| Похожие рефераты | Скачать .docx | Скачать .pdf |
Реферат: Поиски более рационального способа решения систем линейных уравнений с двумя переменными - методом подстановки
Министерство образования и науки Республики Казахстан
Алматинская область Карасайский район
Секция: математическая
ТЕМА: Поиски более рационального способа решения систем линейных уравнений с двумя переменными - методом подстановки
Школа им. Ш. Кудайбердыулы
Ученик 8 класса
Басов Ярослав Андреевич
Научный Руководитель:
Нигматуллина Ирина Ильдаровна
Научный консультант:
Поселок Нурлытау 2009 г.
План
Введение
Глава 1. Цель исследования
Глава 2. Методика исследования данной работы
Глава 3. Результаты исследования и их практическая значимость
Список использованной литературы
Приложение
Введение
Основная цель при решении систем линейных уравнений - решить систему уравнений, то есть найти все ее решения или доказать, что решений нет. Для решения системы уравнений с двумя переменными используются:
1-графический способ,
2. способ подстановки,
3 - способ сложения.
Практическое применение этих способов - это решение задач, по алгебре, физике, химии, геометрии.
1 - Кроме этого умение определить без построения графиков число решений системы линейных уравнений с числовыми коэффициентами. Основная цель, которая ставится при изучении темы - понять, то, что вопрос о числе решений системы двух линейных уравнений (если исключить выраженный случай а=0, в=0 для линейного уравнения ах + ву = с) сводиться к определению числа общих точек прямых, являющимися графиками уравнений системы.
Известно, что графиком линейного уравнения является прямая.
Рассмотрим три случая расположения прямой.
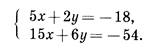
Случай 1.
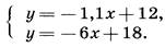
Прямые, являющиеся графиком уравнения, входящих в эту систему, пересекаются. Решим систему уравнений:
![]()
![]()
Уравнениями у = - 1, Iх + 12 и у = - 6х + 18 задаются линейные функции. Угловые коэффициенты прямых , являющихся графиками этих функций, различны . Значит, эти прямые пересекаются , и система имеет единственное решение. Прировняв правые части уравнений, найдем точку пересечения Данная система имеет единственное решение: пара чисел.
Случай 2.
Прямые, являющиеся графиками уравнений системы, параллельны. Решим систему уравнений:
![]()
![]()
Прямые, являющиеся графиками линейных функций у = - О,4х+О,15 и
У = - О,4х+3,2, параллельны , так как их угловые коэффициенты одинаковы , а точки пересечения с осью у различны. Отсюда следует, что данная система уравнений не имеет решений
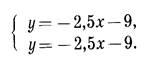
Случай 3.
Прямые, являющиеся графиками уравнений системы, совпадают.


Очевидно, что графики уравнений совпадают. Это означает, что любая пара чисел (х; у), в которой х - произвольное число, а у = - 2,5х - 9, является решением системы. Система имеет бесконечно много решений.
Главная проблема при решении системы линейных уравнений графическим способом у учащихся это?
не умения, выражать одну переменную через другую.
не правильное построение системы координат (различный единичный отрезок на осях ординат и абсцисс).
Рассмотрим способ решения систем линейных уравнений с двумя переменными, называемый способом подстановки. Начнем с задачи.
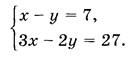
Ученик задумал два числа. Первое число на 7 больше второго. Если от утроенного первого числа вычесть удвоенное второе число, то получится 27 Какие числа задумал ученик?
Решение: Пусть х - первое число, у - второе число. По условию задачи составим систему уравнений.

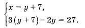
В первом уравнении выразим х через у: х = у + 7.
Подставив во второе уравнение вместо переменной х выражение х = у + 7, получим систему

Второе уравнение системы представляет собой уравнение с одной переменной.
Решим его:
Зу+2I-2у=27; у=6.
Подставив в первое уравнение системы вместо переменной у ее значение, равное 6, получим:
х=6+ 7;
х= 13.
Пара чисел (13;
6) является решением системы. Ответ: (13;
6).
