| Скачать .docx | Скачать .pdf |
Дипломная работа: Теория остатков
МИНИСТЕРСТВО ОБРАЗОВАНИЯ РЕСПУБЛИКИ БЕЛАРУСЬ
Учреждение образования
«Гомельский государственный университет
имени Франциска Скорины »
Математический факультет
Кафедра алгебры и геометрии
Допущена к защите
Зав. кафедрой _________ Шеметков Л.А.
«_____» ____________ 2006 г.
ТЕОРИЯ ОСТАТКОВ
ДИПЛОМНАЯ РАБОТА
Исполнитель:
студентка группы М-52 ____________ Клименко Ю.
Научный руководитель:
к.ф-м.н., доцент кафедры
алгебры и геометрии ____________ Подгорная В.
Рецензент:
ст. преподаватель
кафедры высшей
математики ____________ Курносенко Н.
Гомель 2008
Содержание
Введение. 3
1 Алгоритм Евклида. 4
1.1 Определения алгоритма. 4
1.2 Алгоритм Евклида. 5
1.3 Применения алгоритма Евклида. 12
2 Делимость в кольцах. 17
2.1 Область целостности. 17
2.2 Кольцо частных. 19
2.3 Евклидовы кольца. 21
3 Сравнения и арифметика остатков. 27
4 Функция Эйлера. 41
5 Китайская теорема об остатках. 53
Заключение. 62
Список использованных источников. 63
Введение
История арифметики остатков начинается с исследований К.Ф. Гаусса, который впервые стал рассматривать сравнения. В дальнейшем была обнаружена связь теории сравнений с астрономическими задачами (китайская теорема об остатках). В результате многочисленных исследований теория остатков была распространена на кольца произвольной природы. В последнее время обнаружилось приложение этой теории в криптографии. В дипломной работе изложена теория остатков на современном алгебраическом языке.
Дипломная работа состоит из пяти разделов.
В первом разделе изложено понятие остатка, наибольшего общего делителя, алгоритма Евклида, расширенного алгоритма Евклида и применение алгоритма Евклида для решения линейных диофантовых уравнений и разложение чисел в цепные дроби.
Во втором разделе изложен алгебраический подход к делимости в кольцах. Рассмотрена область целостности, кольцо частных и евклидовы кольца.
В третьем разделе изложены теории вычетов по модулю и теория сравнений. Приведено применении теории остатков в криптографии (алгоритм RSA).
В четвертом разделе изложена теория мультипликативных функция и подробно рассмотрена функция Эйлера, с её свойствами.
В пятом разделе изложена китайская теорема об остатках для колец.
1 Алгоритм Евклида
1.1 Определения алгоритма
Единого «истинного» определения понятия «алгоритм» нет.
«Алгоритм — это всякая система вычислений, выполняемых по строго определённым правилам, которая после какого-либо числа шагов заведомо приводит к решению поставленной задачи.» (А. Колмогоров)
«Алгоритм — это точное предписание, определяющее вычислительный процесс, идущий от варьируемых исходных данных к искомому результату.» (А. Марков)
«Алгоритм есть формализованная последовательность действий (событий). Алгоритм может быть записан словами и изображен схематически. Практически любое неслучайное повторяемое действие поддается описанию через алгоритм.»
«Алгоритм — это система операторов, взятых из множества операторов некоторого исполнителя, которая полностью определяет некоторый класс алгоритмических процессов, то есть процессов, которые:
1. дискретны;
2. детерминированы;
3. потенциально конечны;
4. преобразовывают некоторые конструктивные объекты.
Между операторами алгоритма и операциями (элементарными действиями) алгоритмического процесса существует гомоморфное соответствие. Поэтому алгоритм следует также считать моделью алгоритмического процесса». (А. Копаев)
Формальные признаки алгоритмов
Различные определения алгоритма в явной или неявной форме содержат следующий ряд общих требований:
· детерминированность — определённость. В каждый момент времени следующий шаг работы однозначно определяется состоянием системы. Таким образом, алгоритм выдаёт один и тот же результат (ответ) для одних и тех же исходных данных. В современной трактовке у разных реализаций одного и того же алгоритма должен быть изоморфный граф. С другой стороны, существуют вероятностные алгоритмы, в которых следующий шаг работы зависит от текущего состояния системы и генерируемого случайного числа.
· понятность — алгоритм для исполнителя должен включать только те команды, которые ему (исполнителю) доступны, которые входят в его систему команд.
· завершаемость (конечность) — при корректно заданных исходных данных алгоритм должен завершать работу и выдавать результат за конечное число шагов. С другой стороны, вероятностный алгоритм может и никогда не выдать результат, но вероятность этого равна 0.
· массовость — алгоритм должен быть применим к разным наборам исходных данных.
Современное формальное определение алгоритма было дано в 30-50-х гг. XX века в работах Тьюринга, Поста, Чёрча (тезис Чёрча — Тьюринга), Н. Винера, А. А. Маркова.
1.2 Алгоритм Евклида
Определение. Число d Z , делящее одновременно числа а , b , c , ... , k Z , называется общим делителем этих чисел. Наибольшее d с таким свойством называется наибольшим общим делителем. Обозначение: d = ( a , b , c , ..., k ) .
Теорема . Если ( a , b ) = d , то найдутся такие целые числа u и v , что d = au + bv .
Доказательство . Рассмотрим множество P = { au + bv u,v Z }. Очевидно, что P Z , а знатоки алгебры могут проверить, что P – идеал в Z . Очевидно, что a , b , 0 P . Пусть x , y P и y 0 . Тогда остаток от деления x на y принадлежит P . Действительно:
x = yq + r , 0 r < y ,
r = x – yq = ( au 1 + bv 1 ) – ( au 2 + bv 2 ) q = a ( u 1 – u 2 q )+ b ( v 1 – v 2 q ) P .
Пусть d P - наименьшее положительное число из P (призадумайтесь, почему такое имеется!). Тогда а делится на d . В самом деле, a = dq + r 1 , 0 r 1 < d , a P , d P , значит r 1 P , следовательно r 1 = 0. Аналогичными рассуждениями получается, что b делится на d , значит d - общий делитель a и b .
Далее, раз d P , то d = au 0 + bv 0 . Если теперь d 1 - общий делитель a и b , то d 1 | ( au 0 + bv 0 ), т.е. d 1 | d . Значит d d 1 и d - наибольший общий делитель.
Определение. Целые числа a и b называются взаимно простыми, если (a , b ) = 1.
Вспоминая свойство 1 из предыдущего пункта, легко заметить, что два числа a и b являются взаимно простыми тогда и только тогда, когда найдутся целые числа u и v такие, что au + bv = 1.
Пусть даны два числа a и b ; a 0, b 0, считаем, что a > b . Символом := в записи алгоритма обозначаем присваивание. Алгоритм:
1. Ввести a и b .
2. Если b = 0 , то Ответ: а . Конец .
| a = bq 1 + r 1 b = r 1 q 2 + r 2 r 1 = r 2 q 3 + r 3 r 2 = r 3 q 4 + r 4 |
0 r 1 < b 0 r 2 < r 1 0 r 3 < r 2 0 r 4 < r 3 |
| · · · · · · · · · |
|
| r n -3 = r n -2 q n -1 + r n -1 r n -2 = r n -1 q n + r n r n -1 = r n q n +1 |
0 r n -1 < r n -2 0 r n < r n -1 r n +1 = 0 |
3. Заменить r := "остаток от деления а на b ", а := b , b := r .
4. Идти на 2.
В современной буквенной записи, алгоритм Евклида выглядит так: a > b; a, b Z .
Имеем: b > r 1 > r 2 >... > r n > 0, следовательно процесс оборвется максимум через b шагов. Очень интересный и практически важный народохозяйственный вопрос о том, когда алгоритм Евклида работает особенно долго, а когда справляется с работой молниеносно, мы рассмотрим чуть позже. Давайте сейчас покажем, что r n = ( a , b ). Просмотрим последовательно равенства сверху вниз: всякий делитель а и b делит r 1 , r 2 ,..., r n . Если же просматривать эту цепочку равенств от последнего к первому, то видно, что r n | r n -1 , r n | r n -2 , и т.д., т.е. r n делит а и b . Поэтому r n - наибольший общий делитель чисел а и b .
Как и всякая добротно выполненная работа, алгоритм Евклида дает гораздо больше, чем от него первоначально ожидалось получить. Из его разглядывания ясно, например, что совокупность делителей а и b совпадает с совокупностью делителей ( a , b ). Еще он дает практический способ нахождения чисел u и v из Z (или, если угодно, из теоремы пункта 2) таких, что r n = au + bv = ( a, b ).
Действительно, из цепочки равенств имеем:
r n = r n -2 - r n -1 q n = r n -2 - ( r n -3 - r n -2 q n -1 ) q n = ...
(идем по цепочке равенств снизу вверх, выражая из каждого следующего равенства остаток и подставляя его в получившееся уже к этому моменту выражение)
... = au + bv = ( a , b ).
Пример. Пусть а = 525, b = 231. (ниже приводится запись деления уголком, и каждый раз то, что было в уголке, т.е. делитель, приписывается к остатку от деления с левой стороны, а остаток, как новый делитель, берется в уголок)
| _ _42| 42 | 0 |
_ 63| 42 | 21 2 |
_ 231| 189 | 42 1 |
525| 462 | 63 3 |
231 2 |
Запись того же самого в виде цепочки равенств:
525 = 231 · 2 + 63
231 = 63 · 3 + 42
63 = 42 · 1 + 21
42 = 21 · 2
Таким образом, (525, 231) = 21. Линейное представление наибольшего общего делителя:
21 = 63 - 42 · 1 = 63 - (231 - 63 · 3) · 1 =
= 525 - 231 · 2 - (231 - (525 - 231 · 2) · 3) =
= 525 · 4 - 231 · 9,
и наши пресловутые u и v из Z равны, соответственно, 4 и - 9.
Приступим теперь к исполнению второй части названия этого пункта - анализу алгоритма Евклида. Нас будет интересовать наихудший случай - когда алгоритм работает особенно долго? Спросим точнее: какие два наименьших числа надо засунуть в алгоритм Евклида, чтобы он работал в точности заданное число шагов? Ответ на этот вопрос дает
Теорема (Ламэ, 1845 г.). Пусть n N , и пусть a > b > 0 такие, что алгоритму Евклида для обработки а и b необходимо выполнить точно n шагов (делений с остатком), причем а - наименьшее с таким свойством. Тогда а = n +2 , b = n +1 , где k - k- ое число Фибоначчи.
Следствие. Если натуральные числа a и b не превосходят N N , то число шагов (операций деления с остатком), необходимых алгоритму Евклида для обработки a и b не превышает log Ф ( 5 N ) - 2, где - верхнее целое , = (1 + 5)/2 - больший корень характеристического уравнения последовательности Фибоначчи.
Доказательство. Максимальное число шагов n достигается при а = n +2 , b = n +1 , где n - наибольший номер такой, что n +2 < N . Рассматривая формулу для n -ого члена последовательности Фибоначчи, легко понять, что n +2 - ближайшее целое к (1/ 5) n +2 . Значит (1/ 5) n +2 < N , следовательно, n +2 < log Ф ( 5 N ), откуда моментально даже n < log Ф ( 5 N ) - 3 (именно "минус три", ведь рассматривается верхнее целое).
log Ф ( 5 N ) 4,785 · lg N + 1,672, поэтому, например, с любой парой чисел, меньших миллиона, алгоритм Евклида разбирается не более, чем за 4,785 · 6 + 1,672 - 3 = 31 - 3 = 28 шагов.
Листинг алгоритма Евклида на языке С
// Обобщенный алгоритм Евклида для поиска наибольшего общего // делителя gcd = НОД(u,v) целых положительных чисел u и v // и коэффициентов a и b уравнения a*u + b*v = gcd// Все числа полагаются типа long // Подстановки упрощающие запись исходного текста#define isEven(x) ((x & 0x01L) == 0) // x - четное?#define isOdd(x) ((x & 0x01L)) // x - нечетное?#define swap(x,y) (x ^= y, y ^= x, x ^= y) // обмен значений x и y void GenEuclid(long *u, long *v, long *a, long *b, long *gcd){int k; // Параметр цикловlong a1, b1, g1; // Вспомогательные переменные // Алгоритм предполагает, что u > v, если u < v, то они переставляютсяif (*u < *v) swap(*u, *v);// Если u = n * 2^k1 или v = m * 2^k2, то перед поиском НОД// производим сокращение u = u/(2^k), v = v/(2^k),// где k - минимальное из k1, k2. Показатель k запоминаем.for (k = 0; isEven(*u) && isEven(*v); ++k){ *u >>= 1; *v >>= 1;}// Задание начальных значений*a = 1; *b = 0; *gcd = *u; a1 = *v; b1 = *u - 1; g1 = *v;do { do { if (isEven(*gcd)){ if (isOdd(*a) || isOdd(*b)){ *a += *v; *b += *u; } *a >>= 1; *b >>= 1; *gcd >>= 1; } if (isEven(g1) || *gcd < g1){ swap(*a, a1); swap(*b, b1); swap(*gcd, g1); } } while (isEven(*gcd)); while(*a < a1 || *b < b1){ *a += *v; *b += *u; } *a -= a1; *b -= b1; *gcd -= g1;} while (g1 > 0);while (*a >= *v && *b >= *u){ *a -= *v; *b -= *u;}// производим умножение коэффициентов уравнения // на сокращенный ранее множитель 2^k*a <<= k; *b <<= k; *gcd <<= k;}Расширенный алгоритм Евклида и соотношение Безу
Формулы для ri могут быть переписаны следующим образом:
r 1 = a + b ( - q 0 )
r 2 = b − r 1 q 1 = a ( − q 1 ) + b (1 + q 1 q 0 )
![]()
(a ,b ) = rn = as + bt
здесь s и t целые. Это представление наибольшего общего делителя называется соотношением Безу , а числа s и t — коэффициентами Безу . Соотношение Безу является ключевым в доказательстве основной теоремы арифметики.
1.3 Применения алгоритма Евклида
Пусть требуется решить линейное диофантово уравнение:
ax + by = c ,
где a , b , c Z ; a и b - не нули.
Попробуем порассуждать, глядя на это уравнение.
Пусть ( a , b ) = d . Тогда a = a 1 d ; b = b 1 d и уравнение выглядит так:
a 1 d· x + b 1 d· y = c , т.е. d· ( a 1 x + b 1 y ) = c .
Теперь ясно, что у такого уравнения имеется решение (пара целых чисел x и y ) только тогда, когда d | c . Пусть d | c . Поделим обе части уравнения на d , и всюду далее будем считать, что ( a , b ) = 1.
Рассмотрим несколько случаев.
Случай 1. Пусть c = 0, уравнение имеет вид ax + by = 0 - " однородное линейное диофантово уравнение".
| x = - |
b a |
y . |
Так как x должен быть целым числом, то y = at , где t - произвольное целое число (параметр). Значит x = - bt и решениями однородного диофантова уравнения ax + by = 0 являются все пары вида {- bt , at }, где t = 0; ±1; ±2;... Множество всех таких пар называется общим решением линейного однородного диофантова уравнения, любая же конкретная пара из этого множества называется частным решением.
Случай 2. Пусть теперь c 0. Этот случай закрывается следующей теоремой.
Теорема. Пусть ( a , b ) = 1, { x 0 , y 0 } - частное решение диофантова уравнения ax + by = c . Тогда его общее решение задается формулами:
| |
x = x 0 - bt y = y 0 + at . |
Таким образом, и в теории линейных диофантовых уравнений общее решение неоднородного уравнения есть сумма общего решения соответствующего однородного уравнения и некоторого (любого) частного решения неоднородного уравнения.
Доказательство. То, что правые части указанных в формулировке теоремы равенств действительно являются решениями, проверяется их непосредственной подстановкой в исходное уравнение. Покажем, что любое решение уравнения ax + by = c имеет именно такой вид, какой указан в формулировке теоремы. Пусть { x * , y *} - какое-нибудь решение уравнения ax + by = c . Тогда ax * + by * = c , но ведь и ax 0 + by 0 = c . Следуя многолетней традиции доказательства подобных теорем, вычтем из первого равенства второе и получим:
a ( x *- x 0 ) + b ( y *- y 0 ) = 0
- однородное уравнение. Далее, глядя на случай 1, рассмотрение которого завершилось несколькими строками выше, пишем сразу общее решение: x *- x 0 = - bt , y *- y 0 = at , откуда моментально, используя навыки третьего класса средней школы, получаем:
| |
x * = x 0- bt , y * = y 0 + at. |
Как же искать то самое частное решение { x 0 , y 0 }. Мы договорились, что ( a , b ) = 1. Это означает, что найдутся такие u и v из Z , что au + bv = 1, причем эти u и v мы легко умеем находить с помощью алгоритма Евклида. Умножим теперь равенство au + bv = 1 на c и получим: a ( uc ) + b ( vc ) = c , т.е. x 0 = uc , y 0 = vc .
Определение. Цепной (или, непрерывной) дробью называется выражение вида:

(Бедные наборщики в докомпьютерные времена буквально стрелялись, когда им приходилось набирать в книжках подобные многоэтажные выражения.) Договоримся называть числа q 1 , q 2 ,..., q n ,... - неполными частными и считаем, что q 1 Z , а q 2 ,..., q n ,... N . Числа называются подходящими дробями цепной дроби .
| 1 = q 1 , 2 , = q 1 + |
1 q 2 |
, 3 = q 1 + |
1
|
, и т. д. |
Цепная дробь может быть как конечной (содержащей конечное число дробных линий и неполных частных), так и бесконечной вниз и вправо (на юго-восток). В первом случае она, очевидно, представляет некоторое рациональное число, во втором случае - пока непонятно что она вообще из себя представляет, но ясно, что все ее подходящие дроби - рациональные числа.
Пусть Q , = a / b ; a , b Z , b > 0. Оказывается, что при этих условиях, указанный выше процесс разложения числа в цепную дробь всегда конечен и выполним с помощью достопочтенного и любимого нами алгоритма Евклида. Действительно, отдадим алгоритму числа a и b , и внимательно посмотрим, что получится.
a = bq 1 + r 1 |
т.е. |
a b |
= q 1 + |
1 b / r 1 |
| b = r 1 q 2 + r 2 |
т.е. |
b r 1 |
= q 2 + |
1 r 1 / r 2 |
| r 1 = r 2 q 3 + r 3 |
т.е. |
r 1 r 2 |
= q 3 + |
1 r 2 / r 3 |
| . . . . . . . |
||||
| r n -2 = r n -1 q n + r n |
т.е. |
r n -2 r n -1 |
= q n + |
1 r n -1 / r n |
| r n -1 = r n q n +1 |
т.е. |
r n -1 r n |
= q n +1 . |
|
Значит:

где q 1 , q 2 ,..., q n +1 - как раз те самые неполные частные из алгоритма Евклида (вот откуда название этих чисел в цепных дробях). Таким образом, в случае рационального числа a / b , процесс разложения в цепную дробь конечен и дробь содержит не более b этажей. Наиболее одаренные читатели в этом месте уже поняли, что основная теорема о цепных дробях для рациональных чисел оказалась почти доказана (не доказали только единственность разложения, но она в случае конечных цепных дробей почти очевидна - приравняйте две цепных дроби и, рассуждая по индукции, получите, что у равных дробей совпадают все неполные частные).
Пример. П ример заимствован из книги И. М. Виноградова "Основы теории чисел". Итак: разложить 105/38 в цепную дробь.
Включаем алгоритм Евклида:
105 = 38 · 2 + 29
38 = 29 · 1 + 9
29 = 9 · 3 + 2
9 = 2 · 4 + 1
2 = 1 · 2
Неполные частные я специально подчеркнул потому, что теперь для написания ответа нужно аккуратно расположить их подряд на этажах цепной дроби перед знаками плюс:

2 Делимость в кольцах
2.1 Область целостности
Область целостности (или целостное кольцо , или область цельности ) — понятие абстрактной алгебры: ассоциативное коммутативное кольцо с единицей, в котором 0≠1 и произведение двух ненулевых элементов не равно нулю. Условие 0≠1 исключает из рассмотрения тривиальное кольцо {0}.
Эквивалентное определение: область целостности — это ассоциативное коммутативное кольцо, в котором нулевой идеал {0} является простым. Любая область целостности является подкольцом своего поля частных.
· Простейший пример области целостности — кольцо целых чисел
.
· Любое поле является областью целостности. С другой стороны, любая артинова область целостности есть поле. В частности, все конечные области целостности суть конечные поля.
· Кольцо многочленов с коэффициентами из некоторого целостного кольца также является целостным. Например, целостными будут кольцо
многочленов одной переменной с целочисленными коэффициентами и кольцо
многочленов двух переменных с вещественными коэффициентами.
· Множество действительных чисел вида
есть подкольцо поля
, а значит, и область целостности. То же самое можно сказать про множество комплексных чисел вида a
+ bi
, где a
и b
целые (множество Гауссовых целых).
· Пусть U
— связное открытое подмножество комплексной плоскости
. Тогда кольцо H
(U
) всех голоморфных функций
будет целостным. То же самое верно для любого кольца аналитических функций, определённых на связном подмножестве аналитического многообразия.
· Если K — коммутативное кольцо, а I — идеал в K , то факторкольцо K / I целостное тогда и только тогда, когда I — простой идеал.
Делимость, простые и неприводимые элементы
Пусть a
и b
— элементы целостного кольца K
. Говорят, что «a
делит b
» или «a
— делитель b
» (и пишут
), если и только если существует элемент
такой, что ax
= b
.
Делимость транзитивна: если a делит b и b делит c , то a делит c . Если a делит b и c , то a делит также их сумму b + c и разность b - c .
Для кольца K
с единицей элементы
, которые делят 1, называются делителями единицы
, а иногда и просто единицами
. Они и только они, обратимы в K
. Единицы делят все остальные элементы кольца.
Элементы a и b называются ассоциированными , если a делит b и b делит a. a и b ассоциированны тогда и только тогда, когда a = b * e , где e — обратимый элемент.
Необратимый элемент q целостного кольца называется неприводимым , если его нельзя разложить в произведение двух необратимых элементов.
Ненулевой необратимый элемент p
называется простым
, если из того, что
, следует
или
. Это определение обобщает понятие простого числа в кольце
, однако учитывает и отрицательные простые числа. Если p
— простой элемент кольца, то порождаемый им главный идеал (p
) будет простым. Любой простой элемент неприводим, но обратное верно не во всех областях целостности.
· Любое поле, а также любое кольцо с единицей, содержащееся в некотором поле, является областью целостности.
Обратно, любая область целостности может быть вложена в некоторое поле. Такое вложение дает конструкция поля частных.
· Если A ― область целостности, то кольцо многочленов и кольцо формальных степенных рядов над A также будут областями целостности.
· Если A ― коммутативное кольцо с единицей и I ― некоторый идеал в A , то кольцо A / I является областью целостности тогда и только тогда, когда идеал I прост.
· Кольцо будет областью целостности тогда и только тогда, когда его спектр есть неприводимое топологическое пространство.
· Прямое произведение колец никогда не бывает областью целостности, так как единица первого кольца, умноженная на единицу второго кольца, даст 0.
· Тензорное произведение целостных колец тоже будет целостным кольцом.
Иногда в определении области целостности не требуют коммутативности. Примерами некоммутативных областей целостности являются тела, а также подкольца тел, содержащие единицу, например целые кватернионы. Однако, вообще говоря, неверно, что любая некоммутативная область целостности может быть вложена в некоторое тело.
2.2 Кольцо частных
В коммутативной алгебре кольцом частных S-1
R
кольца R
(коммутативного с единицей) по мультипликативной системе
называется пространство дробей с числителями из R
и знаменателями из S
с арифметическими операциями и отождествлениями, обычными для дробей.
Мультипликативной системой
в кольце R
называется подмножество S
в R
, содержащее 1, не содержащее нуля и замкнутое по умножению (в кольце R
). Для мультипликативной системы S
множество
образует идеал в кольце R
. В случае, когда множество S
не содержит делителей нуля кольца R
, идеал IS
= (0) и система S
называется регулярной. Если R
- целостное кольцо, в ней всякая мультипликативная система регулярна.
Элементами кольца частных
кольца R
по мультипликативной системе S
являются формальные дроби вида r/s
, где r
- произвольный элемент R
, а s
- элемент множества S
. Две дроби r
1
/ s
1
и r
2
/ s
2
считаются эквивалентными (представляют один и тот же элемент кольца частных), если
. Операции сложения и умножения определяются как обычно:
![]()
![]()
Проверяется, что если в сумме или произведении дроби заменить на эвивалентные, новый результат будет выражаться дробью, эквивалентной прежней. С такими операциями множество S − 1 R приобретает структуру коммутативного кольца с единицей. Нулём в нём служит дробь 0/1 , единицей - дробь 1/1 .
Свойства
· Кольцо частных имеет каноническую структуру алгебры над кольцом R, так как вместе с кольцом S-1 R сразу определён и канонический гомоморфизм кольца R в S-1 R (каждому элементу r из R соответствует дробь r/1 ). Ядром этого гомоморфизма является идеал IS . В случае, если система S регулярна (не содержит делителей нуля), этот гомоморфизм инъективен, и кольцо R , таким образом, вложено в своё кольцо частных по системе S . При этом дробь r/s является единственным решением уравнения sx = r .
· Если оба элемента r и s принадлежат S , тогда в кольце S-1 R содержатся дроби r/s и s/r . Их произведение равно 1, следовательно, они обратимы. Обратно: каждый обратимый элемент кольца S-1 R имеет вид er/s , где r и s принадлежат S, а e - обратимый элемент кольца R .
· Если кольцо R не имеет (собственных) делителей нуля (т.е. это целостное кольцо), множество всех ненулевых элементов образует мультипликативную систему S . Соответствующее кольцо частных будет полем, которое называется полем частных целостного кольца. Отсюда следует, что каждое целостное кольцо вложено в некоторое поле, а именно - в своё поле частных .
· Если R - евклидово кольцо, то всякое кольцо, промежуточное между R и его полем частных, является кольцом частных кольца R по некоторой мультипликативной системе S .
· Если система S состоит из одних только обратимых элементов кольца R , канонический гомоморфизм кольца R в S-1 R превращается в изоморфизм, так как каждая дробь r/s оказывается сократимой в кольце R .
· Если кольцо R ' является подкольцом кольца R , то множество всех элементов из R ', обратимых в кольце R , образует регулярную мультипликативную систему S в кольце R' . Тогда каждой дроби r/s однозначно соответствует некоторый элемент кольца R . Множество всех таких элементов кольца R образует кольцо частных кольца R' в кольце R .
Примеры
· Полем частных кольца целых чисел
является поле рациональных чисел
.
· Степени числа 10 в
образуют мультипликативную систему. Кольцом частных по ней будет кольцо конечных десятичных дробей.
· Полем частных кольца многочленов k [X 1 ,X 2 ,...,Xn ] над полем k будет поле рациональных функций k (X 1 ,X 2 ,...,Xn ).
· Пусть
— простой идеал в R
. Тогда дополнение к нему - мультипликативная система. Кольцо частных по ней называется локализацией кольца R
по простому идеалу
.
· Чётные числа в
