| Скачать .docx | Скачать .pdf |
Курсовая работа: Изгибаемые многогранники. Октаэдр Брикара. Флексор Штеффена
МОУ ДОД ДВОРЕЦ ТВОРЧЕСТВА ДЕТЕЙ И МОЛОДЁЖИ
г. РОСТОВА-НА-ДОНУ.
ДОНСКАЯ АКАДЕМИЯ НАУК ЮНЫХ
ИССЛЕДОВАТЕЛЕЙ
ИССЛЕДОВАТЕЛЬСКАЯ РАБОТА НА ТЕМУ:
Изгибаемые многогранники.
Октаэдр Брикара. Флексор Штеффена
г. Ростов-на-Дону
2007 год
ПЛАН
Введение
1 Исторические сведения
2 Основные понятия
3 Изгибаемые многогранники Коннелли
4 Гипотеза кузнечных мехов
5 Применения
6 Октаэдр Брикара
7 Флексор Штеффена
Заключение
Список используемой литературы
ВВЕДЕНИЕ
Исторически и генетически геометрическая деятельность является первичной интеллектуальной деятельностью человечества в целом и каждого человека в отдельности. Геометрия – это не только раздел математики, школьный предмет, это, прежде всего феномен общечеловеческой культуры, являющийся носителем собственного метода познания мира. Изучая свойства геометрических фигур – воображаемых объектов, мы получаем представление о геометрических свойствах реальных предметов (их форме, взаимном расположении и т.д.) и можем использовать эти свойства в практической деятельности.
Тема «Многогранники», выбранная для исследования автором работы актуальна, так как это одна из важнейших тем курса стереометрии. Наряду с изучением свойств различных пространственных объектов, проводится обобщение и систематизация геометрических знаний, полученных в основной школе, четко прослеживается единство планиметрии и стереометрии – основных разделов школьного курса геометрии.
Многогранники представляют собой простейшие тела в пространстве, подобно тому, как многоугольники – простейшие фигуры на плоскости. Многогранные формы мы видим ежедневно: спичечный коробок, книга, комната – прямоугольные параллелепипеды; молочные пакеты – тетраэдры; граненый карандаш, гайка дают представления о призмах.
Многие архитектурные сооружения или их детали представляют собой пирамиды или усеченные пирамиды – такие формы имеют знаменитые египетские пирамиды или башни Кремля. Многие многогранные формы не имеют специальных названий. С чисто геометрической точки зрения многогранник – это часть пространства, ограниченная плоскими многоугольниками – гранями. Стороны и вершины граней называют ребрами и вершинами самого многогранника. Грани образуют так называемую многогранную поверхность.
Многогранники, равно как и ограничивающие их многогранные поверхности, традиционно занимают почетное место в школьном курсе стереометрии. Цель работы – изучить материал, касающийся изгибаемых многогранных поверхностей. В последние 20 лет теория таких поверхностей привлекает пристальное внимание профессиональных геометров.
1 ИСТОРИЧЕСКИЕ СВЕДЕНИЯ
Первыйзначительныйрезультатв теорииизгибаниймногогранниковполучилОгюстен Коши, чьятеорема, доказанная в 1813 году, утверждает, чтолюбойвыпуклыймногогранникнеизгибаем.
Приведем доказательство этой теоремы. Для начала рассмотрим теорему Коши о единственности.
Теорема. Два выпуклых многогранника с соответственно равными гранями, составленными в одном и том же порядке, равны.


рис. 1. Выпуклый и невыпуклый многогранники
Обратимся к многогранникам, показанным на рисунке 1. Башня с четырёхскатной крышей на кубическом основании и башня с продавленной крышей составлены из соответственно равных граней, примыкающих друг к другу в одном и том же порядке. Но они не равны друг другу. Один из них невыпуклый, а, как доказал Коши, в классе выпуклых многогранников подобная ситуация невозможна.
Эта теорема объясняет, почему модель выпуклого многогранника не деформируется, или, как ещё говорят, не изгибается.
Теорема. Выпуклый многогранник неизгибаем.
Действительно, допустим, что выпуклый многогранник M изгибаем. Тогда существует другой, не равный ему многогранник M', двугранные углы которого мало отличаются от соответствующих углов многогранника M. Если отличие углов достаточно маленькое, то многогранник M' также выпуклый. А так как соответственные грани этих многогранников равны, то, по теореме Коши, и сами многогранники конгруэнтны.
Однако вопрос, однозначно ли задаётся форма многогранной поверхности своими гранями или она может меняться за счёт изменения двугранных углов, интересовал математиков задолго до Коши.
В XI книге знаменитых "Начал" Евклида многогранники определяются как равные, если они составлены из соответственно равных граней, взятых в одинаковом порядке. Впоследствии многие высказывали мнение, что это, собственно, не определение, а утверждение, нуждающееся в доказательстве. При этом все верили в его справедливость, а в 1776 году великий математик Леонард Эйлер высказал гипотезу: "Замкнутая пространственная фигура не допускает изменений, пока не рвётся". Под "замкнутой пространственной фигурой" понималось то, что сейчас принято называть замкнутой поверхностью, т. е. поверхностью без края. Таким образом, предположение Эйлера относилось не только к многогранным, но и к произвольным поверхностям. Теорема Коши подтвердила гипотезу Эйлера в случае выпуклых многогранников, а также то, что равенство выпуклых многогранников можно определять по Евклиду.
На протяжении двух веков геометры верили, что не только любой выпуклый, но и любой невыпуклый многогранник тоже неизгибаем.

