| Скачать .docx | Скачать .pdf |
Реферат: Радиационные пояса
Кузнецов С.Н., Тверская Л.В., НИИ ядерной физики им. Д.В. Скобельцына МГУ им М.Ломоносова,
1. Введение
В настоящем разделе мы кратко рассмотрим особенности движения заряженных частиц в магнитном и электрическом полях в магнитосфере Земли. С более подробным изложением этих вопросов можно ознакомиться в (Альвен, Фельтхаммер, 1967; Лайонс, Вильямс, 1987; Chen, 1970).
1.1 Движение частиц в геомагнитном поле
Значительная часть частиц радиационных поясов находится в магнитном поле, основным источником которого являются токи внутри Земли. Они создают поле близкое к дипольному. Краткие характеристики этого поля на 2005 г.: ось диполя наклонена к оси Земли на 10.26° и на поверхности Земли имеет координаты 79.74°N и 71.8°W; центр диполя сдвинут относительно центра Земли на ~ 500 км. Магнитное поле диполя в плоскости экватора геомагнитного диполя меняется по закону:
(3.2.1)
где Rэ – расстояние от центра диполя, Rз – радиус Земли. Силовая линии дипольного поля описывается формулой
(3.2.2)
где λ – геомагнитная широта. Дипольное поле меняется вдоль силовой линии как
(3.2.3)
При анализе распределения частиц радиационных поясов в магнитосфере Земли необходимо исходить из структуры и физических свойств магнитосферы. Во-первых, необходимо учитывать недипольность геомагнитного поля на больших расстояниях, вызванную давлением солнечного ветра. Во-вторых, многие явления в магнитосфере могут быть объяснены при предположении существования в магнитосфере Земли квазиоднородного электрического поля величиной 10-6 – 10-5 В/см, направленного с утра на вечер.
Движение частиц c Е < 1 ГэВ в дипольном поле можно представить как суперпозицию трех независимых движений: ларморовского вращения частицы в плоскости перпендикулярной магнитному полю; колебания мгновенного центра вращения (ведущего центра) вдоль силовых линий и дрейфа ведущего центра вокруг Земли.
Ларморовское вращение совершается с периодом τ1:
(3.2.4)
где Е - кинетическая энергия частицы в МэВ, Е0 - энергия покоя частицы в МэВ (для электрона Е0= 0.51 МэВ, для протона Е0= 938 МэВ) и В – магнитное поле в Гс.
Ларморовская частота 1/τ1 электронов вблизи Земли ~1 MГц, протонов – ~1 кГц, при удалении от Земли частота уменьшается как 1/Rз. Ларморовский радиус вращения частицы

(3.2.5)
где p ⊥ - поперечный импульс частицы, с – скорость света и α - угол между векторами скорости частицы и локального магнитного поля (питч-угол). Здесь В выражено в Гс, p⊥ с - в эВ, Е и Е0 в МэВ.
Ларморовский радиус электронов радиационных поясов в геомагнитном поле не превосходит нескольких километров, а для протонов его величина может достигать нескольких сотен километров.
В процессе движения частицы вдоль силовой линии выполняется соотношение sin2<α /B=const. Отсюда, зная питч-угол α на экваторе, можно определить напряженность поля в точке отражения:
(3.2.6)
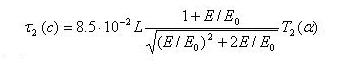
Период колебания частицы между точками отражения
(3.2.7
где Т2 (α)= 1,3-0,563 sin αэ.
Дрейф вокруг Земли по долготе для частиц с разными знаками заряда происходит в противоположных направлениях (электроны движутся на восток, протоны – на запад). Период дрейфа вокруг Земли
(3.2.8)
где K= 1,25-0,25 cos 2λm, λm – геомагнитная широта точки отражения, Е – в МэВ.
Для нерелятивистских частиц τ3= 44/(EL).
Рассмотренным периодическим движениям соответствуют некоторые величины, сохраняющиеся (в среднем) при движении частицы, если за время, характерное для данного типа движения: (τ1,τ2,τ3), изменением магнитного поля можно пренебречь:
(3.2.9)
Эти величины называются адиабатическими инвариантами движения частиц.
Первым адиабатическим инвариантом является магнитный момент частицы ![]()
Второй, или продольный инвариант (инвариант продольного действия)
(3.2.10)
Используя эти два инварианта, а также то, что Е = const в постоянном магнитном поле, можно показать, что в дипольном поле частицы с разными энергиями и питч-углами, находящиеся на одной силовой линии, при дрейфе вокруг Земли движутся практически по одной и той же оболочке (дрейфовой оболочке). Поэтому трехмерное представление захваченной радиации сводится к двумерному и характеризуется функцией двух координат: L = Rэ/Rз и В.
В том случае, когда точки отражения захваченных частиц находятся на малых высотах над поверхностью Земли, для учета влияния атмосферы на захваченные частицы вводят параметр hmin, представляющий минимальную высоту над поверхностью Земли, на которую опускается частица на данной дрейфовой оболочке L.
Третий инвариант Ф определяется как поток геомагнитного поля через экваториальную плоскость вне данной L-оболочки. При B/(dB/dt)~τ3 третий инвариант сохраняться не будет, но поскольку при этом В/(dB/dt) > (τ1 ,τ2), первые два инварианта μ и I сохраняются. Магнитное поле на данной L-оболочке будет меняться, при этом E/B=const вследствие сохранения μ, и частица может перейти на другую L-оболочку с соответствующим изменением Е.
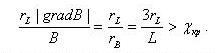
Если B/(dB/dt)~{τ1, τ2}, то ларморовское движение частицы и ее колебания между точками отражения нельзя считать независимыми движениями. При этом нарушается μ и J, экваториальный питч-угол частицы изменяется, и она может высыпаться в атмосферу. При большом импульсе частицы
(3.2.11)
Здесь rB – радиус кривизны магнитной силовой линии на экваторе. В дипольном поле rB=L/3. В таком случае частица не может находиться в магнитной ловушке в захваченном состоянии и быстро покидает ее. Согласно экспериментальным данным (Ильин, Кузнецов, 1975) χкр~0.1, это соответствует
(3.2.12)
Для протонов это приводит к следующему выражению для максимальной энергии частиц, захваченных на данной L-оболочке (нерелятивистский случай):
(3.2.13)
По расчетам (Кузнецов, Юшков, 2002) χкр=0.109exp(1.928sin2α).
1.2 Движение частицы при наличии электрического поля
Для объяснения многих явлений в магнитосфере Земли необходимо допустить существование электрического поля ε, перпендикулярного магнитному. При этом на движение ведущего центра частицы вокруг Земли накладывается дрейф в направлении, перпендикулярном электрическому и магнитному полю со скоростью Vε (смс-1): Vе = 157ε/B , 3.2.14 где ε - напряженность электрического поля в кВ/Rз, B – магнитное поле в Гс. Траекторию движения ведущего центра в плоскости экватора (αэ = 90°) можно вычислить, исходя из законов сохранения энергии и магнитного момента : Е + U = const , μ = const , 3.2.I5 где U - электрический потенциал данной точки пространства. Вид траекторий дрейфа электронов в однородном электрическом поле показан на рис. 3.2.la.
Подобный вид имеют и траектории электронов ионосферного происхождения, лишь разность между Lкр и Lmin больше, чем для высокоэнергичных электронов. Область замкнутых траекторий для ионосферных электронов качественно соответствует области плазмосферы. Для протонов больших энергий траектории подобны траекториям энергичных электронов, но зеркальны относительно линии, проходящей через центр Земли в направлении на Солнце.
Видно, что траектории, проходящие на больших расстояниях от Земли, разомкнуты. Частицы, находящиеся на замкнутых орбитах, принадлежат радиационным поясам.
Точку ветвления Lкр на критической орбите можно найти, приравняв скорости электрического и магнитного дрейфов частиц вокруг Земли:
.
Для нерелятивистских частиц получаем:
(3.2.I6)
здесь и далее Е в кэВ. Из этой формулы можно определить, частицы каких энергий на данном L принадлежат радиационным поясам. С противоположной стороны частицы проходят на минимальном расстоянии от Земли:
Lmin = Lкр/1.78.
