 раза без увеличения численности работников, заработная плата производственных рабочих вросла на 7%, условно постоянные расходы на 3%.
Амортизационные отчисления определяются из стоимости основных фондов, норма амортизации и количество месяцев в расчётном периоде.
Смета затрат на производство продукции представлена в таблице 9.
Таблица 4 – Смета затрат на производство
Структура затрат |
Кол-во | Цена | Сумма |
| Материальные затраты: | |||
| Металл | 550 | 1220,34 | 671186,4407 |
| Топливо | 50 | 1016,95 | 50847,45763 |
| Эл/эн | 2000000 | 0,76271 | 1525423,729 |
| З/п произ. Рабочим | 4875000 | ||
| ЕНС (26%) | 1267500 | ||
| Амортизация | 10000 | 90000 | 100000 |
| Прочие затраты | 91400 | ||
| Итого затрат | 8581357,627 |
3.2 Составление калькуляции себестоимости продукции
Таблица 6 - Калькуляция себестоимости изделий А и Б
| Структура изделий | Изделие А | Изделие Б | Сумма | |||||
| Кол-во | Цена | Стоимость | Кол-во | Цена | Стоимость | |||
| Материальные затраты: | ||||||||
| Металл | 630 | 1220 | 768600 | 922 | 1220 | 1125450 | 1894050 | |
| Топливо | 31 | 1016 | 32004 | 49 | 1016 | 49987 | 81991 | |
| Эл/эн | 2520000 | 0,7627 | 1915200 | 3075000 | 0,7627 | 2337000 | 4252200 | |
| З/п произ. Рабочим | 3150 | 80 | 252000 | 6150 | 100 | 615000 | 867000 | |
| Отчисления во внбюджетные фонды | 65520 | 159900 | 225420 | |||||
| Итого переменных затрат | 3033324 | 4287337 | 7320661 | |||||
| Постоянные затраты | 366430 | 894264 | 1444036 | |||||
| Всего затрат на производство | 3399754 | 5181601 | 8581356 | |||||
| КРП/З | 1,4540885 | |||||||
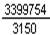
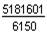
| С/С изделия А за шт | 1079 | |||||||
| С/С изделия Б за шт | 842 | |||||||
Таким образом, себестоимость одного изделия находится по формуле:
(1)
где – себестоимость изделия;
Пs – полная себестоимость;
Qа,в – объём производства.
Себестоимость изделия А и изделия В составляет:
Изделие А =
=1079(руб.)
Изделие В =
= 842(руб.)
Подробная калькуляция себестоимости продукции:
- сырьё и материалы;
- отходы;
- покупные изделия и полуфабрикаты;
- топливо и энергия на технологические изделия;
- транспортно – заготовительные расходы;
- заработная плата;
а) основная;
б) дополнительная;
- ЕСН;
- расходы на подготовку и освоение производства;
- РСЭО;
- общепроизводственные расходы;
- общехозяйственные расходы;
- прочие производственные расходы;
- потери от брака;
- внепроизводственные расходы.
Сумма этих затрат образует полную себестоимость.
Стоимость материальных затрат на технологические цели определяется на снове норма расхода материалов, топлива, энергии и цен на них без учёта НДС.
Заработная плата производственных рабочих (сдельщиков) определяется на основе сдельных расценок.
Величина накладных расходов рассчитывается как разность между общей суммой затрат по смете и величиной условно-переменных расходов.
Накладные расходы по изделия распределяются в соответствии с трудоёмкостью изготовления изделий по коэффициенту заработной платы.
Ставка распределения накладных расходов рассчитывается по формуле:
(2)
Накладные расходы на изделие А определяется по формуле:
(3)
Накладные расходы на изделие В:
(4)
3.2 Ценообразование
На предприятие используется метод ценообразования: «средние издержки плюс прибыль». Суть метода следующая: производитель товара определяет издержки производства и прибавляет к ним желаемую сумму прибыли, которую рассматривает как вознаграждение за вложенный капитал.
Модель определения цены этим методов:
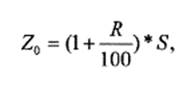
- оптовая цена предприятия, определяется по формуле:
(5)
Где R – рентабельность изделия, %;
S – себестоимость единицы изделия, руб.
Для изделия А оптовая цена предприятия составляет:
Zа=1079*(1+
)=1295
Для изделия В оптовая цена предприятия составляет:
Zв=842*(1+0,15)=968
-отпускная цена находится по формуле
(6)
Где СтНДС – ставка налога на добавленную стоимость.
Отпускная цена для изделия А составляет:
Zа=(1+0,18)*1295=1528
Отпускная цена для изделия А составляет:
Zв=(1+0,18)*968=1142
3.3 Формирование прибыли
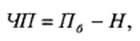
Прибыль – конечный финансовый результат предпринимательской деятельности.
Балансовая прибыль находится по формуле:
(7)
Где Пр – Прибыль от реализации, схема представления в соответствии с рисунком 1;
Пврд – прибыль от вне реализационной деятельности, схема представлена в соответствии с рисунком 2.
Прибыль от реализации находится по формуле:
(8)
Где Поп-прибыль от коммерческой деятельности.
Балансовая прибыль (без НДС) Находиться по формуле:
![]()
Балансовая прибыль составляет:
Пб= (1295-1079)*3150+(968-842)*6150=680400+774900=1455300(руб.)
Прибыль от реализации топлива вычисляется по формуле:
(9)
Прибыль от реализации топлива составляет:
(10)
где ВРД- вне реализационная деятельность.