образуют простой идеал. Локализацией кольца
по нему будет кольцо рациональных дробей, у которых в несократимом виде знаменатель — нечётное число.
2.3 Евклидовы кольца
Неформально, евклидово кольцо — в абстрактной алгебре — кольцо, в котором «работает» алгоритм Евклида.
Евклидово кольцо
— это область целостности R
, для которой определена евклидова функция
(евклидова норма
)
, причём
, и возможно деление с остатком, по норме меньшим делителя, то есть для любых
имеется представление a
= bq
+ r
, для которого d
(r
) < d
(b
).
Часто на евклидову норму накладывают дополнительное ограничение:
для любых a
и ненулевых b
из кольца R
. Если на R
задана норма, не удовлетворяющая этому условию, её можно поправить, переопределив:
![]()
Такая норма нужному неравенству удовлетворяет, однако прежний алгоритм деления с остатком уже не годится — его тоже надо поправлять. Пусть
таков, что d
'(b
) = d
(bx
). Разделим с остатком ax
на bx
: ax
= bxq
' + r
'x
, где r
' = a
− bq
' и d
(r
'x
) < d
(bx
) = d
'(b
). Так как из определения
, мы получили представление a
= bq
' + r
' с d
'(r
') < d
'(b
), что и требовалось.
Тем не менее бонусов от такой нормы не так много — все обратимые элементы имеют одно и то же значение нормы, причём минимальное из всех (конечных), собственные делители элемента a имеют меньшее значение нормы, а также упрощается непосредственное доказательство факториальности евклидовых колец (без ссылки на факториальность колец главных идеалов, доказательство чего требует применения трансфинитной индукции). Основные же свойства евклидовых колец остаются в силе и без этого дополнительного свойства.
· Кольцо целых чисел Z
. Пример евклидовой функции — абсолютное значение
.
· Кольцо целых гауссовых чисел Z [i] (где i — мнимая единица, i 2 = − 1) с нормой d (a + ib ) = a 2 + b 2 — евклидово.
· Произвольное поле K является евклидовым кольцом с нормой, равной 1 для всех элементов, кроме 0.
· Кольцо многочленов в одной переменной K [x ] над полем K . Пример евклидовой функции — степень deg.
· Кольцо формальных степенных рядов K [[x ]] над полем K является евклидовым кольцом. Норма степенного ряда — номер первого ненулевого коэффициента в нём (для нулевого ряда норма равна минус бесконечности).
· Обобщая предыдущий пример, всякое локальное кольцо является евклидовым, если в нём максимальный идеал является главным и пересечение всех его степеней состоит только из нуля. Норма обратимого элемента — 0, необратимого ненулевого — равна максимальной степени максимального идеала, которая содержит данный элемент, а норма нуля — минус бесконечность.
· Кольцо функций H(K) , голоморфных на связном компакте K в C (каждая из них должна быть голоморфна в какой-нибудь окрестности этого компакта; две такие функции считаются равными в H(K) , если они совпадают в некоторой окрестности K ), тоже евклидово. За норму ненулевой функции принимается число нулей (с учётом кратности), которые она принимает на K .
· Счётное пересечение евклидовых колец (подколец в каком-нибудь кольце) не обязано быть евклидовым кольцом (и даже нётеровым или факториальным). Например, кольцо функций H(D) , голоморфных в открытом круге D , является пересечением евклидовых колец функций H(K) , голоморфных на замкнутых кругах K , содержащихся внутри D (см. предыдущий пример), однако оно ни нётерово, ни факториально, соответственно, и неевклидово.
· Кольцо частных S-1 R евклидова кольца R по мультипликативной системе S тоже является евклидовым. Нормой дроби x из S-1 R принимается
, где dR
— евклидова норма в R
, а dS
— норма в S-1
R
.
Деление с остатком определяется так. Пусть есть две ненулевые дроби x = r / t и y из S-1 R . По определению нормы в S-1 R существует элементы u в R и s в S , такие что y = u / s и dS (y ) = dR (u ). Произведём деление с остатком в кольце R элементов rs и u :
rs = uq + r'
, так что dR
(r
') < dR
(u
). Тогда r
/ t
= (u
/ s
)(q
/ t
) + r
' / ts
. Из построения следуют неравенства
.
· Евклидовыми являются кольца конечных двоичных и конечных десятичных дробей, так как они являются кольцами частных кольца целых чисел Z .
· Евклидовыми являются кольца рациональных функций над полем C с фиксированными полюсами, так как такие кольца являются кольцами частных кольца многочленов C [x ].
В евклидовом кольце осуществим алгоритм Евклида нахождения наибольшего общего делителя двух чисел (элементов). Пусть изначально даны два элемента a0
и a1
, причём
и
. Деление с остатком даёт элемент a
2
= a
0
− a
1
q
1
с d
(a
2
) < d
(a
1
). Если он не равен нулю, можно опять применить деление с остатком, и получить элемент a
3
= a
1
− a
2
q
2
, и т. д. Таким образом генерируется цепочка значений
с
. Однако эта цепочка прерывается, поскольку всякое число из
может строго превосходить лишь конечное количество других таких чисел. Это означает, что при некотором n
остаток an+1
равен нулю, а an
не равен, он и есть НОД элементов a0
и a1
. Следовательно, в евклидовом кольце гарантировано завершение алгоритма Евклида. Строго говоря, именно в евклидовых кольцах и возможна реализация алгоритма Евклида.
· В евклидовом кольце каждый идеал — главный (в частности, все евклидовы кольца нётеровы).
o Пусть I — произвольный идеал в евклидовом кольце. Если он содержит лишь 0, — он главный. В противном случае среди его ненулевых элементов найдётся элемент f с минимальной нормой (принцип минимума для натуральных чисел). Он делит все остальные элементы идеала: Если g — произвольный элемент идеала I , представим его в виде g = fq + r с d(r)<d(f) . Тогда r - тоже элемент идеала I и он обязан быть нулём, так как его норма меньше, чем у f . Следовательно, идеал I содержится в идеале (f) . С другой стороны, всякий идеал, содержащий элемент f , содержит идеал (f) . Значит, I = (f) - главный идеал.
· Каждое евклидово кольцо факториально, то есть каждый элемент представим конечным произведением простых элементов, и притом однозначно (с точностью до их перестановки и умножения на обратимые элементы). Факториальность - общее свойство всех колец главных идеалов.
· Каждое евклидово кольцо R
целозамкнуто, то есть если дробь
, является корнем многочлена
со старшим коэффициентом, равным 1, тогда a
делится на b
. Целозамкнутость - общее свойство всех факториальных колец.
Свойства модулей над евклидовым кольцом
Пусть R - евклидово кольцо. Тогда конечнопорождённые R -модули обладают следующими свойствами:
· Всякий подмодуль N конечнопорождённого R -модуля M конечно порождён. (следствие нётеровости кольца R )
· Ранг подмодуля N не превосходит ранга модуля M . (следствие главности идеалов в R )
· Подмодуль свободного R -модуля свободен. (то же)
· Гомоморфизм
конечнопорождённых R
-модулей всегда приводится к нормальной форме. То есть существуют образующие (базис, если модуль свободен)
модуля N
, образующие (базис)
модуля M
, номер
и
- элементы кольца R
, такие что ai
делит ai
+ 1
и при i>k
Aui
= 0, а при остальных — Aui
= ai
vi
. При этом коэффициенты
определены однозначно с точностью до умножения на обратимые элементы кольца R
. (Тут прямо задействована евклидовость кольца R
.)
3 Сравнения и арифметика остатков
Определение. Пусть а, b Z , m N . Говорят, что число а сравнимо с b по модулю m , если а и b при делении на m дают одинаковые остатки. Запись этого факта выглядит так:
a b(mod m) .
Очевидно, что бинарное отношение сравнимости m (неважно, по какому модулю) есть отношение эквивалентности на множестве целых чисел, а любители алгебры скажут, что это отношение является даже конгруэнцией кольца Z , фактор-кольцо по которой Z/ m называется кольцом вычетов и обозначается Z m .
Ясно, что число a сравнимо с b по модулю m тогда и только тогда, когда a-b делится на m нацело. Очевидно, это, в свою очередь, бывает тогда и только тогда, когда найдется такое целое число t , что a=b+mt . Знатоки алгебры добавят к этим эквивалентным утверждениям, что сравнимость a с b по модулю m означает, что a и b представляют один и тот же элемент в кольце Z m .
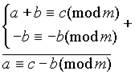
Свойство 1. Сравнения по одинаковому модулю можно почленно складывать.
Доказательство. Пусть a1 b1 (mod m) , a2 b2 (mod m) . Это означает, что a 1 =b 1 +mt 1 , a 2 =b 2 +mt 2 . После сложения последних двух равенств получим a 1 +a 2 =b 1 +b 2 +m(t 1 +t 2 ) , что означает a 1 +a 2 b 1 +b 2 (mod m) .
Свойство 2. Слагаемое, стоящее в какой-либо части сравнения, можно переносить в другую часть, изменив его знак на обратный.
Доказательство.

Свойство 3. К любой части сравнения можно прибавить любое число, кратное модулю.
Доказательство.

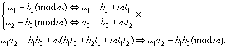
Свойство 4. Сравнения по одинаковому модулю можно почленно перемножать и, следовательно,
Свойство 5. Обе части сравнения можно возвести в одну и ту же степень.
Доказательство.