Главная проблема при решении системы линейных уравнений способом подстановки у учащихся это?
не умения, выражать одну переменную через другую.
не умение, подставить уже полученную переменную (не видят)
Рассмотрим еще один способ решения систем линейных уравнений - способ сложения. При решении систем этим способом, как и при решении способом подстановки, мы переходим от данной системы к другой, равносильной ей системе, в которой одно из уравнений содержит только одну переменную.
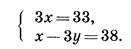
Решим систему уравнений:

В уравнениях этой системы коэффициенты при у являются противоположными числами. Сложив почтенно левые и правые части уравнений, получим уравнение с одной переменной:
3х = 33.
Заменим одно из уравнений системы (1), например первое, уравнением 3х=33. Получим систему:
![]()
Система (2) равносильна системе (1). Решим систему (2). Из уравнения 3х=33 находим, что х=11. Подставив это значение х в уравнение х-3у=38, получим уравнение с переменной у:
Решим это уравнение:
II-Зу=38.
3у=27,у= - -9.
Пара (11; - 9) - решение системы (2), а значит, и данной системы (1).
Воспользовавшись тем, что в уравнениях системы (1) коэффициенты при у являются противоположными числами, мы свели ее решение к решению равносильной системы (2), в которой одно из уравнений содержит только одну переменную.
Геометрически равносильность систем (1) и (2) означает, что графики уравнений 2х+3у= - 5 и х-3у=38 пересекаются.
Главная проблема при решении системы линейных уравнений способом подстановки у учащихся это?
1) не умение, подставить уже полученную переменную (не видят)
Проанализировав основные проблемы решение линейных систем уравнений с двумя переменными, можно сделать вывод:
Главная проблема при решении систем линейных уравнений различными способами у учащихся это?
не умения, выражать одну переменную через другую. (в трех случаях)
не умение, подставить уже полученную переменную (в двух случаях)
И обе эти проблемы встречаются при решении линейных систем уравнений способом подстановки.
Почему я решил проводить исследование в этой области?
Проанализировав основные проблемы решение линейных систем уравнений с двумя переменными, можно сделать вывод.
Главная проблема при решении систем линейных уравнений различными способами у учащихся это?
не умения, выражать одну переменную через другую. (в трех случаях)
не умение, подставить уже полученную переменную (в двух случаях)
И обе эти проблемы встречаются при решении линейных систем уравнений способом подстановки.
Кроме этого, решение задач составлением систем уравнений, по физике, алгебре, геометрии и химии для таких учащихся останутся недоступными. Поэтому я решил, заняться, поиском более рационального способа решения систем линейных уравнений с двумя переменными - методом подстановки.
Я считаю, что моя работа, в этом направлении очень актуальна.
Глава 1. Цель исследования
1. Найти более рациональный способ решения систем линейных уравнений с двумя переменными - методом подстановки.
Из истории решения системы уравнений, содержащей одно уравнение второй степени и одно линейное в древневавилонских текстах, написанных в III-II тысячелетиях до н.э., содержится немало задач, решаемых с помощью составления систем уравнений, в которые входят и уравнения второй степени.
Задача 1 “Площади двух своих квадратов я сложил:
. Сторона второго квадрата равна
стороны первого и еще 5".
Соответствующая система уравнений в современной записи имеет вид:

Для решения системы (1) вавилонский автор возводит во втором уравнении у в квадрат и согласно формуле квадрата суммы, которая ему, видимо, была известна, получает:
![]()
Подставляя это значение у в первое из системы уравнений (1), автор приходит к квадратному уравнению:
![]()
Решая это уравнение по правилу, применяемому нами в настоящее время, автор находит х, после чего определяет у. Итак, хотя вавилоняне и не имели алгебраической символики, они решали задачи алгебраическим методом.
Диофант, который не имел обозначений для многих неизвестных, прилагал немало усилий для выбора неизвестного таким образом, чтобы свести решение системы к решению одного уравнения. Вот один пример из его “Арифметики".
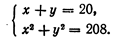
Задача 2. “Найти два числа, зная, что их сумма равна 20, а сумма их квадратов - 208".
