| Скачать .docx | Скачать .pdf |
Реферат: Спектр масс элементарных частиц, связь микро и макро масштабов, соотношение космических энергий
Михаил Карпов
В данной статье излагается новая гипотеза, касающаяся принципов организации (структурирования) материи. На основании новых закономерностей теоретически получены значения масс некоторых известных элементарных частиц, а также новых, ранее не известных. Данная гипотеза позволяет связать воедино мир микрочастиц и такие космологические субстанции, как темная энергия и темная материя.
Введение
До недавнего времени считалось, что здание современной физики уже практически завершено. Остались лишь небольшие штрихи и дальнейшее развитие, как бы ожидает тупик. Однако, ряд последних астрономических исследований обнаружил, что картина мироздания не совсем ясна, а точнее, не укладывается в рамки прежних представлений. К этим астрономическим наблюдениям, прежде всего, относится обнаружение факта ускоренного расширения Вселенной за сет воздействия отрицательного давления вакуума или темной энергии (“квинтэссенции”). Кроме того, во Вселенной присутствует также невидимая темная материя, окружающая галактики, состав которой неизвестен. И лишь небольшая часть массы Вселенной приходится на обычное барионное вещество, образующее звезды.
Более того, даже в солнечной системе существует “нечто”, что затормозило космические зонды “Пионер”, запущенные в 70-х годах, и не позволило им покинуть пределы Солнечной системы.
Все эти и многие другие факты заставляют вновь задуматься над вечными вопросами, что же такое есть вещество, а что такое пространство? Каким образом связаны друг с другом две неразрывные части единого Целого – мир микрочастиц и макромасштабов? Какова роль гравитации и как она связана с остальными взаимодействиями? Очевидно, что такая взаимосвязь обязательно должна существовать. Всем этим вопросам и посвящена данная статья.
1. Элементарный заряд и спектр масс элементарных частиц или почему -мезон в 207 раз тяжелее электрона
Окружающая нас природа едина и закономерности, управляющие миром микрочастиц, неразрывно связаны с законами формирования и развития макроструктур материи и Вселенной в целом. Тяготение, как физическое поле, также не стоит особняком от сил и зарядов микромира, а, является фундаментом, на основе которого, наряду с инерцией, формируются все остальные взаимодействия.
Электрон – фундаментальная и стабильная частица, обладающая элементарным электрическим зарядом. Представим электрон как “систему” из виртуальной планковской частицы, обладающей спином h и размером
, и виртуальной частицы m, “движущейся” радиально в масштабе r во вращающемся поле тяготения планковской массы.
Предположим, что энергия электрического заряда электрона равна
. (1)
Это выражение, записанное несколько иначе, чем-то напоминает условие квантования боровских орбит:

и
.
Выразим из него r, учитывая значение rпл :
. (2)
Если придать массе виртуальных частиц m квантовые значения
, где m0 – масса самой тяжелой (после mпл) частицы, а n = 0, 1, 2,…, 12, получим
. (3)
Таблица 1
| n | 1 | 2 | 3 | 4 |
| mнабл.(me) | 1.4 | 3.8 | 20 | 207 |
| mвирт.(me) | 2.6× 1020 | 1.3× 1019 | 8.6× 1016 | 7.8× 1013 |
| lвирт.(см) | 10-31 | 10-30 | 10-27 | 10-24 |
| 2rn(см) | 2× 10-31 | 5× 10-31 | 2× 10-30 | 2× 10-29 |
| n | 5 | 6 | 7 | 8 |
| mнабл.(me) | 4160 | 162700 | 1.2× 107 | 1.8× 109 |
| mвирт.(me) | 1010 | 162700 | 3.6× 10-1 | 1.1× 10-7 |
| lвирт.(см) | 10-20 | 10-16 | 10-10 | 10-4 |
| 2rn(см) | 4× 10-28 | 2× 10-26 | 3× 10-24 | 4.5× 10-22 |
| n | 9 | 10 | 11 | 12 |
| mнабл.(me) | 5.3× 1011 | 3× 1014 | 3.3× 1017 | 7× 1020 |
| mвирт.(me) | 4.6× 10-15 | 2.6× 10-23 | 2× 10-32 | 2× 10-42 |
| lвирт.(см) | 104 | 1012¸ 1013 | 1021¸ 1022 | 1031 |
| 2rn(см) | 1.5× 10-19 | 10-16 | 10-13 | 2.4× 10-10 |
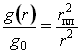
Предположим, что наблюдаемая масса частицы связана с этим размером простым соотношением
mнабл = kr,
где k – константа.
Допустим, что при n = 0, mвирт = m0 эта частица – электрон. Его размер равен r0 ~ 10-31 см (не надо путать его с “классическим” радиусом электрона). Подставляя в (3) n = 0, 1, 2, …, 12, мы получим безразмерные отношения
или, как сказано ранее,
. Расположим получаемые отношения в виде таблицы 1 (первая строка).
Таким образом, массы наблюдаемых частиц растут до
7× 1020 me ~ 3.5× 1017Гэв (n =12).
При n = 13 масса частиц превышает массу Планка (1.2× 1019Гэв).
Приняв эту массу за m0 в (3), вычислим вторую строку таблицы. В третьей строке – размер виртуальной частицы (длина волны), соответствующий ее массе. В четвертой строке вычисляем удвоенный “радиус” (3). При больших n длина волны виртуальных частиц огромна, однако не стоит забывать, что в “составе” наблюдаемых частиц они находятся в “связанном”, а в не свободном виде.
Вернемся к наблюдаемым частицам. Итак, при
| n = 1, | ![]() |
n = 4, | ![]() |
| n = 2, | ![]() |
n = 5, | ![]() |
| n = 3, | ![]() |
n = 6, | ![]() |
При n = 4, 5, 6 эти соотношения с определенной погрешностью напоминают массы m - мезона, t - мезона и w- бозона, выраженные в массах электрона.
Масса реального t - лептона меньше массы состояния (4160) на величину массы (или равной ей энергии связи) двух виртуальных p - мезонов, являющихся продуктом распада t - лептона, наряду с n t . То есть часть энергии этого со стояния идет на энергию связи двух p - мезонов.
Адроны или сильновзаимодействующие частицы можно представить, как производные m , t и w состояний:
| m - адроны | t - адроны | w - адроны |
![]() |
![]() |
![]() |
где d(1,4), u(3,8), S(1,4х3,8) – уровни.
Таблица 2
| n | 0 | 1 | 2 | 3 | 4 | 5 | 6 | Примечания |
| e | d | u | c | m | t | w | ||
| e- | + | - | - | - | - | - | - | |
| m - | + | - | - | - | + | - | - | |
| t - | + | - | - | - | - | + | - | |
| p - | + | + | - | - | + | - | - | ¯ S |
| - | - | + | - | + | - | - | ||
| p+ | + | + | - | - | + | - | - | d |
| - | - | + | - | + | - | - | u ¯ S | |
| - | - | + | - | + | - | - | u | |
| n0 | + | + | - | - | + | - | - | d |
| + | + | - | - | + | - | - | d ¯ S | |
| - | - | + | - | + | - | - | u | |
| K - | + | + | + | - | + | - | - | ¯ S |
| - | - | + | - | + | - | - | ||
| J/Y | + | + | - | - | - | + | - | |
| + | + | - | - | - | + | - | ||
| g | + | + | + | - | - | + | - | |
| + | + | + | - | - | + | - | ||
| W - | + | - | - | - | - | - | + | S |
| - | - | - | - | - | - | + | ||
| z0. | + | - | - | - | - | - | + | S |
| + | - | - | - | - | - | + | ||
| + | + | + | - | - | - | + | ||
| + | + | + | - | - | - | + |
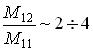
Масса g -мезона и J/Y -мезона соотносятся так же как и массы К и p -мезонов.
.
Также соотносятся и массы соответствующих b и c-кварков:
.
Таким образом, можно предположить, что J/Y частица (или
) есть t состояние p -мезона, а g - частица (или
) есть t состояние K- мезона. D и B-мезоны – есть комбинации соответствующих c и b кварков с кваркими m - состояния.
Из табл. 1 видно, что при n = 6 масса виртуальной частицы равна массе наблюдаемой. Масса виртуальной частицы при n = 0 равна массе наблюдаемой при n = 12 (7× 1020 me). Эти частицы (n = 6, n = 12) являются соответственно W и X – бозонами. t-кварк представляетW- состояние K- мезона. W – состояние p - мезона, так же как и состояния с n = 3 в виде частиц не реализуются.
Отметим также, что отношения масс адронов того же порядка, что и отношение масс m , t и w состояний
;
.
Элементарные частицы, в соответствии с их квантовыми состояниями, можно расположить в виде таблицы 2. Из нее видно, что частица – это комбинация двух или более состояний (кроме электрона). Частица с одним или двумя квантовыми уровнями – слабовзаимодействующие.
Частицы с тремя и более уровнями – адроны.
При дальнейшем увеличении энергии коллайдеров можно ожидать появления массивного лептона следующего ранга (n = 7) с массой около 6 Тэв.
Вернемся к таблице №1. Как предполагалось выше, электрон – есть структура, “состоящая” из виртуальной частицы массой m0 (самая тяжелая после mпл,
n = 12, m =7× 1020 me), “движущейся” в радиусе r0 ~ 10-31 см. Сама же частица m0 “образуема” ореолом из легчайшей частицы массой 2× 10-42me, “движущейся” в радиусе r12.
Вычислим 2r12 или комптоновскую длину волны электрона:
, (4)
где
.
С другой стороны, комптоновская длина волны электрона равна
.
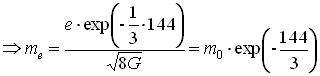
Приравняв это значение к (4), получим:

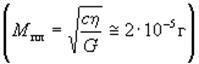
,
где
- магнитный монополь (e- заряд электрона, G – гравитационная постоянная).
В итоге получим:
.
Итак, при n = 12 2r12 @ 2.4× 10-10 см, что соответствует комптоновской длине волны электрона.
При n = 11 2r11 @ 1.2× 10-13 см получаем характерный масштаб сильного взаимодействия.
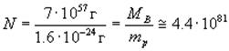
Масса тяжелых частиц, при которых происходит так называемое “великое” объединение и которые определяют время жизни протона равна 3.3× 1017 me или 1014 ¸ 1015 Гэв.
При n = 10 2r10 @ 10-16 см получаем характерный масштаб слабого взаимодействия.
Итак, масса самой тяжелой m0 или c - частицы
7× 1020 me. Она выше, чем масса “великого” объединения. масса наилегчайшей частицы 2× 10-42 me. Таким образом, “динамический диапазон” спектра масс составляет 3.5× 1062 = e144. Назовем эту константу a или постоянной инфляции. О ней речь пойдет далее.
А пока стоит заметить, что для макромасштабов (например, для Земли) формула (1) будет выглядеть:
,
где Q – наведенный заряд, m – масса тела, имеющего радиальную составляющую скорости
во вращающемся с частотой w поле тяготения массивного тела с потенциалом
- квадрат скорости убегания, g0 – ускорение свободного падения на поверхности массивного вращающегося тела. При подстановке
,
,
,
, Q = e,
получим формулу (1). По-видимому, этот механизм носит универсальный характер и ответственен за электромагнитные эффекты, возникающие при радиальном движении тел во вращающемся поле тяготения массивного объекта.
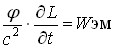
В интегральной форме это можно выразить как:
или
где
- потенциал, L- момент вращения, а W – электромагнитная энергия.
Это означает, что изменение момента вращения внутри поверхности S вызывает поток электромагнитной энергии через эту поверхность.
2. О связи микро и макромасштабов и возможном сценарии развития Вселенной
1. Если вышеупомянутое число e144 @ 3.5× 1062 обозначить a , то связь между радиусом Вселенной и Планковской длиной будет:
a × lпл = RB @ 3× 1029 см,
а между массой Вселенной и массой Планка – соответственно:
a × mпл = MB @ 1057 г.
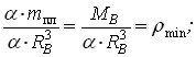
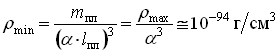
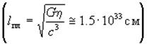
2. Если максимально возможная плотность вещества – это
(то есть масса Планка на квант пространства), то, если предположить, что минимальная плотность – это
, то есть, наоборот, квант массы приходится на весь “диапазон” пространства, получим:
;
,
тогда для массы Вселенной:

![]()
- критический радиус.
.
Этот размер совпадает со временем жизни протона, умноженным на скорость света:
,
.
3. В момент возникновения вселенной период экспоненциального расширения (инфляция) – размер и масса (как одно из измерений) шестимерного образования (элемент Планка) возрастают в a = e144 раз. То есть
,
.
,
.
В то же время происходит распад шестисферы Планка на c - частицы (n=12) с массой
, то есть происходит разделение 6-ти равноправных измерений на вещество и пространство-время.
Отношение массы Планка к массе c - частицы равно
,
где
- постоянная тонкой структуры (не путать с a - постоянной инфляции).
Площадь 6-ти сферы в 7-ми мерном пространстве равна
,
то есть шестисфера Планка “включает”
c - частиц (так как масса – одно из измерений).

- это фундаментальная константа космологии определяет барионную асимметрию Вселенной (отношение числа фотонов реликтового излучения к числу барионов в единице объема).
По-другому, из экспериментальных данных, постоянную b можно вычислить как:
,
где nB – плотность барионов

- современная оценка из астрономических данных.
V = (2.5 × 1029 см)3 @ 1.5 × 1088 см3
- объем Вселенной.

- число барионов (mp – масса протона).
- плотность фотонов реликтового излучения.
То есть величина, полученная выше, совпадает с оценкой, основанной на наблюдениях.
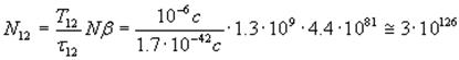
4. Итак, при n = 12 на первом этапе рождения материи при E ~ 1017 Гэв в течение первых 10-6 с (доадронная эра), происходят переход кварк « лептон, сопровождающиеся рождением легчайших частиц в количестве

где
- характерное время процесса (рождение частиц).
При снижении энергии до 3.3× 1017me ~ 1014Гэв (энергии объединения электро-слабого и сильного взаимодействия n = 11 (см. таб 1)) происходит рождение-распад барионов. При сверхвысоких температурах и плотностях характерное время процесса рождения-распада бариона в кварк-барионной плазме может быть порядка 10-28 – 10-29 с. согласно современным представлениям, этот процесс продолжается около 10-4с от начала взрыва до температуры 1013К.
Каждый акт рождения-распада бариона сопровождается появлением легкой частицы
n = 11; m = 2× 10-32me; r = 1021 ¸ 1022 см (см. табл. 1).
Общее количество таких легких частиц составит:
.
Множитель b имеет место, поскольку аннигиляция антибарионов происходит после.
Учитывая, что масса этих частиц в 1010 раз больше массы легких частиц (n = 12, r = 1031 см), получим, что их общая масса превышает массу вещества (барионов) Вселенной. По-видимому это и есть скрытая масса (невидимое гало галактик).
По аналогии можно предположить, что при переходах следующего уровня (n = 10, слабое взаимодействие), например, при нейтронизации звезд и вспышках сверхновых также происходит рождение большого числа легких частиц (n = 10, r = 1012 ¸ 1013 см), способствующих выбросу тяжелых элементов и образованию планетных систем.
3. О связи мировых констант и чисел a и b
Как указывалось выше, число a - есть константа инфляции e144 @ 3.5× 1062. Число b или космологическая величина, характеризующая степень барионной асимметрии Вселенной, равна отношению числа реликтовых фотонов к числу барионов
.
Из многомерной геометрии известно, что поверхность 6-ти сферы равна
(при этом размерность пространства n = 7). Поверхности 5-ти и 7-ми сфер равны, соответственно
,
. Следует отметить, что поверхность S6 имеет максимальный коэффициент 33.07 для всех значений Sn.
Если предположить, что наряду с инфляцией происходит распад 6-ти сферы Планка на сферы радиусом
(то есть рождение вещества - c -проточастиц с массой в 33.1 меньше Планковской), то их количество будет равно
(33.07)6 @ 1.3× 109 = b .
То есть число
.
Физические величины, в том числе и мировые константы, выражаются в системе единиц: см, г, с (СГС), которая является симметричной Гауссовской системой единиц, в которой в частности, e 0 = m 0 = 1. можно предположить, что существует связь между этими единицами измерения физических величин и “большими” числами a и b , которые как бы задают масштабы, диапазоны их изменений.
Если изобразить три шкалы – времени, плотности и массы во всем “диапазоне” значений от минимального до максимального – получим