Как следствие из вышеперечисленных свойств, получаем
Свойство 6. Если
a 0 b 0 (mod m) , a 1 b 1 (mod m) ,..., a n b n (mod m) , x y(mod m) ,
то a 0 x n +a 1 x n-1 +...+a n b 0 y n +b 1 y n-1 +...+b n (mod m)
Свойство 7. Обе части сравнения можно разделить на их общий делитель, взаимно простой с модулем.
Доказательство. Пусть a b(mod m) , a=a 1 d , b=b 1 d . Тогда (a 1 -b 1 ) d делится на m . Поскольку d и m взаимно просты, то на m делится именно (a 1 -b 1 ) , что означает a 1 b 1 (mod m) .
Свойство 8. Обе части сравнения и его модуль можно умножить на одно и то же целое число или разделить на их общий делитель.
Доказательство.
a b(mod m) a=b+mt ak=bk+mkt ak bk(mod mk) .
Свойство 9. Если сравнение a b имеет место по нескольким разным модулям, то оно имеет место и по модулю, равному наименьшему общему кратному этих модулей.
Доказательство. Если a b(mod m 1 ) и a b(mod m 2 ) , то a-b делится на m 1 и на m 2 , значит a-b делится на наименьшее общее кратное m 1 и m 2 .
Свойство 10. Если сравнение имеет место по модулю m , то оно имеет место и по модулю d , равному любому делителю числа m .
Доказательство очевидно следует из транзитивности отношения делимости: если a b(mod m) , то a-b делится на m , значит a-b делится на d , где d|m .
Свойство 11. Если одна часть сравнения и модуль делятся на некоторое число, то и другая часть сравнения должна делиться на то же число.
Доказательство.
a b(mod m) a=b+mt .
Отношение m сравнимости по произвольному модулю m есть отношение эквивалентности на множестве целых чисел. Это отношение эквивалентности индуцирует разбиение множества целых чисел на классы эквивалентных между собой элементов, т.е. в один класс объединяются числа, дающие при делении на m одинаковые остатки. Число классов эквивалентности m (знатоки скажут - "индекс эквивалентности m ") в точности равно m .
Определение. Любое число из класса эквивалентности m будем называть вычетом по модулю m . Совокупность вычетов, взятых по одному из каждого класса эквивалентности m , называется полной системой вычетов по модулю m (в полной системе вычетов, таким образом, всего m штук чисел). Непосредственно сами остатки при делении на m называются наименьшими неотрицательными вычетами и, конечно, образуют полную систему вычетов по модулю m . Вычет называется абсолютно наименьшим, если наименьший среди модулей вычетов данного класса.
Пример : Пусть m = 5 . Тогда:
0, 1, 2, 3, 4 - наименьшие неотрицательные вычеты;
-2, -1, 0, 1, 2 - абсолютно наименьшие вычеты.
Обе приведенные совокупности чисел образуют полные системы вычетов по модулю 5 .
Лемма 1. 1) Любые m штук попарно не сравнимых по модулю m чисел образуют полную систему вычетов по модулю m .
2) Если а и m взаимно просты, а x пробегает полную систему вычетов по модулю m , то значения линейной формы аx+b , где b - любое целое число, тоже пробегают полную систему вычетов по модулю m .
Доказательство. Утверждение 1) – очевидно. Докажем утверждение 2). Чисел аx+b ровно m штук. Покажем, что они между собой не сравнимы по модулю m . Ну пусть для некоторых различных x 1 и x 2 из полной системы вычетов оказалось, что ax 1 +b ax 2 +b(mod m) . Тогда, по свойствам сравнений из предыдущего пункта, получаем:
ax 1 ax 2 (mod m)
x 1 x 2 (mod m)
– противоречие с тем, что x 1 и x 2 различны и взяты из полной системы вычетов.
Поскольку все числа из данного класса эквивалентности получаются из одного числа данного класса прибавлением числа, кратного m , то все числа из данного класса имеют с модулем m один и тот же наибольший общий делитель. По некоторым соображениям, повышенный интерес представляют те вычеты, которые имеют с модулем m наибольший общий делитель, равный единице, т.е. вычеты, которые взаимно просты с модулем.
Определение. Приведенной системой вычетов по модулю m называется совокупность всех вычетов из полной системы, взаимно простых с модулем m .
Приведенную систему обычно выбирают из наименьших неотрицательных вычетов. Ясно, что приведенная система вычетов по модулю m содержит ( m ) штук вычетов, где ( m )– функция Эйлера – число чисел, меньших m и взаимно простых с m . Если к этому моменту вы уже забыли функцию Эйлера, загляните в пункт 14 и убедитесь, что про нее там кое-что говорилось.
Пример. Пусть m = 42. Тогда приведенная система вычетов суть:
1, 5, 11, 13, 17, 19, 23, 25, 29, 31, 37, 41.
Лемма 2. 1) Любые ( m ) чисел, попарно не сравнимые по модулю m и взаимно простые с модулем, образуют приведенную систему вычетов по модулю m .
2) Если ( a,m ) = 1 и x пробегает приведенную систему вычетов по модулю m , то аx так же пробегает приведенную систему вычетов по модулю m .
Доказательство. Утверждение 1) – очевидно. Докажем утверждение 2). Числа аx попарно несравнимы (это доказывается так же, как в лемме 1 этого пункта), их ровно ( m ) штук. Ясно также, что все они взаимно просты с модулем, ибо (a,m)=1, (x,m)=1 (ax.m)=1 . Значит, числа аx образуют приведенную систему вычетов.
Лемма 3. Пусть m 1 , m 2 , ..., m k – попарно взаимно просты и m 1 m 2 ...m k =M 1 m 1 =M 2 m 2 =...=M k m k , где M j =m 1 ...m j-1 m j+1 ...m k
1) Если x 1 , x 2 , ..., x k пробегают полные системы вычетов по модулям m 1 , m 2 , ..., m k соответственно, то значения линейной формы M 1 x 1 +M 2 x 2 + ...+M k x k пробегают полную систему вычетов по модулю m=m 1 m 2 ...m k .
2) Если 1 , 2 , ..., k пробегают приведенные системы вычетов по модулям m 1 , m 2 , ..., m k соответственно, то значения линейной формы M 1 1 +M 2 2 + ...+M k k пробегают приведенную систему вычетов по модулю m=m 1 m 2 ...m k .
Доказательство.
1) Форма M 1 x 1 +M 2 x 2 + ...+M k x k принимает, очевидно, m 1 m 2 ...m k =m значений. Покажем, что эти значения попарно несравнимы. Ну пусть
M 1 x 1 +M 2 x 2 + ...+M k x k M 1 x 1 +M 2 x 2 + ...+M k x k (mod m)
Всякое M j , отличное от M s , кратно m s . Убирая слева и справа в последнем сравнении слагаемые, кратные m s , получим:
M s x s M s x s (mod m s ) x s x s (mod m s )
– противоречие с тем, что x s пробегает полную систему вычетов по модулю m s .
2). Форма M 1 1 +M 2 2 + ...+M k k принимает, очевидно, ( m 1 ) ( m 2 ) ... ( m k ) = ( m 1 m 2 ... m k )= ( m ) (функция Эйлера мультипликативна!) различных значений, которые между собой по модулю m=m 1 m 2 ...m k попарно несравнимы. Последнее легко доказывается рассуждениями, аналогичными рассуждениям, проведенным при доказательстве утверждения 1) этой леммы. Так как ( M 1 1 +M 2 2 + ...+M k k ,m s )=(M s s ,m s )=1 для каждого 1 s k , то ( M 1 1 +M 2 2 + ...+M k k ,m s )=1 , следовательно множество значений формы M 1 1 +M 2 2 + ...+M k k образует приведенную систему вычетов по модулю m .
Лемма 4. Пусть x 1 , x 2 , ..., x k ,x пробегают полные, а 1 , 2 ,..., k , – пробегают приведенные системы вычетов по модулям m 1 , m 2 , ..., m k и m=m 1 m 2 ...m k соответственно, где (m i m j )=1 при i j . Тогда дроби {x 1 /m 1 +x 2 /m 2 +...+x k /m k } совпадают с дробями {x/m} , а дроби { 1 /m 1 + 2 /m 2 +...+ k /m k } совпадают с дробями { /m} .
Доказательство. Доказательство обоих утверждений леммы 4 легко получается применением предыдущей леммы 3 после того, как вы приведете каждую сумму {x 1 /m 1 +x 2 /m 2 +...+x k /m k } и { 1 /m 1 + 2 /m 2 +...+ k /m k } к общему знаменателю:
{x 1 /m 1 +x 2 /m 2 +...+x k /m k }={(M 1 x 1 +M 2 x 2 +...+M k x k )/m} ;
{ 1 /m 1 + 2 /m 2 +...+ k /m k }={(M 1 1 +M 2 2 +...+M k k )/m} ,
где M j = m 1 ... m j -1 m j +1 ... m k .
Если теперь принять во внимание, что дробные части чисел, получающихся при делении на модуль m любых двух чисел, сравнимых по модулю m , одинаковы (они равны r/m , где r – наименьший неотрицательный вычет из данного класса), то утверждения настоящей леммы становятся очевидными.
Теорема (Эйлер). Пусть m>1 , (a,m)=1 , ( m ) – функция Эйлера. Тогда:
a ( m ) 1(mod m) .
Доказательство. Пусть х пробегает приведенную систему вычетов по mod m :
x=r 1 ,r 2 ,...,r c
где c= (m) их число, r 1 ,r 2 ,..., r c - наименьшие неотрицательные вычеты по mod m . Следовательно, наименьшие неотрицательные вычеты, соответствующие числам ax суть соответственно:
1 , 2 ,..., c
– тоже пробегают приведенную систему вычетов, но в другом порядке (см. Лемму 2 из пункта 17). Значит:
a r 1 (mod m)
a r 2 (mod m)
...
a r c (mod m)
Перемножим эти с штук сравнений. Получится:
a c r 1 r 2 ...r c j 1 j 2 ... j c (mod m)
Так как r 1 r 2 ...r c = 1 2 ... c 0 и взаимно просто с модулем m , то, поделив последнее сравнение на r 1 r 2 ...r c , получим a ( m ) 1(mod m) .
Вторая теорема этого пункта – теорема Ферма – является непосредственным следствием теоремы Эйлера (конечно, при схеме изложения материала, принятой в этой книжке).
Теорема (Ферма). Пусть р – простое число, р не делит a . Тогда:
a p-1 1(mod p) .
Доказательство 1. Положим в условии теоремы Эйлера m=p , тогда (m)=p-1 (см. пункт 14 ) . Получаем a p-1 1(mod p) .