Эту задачу мы решили бы путем составления системы уравнений:
![]()
Диофант же, выбирая в качестве неизвестного половину разности искомых чисел, получает (в современных обозначениях):

Складывая эти уравнения, а затем вычитая одно из другого (все это Диофант производит устно), получаем
x = 2 + 10; у = 10 - 2. Далее, х2 + у2 = (г + lO) 2 + (10 - г) 2 == 2 z2 + 200 .
Таким образом,
2 z2 + 200 = 208,
Откуда
z = 2; х = 2 + 10 = 12; у = 10 - 2 = 8.
В поисках различных решений я обнаружил следующее.
Основные методы решения рациональных уравнений.
1) Простейшие: решаются путём обычных упрощений - приведение к общему знаменателю, приведение подобных членов и так далее. Квадратные уравнения ax2 + bx + c = 0 решаются по выведенной нами формуле

Также используется теорема Виета:
x1 + x2 = - b / a; x1 x2 = c / a.
2) Группировка: путём группировки слагаемых, применения формул сокращённого умножения привести (если удастся) уравнение к виду, когда слева записано произведение нескольких сомножителей, а справа - ноль. Затем приравниваем к нулю каждый из сомножителей.
3) Подстановка: ищем в уравнении некоторое повторяющееся выражение, которое обозначим новой переменной, тем самым упрощая вид уравнения. В некоторых случаях очевидно что удобно обозначить. Например, уравнение (x2 + x- 5) / x + 3x / (x2 + x- 5) + 4 = 0,легко решается с помощью подстановки (x2 + x- 5) / x = t, получаем t + (3/t) + 4 = 0. Или: 21/ (x2 - 4x+ 10) - x2 + 4x = 6. Здесь можно сделать подстановку x2 - 4 = t. Тогда 21/ (t + 10) - t = 6 и т.д.
В более сложных случаях подстановка видна лишь после нескольких преобразований. Например, дано уравнение
(x2 + 2x) 2 - (x +1) 2 = 55.
Переписав его иначе, а именно (x2 + 2x) 2 - (x2 + 2x + 1) = 55, сразу увидим подстановку x2 + 2x=t.
Имеем t2 - t- 56 = 0, t1 = - 7, t2 = 8. Осталось решить x2 + 2x = - 7 и x2 + 2x = 8. В ряде других случаев удобную подстановку желательно знать “заранее". Например
1) Уравнение (x + a) 4 + (x + b) 4 = cсводится к биквадратному, если сделать подстановку
x = t- (a + b) / 2.
2) Симметрическое уравнение (возвратное) a0 xn + a1 xn - 1 + … + a1 x + a0 = 0 (коэффициенты членов, равностоящих от концов, равны) решается с помощью подстановки x + 1/x = t, если n - чётное; если n - нечётное, то уравнение имеет корень x = - 1.
3) Уравнение вида (x + a) (x + b) (x + c) (x + d) = l сводится к квадратному, если a + b = c + dи т.д.
4) Подбор: при решении уравнений высших степеней рациональные корни уравнения an xn + an - 1 xn - 1 + …+ a1 x + a0 = 0 ищем в виде p / q, где p - делитель a0 , q - делитель an , p и qвзаимно просты, pÎZ, qÎN.
5) “Искусство”, т.е. решать пример нестандартно, придумать “свой метод", догадаться что-то прибавить и отнять, выделить полный квадрат, на что-то разделить и умножить и т.д.
6) Уравнения с модулем: при решении уравнений с модулем используется определение модуля и метод интервалов. Напомним, что
f (x), если f (x) ³0,|f (x) | =
f (x), если f (x) < 0.
Это уже изученные методы и широко применяемые в практической математике. Выделенные жирным курсивом - это методы мною изучаемые 5) “Искусство", - это то, что мне предстоит найти.
Хотелось бы остановится на некоторых из них.
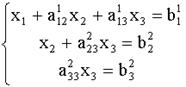
Метод Гаусса.