Оценим асимметрию замкнутых траекторий дрейфа частиц. Из условия μ=const следует, что EL3=const. Отсюда можно получить:
(3.2.17)
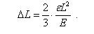
Если ΔL<<L, то максимальное изменение энергии частицы на дрейфовой траектории есть ΔE=2Lε. Подставляя е в (3.2.17), получаем:
(3.2.18)
Чем больше энергия частицы, тем меньше влияние электрического поля. Если мы рассматриваем движение частиц малых энергий в магнитосфере Земли, то следует учесть также вращение Земли. Это проще всего сделать в плоскости геомагнитного экватора, если ввести фиктивный отрицательный заряд в центр геомагнитного диполя. Приравнивая линейную скорость вращения вместе с Землей любой точки экваториальной плоскости к скорости электрического дрейфа ![]()
(Тз – период вращения Земли), получим электрическое поле
которое можно рассматривать, как поле одиночного заряда. Знак заряда (отрицательный) определяется направлением вращения Земли. Потенциал поля этого заряда имеет вид ![]()
Вид траекторий электронов любых энергий и протонов малых энергий подобен. Эти частицы дрейфуют с вечерней стороны через ночную на утреннюю. Для электронов и протонов малых энергий
(3.2.19)
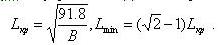
Для протонов, у которых выполняется условие
![]()
, вид траекторий дрейфа резко меняется, он показан на рис. 1б.
Это получается из-за того, что на больших расстояниях протоны увлекаются вращением Земли, а при переходе на малые расстояния скорость их магнитного дрейфа становится больше скорости вращения магнитного поля Земли. Поэтому протоны меняют направление своего движения.
1.3 Структура радиационных поясов Земли
На рис.2 схематически представлены в плоскости полуденно- полуночного меридиана области регистрации высокоэнергичных частиц в магнитосфере Земли. Асимметрия распределения частиц связана со структурой магнитосферы. Электроны с Ее > 40 кэВ и протоны с Ер ~ 50 кэВ существуют не только во внешней дневной магнитосфере, но также с ночной стороны на внешних силовых линиях дипольной структуры и силовых линиях сильно вытянутых в хвост магнитосферы в области плазменного слоя.
Электроны с энергией > 500 кэВ образуют два пояса: внутренний на L < 2.5 и внешний на L> 3. В дальнейшем мы укажем, с чем связано такое разделение. Протоны не имеют такой структуры. С уменьшением L появляются протоны все больших энергий.
Ранее мы указывали, что земной магнитный диполь сдвинут относительно центра Земли. Это приводит к тому, что на высотах < 1200 км пояс регистрируется в довольно ограниченной области. На рис. 3 приведена структура поясов на высоте ~ 500 км по данным ИСЗ КОРОНАС-Ф.
В верхней части рисунка приведены линии изологарифма интенсивности электронов с Ее ~ 0.3–0.6 МэВ. Хорошо видно, что внутренний пояс регистрируется только над Бразилией. Электроны внешнего пояса регистрируются в узких полосах в северном и южном полушариях вокруг всей Земли. В основном – это квазизахваченные частицы внешнего пояса. В средней части рисунка представлены данные детектора, который регистрировал протоны с Ер > 23 МэВ и электроны с Ее > 1.6 МэВ. На этой же части приведены штриховыми линиями изолинии L. Видно, что внутренний пояс (в основном протоны с Ер > 23 МэВ) над Бразильской аномалией находится на L < 2. Внешний радиационный пояс (электроны с Ее > 1.6 МэВ) находится на L > 2.5.
Устойчивые потоки наблюдаются над Южной Атлантикой. В остальных местах регистрируются квазизахваченные электроны (потоки менее устойчивые). В нижней части рисунка приведены данные о потоках протонов с Ер = 50–90 МэВ. Видно, что протоны регистрируются только над Бразильской аномалией. Вне Бразильской аномалии на L < 2 захваченные потоки не регистрируются, здесь можно регистрировать потоки частиц космических лучей или потоки аномальных квазизахваченных частиц.
Радиационным поясам принадлежат частицы, имеющие замкнутые дрейфовые оболочки. В плоскости экватора – это частицы, движущиеся по линиям B = const при В > 60 нТл. Частицы, движущиеся с ночной стороны по линиям В < 60 нТл, или выбрасываются на утреннюю или вечернюю магнитопаузу (в зависимости от знака заряда частицы) или попадают в касповые области, где захват неустойчив. Если частицы отражаются вне плоскости экватора, особенно на малых высотах, то надо учитывать сохранение второго инварианта I. При отражении на малых высотах I ~ l, l – длина силовой линии между точками отражения. С дневной стороны последние замкнутые силовые линии L ~ 20-25 имеют длину 25-30Rз. Линии подобной длины с ночной стороны вблизи Земли соответствуют L~8. На рис. 4 показаны данные о потоках квазизахваченных электронов с Ее > 500 кэВ на средних и высоких широтах в плоскости полуденно-полуночного меридиана по данным ИСЗ КОРОНАС-И. С ночной стороны граница потоков электронов находится на ~ 69o (L ~ 7.8), с дневной стороны – на ~ 77 o(L ~ 21.6).
1.4 Процессы, определяющие структуру и динамику радиационных поясов
Структура и динамика радиационных поясов определяется взаимодействием источников и потерь.
Источники:
- Распад нейтронов альбедо космических лучей (Singer, 1958). Нейтроны являются источником захваченных протонов с Ер>30 МэВ. Мощность этого источника для электронного пояса недостаточна.
- Захват частиц из межпланетной среды при смещениях магнитопаузы во время внезапных обжатий магнитосферы солнечным ветром (Тверской, 1964а).
- Перенос и ускорение заряженных частиц в магнитосфере при диффузии под действием нестационарных электрических полей (Parker, 1960; Тверской, 1964б, 1965а; Nakada and Mead, 1965; Falthammar, 1965).
- Резонансное ускорение частиц под действием квазипериодических магнитных возмущений (Cladis, 1966).
- Инжекция частиц в процессе диполизации при втягивании силовых линий геомагнитного хвоста в область захваченной радиации (Tverskoy, 1969).
- Ускорение частиц нестационарными электрическими полями суббурь до энергии в первые сотни кэВ (Бондарева, Тверская, 1973; Li et al., 1998).
- В последние годы предложено несколько механизмов ускорения электронов до релятивистских энергий на основе взаимодействия волна-частица (см., напр., Summers and Ma, 2000; Бахарева, 2003 и соответствующие ссылки). Одним из случаев инжекции является перераспределение частиц в результате большого (~200 нТл) биполярного внезапного импульса геомагнитного поля (Blake et al., 1992). Данные об этом событии представлены ниже (см. п. 2.2).
Потери:
Для протонов и ионов радиационных поясов основными являются ионизационные потери. Частицы теряют свою энергию при ионизации и возбуждении атомов и ионов верхней атмосферы.
Для электронов кулоновское рассеяние более эффективно (McDonald and Walt, 1961). Оно определяет время жизни на L<1.5.
Основным механизмом утечек электронов на больших L является циклотронная неустойчивость (Андронов и Трахтенгерц, 1964; Tverskoy, 1965b; Kennel and Petchek, 1966; Тверской, 1967).
Переход от внутреннего электронного пояса к внешнему (зазор между поясами) обусловлен резким возрастанием поглощения возбуждаемых при неустойчивости волн. При этом основополагающую роль играет электромагнитное излучение в области особо низких частот, развивающееся вблизи плазмопаузы (Захаров, Кузнецов 1978).
Быстрые потери частиц наблюдаются на главной фазе магнитных бурь. Для энергичных протонов уменьшение интенсивности во время магнитных бурь объясняется нарушением адиабатичности движения из- за ослабления магнитного поля (Ильин, Кузнецов, 1975).
Очень сложен вопрос о быстрых потерях энергичных электронов во время магнитных бурь. Одной из причин является уменьшение размеров области замкнутых дрейфовых оболочек при обжатии магнитосферы. По-видимому, имеет место быстрое высыпание релятивистских электронов из-за паразитного резонанса с волнами, развивающимися при циклотронной неустойчивости кольцевого тока вблизи плазмопаузы (Thorne and Kennel, 1971). Возможен также ускоренный перенос частиц при перестройке конфигурации магнитосферы во внутренних областях во время магнитных бурь.
Адиабатические вариации. На приэкваториальных спутниках можно наблюдать обратимые вариации интенсивности частиц, коррелированные с Dst-вариацией. Расчеты показали хорошее согласие с экспериментом (Dessler and Karplus, 1961; Тверской, 1964б).