tmin = t0 = tпл @ 5× 10-44c; tmax = t0 × a 4/3× b 2/6 @ 2× 10 43c, причем t0 × a 4/3 – это время жизни нуклонов (барионов) (~ 1040с), а tmax – время жизни лептонов, задаваемое массой c - частицы n = 12.
.
2)
;
,
.
3) m0 = mпл;
- масса легчайшей частицы (n = 12);
- масса Вселенной в “адронную эру” до аннигиляции (10-4с);
.
Из 2) и 3) можно получить
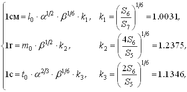
и далее:
1 см » l0 × a 1/2 × b 1/6,
1 г » m0 × b 1/2, (*)
1 с » t0 × a 2/3 × b 1/6.
Отсюда можно получить приближенные значения констант:

- не зависит от b .
.
.
Более точные значения констант можно получить, домножив (*) на константы, близкие к 1, а именно:

где S5, S6, S7 – площади единичных сфер в 6-ти, 7-ми и 8-ми мерном пространстве. С учетом этого получим:



где
.
4. Альтернативный способ представления элементарных частиц или что такое “цвет” кварка.
Как видно из таблицы 1 электрон представляет собой частицу, образованную двойным движением (n = 0, mвирт = 7× 1020me). В свою очередь, m = 7× 1020me при n = 12 “образована” движением частицы mвирт = 2× 10-42me. Радиус одного “внутреннего” движения равен ~ 10-31 см, а радиус “внешнего” движения
~ 10-10 см.
Для электрона возможны четыре варианта структуры двойного движения. Обозначим их схематично следующим образом:

где стрелка внизу показывает направление внутреннего движения от центра или к центру, верхняя стрелка, соответственно, направление внешнего движения. Представим эти структуры, как лептоны нулевого уровня и присвоим им соответствующие значения лептонного заряда L.
Для промежуточных бозонов W± и Z0, (n = 6) структура будет следующей:



Для составных частиц, например нуклонов, структура будет выглядеть следующим образом:

![]()

где u и d кварки можно представить как

а число n0 определяет “цвет” кварка. Кварк d имеет цвета
, а кварк
– цвета
.
Можно составить 4 комбинации из 4-х по 3 для нуклонов и антинуклонов.
Цвет e- и ve имеет одинаковое лептонное число L = 1, но разные зарядовые состояния.
Распад идет по схеме: ![]()
![]()
.
2) ![]()
(распад d- кварка цвета “
” на u-кварк цвета “ve” и
- бозон, т.е.
).