Пусть дана система линейных уравнений
(1)
Коэффициенты a 11, 12, ..., a 1n, ..., a n1, b 2, ..., b n считаются заданными. Вектор - строка í x 1, x 2, ..., x n ý - называется решением системы (1), если при подстановке этих чисел вместо переменных все уравнения системы (1) обращаются в верное равенство.
Определитель n-го порядка D = ç A ê = ç a ij ç, составленный из коэффициентов при неизвестных, называется определителем системы (1). В зависимости от определителя системы (1) различают следующие случаи.
a). Если D ¹ 0, то система (1) имеет единственное решение, которое может быть найдено методом ГАУССА. б). Если D = 0, то система (1) либо имеет бесконечное множество решений, либо несовместна, т.е. решений нет.
1. Рассмотрим систему 3-х линейных уравнений с тремя неизвестными.
(2).
Метод Гаусса решения системы (2) состоит в следующем: Разделим все члены первого уравнения на
, а затем, умножив полученное уравнение на
, вычтем его соответственно из второго и третьего уравнений системы (2). Тогда из второго и третьего уравнений неизвестное
будет исключено, и получиться система вида:
(3)
Теперь разделим второе уравнение системы (3) на
, умножим полученное уравнение на
и вычтем из третьего уравнения. Тогда из третьего уравнения неизвестное
будет исключено и получиться система треугольного вида:
(4)
Из последнего уравнения системы (4) находим
, подставляя найденное
подставляя найденное значение в первое уравнение, находим
.
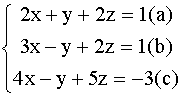
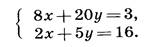
Методом Гаусса решить систему:

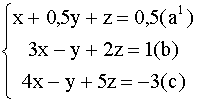
Решение: Разделив уравнение (а) на 2, получим систему

Вычтем из уравнения (b) уравнение
, умноженное на 3, а из уравнения (c) - уравнение
, умноженное на 4.
Разделив уравнение
(
) на - 2,5, получим:

Вычтем из уравнения (
) уравнение
, умноженное на - 3:

Из уравнения
находим Z=-2; подставив это значение в уравнение
, получим Y=0,2-0,4Z=0,2-0,4 (-2) =1; наконец, подставив значение Z=-2 и Y=1 в уравнение (a 1)
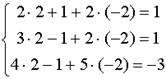
, находим X=0,5-0,5Y-Z=0,5-0,5 1 - (-2) =2. Итак, получаем ответ X=2, Y=1, Z=-2.
Проверка:

Линейные уравнения.
Уравнения вида ax+b=0, где a и b - некоторые постоянные, называется линейным уравнением.
Если a¹0, то линейное уравнение имеет единственный корень: x = - b /a.
Если a=0; b¹0, то линейное уравнение решений не имеет.
Если a=0; b=0, то, переписав исходное уравнение в виде ax = - b, легко видеть, что любое xявляется решением линейного уравнения.
Уравнение прямой имеет вид: y = ax + b.
Если прямая проходит через точку с координатами X0 и Y0 , то эти координаты удовлетворяют уравнению прямой, т.е. Y0 = aX0 + b.
Пример 1.1 Решить уравнение
2x- 3 + 4 (x- 1) = 5.
Решение. Последовательно раскроем скобки, приведём подобные члены и найдём x: 2x- 3 + 4x- 4 = 5, 2x + 4x = 5 + 4 + 3,6x = 12, x = 2.
Ответ: 2.
Пример 1.2 Решить уравнение 2x - 3 + 2 (x- 1) = 4 (x- 1) - 7.
Решение.2x + 2x- 4x = 3 +2 - 4 - 7, 0x = - 6.
Ответ: Æ.
Пример 1.3 Решить уравнение.
2x + 3 - 6 (x- 1) = 4 (x- 1) + 5.
Решение.
2x- 6x + 3 + 6 = 4 - 4x + 5,- 4x + 9 = 9 - 4x,
4x + 4x = 9 - 9,0x = 0.
Ответ: Любое число.
Системы линейных уравнений.