2. Протоны и ионы радиационных поясов
2.1 Среднее состояние поясов
На рис. 5 представлены профили потоков протонов различных энергий в плоскости экватора по данным модели радиационных поясов АР-8min. С моделью можно ознакомиться по адресу http://nssdc.gsfc.nasa.gov/space/model/models/trap.html.
Модель построена по данным различных спутников, летавших до 70- х годов. Характерным для протонного пояса является увеличение жесткости спектра с уменьшением L. С увеличением широты интенсивность частиц уменьшается. На рис. 6 показаны профили потоков протонов различных энергий в плоскости экватора и на широтах λ~30° (В/Вэ=3) и λ~44° (В/Вэ=10).
Зависимость интенсивности частиц от B выражается в виде J=Jэ(В/Вэ)-n. Мы видим, что для протонов от 0.5 до 20 МэВ высотный ход универсален, n варьирует в пределах 1.8 – 2.
Реальный энергетический спектр протонов показывает, что нейтроны являются источником захваченных протонов с Ер > 30 МэВ. Для протонов меньших энергий существует другой источник – захват протонов с энергиями в десятки–сотни кэВ на границе замкнутых дрейфовых оболочек (L~7-8) и дальнейшая радиальная диффузия с нарушением третьего инварианта (Parker, 1960; Тверской, 1964б, 1965а; Nakada and Mead, 1965; Falthammar, 1965). Источником протонов на L~7-8 могут быть или протоны солнечных космических лучей (СКЛ) или протоны солнечного ветра, ускоренные на стоячей ударной волне. В работе (Kuznetsov et al., 2002) указывалось, что потоки протонов на L = 6.6 по данным ИСЗ GOES коррелируют как с потоками СКЛ, так и со скоростью солнечного ветра.
Оптимальная связь потоков протонов с потоками СКЛ JCR и скоростью солнечного ветра V представляется в виде
с коэффициентом корреляции ![]()
Структура пояса определяется характером диффузии и потерями.
В случае магнитной диффузии (под действием внезапных импульсов) коэффициент диффузии D~L10, а случае электрической – D~L6. Сравнение с экспериментальной структурой протонного пояса позволяет определить тип диффузии, ответственной за формирование пояса. Магнитная диффузия ионов с границы магнитосферы с учетом ионизационных потерь и плотности холодной атмосферы на больших высотах ~1000 см-3 дает количественное согласие с экспериментом (Тверской, 1965а, 1968; см. также Тверской, 2004). Положение максимума интенсивности протонов разных энергий Lmax(p)~E-3/16, причем для ионов i с другим атомным номером А и зарядом z теория предсказывает:
(3.2.20)
Предсказанная этой теорией структура пояса альфа-частиц полностью совпала с полученными позднее экспериментальными данными (Fritz and Spjeldvik, 1981). Исследования с привлечением большого количества данных по протонам, альфа-частицам, ионам углерода и кислорода подтвердили основную роль магнитной диффузии в формировании пространственно-энергетического распределения этих частиц (Panasyuk, 2004).
На рис. 7 приведены зависимости положения максимумов поясов протонов, ионов Не, С, N и О от энергии по данным модели АР-8, и по данным измерений ИСЗ «Электрон-1– 4», «Explorer-45», «Молния-1,2», и ISEE-1 (Panasyuk, 2004).
Прямые линии 1 – 4 для каждого сорта ионов соответствуют теории Тверского (для ионов С и О среднее зарядовое состояние 5+ и 6+, соответственно).
Экспериментальные данные для ионов имеются в сравнительно узком диапазоне энергий, и все удовлетворительно согласуются с теоретическими зависимостями. Видно, что в широком диапазоне энергий протонов (от ~0.3 до 30 МэВ) теория хорошо описывает структуру протонного пояса. Для энергий >30 МэВ, как уже отмечалось, источником частиц является распад нейтронов альбедо космических лучей. Отклонения на малых энергиях связаны с необходимостью учета перезарядки и, возможно, электрической диффузии (Панасюк, 1984).
Обращает на себя внимание значительное отклонение данных модели АР-8 в области энергий 0.1 – 0.3 МэВ от многочисленных более поздних измерений. Этот интервал энергий уже относится к диапазону энергий частиц кольцевого тока и здесь не рассматривается.
Ионы радиационных поясов могут иметь различное происхождение:
1. Захват ионов на внешних замкнутых дрейфовых оболочках, как и протонов, тогда максимальный их поток наблюдается на экваторе, и теория ионного пояса аналогична теории протонного пояса, как указывалось выше.
2. В магнитосферу могут проникать однозарядные ионы аномальной компоненты космических лучей, обдираться во внешней атмосфере на высотах 200 – 300 км и захватываться при соответствующем питч- угле в Бразильской аномалии (Grigorov et al., 1991). Минимальная энергия ионов Ei в МэВ/нукл находится из выражения:
(3.2.21)
Эта энергия соответствует χ =0.75 и после полной обдирки для кислорода χ=0.75/8=0.94. Максимальная энергия, при которой может быть захвачен ион кислорода Emax=1.37Ei.
Для кислорода такой пояс наблюдается на L~2.2 в интервале энергий 18 – 25 МэВ. Длительные исследования этого пояса проведены на спутнике SAMPEX (Leske et al., 1999, Mazur et al., 1999). В составе этого пояса были обнаружены также ионы углерода, азота, неона и аргона.
На L<1.4 существует ионный пояс «второго» порядка, возникший в результате взаимодействия энергичных протонов внутреннего пояса с атомами кислорода остаточной атмосферы (Вандас и др., 1988).
2.2 Вариации во время магнитных бурь
Протоны радиационных поясов испытывают адиабатические вариации во время магнитных бурь, коррелирующие с Dst-вариацией (McIlwain, 1966; Soraas and Davis, 1968). Во время сильных бурь наблюдаются неадиабатические вариации протонов с энергией в десятки МэВ (McIlwain, 1965; Ильин, Кузнецов, 1975). Во время магнитной бури внутри кольцевого тока магнитное поле ослабевает, поэтому условия захвата частиц изменяются. Граница захвата протонов смещается на меньшие L*.
3.2.22
Формула справедлива при Dst •(L*)3/30040<0.17.
Зарегистрированы случаи прямого захвата альфа-частиц, генерированных во время солнечных вспышек, на внутренние L- оболочки (L=3–4) (Van Allen and Randall, 1971) и возрастаний потоков более тяжелых ионов во внутренней магнитосфере во время сильных магнитных бурь (Spjeldvik and Fritz, 1981).
Появление нового мощного пояса протонов и электронов с энергиями в десятки МэВ на L~2.5 было зарегистрировано на ИСЗ CRRES 24 марта 1991 г. (Blake et al., 1992). В момент гигантского (с амплитудой ~200 нТл) внезапного импульса геомагнитного поля за ~1 минуту на L~2.8 сформировался новый пояс протонов в десятки МэВ, эквивалентный стабильному внутреннему поясу, имеющему максимум на L~1.5, и электронов с Ее>15 МэВ.
На рис. 8 (Li et al., 1996) представлены радиальные профили радиационных поясов для протонов с Ер=20-80 МэВ и электронов с Ее>15 МэВ, построенные по данным измерений до события 24 марта 1991 г., через 6 дней и через ~6 месяцев после образования нового пояса. Видно, что потоки электронов с Ее>15 МэВ превысили спокойный уровень почти на три порядка величины, а протоны с Ер=20-80 МэВ – более чем на два порядка. Через 6 месяцев новые пояса электронов и протонов продвинулись на меньшие L. В дальнейшем они регистрировались, по крайней мере, до середины 1993 г. (Гинзбург и др., 1993; Klecker, 1996).
Эволюция “ударного” пояса релятивистских электронов в процессе последовавшей за гигантским SSC сильной магнитной бури будет рассмотрена в 3.6.
Эффект «ударной» инжекции частиц был объяснен в рамках теории дрейфа частиц в электрическом и магнитном полях внезапного импульса (Тверской, 1968) в предположении существования в данном случае биполярного импульса большой амплитуды (~200 нТл): положительного длительностью ~10 сек и отрицательного длительностью ~1 мин (Павлов и др., 1993). Аналогичная идея была использована в детальном компьютерном расчете этого случая (Li et al., 1993).