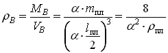
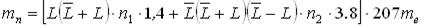
Массу протона и нейтрона можно выразить как
,
.
Где
и L = 1 для нуклона, n1 = 1, n2 = 2 – для протона, n1 = 2, n2 = 1– для нейтрона.
В итоге получаем
,
,
что более чем в 3 раза превышает массу нуклона. Таким образом, более 2/3 этой энергии является энергией связи кварков в нуклоне. 1/3 этой энергии за вычетом энергии связи одного пиона (~ 150 Мэв, 300 me) даст массу нуклона.
Для p - мезонов имеем следующую структуру:

.
Для массы p + и p -соответственно:
,
что в 2 раза превышает массу нуклона, таким образом,1/2 этой энергии является энергией связи кварков в мезоне.
Разность
может иметь значение 1 для нуклона, либо 0 для мезона.
Распад пиона идет по схеме:
,
,
см. далее.
Мюон и мюонное нейтрино обладают следующей бескварковой “структурой”:




Распад мюона идет по схеме:

.
Электронное нейтрино обретает массу покоя и покидает частицу в момент переходов
(см. рисунок для нуклонов). Оценка массы покоя нейтрино, как изменение гравитационной энергии виртуальной частицы mв = 1.3 × 1019 me (n = 2) в поле тяготения электрона
, где r2 ~ 2.5 × 10-31 см дает значения для
порядка 1.8 эв.
Масса покоя vm и vt практически не отличается от
, если не учитывать поправок, вносимых mвирт 4,5 (n = 4,5), а именно,
,
.
5. Космологическая постоянная (плотность вакуума)
и соотношение космических энергий
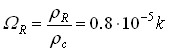
Обнаруженная в последних астрономических наблюдениях, величина плотности вакуума составляет
,
Где r пл – плотность Планка.
Из вышесказанного (см. раздел 2), можно выразить плотность барионного вещества следующим образом:
,
Где a = e144 @ 3.5× 1062, т.е.
, что в 25 раз меньше вышеуказанной плотности вакуума.
Однако, следует отметить, что величина r V не постоянная. Она не меняется вплоть до размеров ~ 1031 см, но затем будет убывать как
.
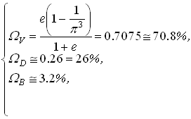
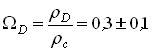
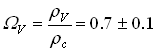
Согласно данных тех же наблюдений, отношение плотности вакуума к критической плотности, т.е. его вклад в общую массу, составляет
,
вклад темного вещества галактик составил
,
а вклад барионов равен