Уравнение вида
a1 x1 + a2 x2 + … + an xn = b,
где a1 , b1 , …,an , b - некоторые постоянные, называется линейным уравнением с n неизвестными x1 , x2 , …, xn .
Система уравнений называется линейной, если все уравнения, входящие в систему, являются линейными. Если система из n неизвестных, то возможны следующие три случая:
система не имеет решений;
система имеет ровно одно решение;
система имеет бесконечно много решений.
Пример: решить систему уравнений
x +
y-
z = 2,2
x- y + 4 z = 1,
x + 6 y + z = 5.
Решение. При решении систем линейных уравнений удобно пользоваться методом Гаусса, который состоит в преобразовании системы к треугольному виду.
Умножаем первое уравнение системы на - 2 и, складывая полученный результат со вторым уравнением, получаем - 3y + 6z = - 3. Это уравнение можно переписать в виде y- 2z = 1. Складывая первое уравнение с третьим, получаем 7y = 7, или y = 1.
Таким образом, система приобрела треугольный вид
x + y- z = 2,
y- 2z = 1 ,y = 1.
Подставляя y = 1 во второе уравнение, находим z = 0. Подставляя y =1 и z = 0 в первое уравнение, находим x = 1.
Ответ: (1; 1; 0).
Системы уравнений второй степени.
В простейших случаях при решении систем уравнений второй степени удаётся выразить одно неизвестное через другое и подставить это выражение во второе уравнение.
При решении систем уравнений второй степени часто используется также способ замены переменных.
Пример. Среди решений (x; y) системы найти то, для которого сумма (x + y) максимальна. Вычислить значение этой суммы.
2x + y = 7,
xy = 6.
Решение. Из первого уравнения получаем y = 7 - 2x. Подставляя значение y во второе уравнение, получаем систему уравнений
y = 7 - 2x,
7x- 2x2 = 6.
Квадратное уравнение - 2x2 + 7x- 6 = 0 имеет корни X1 = 2; X2 = 3/2. Из первого уравнения получаем Y1 = 3; Y2 = 4.
Решения имеют вид (2;3) и (1,5;4). Наибольшая сумма x + y = 1,5 + 4 = 5,5.
Ответ: 5,5.
Метод введения новых неизвестных при решении уравнений и систем уравнений.
При решении биквадратных и возвратных уравнений мы вводили новые неизвестные (у = х2 для биквадратных уравнений и у = х + 1/х для возвратных уравнений). Введение новых неизвестных применяется также при решении уравнений иного вида и систем уравнений.
Пример Решим уравнение 12/ (х2 + 2х) - 3/ (х2 + 2х - 2) = 1.
Решение. Если попробовать привести дробь в левой части уравнения к одному знаменателю, то получим уравнение четвёртой степени, которое мы умеем решать.
Чтобы решить заданное уравнение, заметим, что в обе дроби входит одно и то же выражение х2 + 2х. Поэтому введём новое неизвестное у, положив, что у = х2 + 2х. Тогда уравнение примет вид
12/у - 3/ (у - 2) = 1 или (у2 - 11у + 24) / (у (у - 2)) = 0,откуда y1 = 3; y2 = 8. Осталось решить уравнения х2 + 2х = 3 (его корни х1 = 1, х2 = -3) и х2 + 2х = 8 (его корни х3 = 2, х4 = -4).
Применённый метод называется методом введения новых неизвестных, и его полезно применять, когда неизвестное входит в уравнение всюду в виде одной и той же комбинации (особенно если эта комбинация содержит степени неизвестного выше первой).
Пример. Решим систему уравнений
2/х + 3/у = 8,5
/х - 2/у = 1.
Решение.
Обозначим 1/х через U, а 1/у через V.
Тогда система примет вид
2U + 3V = 8,5
U- 2V = 1,
т.е. получится система двух линейных уравнений с двумя неизвестными U и V. Из первого уравнения выражаем U через V: U = 4 - 3V / 2, и подставляя во второе: 5 (4 - 3V / 2) -2V = 1, откуда V = 2. Теперь находим U = 1 и решаем уравнения 1/x = 1, 1/y = 2.