Как следует из расчетов, влияние внезапного биполярного импульса на перераспределение заряженных частиц во внутренней магнитосфере зависит от его амплитуды и временных масштабов переднего и заднего фронтов. Импульсы меньшей амплитуды, чем гигантский SSC 24 марта 1991 г., также могут вызвать появление новых поясов частиц других энергий на других L-оболочках.
3 электроны радиационных поясов
3.1 Среднее состояние поясов
На рис 9 приведена структура пояса электронов в плоскости экватора и при В/Вэк=3 по модели АЕ-8мин (http://nssdc.gsfc.nasa.gov/space/model/models/trap.html).
Мы видим, что в отличие от протонного пояса электронный можно разделить на внутренний и внешний пояса. Высотный ход потоков электронов во внешнем поясе более слабый, чем для протонов: n = 0.46, а не 2. Во внутреннем поясе высотный ход потоков электронов увеличивается.
Максимум внутреннего пояса энергичных электронов (с Ее~1 МэВ) находится на L~1.5, внешнего – на L~4.5.
В отличие от протонного пояса, который оказался устойчивым относительно различных видов нестабильности, внешний электронный пояс испытывает значительные вариации даже во время слабых геомагнитных возмущений.
3.2 Вариации в периферических областях внешнего электронного пояса (геосинхронная орбита)
Наиболее детальные многолетние измерения энергичных электронов проведены на геосинхронных ИСЗ. Они анализировались в большом количестве работ (см., напр., обзор Friedel et al., 2002 и соответствующие ссылки).
Одним из наиболее важных результатов (Paulikas and Blake, 1979), затем неоднократно подтвержденном (см., напр., Безродных и др., 1984; Baker et al., 1997), явилось установление корреляции интенсивности электронов на геосинхронной орбите со скоростью солнечного ветра. Наиболее высокая корреляция наблюдается в годы минимума солнечной активности (Kuznetsov et al., 2002).
Потоки электронов появляются, как правило, на фазе восстановления магнитных бурь, но их интенсивность не зависит от мощности магнитной бури (Reeves et al., 1998).
Попытка выяснить, какие факторы в межпланетной среде и внутри магнитосферы определяют появление потоков (в том числе и экстремальных) релятивистских электронов на геосинхронной орбите, была предпринята в работах (O’Brien et al., 2001; Tverskaya et al., 2002, 2005), выполненных на большом статистическом материале. На рис. 10 и 11 из (Tverskaya et al., 2002) представлены примеры вариаций потоков электронов с Ее>2 МэВ на ИСЗ GOES для двух бурь разной амплитуды: 22.01.2000 г. (Dst = -97 нТл) и 24.11.2001 г. (Dst = -221 нТл). Приведены параметры межпланетной среды: Bz-компонента ММП, плотность и скорость солнечного ветра и геомагнитные данные: AU, AL, AE индексы авроральной активности и Dst-вариация.
Видно, что после бури меньшей амплитуды при небольшой (~400 км/с) скорости солнечного ветра произошло значительное возрастание потоков электронов (до ~103 см-2с-1ср-1), а после сильной бури 24 ноября при очень большой скорости солнечного ветра потоки упали и в дальнейшем не достигли даже предбуревого уровня (до ~102 см-2с-1ср-1).
Определяющим фактором возрастания потоков электронов явилось наличие высокой суббуревой активности на фазе восстановления январской бури и практическое отсутствие таковой – в ноябрьской. Авторы работ (Tverskaya et al., 2002, 2005) пришли к выводу, что для появления экстремальных потоков электронов с Ее > 2 МэВ (>104 см-2с-1ср-1 ) на геосинхронной орбите необходимы и высокая скорость солнечного ветра, и высокая суббуревая активность на фазе восстановления бури.
В работе (O’Brien et al., 2001) отмечена высокая корреляция потоков электронов с Pc-5 пульсациями геомагнитного поля на фазе восстановления бури. В 80% случаев, которые имели высокую мощность Рс-5 пульсаций в течение 24 и более часов после максимума бури, наблюдались большие возрастания потоков электронов.
Потоки электронов на геосинхронной орбите испытывают 2-4- часовые квазипериодические вариации (так называемые “saw-tooth variations”), связанные с вариациями давления солнечного ветра, переориентациями Bz-компоненты ММП и квазипериодическими суббурями при длительной южной ориентации Bz (Tverskaya, 2001; Tverskaya and Krasotkin, 2002, Huang et al., 2003).
3.3 Диффузионные волны релятивистских электронов внешнего пояса
Сформировавшийся на удаленных L-оболочках во время умеренных магнитных бурь пояс электронов под действием диффузии смещается вглубь магнитосферы. Когда после бури длительное время сохраняется невысокая геомагнитная активность, можно наблюдать диффузионные волны релятивистских электронов (Frank, 1965; Иванова и др., 2000).
На рис. 12 приведены данные о распространении диффузионной волны электронов с Ee>5 МэВ по (McIlwain, 1996) после магнитной бури 16 июня 1965 г. с Dst= -84 нТл.
Через два дня после бури (день 169) возник пояс с максимумом на L~4.5. Его эволюция представлена на рисунке. Анализ движения фронта на различных уровнях интенсивности дает следующую скорость этого движения Vf=(2.7)10-7L-9.25(Rз/сут) для интервала 3.2<L<3.7, эта зависимость согласуется с предсказанной теоретически Vf=1.510-7L-9(Rз/сут) (Тверской, 1968). Следует отметить, что зависимость от L является универсальной, хотя числовой коэффициент может меняться в достаточно больших пределах (Walt, 1996).
Наиболее благоприятные условия для распространения диффузионных волн электронов существуют в минимуме солнечной активности после рекуррентных магнитных бурь, которые формируют 27-дневную периодичность в потоках энергичных электронов внешнего пояса (Williams, 1966; Иванова и др., 2000).
3.4 Сезонные вариации
Сезонные вариации потоков энергичных электронов внешнего пояса наблюдались по данным измерений на ИСЗ ГЛОНАСС, Экспресс и GOES (Ivanova et al., 1997; Иванова и др., 2000; Tverskaya et al., 2003a) и SAMPEX (Baker et al., 1999).
На рис.13 представлены флюенсы релятивистских электронов за один пролет пояса по данным ИСЗ ГЛОНАСС (круговая орбита на высоте 20000 км с наклонением ~65°) и геомагнитные индексы Кр и Dst за 1994-1996 гг. (Иванова и др., 2000). Жирные линии представляют результаты сглаживания флюенсов методом скользящего среднего с колоколообразной весовой функцией с эффективной длиной сглаживания ~2.5 месяца. Представленные данные демонстрируют хорошо заметные сезонные вариации: потоки электронов достигают максимальных величин весной и осенью, минимальных – зимой и летом.
Наблюдаемые сезонные вариации потоков электронов внешнего пояса связаны, скорее всего, с сезонной зависимостью геомагнитных возмущений (Russel and McPherron, 1973). Коэффициент корреляции между сглаженными значениями флюенсов электронов и Кр составляет 0.7.
3.5 Зависимость положения максимума внешнего пояса энергичных электронов от цикла солнечной активности
По данным измерений в 19-м цикле солнечной активности максимум внешнего пояса электронов (Lmax) и зазор между поясами отодвигались к большим L при переходе от максимума цикла к минимуму (Vernov et al., 1969).
На рис.14 представлен временной ход Lmax за период 1958- 1983 гг. (Tverskaya, 1996). Приведены также бури с амплитудой Dst-вариации <100 нТл, среднемесячные значения Dst и число солнечных пятен Rz.
Видно, что нет прямой корреляции Lmax с солнечной активностью, а основное влияние на его положение оказывают магнитные бури. Для нескольких лет непрерывных данных ИСЗ Молния и Метеор коэффициент корреляции Lmax с Rz составил -0.2. В то же время коэффициент корреляции Lmax со среднемесячным значением Dst составил -0.7.
Наблюдается интересная особенность при сопоставлении ежемесячных непрерывных данных по Lmax (ИСЗ Метеор) с Dst в 1978- 1983 гг.: активизация магнитных бурь до и после максимума солнечной активности и соответствующее смещение Lmax к меньшим L.