Необходимо отметить важность условия взаимной простоты модуля и числа a в формулировках теорем Эйлера и Ферма. Простой пример: сравнение 6 2 1(mod 3) очевидно не выполняется. Однако можно легко подправить формулировку теоремы Ферма, чтобы снять ограничение взаимной простоты.
Следствие 1. Без всяких ограничений на a Z ,
a p a(mod p) .
Доказательство. Умножим обе части сравнения a p-1 1(mod p) на a . Ясно, что получится сравнение, справедливое и при a , кратном р .
Доказательство 2. Так как р - простое число, то все биномиальные коэффициенты:
(кроме C 0 p и C p p ) делятся на р , ибо числитель выписанного выражения содержит р , а знаменатель не содержит этого множителя. Если вспомнить бином Ньютона, то становится понятно, что разность (A+B) p -A p -B p =C p 1 A p-1 B 1 +C p 2 A p-2 B 2 +...+C p p-2 A 2 B p-2 +C p p-1 A 1 B p-1 , где А и В – какие угодно целые числа, всегда делится на р . Последовательным применением этого незатейливого наблюдения получаем, что (A+B+C) p -A p -B p -C p ={[(A+B)+C] p -(A+B) p -C p }+(A+B) p -A p -B p всегда делится на р ; (A+B+C+D) p -A p -B p -C p -D p всегда делится на р ; и вообще, (A+B+C+...+K) p -A p -B p -C p -...-K p всегда делится на р . Положим теперь в последнем выражении A=B=C=...=K=1 и возьмем количество этих чисел равным a . Получится, что a p -a делится на р , а это и есть теорема Ферма в более общей формулировке.
Следствие 2. (a+b) p a p +b p (mod p) .
Система шифрования RSA
Пусть
и
натуральные числа. Функция
, реализующая схему RSA, устроена следующим образом
| (1) |
Для дешифрования сообщения
достаточно решить сравнение
| (2) |
При некоторых условиях на
и
это сравнение имеет единственное решение
.
Для того, чтобы описать эти условия и объяснить, как можно найти решение, нам потребуется одна теоретико-числовая функция, так называемая функция Эйлера. Эта функция натурального аргумента
обозначается
и равняется количеству целых чисел на отрезке от
до
, взаимно простых с
. Так
и
для любого простого числа
и натурального
. Кроме того,
для любых натуральных взаимно простых
и
. Эти свойства позволяют легко вычислить значение
, если известно разложение числа
на простые сомножители.
Если показатель степени
в сравнении (2) взаимно прост с
, то сравнение (2) имеет единственное решение. Для того, чтобы найти его, определим целое число
, удовлетворяющее условиям
| (3) |
Такое число существует, поскольку
, и притом единственно. Здесь и далее символом
будет обозначаться наибольший общий делитель чисел
и
. Классическая теорема Эйлера, см. [3], утверждает, что для каждого числа
, взаимно простого с
, выполняется сравнение
и, следовательно,
| (4) |
Таким образом, в предположении
, единственное решение сравнения (2) может быть найдено в виде
| (5) |
Если дополнительно предположить, что число
состоит из различных простых сомножителей, то сравнение (5) будет выполняться и без предположения
. Действительно, обозначим
и
. Тогда
делится на
, а из (2) следует, что
. Подобно (4), теперь легко находим
. А кроме того, имеем
. Получившиеся сравнения в силу
дают нам (5).
Функция (1), принятая в системе RSA, может быть вычислена достаточно быстро. Как это сделать, мы обсудим чуть ниже. Пока отметим лишь, что обратная к
функция
вычисляется по тем же правилам, что и
, лишь с заменой показателя степени
на
. Таким образом, для функции (1) будут выполнены указанные выше свойства а) и б).
Для вычисления функции (1) достаточно знать лишь числа
и
. Именно они составляют открытый ключ для шифрования. А вот для вычисления обратной функции требуется знать число
, оно и является ``секретом'' , о котором речь идет в пункте в). Казалось бы, ничего не стоит, зная число
, разложить его на простые сомножители, вычислить затем с помощью известных правил значение
и, наконец, с помощью (3) определить нужное число
. Все шаги этого вычисления могут быть реализованы достаточно быстро, за исключением первого. Именно разложение числа
на простые множители и составляет наиболее трудоемкую часть вычислений. В теории чисел несмотря на многолетнюю ее историю и на очень интенсивные поиски в течение последних 20 лет, эффективный алгоритм разложения натуральных чисел на множители так и не найден. Конечно, можно, перебирая все простые числа до
, и, деля на них
, найти требуемое разложение. Но, учитывая, что количество простых в этом промежутке, асимптотически равно
, находим, что при
, записываемом 100 десятичными цифрами, найдется не менее
простых чисел, на которые придется делить
при разложении его на множители. Очень грубые прикидки показывают, что компьютеру, выполняющему миллион делений в секунду, для разложения числа
таким способом на простые сомножители потребуется не менее, чем
лет. Известны и более эффективные способы разложения целых чисел на множители, чем простой перебор простых делителей, но и они работают очень медленно. Таким образом, название статьи М. Гарднера вполне оправдано.
Авторы схемы RSA предложили выбирать число
в виде произведения двух простых множителей
и
, примерно одинаковых по величине. Так как
| (6) |
то единственное условие на выбор показателя степени
в отображении (1) есть
| (7) |
Итак, лицо, заинтересованное в организации шифрованной переписки с помощью схемы RSA, выбирает два достаточно больших простых числа
и
. Перемножая их, оно находит число
. Затем выбирается число
, удовлетворяющее условиям (7), вычисляется с помощью (6) число
и с помощью (3) - число
. Числа
и
публикуются, число
остается секретным. Теперь любой может отправлять зашифрованные с помощью (3) сообщения организатору этой системы, а организатор легко сможет дешифровывать их с помощью (5).
Для иллюстрации своего метода Ривест, Шамир и Адлеман зашифровали таким способом некоторую английскую фразу. Сначала она стандартным образом (a=01, b=02, ..., z=26, пробел=00) была записана в виде целого числа
, а затем зашифрована с помощью отображения (1) при
![]()
и
. Эти два числа были опубликованы, причем дополнительно сообщалось, что
, где
и
- простые числа, записываемые соответственно
и
десятичными знаками. Первому, кто дешифрует соответствующее сообщение
![]()
была обещана награда в 100$.
Эта история завершилась спустя 17 лет в 1994 г., когда D. Atkins, M. Graff, A. K. Lenstra и P. C. Leyland сообщили о дешифровке фразы, предложенной в [1]. Она1) была вынесена в заголовок статьи, а соответствующие числа
и
оказались равными
![]()
Определение. Функция : R R (или, более общо, : C C ) называется мультипликативной если:
1). Функция определена всюду на N и существует а N такой, что ( а ) 0.
2). Для любых взаимно простых натуральных чисел а 1 и а 2 выполняется ( а 1 · а 2 ) = ( а 1 ) · ( а 2 ).
Пример 1. ( а ) = а s , где s - любое (хоть действительное, хоть комплексное) число. Проверка аксиом 1) и 2) из определения мультипликативной функции не составляет труда, а сам пример показывает, что мультипликативных функций по меньшей мере континуум, т.е. много.
Перечислим, кое-где доказывая, некоторые свойства мультипликативных функций. Пусть всюду ниже ( а ) - произвольная мультипликативная функция.
Свойство 1. (1) = 1.
Доказательство. Пусть а - то самое натуральное число, для которого
( а ) 0. Тогда ( а · 1) = ( а ) · (1) = ( а ).
Свойство 2.
,
где р 1 , р 2 ,..., р n - различные простые числа.
Доказательство очевидно.
Свойство 3. Обратно, мы всегда построим некоторую мультипликативную функцию ( a ), если зададим (1) = 1 и произвольно определим ( р ) для всех простых р и всех натуральных , а для остальных натуральных чисел доопределим функцию ( a ) используя равенство
.
Доказательство сразу следует из основной теоремы арифметики.
Пример 2. Пусть (1) = 1 и ( р ) = 2 для всех р и . Тогда, для произвольного числа,
.
Свойство 4. Произведение нескольких мультипликативных функций является мультипликативной функцией.
Доказательство. Сначала докажем для двух сомножителей: Пусть 1 и 2 - мультипликативные функции = 1 · 2 , тогда (проверяем аксиомы определения)
1) (1) = 1 (1) · 2 (1) = 1 и, кроме того, существует такое a (это a = 1), что ( a ) 0.
2) Пусть ( a , b ) = 1 - взаимно просты. Тогда
( a · b ) = 1 ( a · b ) · 2 ( a · b ) =
= 1 ( a ) 1 ( b ) 2 ( a ) 2 ( b ) =
= 1 ( a ) 2 ( a ) · 1 ( b ) 2 ( b ) = ( a ) ( b ).
Доказательство для большего числа сомножителей проводится стандартным индуктивным рассуждением.
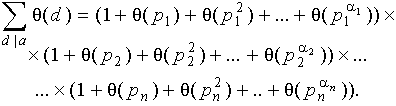
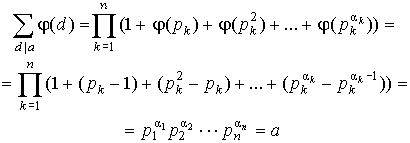
Введем удобное обозначение. Всюду далее, символом
![]()
будем обозначать сумму чего-либо, в которой суммирование проведено по всем делителям d числа n . Следующие менее очевидные, чем предыдущие, свойства мультипликативных функций я сформулирую в виде лемм, ввиду их важности и удобства дальнейших ссылок.
Лемма 1. Пусть
![]()
- каноническое разложение числа a N , - любая мультипликативная функция. Тогда:

Если a = 1, то считаем правую часть равной 1.
Доказательство. Раскроем скобки в правой части. Получим сумму всех (без пропусков и повторений) слагаемых вида
,
где 0 k k , для всех k n . Так как различные простые числа заведомо взаимно просты, то
,
а это как раз то, что стоит в доказываемом равенстве слева.
Лемма 2. Пусть ( a ) - любая мультипликативная функция. Тогда
,
- также мультипликативная функция.
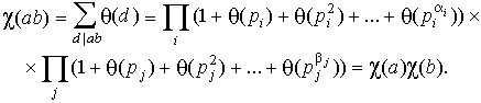
Доказательство. Проверим для ( a ) аксиомы определения мультипликативной функции.
1). ![]()
2). Пусть
![]()
и все р и q различны. Тогда, по предыдущей лемме, имеем: (благо, делители у чисел a и b различны)

Пример 1. Число делителей данного числа.
Пусть ( а ) = а 0 1 - тождественная единица (заведомо мультипликативная функция). Тогда, если
,
то тождество леммы 1 пункта 13 принимает вид:
,
- это не что иное, как количество делителей числа a . По лемме 2 пункта 13, количество делителей ( a ) числа a есть мультипликативная функция.
Пример 2. Сумма делителей данного числа.
Пусть ( a ) = a 1 a - тождественная мультипликативная функция. Тогда, если
,
то тождество леммы 1 пункта 13 принимает вид:
![]()
|
|
| сумма первых ( + 1) членов геометрической прогрессии |

- сумма всех делителей числа a . По лемме 2 пункта 13, сумма всех делителей есть мультипликативная функция.
Пример 3. Функция Мебиуса.
Функция Мебиуса ( a ) - это мультипликативная функция, определяемая следующим образом: если p - простое число, то ( p ) = -1; ( p ) = 0, при > 1; на остальных натуральных числах функция доопределяется по мультипликативности.
Таким образом, если число a делится на квадрат натурального числа, отличный от единицы, то ( a ) = 0; если же a = p 1 p 2· · · p n (теоретик-числовик сказал бы на своем жаргоне: "если a свободно от квадратов"), то ( a ) = (-1) k , где k - число различных простых делителей a . Понятно, что (1) = (-1) 0 = 1, как и должно быть.
Лемма 1. Пусть ( a ) - произвольная мультипликативная функция,
.
Тогда:
![]()
(при a = 1 считаем правую часть равной 1).
Доказательство. Рассмотрим функцию 1 ( x ) = ( x ) · ( x ). Эта функция мультипликативна, как произведение мультипликативных функций. Для 1 ( x ) имеем ( p - простое): 1 ( p ) = - ( x ); 1 ( p ) = 0, при > 1. Следовательно, для 1 ( x ) тождество леммы 1 пункта 13 выглядит так:
![]()
Следствие 1. Пусть ( d ) = d -1 = 1/ d (это, конечно, мультипликативная функция),
![]()
Тогда:

Пример 4. Функция Эйлера.
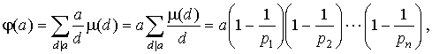
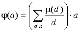
Функция Эйлера, пожалуй, самая знаменитая и "дары приносящая" функция из всех функций, рассматриваемых в этом пункте. Функция Эйлера ( a ) есть количество чисел из ряда 0, 1, 2,..., a - 1, взаимно простых с a . Полезность и практическое применение этой функции я продемонстрирую в следующих пунктах, а сейчас давайте поймем, как ее вычислять.
Лемма 2. Пусть
.
Тогда:
1)
(формула Эйлера);
2) ![]()
в частности, ( p ) = p - p -1 , ( p ) = p - 1.
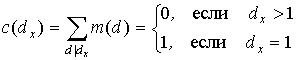
Доказательство. Пусть x пробегает числа 0, 1, 2,..., a - 1. Положим x = ( x , a ) - наибольший общий делитель. Тогда ( a ) есть число значений x , равных 1. Придумаем такую функцию ( x ), чтобы она была единицей, когда x единица, и была нулем в остальных случаях. Вот подходящая кандидатура:

Последнее легко понять, если вспомнить лемму 1 из этого пункта и в ее формулировке взять ( d ) 1. Далее, сделав над собой некоторое усилие, можно усмотреть, что:

Поскольку справа сумма в скобках берется по всем делителям d числа x = ( x , a ), то d делит x и d делит a . Значит в первой сумме справа в суммировании участвуют только те x , которые кратны d . Таких x среди чисел 0, 1, 2,..., a - 1 ровно a / d штук. Получается, что:

что и требовалось.
Пояснение для читателей, у которых предыдущие соображения не захотели укладываться в голову, например, из-за плохих погодных условий. Имеем
![]()
Зафиксируем некоторое d 0 такое, что d 0 делит a , d 0 делит x , x < a . Значит в сумме справа в скобках слагаемых ( d 0 ) ровно a / d 0 штук и ( a ) есть просто сумма

После этого, равенство

получается применением следствия из леммы 1 этого пункта. Должен признать, что приведенное доказательство формулы Эйлера и, в особенности, его последний момент с изменением порядка суммирования, объективно тяжеловаты для понимания. Но мы не боимся трудностей!
Второе утверждение леммы следует из первого внесением впереди стоящего множителя a внутрь скобок.
Оказывается, только что доказанная формула

для вычисления функции Эйлера имеет ясный "физический смысл". Дело в том, что в ней отражено так называемое правило включений и исключений:
Правило включений и исключений. Пусть задано множество А и выделено k его подмножеств. Количество элементов множества А , которые не входят ни в одно из выделенный подмножеств, подсчитывается так: надо из общего числа элементов А вычесть количества элементов всех k подмножеств, прибавить количества элементов всех их попарных пересечений, вычесть количества элементов всех тройных пересечений, прибавить количества элементов всех пересечений по четыре и т.д. вплоть до пересечения всех k подмножеств.
Проиллюстрирую это правило на примере подсчета функции Эйлера для чисел вида
![]()
Посмотрите на рисунок 1.

Рис. 1.
Прямоугольник изображает множество всех целых чисел от 0 до a ; овал N 1 - множество чисел, кратных p 1 ; кружок N 2 - числа, кратные p 2 ; пересечение N 1,2 - множество чисел, делящихся одновременно на p 1 и p 2 , т.е. на p 1 p 2 ; числа вне овала и кружочка взаимно просты с a . Для подсчета числа чисел, взаимно простых с a , нужно из a вычесть количество чисел в N 1 и количество чисел в N 2 (их, соответственно, a / p 1 и a / p 2 штук), при этом общая часть N 1,2 (там a /( p 1 p 2 ) штук чисел) вычтется дважды, значит ее надо один раз прибавить (вот оно, "включение - исключение"!). В результате получим:

что я вам и утверждал. Мне кажется, что таким способом можно объяснить формулу Эйлера любому смышленому школьнику.
Кстати, любому смышленому школьнику вполне возможно объяснить и то, что при a > 2, ( a ) всегда число четное. Действительно, если k взаимно просто с a и k < a , то число a - k тоже меньше a , взаимно просто с a и не равно k . (Если бы a и a - k имели общий делитель, то их разность a - ( a - k ) = k тоже делилась бы на этот делитель, что противоречит взаимной простоте a и k .) Значит числа, взаимно простые с a разбиваются на пары k и a - k , следовательно, их четное число.
Из леммы 2 вытекают приятные следствия.
Следствие 2. Функция Эйлера мультипликативна.
Доказательство. Имеем:

- произведение двух мультипликативных функций, первая из которых мультипликативна по лемме 2 пункта 13. Значит, ( a ) - мультипликативна.
Следствие 3.
.
Доказательство. Пусть
.
Тогда, по лемме 1 пункта 13 имеем:
.
5 Китайская теорема об остатках
В этом пункте детально рассмотрим только сравнения первой степени вида
ax b(mod m),
оставив более высокие степени на съедение следующим пунктам. Как решать такое сравнение? Рассмотрим два случая.
Случай 1. Пусть а и m взаимно просты. Тогда несократимая дробь m/a сама просится разложиться в цепную дробь:

Эта цепная дробь, разумеется, конечна, так как m/a - рациональное число. Рассмотрим две ее последние подходящие дроби:
.
Вспоминаем (пункт 9) важное свойство числителей и знаменателей подходящих дробей: mQ n-1 -aP n-1 =(-1) n . Далее (слагаемое mQ n-1 , кратное m , можно выкинуть из левой части сравнения):
-aP n-1 (-1) n (mod m) т.е.
aP n-1 (-1) n-1 (mod m) т.е.
a[(-1) n-1 P n-1 b] b(mod m)
и единственное решение исходного сравнения есть:
x (-1) n-1 P n-1 b(mod m)
Пример. Решить сравнение 111x 75(mod 322).
Решение. (111, 322)=1. Включаем алгоритм Евклида:
322=11 · 2+100
111=100 · 1+11
100=11 · 9+1
11=1 · 11
(В равенствах подчеркнуты неполные частные.) Значит, n=4 , а соответствующая цепная дробь такова:

Посчитаем числители подходящих дробей, составив для этого стандартную таблицу:
| 0 |
2 |
1 |
9 |
11 |
|
| P n |
1 |
2 |
3 |
29 |
322 |
Числитель предпоследней подходящей дроби равен 29, следовательно, готовая формула дает ответ: x (-1) 3 29 75 -2175 79(mod 322)
Ох уж эти мне теоретико-числовые рассуждения из разных учебников, продиктованные традицией изложения и необходимостью обязательно использовать ранее изложенную теорию! О чем идет речь в нескольких строках выше? Дано сравнение ax b(mod m) , где a и m взаимно просты. Ну возьмите вы алгоритм Евклида, найдите те самые пресловутые u , v Z такие, что au+vm=1 , умножьте это равенство на b : aub+vmb=b , откуда немедленно следует: aub b(mod m) . Значит решением исходного сравнения является x ub(mod m) . Собственно, и все. Поворчал.
Случай 2. Пусть (a,m)=d . В этом случае, для разрешимости сравнения ax b(mod m) необходимо, чтобы d делило b , иначе сравнение вообще выполняться не может. Действительно, ax b(mod m) бывает тогда, и только тогда, когда ax- b делится на m нацело, т.е. ax- b=t · m ,
t Z , откуда b=ax- t m , а правая часть последнего равенства кратна d .
Пусть b=db 1 , a=da 1 , m=dm 1 . Тогда обе части сравнения xa 1 d b 1 d(mod m 1 d) и его модуль поделим на d :
xa 1 b 1 (mod m 1 ) ,
где уже а 1 и m 1 взаимно просты. Согласно случаю 1 этого пункта, такое сравнение имеет единственное решение x 0 :
x x 0 (mod m 1 ) (*)
По исходному модулю m , числа (*) образуют столько решений исходного сравнения, сколько чисел вида (*) содержится в полной системе вычетов: 0,1,2,..., m-2, m-1 . Очевидно, что из чисел x=x 0 +t m в полную систему наименьших неотрицательных вычетов попадают только x 0 , x 0 +m 1 , x 0 +2m 1 , ..., x 0 +(d-1)m 1 , т.е. всего d чисел. Значит у исходного сравнения имеется d решений.
Подведем итог рассмотренных случаев в виде следующей теоремы
Теорема 1. Пусть (a,m)=d . Если b не делится на d , сравнение ax b(mod m) не имеет решений. Если b кратно d , сравнение ax b(mod m) имеет d штук решений.
Пример. Решить сравнение 111x 75(mod 321) .
Решение. (111,321)=3 , поэтому поделим сравнение и его модуль на 3:
37x 25(mod 107) и уже (37,107)=1 .
Включаем алгоритм Евклида (как обычно, подчеркнуты неполные частные):
107=37 2+33
37=33 1+4
33=4 8+1
4=1 4
Имеем n=4 и цепная дробь такова:

Таблица для нахождения числителей подходящих дробей:
| q n |
0 |
2 |
1 |
8 |
4 |
| P n |
1 |
2 |
3 |
26 |
107 |
Значит, x (-1) 3 26 25 -650( mod 107) -8( mod 107) 99( mod 107) .
Три решения исходного сравнения:
x 99(mod 321), x 206(mod 321), x 313(mod 321) ,
и других решений нет.
Теорема 2. Пусть m>1, (a,m)=1 Тогда сравнение ax b(mod m) имеет решение: x ba (m)-1 (mod m) .
Доказательство. По теореме Эйлера, имеем: a (m) 1(mod m) , следовательно, a ba (m)-1 b(mod m) .
Пример. Решить сравнение 7x 3(mod 10) . Вычисляем:
(10)=4; x 3 7 4-1 (mod 10) 1029(mod 10) 9(mod 10) .
Видно, что этот способ решения сравнений хорош (в смысле минимума интеллектуальных затрат на его осуществление), но может потребовать возведения числа а в довольно большую степень, что довольно трудоемко. Для того, чтобы как следует это прочувствовать, возведите самостоятельно число 24789 в степень 46728.
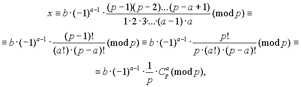
Теорема 3. Пусть р – простое число, 0<a<p . Тогда сравнение ax b(mod p) имеет решение:

где C a p – биномиальный коэффициент.
Доказательство непосредственно следует из очевидного сравнения
![]()
которое нужно почленно поделить на взаимно простое с модулем число 1 2 3 ... a-1 .
Пример. Решить сравнение 7x 2(mod 11) . Вычисляем:


На этом пункт 19 можно было бы и закончить, но невозможно, говоря о решении сравнений первой степени, обойти стороной вопрос о решении систем сравнений первой степени. Дело в том, что умение решать простейшие системы сравнений не только является неотъемлемой частью общечеловеческой культуры, позволяющей гражданину не падать в ямы, расщелины и открытые люки. Такое умение, кроме всего прочего, пригодится нам при изучении сравнений произвольной степени, о которых пойдет речь в следующих пунктах.
Лемма 1 (Китайская теорема об остатках). Пусть дана простейшая система сравнений первой степени:

где m 1 ,m 2 ,...,m k попарно взаимно просты. Пусть, далее, m 1 m 2 ...m k =M s m s ; M s M s 1(mod m s ) (Очевидно, что такое число M s всегда можно подобрать хотя бы с помощью алгоритма Евклида, т.к. (m s ,M s )=1 ); x 0 =M 1 M 1 b 1 +M 2 M 2 b 2 +...+M k M k b k . Тогда система (*) равносильна одному сравнению
x x 0 (mod m 1 m 2 ...m k ) ,
т.е. набор решений (*) совпадает с набором решений сравнения x x 0 (mod m 1 m 2 ...m k ) .
Доказательство. Имеем: m s делит M j , при s j. Следовательно, x 0 M s M s b s (mod m s ) , откуда x 0 b s (mod m s ) . Это означает, что система (*) равносильна системе

которая, очевидно, в свою очередь, равносильна одному сравнению x x 0 (mod m 1 m 2 ...m k ) .
В следующей лемме, для краткости формулировки, сохранены обозначения леммы 1.
Лемма 2. Если b 1 ,b 2 ,...,b k пробегают полные системы вычетов по модулям m 1 ,m 2 ,...,m k соответственно, то x 0 пробегает полную систему вычетов по модулю m 1 m 2 ...m k .
Доказательство. Действительно, x 0 =A 1 b 1 +A 2 b 2 +...+A k b k пробегает m 1 m 2 ...m k различных значений. Покажем, что все они попарно не сравнимы по модулю m 1 m 2 ...m k .
Ну пусть оказалось, что
A 1 b 1 +A 2 b 2 +...+A k b k A 1 b' 1 +A 2 b' 2 +...+A k b' k (mod m 1 m 2 ...m k )
Значит,
A 1 b 1 +A 2 b 2 +...+A k b k A 1 b' 1 +A 2 b' 2 +...+A k b' k (mod m s )
для каждого s , откуда
M s M s b s M s M s b' s
Вспомним теперь, что M s M s 1(mod m s ) , значит M s M s 1+m s t , откуда (M s M s ,m s )=1 . Разделив теперь обе части сравнения
M s M s b s M s M s b' s
на число M s M s , взаимно простое с модулем, получим, что b s b' s (mod m s ) , т.е. b s =b' s для каждого s .
Итак, x 0 пробегает m 1 m 2 ...m k различных значений, попарно не сравнимых по модулю m 1 m 2 ...m k , т.е. полную систему вычетов.
Формулировка для колец
Пусть
- коммутативные ассоциативные кольца с единицей,
сюрьективные гомоморфизмы, обладающие свойством
для всех
. Тогда гомоморфизм
, заданный формулой
![]()
является сюрьективным. Более того, Φ опеределяет изоморфизм
.
Если положить
,
и определить гомоморфизмы следующим образом
![]()
то мы получим арифметическую версию теоремы.
Также часто встречается следующая эквивалентная формулировка для колец, где Bi
имеют форму A
/ Ii
, φi
являются естественными проекциями на A
/ Ii
и требуется, чтобы Ii
+ Ij
= A
для любых
.
Заключение
История арифметики остатков начинается с исследований К.Ф. Гаусса, который впервые стал рассматривать сравнения. В дальнейшем была обнаружена связь теории сравнений с астрономическими задачами (китайская теорема об остатках). В результате многочисленных исследований теория остатков была распространена на кольца произвольной природы. В последнее время обнаружилось приложение этой теории в криптографии. В дипломной работе изложена теория остатков на современном алгебраическом языке.
Список использованных источников
1. С. Ленг, Алгебра, М., 1968
2. С. Коунтинхо, Введение в теорию чисел. Алгоритм RSA, М. 2001
3. А.И. Кострикин, Введение в алгебру, М., 2000
4. О. Зарисский, Коммутативная алгебра, т.1., М., 1963