Ответ: x = 1, y = 0,5.
Однородные уравнения.
Пример Решим систему уравнений
8х2
- 6ху + у2 = 0,
х2 + у2 = 5.
Решение. заметим, что для решения системы выполняется условие у ¹ 0. В самом деле, из первого уравнения следует, что если у = 0, то и х = 0, а числа х = 0 и у = 0 не удовлетворяют второму уравнению системы. Разделим первое уравнение на у2 .
Получится уравнение
8х2/ у2 - 6ху / у2 + у2/ у2 = 0 или
8х2/ у2 - 6х / у + 1 = 0.
Введём вспомогательное неизвестное U = х / у.
Уравнение примет вид
8U2 - 6U + 1 = 0.
Это квадратное уравнение, имеющее корни U1 = 0,5; U2 = 0,25. Таким образом, из первого уравнения мы получаем что либо x / y = 1/2, либо x / y = 1/4. Осталось подставить выражения у =2х и у = 4х (рассмотрев оба случая) во второе уравнение системы. В первом случае получается уравнение 5х2 = 5, откуда х1 = 1, х2 = - 1; соответственно у1 = 2, у2 = - 2.
Во втором случае получается уравнение17х2 = 5, откуда х3 = Ö (5/17), x4 = -Ö (5/17); соответственно y3 = 4Ö (5/17), y4 = - 4Ö (5 /17).
Первое уравнение системы нам удалось представить как уравнение относительно x / y благодаря тому, что степень всех членов, входящих слагаемыми в это уравнение (8x2 , 6xy, y2 ), одна и та же - она равна двум. Поэтому после деления на y2 каждое слагаемое выразилось через x / y.
Многочлен от двух переменных x и y такой, что степень каждого его члена равна одному и тому же числу k, называется однородным многочленом степени k.
Уравнение вида P (x, y) = 0 называется однородным уравнением степени kотносительно x и y, если P (x, y) - однородный многочлен степени k. Однородное уравнение относительно x и y делением на yk ( если y = 0 не является корнем уравнения) превращается в уравнение относительно неизвестного x / y. Это свойство однородного уравнения помогает решать многие задачи.
Решение симметрических систем уравнений.
Напомним, что многочлен P (x, y) называется симметрическим, если P (x, y) = P (y, x).
При решении систем уравнений вида
P1
(x, y) = 0,
P2 (x, y) = 0,
где P1 (x, y) и P2 (x, y) - симметрические многочлены, полезной оказывается такая замена неизвестных: x + y = U, xy = V. Напомним, что любой симметрический многочлен P (x, y) можно представить как выражение от U и V.
Пример Решить систему уравнений
x2
+ xy + y2
= 49,
x + y + xy = 23.
Решение. Заметим, что:
x2 + xy + y2 = x2 + 2xy + y2 -x
y = (x + y) 2 -xy.
Сделаем замену неизвестных: x + y = U, xy =V.
Система примет вид:
U2
-V = 49,
U + V = 23.
Сложив эти уравнения, получим уравнение U2 + U- 72 = 0 с корнями U1 = 8,U2 = -9. Соответственно V1 = 15, V2 = 32. Остаётся решить системы уравнений:
x + y = 8,xy = 15,
x + y = -9,xy = 32.
Система x + y = 8, имеет решения:
x1 = 3, y1 = 5; x2 = 5,
y2 = 3.xy = 15.
Система x + y = - 9, действительных решений не имеет. Ответ: x1 = 3, y1 = 5; x2 = 5, y2 = 3.
Глава 2. Методика исследования данной работы
Методика исследовании.
Моя основная цель, найти более рациональный способ решения систем линейных уравнений с двумя переменными - методом подстановки.
Поэтому я решил использовать метод “Искусство", т.е. решать примеры нестандартно, придумать “свой метод", догадаться что-то прибавить и отнять, выделить полный квадрат, на что-то разделить и умножить и т.д.
При решении систем уравнений второй степени часто используется также способ замены переменных - его я тоже решил применить.