3.6 Электронные радиационные пояса во время сильных магнитных бурь
Структура магнитосферы и радиационных поясов определяется взаимодействием магнитосферы с солнечным ветром. Во время солнечных вспышек Солнце выбрасывает «корональные выбросы масс» (КВМ), которые отличаются большой скоростью (до 2000 км/с), большой плотностью (до нескольких десятков частиц в кубическом сантиметре), большим магнитным полем (до нескольких десятков нанотесла) на орбите Земли. Когда КВМ проходят Землю, магнитосфера резко уменьшается в размерах, уменьшается область замкнутых дрейфовых оболочек (радиационных поясов), ночной плазменный слой приближается к Земле и ток в нем увеличивается, увеличивается также магнитное поле в хвосте магнитосферы. Частицы радиационных поясов, находившиеся на внешних оболочках, выбрасываются из магнитосферы. Эти процессы протекают по-разному при разных направлениях магнитного поля КВМ (параллельном или антипараллельном геомагнитному полю). Токи, вызывающие Dst вариацию, более сильны при отрицательном Bz компоненте межпланетного поля при прочих равных условиях. В качестве примера мы рассмотрим динамику внешнего пояса во время двух сильных бурь: 24 марта 1991 г. и 6 ноября 2001 г.
Буря 24 марта 1991 г. Она была вызвана КВМ, эжектированным солнечной вспышкой 22 марта в 16 ч 20 м.
В момент гигантского SSC (~200 нТл) сформировался «ударный» пояс ультрарелятивистских электронов (см. раздел 2.2).
Эволюция этого пояса во время последовавшей сильной магнитной бури (|Dst|max~300 нТл) и инжекция нового «буревого» пояса проанализированы в (Tverskaya et al., 2003b).
На рис. 15 представлена динамика радиального профиля пояса электронов с Ee>8 МэВ (ИСЗ Метеор), появившегося во время гигантского SSC 24 марта 1991 г. Моменты пролета спутника и положение максимумов пояса указаны на графике Dst-вариации. В ~05 UT 24 марта пик пояса электронов с Ее>8 МэВ находился на L~2.8. Во время главной фазы магнитной бури пояс сместился на L~2.3. Эта вариация оказалась необратимой.
На рис. 16 представлено распределение интенсивности электронов разных энергий для трех временных периодов: 24.03.91 (до SSC), 25.03.91 (в начале фазы восстановления бури) и 27.03.91 (через два дня после максимума бури). Перед бурей хорошо виден зазор между поясами. Показания детектора, регистрировавшего электроны с Ее>8 МэВ, находятся на уровне фона. На следующем пролете 25.03.91 на L~2.3 имеется пик интенсивности инжектированных во время SSC электронов, и сформировался ещё один новый пояс инжектированных во время бури электронов с максимумом на L~3. Данные ИСЗ CRRES также показывают появление после этой бури пояса электронов с Ее~2 МэВ с максимумом на L=3.1 (Ingraham et al., 1996).
Наблюдается запаздывание в появлении более энергичных электронов. Это хорошо соответствует более ранним результатам исследования инжекции электронов во время бурь (Williams et al., 1968). В дальнейшем может сформироваться максимум в спектре электронов внешнего пояса в области энергий 1 – 3 МэВ (Вакулов и др., 1975, West et al., 1981).
Буря 6 ноября 2001 г. Для бури 6 ноября (Tverskaya et al., 2005; Кузнецов и др., 2006) имеются данные по условиям в межпланетном пространстве. Буря была вызвана КВМ, эжектированным солнечной вспышкой 4 ноября в 16 ч. 20 м.
На рис. 17 (Кузнецов и др., 2006) на верхней панели приведены данные о положении лобовой точки магнитопаузы, вычисленные по модели (Кузнецов и др., 1998), и измеренная на ИСЗ КОРОНАС-Ф граница проникновения электронов солнечных энергичных частиц (СЭЧ) с Ее=0.3-0.6 МэВ с ночной стороны. В основном – это внутренняя граница плазменного слоя. Иногда мы видим резкое увеличение L границы проникновения электронов, возможно в это время происходит диполизация магнитного поля в хвосте магнитосферы. На средней панели представлены Bz и Р, индексы, определяющие размеры магнитосферы и магнитные возмущения. На нижней панели представлены Hsym - минутный аналог Dst вариации и АЕ – индекс авроральной активности.
Внезапное начало магнитной бури наблюдалось 6 ноября в 1 ч 52 м. Через несколько минут началась главная фаза бури, которая длилась около полутора часов. Магнитосфера в это время имела минимальные размеры, X(0) ~ 4Rз. При возрастании Bz и сохранении Р на одном уровне X(0) ~ 6Rз. В это время около 5 часов Hsym практически не изменялось. Именно в это время было измерено состояние пояса (см. рис.18 пунктир). Мы видим, что поток электронов всех энергий во внешнем поясе резко уменьшился по сравнению с потоками, измеренными 5 ноября. К сожалению, фоновый поток протонов СЭЧ в каналах электронов 0.6-1.5. 1.5-3, 3-6 МэВ мешает точно определить масштаб вариации. Для электронов 0.3-0.6 МэВ профиль пояса сместился на меньшие L по сравнению с профилем, полученным 5 ноября, и поток электронов уменьшился.
Отметим, что новый максимум пояса совпадает с минимальным значением L, которого достигала граница проникновения солнечных электронов при Hsym< -300 нТл. На следующий день пояс с максимумом на L~3 начал формироваться и для электронов более высоких энергий. Аналогичная картина инжекции наблюдалась и на больших высотах (Тverskaya et al., 2005). В дальнейшем на L~3 снова формируется зазор между поясами для электронов 0.3-0.6 МэВ.
Для обеих бурь значение Lmax близко к тому, что дает эмпирическая зависимость Lmax от максимальной амплитуды Dst вариации бури (Тверская, 1986).
3.7 Зависимость положения максимума пояса инжектированных во время магнитных бурь релятивистских электронов от мощности бури
Впервые зависимость положения максимума пояса релятивистских электронов, инжектированных во время магнитных бурь (Lmax), от мощности магнитной бури, определяемой амплитудой Dst-вариации, изучалась в (Williams et al., 1968). Авторы рассматривали бури в интервале амплитуд Dst=30–140 нТл и получили линейную зависимость Lmax(Dst). Однако, исследования c привлечением данных по более сильным бурям (вплоть до |Dst|max ~ 400 нТл), показали, что зависимость существенно нелинейна и имеет вид (Тверская, 1986):
3.2.23
На рис. 19 приводится зависимость Lmax от |Dst|max, построенная во всем диапазоне известных амплитуд магнитных бурь, включая самую сильную бурю за всю историю космических исследований – 13-14 марта 1989 г. (Tverskaya et al., 2005). Видно, что новые данные многочисленных спутников на больших и малых высотах хорошо соответствуют зависимости (3.2.23).
В соответствии с теоретическими представлениями (Tverskoy, 1972, 1982, 1997) и экспериментальными данными (Тверская, 1998; Tverskaya et al., 2005) формула (3.2.23) может определять (с точностью не хуже, чем первые десятые доли L), до каких L- оболочек в ночной магнитосфере смещаются в максимуме бури многие плазменные структуры: граница области захваченной радиации, максимум давления плазмы кольцевого тока, экваториальная граница овала полярных сияний, центр западной электроструи, граница проникновения солнечных космических лучей. Поэтому рассматриваемая зависимость может быть эффективно использована для предсказания космической погоды.
Вопрос о механизме ускорения релятивистских электронов во время магнитных бурь остается открытым. Электроны с энергиями в десятки – первые сотни кэВ (так называемые “seed” электроны) легко могут быть ускорены нестационарными электрическими полями суббурь (Бондарева и Тверская, 1973; Li et al., 1998). Электроны больших энергий могут ускоряться в процессе диполизации магнитного поля при втягивании силовых линий геомагнитного хвоста в область захваченной радиации во время суббурь (Tverskoy, 1969). Поскольку электроны инжектируются в поле, ослабленное кольцевым током, на фазе восстановления бури они испытывают дополнительное ускорение (Вакулов и др., 1975).
В последние годы предложено несколько механизмов ускорения электронов до релятивистских энергий на основе взаимодействия волна-частица (Summers and Ma, 2000; Бахарева, 2003 и соответствующие ссылки). Однако большинство этих механизмов ускоряют электроны до релятивистских энергий за время порядка нескольких часов и даже дней. В то же время эксперимент показывает, что ускорение электронов до релятивистских энергий может происходить даже в сердцевине внешнего радиационного пояса на временной шкале ~1 ч (Тверская, 1998; Li et al., 1999).
Достаточно подробный обзор разрабатываемых в последние годы механизмов ускорения электронов радиационных поясов можно найти в (Friedel et al., 2002).