рис. 2. Октаэдр Брикара
Первые сомнения в этом зародились в 1897 году, после того как французский математик Р. Брикар доказал, чтосуществуютизгибаемыеоктаэдры.
Легкозаметить, что октаэдр Брикара имеетсамопересечения (рис. 2).ИхотяпослеБрикараисследованияизгибаемыхоктаэдровразнымидругимиметодамипродолжались, ноглавного результата—примераизгибаемого и неимеющегосамопересечениймногогранникавсене былоинебыло. Болеетого, в 1974 г. американскийматематик Г.Глакдоказал, чтовнекотором смыслепочтивсемногогранники неизгибаемы, ипоэтомупоиск изгибаемогомногогранника без самопересеченийсчиталсяпочтибезнадежным. Темнеменеев 1977 г. американский математик Р.Коннеллисумелпостроитьтакоймногогранник— весьмасложнуюконструкциюс 18 вершинами. Коннэлли назвал такие многогранники флексорами[1] .
ВскорепослеКоннеллинемецкийматематикКлаус Штеффен предложилещеодинмногогранник, всегос 9 вершинами, которыйдосихпоростаетсясамым простымпримеромвложенного изгибаемогомногогранника. Отметим, что примеру Штефена уже более 20 лет, но вопрос о существовании изгибаемого многогранника без самопересечений с меньшим (чем девять) числом вершин пока остается открытым.
Почти сразу же после построения изгибаемых многогранников обнаружилось, что все они обладают удивительным свойством: в ходе изгибания их объем остается неизменным. Неизвестно, кто заметил это свойство первым. В августе 1978 г. на Международном математическом конгрессе в Хельсинки Коннелли высказал гипотезу о том, что оно является общим для всех изгибаемых многогранников. Не было никакой уверенности в справедливости гипотезы. По-видимому, многие склонялись к мысли, что она неверна, и искали контрпримеры. При этом были и курьезные случаи. Рассказывают, что на Западе на одной из научных выставок как опровержение этой гипотезы демонстрировали модель "изгибаемого" многогранника, из которой при ее деформации со свистом выходил воздух, так что на ней можно было играть, как на волынке. Но позже выяснилось, что в математическом смысле модель неизгибаема, а ее "изгибания" — следствие растяжения материала.
2 ОСНОВНЫЕ ПОНЯТИЯ
Многогранной поверхностью в пространстве называется поверхность, составленная из конечного числа многоугольников. Эти многоугольники являются гранями многогранной поверхности, а стороны граней — ее ребрами.
Две фигуры (в частности два многогранника) называют конгруэнтными, если они эквивалентны друг другу, то есть совпадают при наложении.
Если у многогранника есть ребро, принадлежащее всего одной грани, то это – многогранник с краем. Если же каждое ребро принадлежит двум граням, многогранник называют замкнутый. У замкнутого многогранника края нет.
Многогранные поверхности с самопересечениями - это такие поверхности, у которых грани могут иметь общие точки, не являющиеся вершинами данной многогранной поверхности и не принадлежащие ее ребрам.
Многогранную поверхность называют выпуклой, если плоскость, проходящую через любую ее грань, оставляет остальные ее грани по одну сторону.
Многогранная поверхность называется изгибаемой, если непрерывным изменением двугранных углов при ее ребрах можно изменить пространственную форму поверхности. Поэтому незамкнутая многогранная поверхность, составленная из двух треугольников, соединенных вдоль одного ребра, является изгибаемой.
Изгибанием многогранника называется такая непрерывная его деформация, при которой изменяется хотя бы один из двугранных углов при ребрах, но грани остаются конгруэнтными (равными) исходным. Иначе говоря, в теории изгибаний грани многогранника рассматриваются как абсолютно твердые пластинки, способные вращаться вокруг ребер и вершин. На "инженерном" языке это означает, что вдоль ребер грани имеют шарнирные связи, а вершины многогранника считаются сферическими шарнирами. Если многогранник допускает деформацию такого вида, он называется изгибаемым, в противном случае — неизгибаемым. Движения многогранника в пространстве как твёрдого тела не являются его изгибаниями, так как при таком движении ни один двугранный угол не изменяется. Поэтому такие движения иногда называют тривиальными изгибаниями, а те деформации, о которых шла речь в определении изгибаний, называют нетривиальными изгибаниями. Очевидно, требование изменения в ходе нетривиального изгибания хотя бы одного двугранного угла можно заменить требованием изменения хотя бы одной диагонали многогранника.
Возможность простого перемещения многогранника в пространстве как твёрдого тела, т. е. без изменения его двугранных углов, используется для фиксации положения каких-либо «элементов» многогранника в ходе его изгибания. Делается это так: к деформации нетривиального изгибания многогранника добавляют движение, подобранное так, чтобы рассматриваемый элемент вернулся в исходное положение. Пусть, например, требуется, чтобы данная треугольная грань ABCбыла неподвижна. Если после деформации изгибания грань «ушла» из своего исходного положения, то сначала параллельным переносом вернём, скажем, точку A из нового в старое её положение, затем вращением вокруг точки A приведём в совпадение с прежними положениями вершины B и C.
Простейший пример изгибания многогранника — открытие или закрытие книги с твердой обложкой (многогранник может иметь край). Примеры посложнее: трёхгранный угол неизгибаем, а n-гранный угол при п>3 изгибаем. Если многогранник ещё сложнее, а особенно если он замкнутый, т. е. не имеет края, исследование его изгибаемости — сложная задача, так как изгибания всех многогранных углов должны быть согласованы между собой.
Октаэдр – правильный многогранник, который представляет собой четырехугольную бипирамиду. Октаэдр имеет 12 ребер, 6 вершин и 8 граней.
Октаэдр Брикара – это изгибаемый октаэдр, имеющий самопересечения
Флексором называется изгибаемая многогранная поверхность. Наименьшее число вершин среди всех замкнутых изгибаемых многогранных поверхностей без самопересечений имеет многогранная поверхность Штеффена. Другими словами, если замкнутая многогранная поверхность без самопересечений имеет менее девяти вершин, то она не является изгибаемой.
3. ИЗГИБАЕМЫЕ МНОГОГРАННИКИ КОННЕЛЛИ
|
|