Итак, для решения проблемы я решил использовать два методы решений:
1. метод "Искусство" - "свой метод"
2. метод замены переменных
Этапы исследования.



Основными методами решения систем являются метод подстановки и метод введения новых переменных.
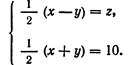
Предлагается симметрическая система уравнений; стабильная замена переменных
![]()
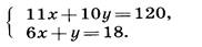
Решение задач:
Старинная задача.
Три сестры пришли на рынок с цыплятами. Одна принесла для продажи 10 цыплят, другая 16, третья 26. До полудня они продали часть своих цыплят по одной и той же цене. После полудня опасаясь,, что не все цыплята будут проданы, они понизили цену и распродали оставшихся цыплят снова по одинаковой цене. Домой все трое вернулись с одинаковой выручкой: каждая сестра получила от продаж 35 рублей.
По какой цене продали они цыплят до и после полудня?
Решение
Обозначим число цыплят проданных каждой сестрой до полудня, через х, у, z. Во вторую половину дня они продали 10 - х, 16 - у, 26 - z. Цену до полудня обозначим через m, после полудня - через n. Для ясности сопоставим эти обозначения.
| Число проданных цыплят | цена | |||
До полудня После полудня |
Х 10 - х |
У 16 - у |
Z 26 - z |
m n |
Первая сестра выручила: m х + n (10 - х) следовательно, m х + n (10 - х) = 35, вторая: m у + n (16 - у) следовательно, m у + n (16 - у) =35, третья: mz+ n (26 - z) следовательно, mz+ n (26 - z) =35
Преобразуем эти три уравнения:
![]()
m х + n (10 - х) = 35 (m- n) х +10 n =35
m у + n (16 - у) =35 ( m- n) у +16 n =35
mz+ n (26 - z) =35 (m- n) z+26 n =35
Вычтя из третьего уравнения первое, затем второе, получим:
![]()
(m- n) (z - х) +16 n =0 (m- n) (z - х) =16 n
(m- n) (z - у) +10 n =0 или (m- n) (z - у) =10 n
Делим первое из этих уравнений на второе
х - z8 х - zу - z
у - z= 5 или 8 = 5
так как х, у, z. - целые числа, то и у - z, х - z - тоже целые числа. Поэтому для существования равенства
х - zу – z, 8 = 5
необходимо, чтобы х - z делилось на 5, а у - zна 5. следовательно:
х - zу – z, 8 = t = 5
откуда х = z+ 8 tу = z +5 t
Число t - не только целое, но и положительное, т.к х > z (в противном случае первая сестра не смогла бы выручить столько же, сколько третья).
Так как х <10, то z + 8 t < 10.
При целых и положительных z и t последнее неравенство удовлетворяет только в одном случае; когда z= 1 и t =1. Подставив эти значения в уравнения х = z+ 8 tу = z +5 tнаходим х = 9, у = 6
Вернемся к уравнениям:
m х + n (10 - х) = 35
m у + n (16 - у) =35
mz+ n (26 - z) =35
подставив в них найденные значения х, у, z., узнаем цены, по каким продавались цыплята. m= 3,75 рублей n - = 1,25 рублей
Итак, цыплята продавались до полудня по 3 рубля 75 копеек, после полудня по 1 рублю 25 копеек.
Эта задача, которая привела к трем уравнениям с 5 неизвестными, мы решили не общему образцу, а по свободному математическому соображению.
Очень много задач, таких как: отгадать день рождения, два числа и четыре действия, два двухзначных числа покупка галстуков, почтовых марок - решается приведением неопределенных уравнений второй степени - Диофантовы уравнения.
Глава 3. Результаты исследования и их практическая значимость
Метод “Искусство", т.е. решать примеры нестандартно, придумать “свой метод", догадаться что-то прибавить и отнять, выделить полный квадрат, на что-то разделить и умножить и т.д.
Если работа в поисках более рациональный способ решения систем линейных уравнений с двумя переменными - методом подстановки будет успешна, то практическая значимость будет очевидна.
Список использованной литературы
1. Алгебра 8 класс. Н.Я. Виленкин. Москва, изд. "Просвещение", 1995.