4 потоки энергичных частиц под радиационными поясами земли
На рис. .3 (из раздела 1.3) приведены карты распределения различных частиц в поясах на высоте около 500 км. Для электронов с Ее=0.3-0.6 МэВ выбрана минимальная интенсивность 10 частиц/см2сср. Хорошо видны области внутреннего пояса, внешнего пояса и область высыпания из внешнего пояса на северных и южных широтах вокруг всей Земли. Характерной особенностью распределения энергичных электронов на малых высотах является наличие долготной зависимости их интенсивности вдоль траектории дрейфа. При одних и тех же параметрах L и В интенсивность электронов на долготах к западу от аномалии больше, чем к востоку (Вернов и др., 1963).
На более низких широтах, чем область высыпания из внешнего пояса, также существуют потоки квазизахваченных частиц, генетически связанных с радиационными поясами. На рис.20 приведены данные пролета ИСЗ КОРОНАС-И с севера на юг на L<8. В северном полушарии видно два пика потоков электронов, соответствующие внешнему поясу (L~4-5) и внешней кромке внутреннего пояса (L~2.1-2.3). В южном полушарии наблюдаются дополнительные пики на L~1.3 и L~1.6. Также заметно некоторое возрастание потоков протонов на экваторе, на промежуточных L и вблизи внешней границы внешнего пояса. Анализ данных, полученных на других орбитах, показывает, что возрастания потоков протонов на экваторе и на L~3.5 и 4.5 повторяются.
На рис. 21 (Bashkirov et al., 1999) приведено географическое распределение потоков электронов. Все области квазизахваченных электронов хорошо разделяются. В северном полушарии в области долгот от -70° до +50° потоки электронов на L~2.1 и 1.6 практически отсутствуют. Это – область, сопряженная Бразильской аномалии.
Исходя из разницы магнитного поля в Бразильской аномалии и сопряженной точке на высоте полета спутника, можно определить, что рассеяние электронов на полукачке на L~2.1 и 1.6 меньше 4- 6°. Интересно, что если на L~2.1 и 1.3 пики электронов регистрируются в любое мировое время, то на L~1.6 они регистрируются только с 10 до 24 ч UT (см. рис. 22).
Иногда во внешнем поясе в районах северного полушария, сопряженных с Южно-Aтлантической аномалией, где зеркальные точки опускаются ниже 50 км или уходят под Землю, регистрируются заметные потоки энергичных электронов. Это, скорее всего, связано с рассеянием частиц за один качек при движении между точками отражения (Вернов и др., 1965).
На L<2 квазизахваченные электроны регистрировались в ряде экспериментов. На существование потоков электронов на L~1.6 было указано в работе (Nagata et al., 1988). В работах (Imhof et al., 1984, Imhof et al., 1995) исследовалось высыпание электронов, вызванное взаимодействием с излучением низкочастотных радиостанций.
Зарегистрированы случаи появления в районе экватора протонов с Ер~70 кэВ (Бутенко, 1975) и 1-4.5 МэВ (Bashkirov, 1999). Исследования этого эффекта проводились и ранее (Hovestadt et al., 1972; Гоцелюк и др., 1974; Greenspan et al, 1999; Grachev et al., 2002). В работе (Гоцелюк и др., 2005) более детально изучалось распределение протонов под поясами. На рис. 23 приведено распределение протонов вблизи экватора. Видно, что они регистрируются на L<1.1, то есть существуют менее одного периода дрейфа вокруг Земли. Их источником считаются протоны радиационного пояса на L~2.5–4. Эти протоны захватывают электроны экзосферы и уже не удерживаются магнитным полем. Часть их, достигая атмосферы Земли на высоте ~ 200 км в экваторе, обдираются и, если они имеют питч-угол ~ 90°, захватываются магнитным полем. В работе выделены еще две области регистрации квазизахваченных протонов. Это – 3<L<4 и L>4. Область квазизахваченных протонов на 3<L<4 существует из-за паразитного рассеяния протонов на циклотронном излучении электронов (Гоцелюк и др., 1985). Неясно, чем объяснить высыпание протонов на L>4.
Список литературы
Альвен Г., Фельтхаммер К., Космическая электродинамика, основные принципы, М.: Мир, 1967.
Андронов А.А., Трахтенгерц В.Ю., Кинетическая неустойчивость радиационных поясов Земли, Геомагнетизм и аэрономия, Т. 4, с. 181-185, 1964.
Бахарева М.Ф., Нестационарное статистическое ускорение релятивистских частиц и его роль во время геомагнитных бурь, Геомагнетизм и аэрономия, Т. 43, № 6, с. 737–744, 2003.
Безродных И.П., Бережко Е.Г., Морозова Е.И. и др., Всплески энергичных электронов на магнитопаузе и во внешнем радиационном поясе, Геомагнетизм и аэрономия, Т. 24, с. 818- 830, 1984.
Бондарева Т.Б., Тверская Л.В., О дрейфе частиц радиационных поясов во время суббурь, Геомагнетизм и аэрономия, Т. 13, № 4, с. 723-729, 1973.
Бутенко В.Д., Григорян О.Р., Малкиэль Г.С., Столповский В.Г., Потоки протонов с Ер>70 кэВ в приэкваториальной области на малых высотах, Космические исследования, Т. 13, № 4, с. 508- 512, 1975.
Вакулов П.В., Коврыгина Л.М., Минеев Ю.В., Тверская Л.В., Динамика внешнего пояса энергичных электронов во время умеренной магнитной бури, Геомагнетизм и аэрономия, Т. 15, № 6, с.1028-1032, 1975.
Вандас М., Дворжакова М., Кузнецов С.Н., Фишер С., Регистрация энергичных ионов на высоте 500 км во внутреннем радиационном поясе Земли, Изв. АН СССР, сер. физ., Т. 52, № 12, с. 821- 823, 1988.
Вернов С.Н., Савенко И.А., Шаврин П.И., Тверская Л.В., О структуре радиационных поясов Земли на высоте 320 км. Cenl`cmerhgl и аэрономия, Т. 3, № 5, с. 812-815, 1963.
Вернов С.Н., Савенко И.А., Тверская Л.В., Тверской Б.А., Шаврин П.И., Об интенсивности электронов радиационных поясов на высотах 180-330 км в районах, сопряженных с отрицательными геомагнитными аномалиями, Космические исследования, Т. 3, вып. 1, с. 128-134, 1965.
Гинзбург Е.А., Малышев А.В., Пустоветов В.П., О новом радиационном поясе релятивистских электронов на L=1.9 по данным измерений на ИСЗ Метеор, Изв. РАН, сер. физ., Т. 57, с. 89-92, 1993.
Гоцелюк Ю.В., Кузнецов С.Н., Кузнецова В.А., Рассеяние протонов радиационного пояса на свистовой моде ОНЧ-излучения, Космические исследования, Т. 23, №5, c. 729-735, 1985.
Гоцелюк Ю.В., Логачев Ю.И., Столповский В.Г., Пространственное распределение и временные вариации протонов с энергией более 1 МэВ на ионосферных высотах, Геомагнетизм и аэрономия, Т. 14, №6, с. 944- 954, 1974.
Захаров А.В., Кузнецов С.Н., Высыпание электронов и ОНЧ- излучение, Геомагнетизм и аэрономия, Т. 18, №2, с. 352-353, 1978.
Иванова Т.А., Павлов Н.Н., Рейзман С.Я., Рубинштейн И.А., Сосновец Э.Н., Тверская Л.В., Динамика внешнего радиационного пояса релятивистских электронов в минимуме солнечной активностиб Геомагнетизм и аэрономия, Т. 40, № 1, с. 13-18, 2000.
Ильин В.Д., Кузнецов С.Н., Неадиабатические эффекты движения частиц в статическом дипольном поле и в переменных во времени полях, VII Ленинградский Международный семинар, Ленинград, с. 269-278, 1975.
Кузнецов С.Н., Суворова А.В., Дмитриев А.В., Форма и размеры магнитопаузы. Связь с параметрами межпланетной среды, Геомагнетизм и аэрономия, Т. 68, № 6, с. 7-16, 1998.
Кузнецов С.Н., Юшков Б.Ю., О границе неадиабатического движения заряженных частиц в поле магнитного диполя, Физика плазмы, Т. 28, № 4, с. 375-383, 2002.