Доходы по ценным бумагам составляют - 80000(руб.)
Доходы от сдачи помещений в аренду составляет - 80000(руб.)
Итого: балансовая прибыль составляет - 1636486 (руб.) Расчёт суммы налога.
Налог на доходы по ценным бумагам вычисляется следующим образом:
Нд = 80000 *0,15 = 12000 (руб.)
Налог на прибыль вычисляется следующим образом:
Нп – (1636486-30000-80000)*0,2=305297(руб.)
Итого: сумма налога составляет - 317297 (руб.)
4.1.5 Распределение прибыли
Чистая прибыль рассчитывается по формуле:
(11)
Где Н сумма налога.
ЧП=1636486-317297=1319189(руб.)
-инвестиции в развитие производства:
0,4*ЧП=0,4*1319189=527675(руб.)
-фонд потребления:
0,2*ЧП=0,2*1319189=263837(руб.)
-резервный фонд:
0,05*1319189=65959(руб.)
-фонд социальной сферы
0,1*1319189=131918(руб.)
-нераспределённая прибыль:
0,2*1319189=263837(руб.)
4.1.6 Капиталовложения в развитие производства
1)40% чистой прибыли направлены на развитие производства, рассчитывая по формуле:
(12)
где КВ – капиталовложения.
КВ = 100000+527675=627675(руб.)
2) Вся сумма амортизационных отчислений направлена на развитие производства.
100000(руб)
3.4 Снижение себестоимости
Структура затрат представлена в соответствии с таблицей
Таблица 11 – Структура затрат
| Структура затрат | Изделие А | Изделие Б | ||
| Сумма | % | Сумма | % | |
| 1)Материальные затраты | 79 | 3512437 | 67 | |
| 2)Затраты на ОТ+ВБФ | 317520 | 9 | 774900 | 14 |
| 3)Постоянные затраты | 366430 | 10 | 894264 | |
| Итого: | 3399754 | |||
Снижение себестоимости за счёт сокращения материальных затрат (См) определяется по формуле:
(13)
Где 1м – индекс норм расхода материалов;
1ц – индекс цен на материалы, включая транспортные расходы;
Снижение себестоимости за счёт повышения производительности труда (Спт) определяется по формуле:
(14)
Где 1зп – индекс заработной платы производственных рабочих
1пт – индекс производительности труда;
Узп – удельный вес заработной платы в себестоимости продукции, в процентах.
Снижение себестоимости за счёт сокращения затрат на обслуживание управления производством (Су) определяется по формуле:
(15)
Где 1 Упр – индекс расходов по управлению и обслуживанию;
Iv – индекс объёма производства;
Уупр – удельный вес расходов по управлению и обслуживанию в себестоимости продукции в процентах.
Снижение себестоимости по изделию А:
- материалы
См=(1-0,92*1,1)*Удм
См=(1-0,92*1,1) *79= -0,948
-заработная плата
Спт=(
)*Удзп
Спт=(
)*9=0,975
- постоянные затраты;
Спз=(
)*Удпз
Спз=(
*10= -1,65
- итого Себ= -0,948 +0,975 +(-1,65)= -1,623
Са=-1,623*3150*1079 = -5516333,55
Снижение себестоимости по изделию В:
- материалы
См=(1-0,92*1,1)*Удм
См=(1-0,92*1,1) *67= -0,804
-заработная плата
Спт=(
)*Удзп
Спт=(
)*14= 1,512
- постоянные затраты;
Спз=(
)*Удпз
Спз=(
)*17= -2,805
- итого Соб= -0,804+1,512+(-2,805)= -2,097
Са=-2,097*842*6150= -10858895,1
Общее снижение себестоимости по изделию А и В–( -5516333,55+-10858895,1)= = -16375228,65 в результате внедрения новой техники.
3.5 Хозрасчётный годовой экономический эффект
Где Эс – годовая экономия от себестоимости;
КВ – капиталовложения в развитие производства.
Эх = -16375228,65 -(0,15* 627675)=16281077,4(руб.)
Внедрение новой техники экономически целесообразно.
ЗАКЛЮЧЕНИЕ
В курсовой работе по дисциплине «Экономика отросли» на тему «Расчет экономической эффективности внедрения новой техники» была рассмотрена проблема путей снижения себестоимости и получены навыки в составлении сметы затрат на производство и реализацию продукции, составления калькуляции себестоимости продукции, ценообразовании, формирование прибыли, распределение прибыли, капитала вложении развитие в производства, хозрасчетном годовом экономическом эффекте, критериях оценки инвестиционных проектов.
В результате изучения темы была достигнута цель курсового проектирования - закрепление полученных теоретических знаний по дисциплине экономика организации.
Таким образом, по окончанию изучения темы можно сделать вывод, что в себестоимости как в обобщающем экономическом показателе находят свое отражение все стороны деятельности предприятия: степень технологического оснащения производства и освоения технологических процессов; уровень организации производства и труда, степень использования производственных мощностей; экономичность использования материальных и трудовых ресурсов и другие условия и факторы, характеризующие производственно-хозяйственную деятельность.
1. Скляреноко В.К., Прудников В.М., Экономика предприятия: конспект лекций / М.:Инфра-м 2004г.
2. Сафронов Н.А., Экономика организации (предприятия) /М -.: Экономист, 2005г.
3. Грузинов В. Экономика предприятия и предпринимательства / -М.: Софит, 2004г.
4. Под редакцией Ильенковой С. Экономика предприятия: Учебник /М.: Финансы и статистика 2002г.