2. Задачи по математике для поступающих во ВТУЗы. Р.Б. Райхмист. Москва, изд. "Высшая школа", 1994.
3. Готовимся к экзамену по математике. Д.Т. Письменный. Москва, изд. "Айрис", 1996.
4. Задачи по математике. Уравнения и неравенства. Вавилов В.В., Мельников И.И. Москва, изд. "Наука", 1987.
5. Алгебра. Пособие для самообразования. С.М. Никольский. Москва, изд. "Наука", 1985.
6. Справочник по методам решения задач по математике. А.Г. Цыпкин. Москва, изд. "Наука", 1989.
7. Решение задач. И.Ф. Шарыгин. Москва, изд. "Просвещение", 1994.
8. Математика. Алгебра и начала анализа. А.И. Лобанова. Киев, изд. "Ваша школа", 1987.
9. Алгебра.9 класс. Н.Я. Виленкин. Москва, изд. "Просвещение", 1996.
10. Алгебра в 6 классе Моска, изд. "Просвещение" 1977. ст 76-93
11. Готовимся к олимпиадам по математике. У М.П. А.В. Фарков " Москва изд. "Экзамен" 2007г ст.102-105
12. Алгебра 7 класс Москва, изд. "Просвещение", 1989г ст. 190-200
13. Математика У. М.П. Алматы изд. "ШЫН" 2008 г ст.91
Приложение
Цель исследования.
Найти более рациональный способ решения систем линейных уравнений с двумя переменными - методом подстановки.
Гипотеза:
Проанализировав основные проблемы решение линейных систем уравнений с двумя переменными, можно сделать вывод. Главная проблема при решении систем линейных уравнений различными способами у учащихся это?
1) не умения, выражать одну переменную через другую. (в трех случаях)
2) не умение, подставить уже полученную переменную (в двух случаях)
И обе эти проблемы встречаются при решении линейных систем уравнений способом подстановки.
Кроме этого, решение задач составлением систем уравнений, по физике, алгебре, геометрии и химии для таких учащихся останутся недоступными. Поэтому я решил, заняться, поиском более рационального способа решения систем линейных уравнений с двумя переменными - методом подстановки.
Я считаю, что моя работа, в этом направлении очень актуальна.
Методика эксперимента.
Моя основная цель, найти более рациональный способ решения систем линейных уравнений с двумя переменными - методом подстановки.
Поэтому я решил использовать метод “Искусство", т.е. решать примеры нестандартно, придумать “свой метод".
При решении систем уравнений второй степени часто используется также способ замены переменных - его я тоже решил применить.
Итак, для решения проблемы я решил использовать два методы решений:
1. метод "Искусство" - "свой метод"
2. метод замены переменных
Этапы исследования.
Решение систем линейных уравнений и поиски "своего метода"
Новизна нашего исследования заключается в следующим.
Метод “Искусство", т.е. решать примеры нестандартно, придумать “свой метод", догадаться что-то прибавить и отнять, выделить полный квадрат, на что-то разделить и умножить и т.д. - это всегда поиск чего то нового.
Практическая значимость.
Если работа в поисках более рациональный способ решения систем линейных уравнений с двумя переменными - методом подстановки будет успешна то практическая значимость будет очевидна.
Похожие рефераты:
Лекции (1-18) по мат. анализу 1 семестр
Рациональные уравнения и неравенства
Высшая математика для менеджеров
Математические основы теории систем
Шпаргалки на экзамен в ВУЗе (1 семестр, математика)
Содержание и значение математической символики
Большая коллекция шпор для МАТАНа (1 семестр 1 курс)
Методические указания и контрольные задания для студентов-заочников
Химия, элементы таблицы Менделеева
Методика решения иррациональных уравнений и неравенств в школьном курсе математики
Самостоятельная работа как средство обучения решению уравнений в 5-9 классах
Шпаргалки по геометрии, алгебре, педагогике, методике математики (ИГПИ)
Методика решения иррациональных уравнений и неравенств в школьном курсе математики