Кузнецов С.Н., Мягкова И.Н., Юшков Б.Ю., Муравьева Е.А., Кудела К., Динамика внешнего радиационного пояса во время сильных магнитных бурь по данным КОРОНАС-Ф, Доклад на Международной конференции «КОРОНАС-Ф: «Три года наблюдений активности Солнца», 2001-2004 гг.» 31 января – 5 февраля 2005 г. Астрономический Вестник, 2006 (в печати).
Лайонс Л., Вильямс Д., Физика магнитосферы. Количественный подход, М.: Мир, 1987.
Павлов Н.Н, Тверская Л.В., Тверской Б.А., Чучков Е.А., Вариации энергичных частиц радиационных поясов во время сильной магнитной бури 24-26 марта 1991 года, Геомагнетизм и аэрономия, Т. 33, № 6, с. 41-45, 1993.
Панасюк М.И., Экспериментальная проверка механизмов переноса ионов в радиационных поясах Земли под действием нестационарных электрических полей, Космические исследования, T. 22, вып. 4, с. 572-587, 1984.
Тверская Л.В., О границе инжекции электронов в магнитосферу Земли, Геомагнетизм и аэрономия, Т. 26, с.864-869, 1986.
Тверская Л.В., Диагностика магнитосферных процессов по данным о релятивистских электронах радиационных поясов, Геомагнетизм и аэрономия, Т. 38, № 5 с. 22-32, 1998.
Тверской Б.А., Захват быстрых частиц из межпланетного пространства, Изв. АН СССР, сер. физ., Т. 28, с. 2099-2103, 1964а.
Тверской Б.А., Динамика радиационных поясов Земли. II, Геомагнетизм и аэрономия, Т. 4, с.436-448, 1964б.
Тверской Б.А., Перенос и ускорение заряженных частиц в l`cmhrnqtepe Земли. Геомагнетизм и аэрономия, T. 5, c. 793- 809, 1965.
Тверской Б.А., Устойчивость радиационных поясов Земли, Геомагнетизм и аэрономия, Т. 7, № 2, с. 226-242, 1967.
Тверской Б.А., Динамика радиационных поясов Земли, М.: Наука,1968, 224 с.
Тверской Б.А., О продольных токах в магнитосфере, Геомагнетизм и аэрономия, Т. 22, № 6, с. 991-995, 1982.
Тверской Б.А., Механизм формирования структуры кольцевого тока магнитных бурь, Геомагнетизм и аэрономия, Т. 37, № 5, с. 29- 34, 1967.
Тверской Б.А., Основы теоретической космофизики, М.: Едиториал УРСС, 2004, 376 с
Baker D.N., Li X., Turner N. et. al., Recurrent geomagnetic storms and relativistic electron enhancement in the outer magnetosphere: ISTP coordinated measurements, J.Geophys. Res., V. 102, p. 14141-14148, 1997.
Baker D.N., Kanekal S.G, Pulkkinen N.I., and Blake J.B., Equinoctial and solstitial averages of magnetospheric relativistic electrons: A strong semiannual modulation, Geophys. Res. Lett., V. 26, pp. 3193-3196, 1999.
Bashkirov V.F., Denisov Yu.I., Gotselyk Yu.V., Kuznetsov S.N., Myagkova I.N., Sinyakov A.V., Trapped and quasitrapped radiation observed by CORONAS-I satellite, Radiation Measurements so (1999), p. 537-548.
Blake J.B., Gussenhoven M.S, Mullen E.G., Fillius R.W. Identification of an unexpected space radiation hazard, IEEE Trans. Nucl. Sci., V. 39, p. 1761-1765, 1992.
Chen A.J., Penetration of low-energy protons deep into the magnetosphere, J. Geophys. Res., V. 75, p. 2458-2467, 1970.
Cladis J.B., Acceleration of geomagnetically trapped electrons by variation of ionospheric currents, J. Geophys. Res., V. 71, p.5019-5025, 1966.
Dessler A.I., and Karplus R., Some effects of diamagnetic ring currents in Van Allen radiation belts, J. Geophys. Res., V. 66, p. 2289-2297, 1961.
Falthammar С.G., On the transport of trapped particles in the outer magnetosphere, J. Geophys. Res., V. 70, p. 2503-2512, 1965.
Frank L.A., Inward radial diffusion of electrons of greater than 1.6.Million electron volts in the outer radiation zone, J. Geophys. Res., V.70, p. 3533-3540, 1965.
Friedel R.H.W., Reeves G.D., Obara T., Relativistic electron dynamics in the inner magnetosphere. A review, Solar- Terrestrial Phys., V. 64, p. 265-282, 2002.
Fritz T.A., and Spjeldvik W.N., Steady-state observation of geomagnetically trapped energetic heavy ions and their implications for theory, Planet. Space Sci., V. 29, No 11, p. 1169-1193, 1981.
Grachev E., Grigorian O., Juchniewicz J., Klimov S., Kudela K., Petrov A., Stetiarova J., Low energy protons on L 1.15 in 500- 1500 km range, Adv. Space Res., V. 30, No 7, p. 1841-1845, 2002
Greenspan M. E., Mason G.M., Mazur J.E., Low-altitude equatorial ions: A new look with SAMPEX, J. Geophys. Res., V. 104, No A9, p. 19,911 -19,922, 1999.
Grigorov N.L., Kondrat’eva M.I., Panasyuk M.I., Tretyakova Ch.A., Adams J., Blake J.B., Schulz M., Mewaldt R.A., Tylka A., An evidence for anomalous cosmiс ray oxygen ions in the inner magnetosphere, Geophys. Res. Lett., V. 18, p. 1959- 1962, 1991.
Hovestadt D., Hausler B., Sholer M., Observation of energetic particles at very low altitudes near the geomagnetic equator, Phys. Rev. Lett., V. 28, p. 1340-1343, 1972.
Huang C.-S., Reeves G.D., Bordovsky J.E., Skoug R.M., Pu Z.Y., Le G., Periodic magnetospheric substorms, and their relationship with solar wind variations, J. Geophys. Res., V. 108, No A6, p. 1255-1266, doi 10.1029/2002/JA009704, 2003.
Imhof W.L., Gaines E.E., Reagan J.B. High resolution spectral features observed in the inner belt electrons. J. Geophys Res., V. 90, No A9, p. 8333-8342, 1995.
Imhof, W. L.; Reagan, J. B.; Gaines, E. E.; Datlowe, D. W., The L shell region of importance for waves emitted at ground level as a loss mechanism for trapped electrons with energies greater than 68 keV, J. Geophys. Res., (ISSN 0148-0227), V. 89, p. 10827-10835, 1984.
Ingraham J.C., Cayton T.E., Belian R.D., Christensen R.A., Guyker F., Meier M.M., Reeves G.D., Brautigam D.H., Gussenhoven M.S., Robinson R.M., Multisatellite characterization of the large energetic electron fluxes increase at L=4-7, in the five-day period following the March 24, 1991 solar energetic particle event, Workshop on the Earth’s Trapped Particle Environment, ed. by G. D. Reeves, AIP Conf. Proc. 383, p. 103-108, 1996.
Ivanova T.A., Pavlov N.N., Sosnovets E.N., Tverskaya L.V., Dynamics of outer belt relativistic electrons in a solar activity minimum. In “Space Radiation Belt Modelling: New Phenomena and Approaches, Schedule. Programme and abstracts”. p. 140, 1997.
Kennel, C. F.; Petscheck, H. E., Limit on stably trapped particle fluxes, J. Geophys. Res., V. 71, p. 1-28, 1966.
Klecker B., Energetic particles environment in near Earth’s orbit, Adv. Space Res., V. 17, No 2, p. 37-45, 1996.
Kuznetsov S.N., Myagkova I.N., Yushkov B.Yu., Relationship of Energetic Particle Fluxes at Geostationary Orbit with Solar Wind Parameters and Cosmic Ray Fluxes, Proceedings of Space Radiation Environment Workshop, Farnborough, UK, 1999. Eds. D.Rodgers, S.Clucas, K.Hunter and C.Dyer. British National Space Centre, No 12, p.1-4, 2002.
Leske et al., Long-Term Temporal Behavior of Interplanetary and Trapped Anomalous Cosmic Rays, Proceedings of the 26th ICRC. August 17-25, 1999. Salt Lake City, Utah, USA. V. 7, Edited by D. Kieda, M. Salamon, and B. Dingus, p. 516-519.