Наконец, вклад четвертой компоненты космической среды – излучения или ультрарелятивистской среды равен
, 1 < k < 10 ¸ 30.
Попытаемся объяснить данные соотношения, основываясь на положениях вышеуказанной гипотезы.
Обратимся вновь к таблице 1. положим, что при n = 12 частицы размером
~ 1031 см создают поле отталкивания (кривизна пространства отрицательна). Это и есть так называемый вакуум. При n = 11, частицы размером ~ 1021 см создают поле притяжения (кривизна пространства положительна). Это и есть так называемое темное вещество галактик.
При n = 10 частицы размером ~ 1013 см также создают поле отталкивания (кривизна отрицательна). Это поля, ответственные за возникновение планетарных систем (допланетного облака).
При n < 10 это чередование продолжается. Возможно, эти частицы (поля) ответственны за формирование протопланетных тел астероидных размеров из допланетного облака (n = 9), за наноэффекты (силы Казимира) при n = 8, и за синтез тяжелых элементов при n = 7.
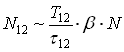
Оценим грубо число и общую массу этих частиц (n = 12, 11, 10), возникающих в момент Большого Взрыва:
,
где T12 – время t0 до окончания данной стадии (эры);
T12 ~ 10-6 c, t 12 ~ 33.1× t пл = 1.7× 10-42 c,
t 12 – характерное время процесса (рождение частиц),
b = 1.3× 109 – множитель барионной асимметрии, т.к. процесс происходит до аннигиляции барионов,
N = 4.4× 1081 – число барионов (кварков), участвующих в процессах
кварк « лептон,
.
Аналогично для n = 11 (переходы кварк « барион, адронная эра)
.
Для n = 10 (переходы n « p , лептонная эра)
(10-20с = t ew – время электрослабых процессов)
(коэффициент b не участвует).
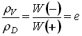
Поскольку массы этих частиц – полей соотносятся как
,
,
то их общий вклад будет относится как
,
, M = m × N.
Вернемся к рассмотрению барионов. Барион – это не просто 5-ти сфера размером ~ 10-31 см. Это частица вещества, имеющая поля сильного, кулоновского и слабого взаимодействия. Для 5-ти сферы (пространство внутри шестимерно и включает 3 + 1 + масса + спин) площадь поверхности составляет
,
т.е. коэффициент компактификации или свертывания равен 31. Окружающий барионы вакуум пятимерен (3+1+ масса или кривизна).
Таким образом, можно предположить, что кривизна пространства после распада вещества будет полностью компенсирована, поскольку изначально суммарная кривизна равна нулю, т.е. барионы, составляющие
часть всей массы Вселенной или 3.2%, при распаде (т.е. уменьшение их размерности на 1) должны “аннигилировать с пространством”. Нарушение зеркальной симметрии или четности служит проявлением этого эффекта при распаде частиц материи. Для обеспечения компенсации общей кривизны, поля притяжения и отталкивания в барионах должны находится (энергетически и интегрально) в одинаковых пропорциях с соответствующими полями Вселенной.
Вселенная электрически нейтральна, т.е. электрический заряд в ней полностью компенсирован. Не компенсирован барионный заряд.
Обратимся вновь к таблице 1. Положим, что при n =1 кварк
создает поле притяжения, а при n = 2 кварк
создает поле отталкивания. При n = 3 кварк
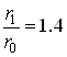
также создает поле притяжения. Таким образом, u и d кварк могут образовывать комбинацию, при которой размер области притяжения
превысит размер области отталкивания
, а величина потенциала отталкивания (т.е. кор. (core) или сердцевина) превышает потенциал притяжения
раз (см. “Физика космоса”, энциклопедия, с.765-766, 1986 г.).
Поскольку суммарная кривизна Вселенной равна нулю, а пространство (космические энергии) служит “антивеществом” для барионов можно написать пропорцию:
.
Константа слабого взаимодействия на 5 порядков меньше константы сильного, что отвечает соотношению
.
Таким образом, не учитывая вклад r R, можно приблизительно записать:

.
Отсюда получаем

что соответствует данным, полученным экспериментально.
Заключение
В изложенной выше статье сделана попытка связать воедино закономерности, управляющие миром элементарных частиц и Вселенной в целом. Стандартная модель (СМ) элементарных частиц не плохо описывает имеющиеся экспериментальные факты. Однако, она постулирует значения масс частиц и не использует принципов, объясняющих соотношение этих масс, а следовательно, является в большей мере описательной теорией, развитие которой продвигалось ранее лишь вдогонку за экспериментом. Думается, что она также неизбежно столкнется с трудностями объяснения фактов, которые возникнут при дальнейшем повышении энергии коллайдеров. к ним относятся безуспешные поиски бозонов Хиггса и обнаружение новых частиц в диапазоне энергии порядка 6 Тэв.
Поиск экзотических массивных частиц, образующих темную материю в окружающем пространстве, тоже вряд ли приведет к успеху, поскольку, как видно из вышесказанного, эта материя и есть окружающее пространство с определенной плотностью энергии.
В завершение можно сказать, что данная статья конечно не является фундаментальной теорией описывающей все возможные свойства элементарных частиц и Вселенной в целом. В ней высказана гипотеза, подтверждающая ряд известных фактов. Возможно, некоторый синтез стандартной модели элементарных частиц, современной космологии и вышеизложенной гипотезы помог бы продвинуться далее в понимании проблемы.