Li X., Roth I., Temerin I.M., Wygant J.R, Hudson M.K., Blake J.B., Simulation of the prompt energization and transport of radiation belt particles during the March 24, 1991 SSC, Geophys. Res. Lett., V. 20, p. 2423-2426, 1993.
Li X., Hudson M.K., Blake J.B., Roth I., Temerin I.M., Wygant J.R, Observation and simulation of the rapid formation of a new electron radiation belt during March 24, 1991 SSC. Workshop on the Earth’s Trapped Particle Environment, ed. by G. D. Reeves, AIP Conf. Proc. 383, p. 109-118, 1996.
Li X., Baker D.N., Temerin M., Reeves G.D., Belian R.D., Simulation of dispersionless injections and drift echoes of energetic electrons associated with substorms. Geophys. Res. Lett., V. 25, p. 3759-3762, 1998.
Li X., Baker D.N., Temerin M. et al., Rapid Enhancements of Relativistic Electrons Deep in the Magnetosphere during the May 15, 1997 Magnetic Storm, J. Geophys. Res., V. 104, No A3, p. 4467-4476, 1999.
Mazur I. et al., Low energy anomalous cosmic rays trapped in the Earth's magnetosphere: 6 years of SAMPEX observations, Proceedings of the 26th ICRC, August 17-25, 1999. Salt Lake City, Utah, USA. V. 7. Edited by D. Kieda, M. Salamon, and B. Dingus, p. 527-530.
McDonald W.H., Walt M., Distribution function of magnetically confined electrons in a scattering atmosphere, Ann. Phys., V. 15, p. 44-48, 1961.
McIlwain C.E., Redistribution of trapped protons during a magnetic storm, Space Res., V. 5, p. 374-391, 1965.
McIlwain C.E., Ring current effects on trapped particles, J. Geophys. Res., V. 71, p. 3623-3634, 1966.
McIlwain C.E., Processes Acting Upon Outer Zone Electrons, Radiation Belts: Model and Standard Geophysical Monograph, p. 15-26, 1996.
Nagata K., Kohno T., Murakami H., Nakamoto A., Hasebe,N., Electron (0.19-3.2 MeV) and proton (0.58-35 MeV) precipitations observed by OHZORA satellite at low latitude zones L=1.6-1.8, Planet. Space Sci. (ISSN 0032-0633), V. 36, p. 591-606, 1988.
Nakada N.P., and Mead G.D., Diffusion of protons in the outer radiation belt, J. Geophys. Res., V. 70, p. 3529-3536, 1965.
O’Brien T.P., McPherron R.L., Sornette D., Reeves G.D., Friedel R., Singer H.J., Which magnetic storms produce relativistic electrons at geosynchronous orbit? J. Geophys. Res., V. 106, No A8, p.15533-15544, 2001.
Panasyuk M.I., The Ion Radiation Belts: Experiments and Models, in: Effect of Space Weather on Technology Infrastructure, ed. by I.A. Daglis, Kluwer Academic Publishers. p. 65-90, 2004.
Parker E.N., Geomagnetic fluctuations and the form of the outer zone of the Van Allen radiation belt, J. Geophys. Res., V. 65, p. 3117-3126, 1960.
Paulikas J.B., and Blake D.N., Effects of the solar wind on magnetospheric dynamics: energetic electrons at the synchronous orbit, In: Olson, W. (Ed.), Quantitative Modelling of the Magnetospheric Processes, V. 21 of Geophys. Monogr. Ser. AGU, Washington D.C., p. 180-202, 1979.
Reeves, G. D., Relativistic electrons and magnetic storms: 1992- 1999, Geophys. Res. Lett., V. 25, p. 1817-1820, 1998.
Russel C.T., and McPherron R.L., Semiannual variations of geomagnetic activity, V. 78, p. 92-100, 1973.
Singer S.F., Trapped albedo neutron theory of the radiation belt, Phys. Rev. Lett., V. 1, р.181-183, 1958.
Soraas F., and Davis L.R., Temporal variations of the 100 keV to 1700 keV trapped protons observed on satellite Explorer-26 during the first half of 1965, GSFC Rept. X-612-68-328. 1968.
Spjeldvik W.N., and Fritz T.A., Energetic heavy ions with nuclear charge Z4 in the equatorial radiation belts of the Earth: magnetic storms , J. Geophys. Res., V. 86, p. 2349- 2360, 1981.
Summers D., and Ma С., A model for generating relativistic electrons in the Earth’s inner magnetosphere based on gyroresonant wave-particle interactions, J. Geophys. Res., V. 105. No A2. p. 2625-2639, 2000.
Thorne R.M. and Kennel C.F., Relativistic electron precipitation during magnetic storm main phase, J. Geophys. Res., V. 76, p. 4456-4468, 1971.
Tverskaya L.V., Dynamics of energetic electrons in the radiation belts. Radiation belts: Model and Standards, Geophysical Monograph 97, AGU, p. 183-187, 1996.
Tverskaya L.V., The long period DP-1 and DP-2 variation effects in radiation belts, Proc. of XXIV Annual Seminar “Physics of Auroral Phenomena”, Apatity, p. 55-58, 2001.
Tverskaya L.V., Krasotkin S.A., Global long-period oscillations of the magnetosphere and the related phenomena in the radiation belts, Proc. “SOLSPA:The Solar Cycle and Space Weather Euroconference”, Vico Equence, Italy, 24-29 September 2001 (ESA SP-477, February 2002), 2002.
Tverskaya L.V., Pavlov N.N., Ivanova T.A., Some features of injection of relativistic electrons into the inner magnetosphere during a magnetic storm, Proc. of XXV Annual Seminar “Physics of Auroral Phenomena”, Apatity, p. 59-62, 2002.
Tverskaya L.V., Ivanova T.A., Pavlov N.N., Reizman S.Ya., Sosnovets E.N., Vlasova N.A., Long-term variations of the outer-belt relativistic electron fluxes. Programme and Abstract Book of Workshop “Effects of Space Weather on Technology Infrastructure”, Rhodes, Greece, 25-29 March 2003. Ed. by F.-A. Metallinou, p. 55, 2003a.
Tverskaya L.V., Ginzburg E.A., Pavlov N.N., Svidsky P.M., Injection of relativistic electrons during the giant SSC and greatest magnetic storm of the space era, Adv. Space Res., V. 31, No 4, p. 1033-1038, 2003b.
Tverskaya L.V., Ivanova T.A, Pavlov N.N., Reizman S.Ya., Rubinstein I.A., Sosnovets E.N., Veden’kin N.N., Storm-time formation of a relativistic electron belt and some relevant phenomena in other magnetosphere plasma domains, Adv. Space Res., V. 36, No 12, p. 2392-2400, 2005.
Tverskoy B.A., The Earth’s radiation belt theory, Proc. of 9th ICRC, London, V. 1, p. 546-547, 1965.
Tverskoy B.A., Main mechanisms in the formation of the Earth’s radiation belts. Rev. Geophys., V. 7, No 1-2, p. 219-221, 1969.
Tverskoy B.A., Electric fields in the magnetosphere and the origin of trapped radiation, In: Solar Terr. Phys/ 1970, ed. by Dyer, R.Publ.Co., p. 297-317, 1972.
Van Allen J.A., and Randall D.A., Evidence for direct durable capture of 1-8MeV solar alfa-particles into geomagnetically trapped orbits, J. Geophys. Res., V. 76, p.1830-1841, 1971.
Vernov S.N., Gorchakov E.V., Kuznetsov S.N., Logachev Yu.I., Sonsovets E.N., Stolpovsky V.G., Particle fluxes in the outer geomagnetic field. Rev. of Geophys., V. 7, No 1,2, p. 257-280, 1969.
Walt M., Source and Loss processes for Radiation Belt Particles, Model and Standards, Geophysical Monograph 97, AGU, pp.1-13, 1996.
West H.I., Buck R.M., Davidson G.T., The dynamics of energetic electrons in the Earth’s outer radiation belt during 1968 as observed by the Lavrence National Laboratory’s spectrometer on OGO-5, J. Geophys. Res., V. 86, p. 2111-2122, 1981.
Williams D.J., 27-day periodicity in outer zone trapped electron intensities, J. Geophys. Res., V. 71, p. 1815-1821, 1966.
Williams D.J., Arens I.F., and Lanzerotti L.T., Observations of trapped electrons at low and high altitudes, J. Geophys. Res., V. 73, p. 5673-5684, 1968.