Рис.3
ИзгибаемыемногогранникиКоннелли – это изгибаемые многогранники, которые не имеют самопересечений (т. е. являются вложенными в пространство). Основная идея — попытаться построить изгибаемый многогранник, устранив самопересечения в октаэдрах Брикара. Рассмотрим изгибаемый октаэдр Брикара первого типа, у которого грани дважды покрывают прямоугольник ABCD(рис. 3); L— точка пересечения диагоналей прямоугольника, через которую перпендикулярно к плоскости чертежа проходит ось симметрии l четырёх-звенника ABCD. Сначала сведём к минимуму возможные самопересечения. Для этого в четырёхгранном угле NABCDзаменим каждую грань тремя боковыми гранями тетраэдров, обращённых вершинами вверх, оставив рёбра основания на своём месте в прямоугольнике, причём выберем расположения всех 12 граней так, чтобы они между собой не пересекались (для чего достаточно, чтобы вершины тетраэдров проектировались внутрь треугольников, которые они заменяют). Получим многогранник, составленный из четырёх тетраэдров без основания, как на рис. 4, и назовём этот многогранник «крышкой».

Рис.4
Аналогичным образом заменим грани четырёхгранного угла SABCDтетраэдрами вершинами вниз и получим «дно» будущего многогранника (рис. 5).
При изгибании четырёхгранных углов NABCDи SABCDих рёбра как-то перемещаются, и они автоматически определяют движения боковых граней построенных тетраэдров.

Рис.5
«Крышка» и «дно» склеены между собой по сторонам прямоугольника ABCD, и они вместе образуют замкнутый изгибаемый многогранник Q, состоящий из 24 боковых граней 8 тетраэдров. В отдельности на «крышке» и «дне» по построению самопересечений нет. Боковые грани и рёбра тетраэдров «крышки» и «дна» располагаются по разные стороны от общей плоскости их оснований, поэтому они тоже не пересекаются. Но рёбра на основании тетраэдров остались те же, что были в прямоугольнике на рис. 3. Видно, что есть всего две точки самопересечения — точки a и b. Наша задача — убрать эти самопересечения. В многограннике Qсамопересечение выглядит как на рис. 6, т. е. фактически оно является самокасанием: в точке a касаются рёбра двух двугранных углов. Коннелли сумел изменить один двугранный угол в окрестности точки a так, чтобы исчезло самокасание, а новые элементы конструкции изгибались согласованно с изгибанием изменённого двугранного угла, состоящим в непрерывном изменении раствора двугранного угла.

Рис.7
Для этого рассмотрим октаэдр Брикара второго типа. Пусть дан самопересекающийся плоский четырёхзвенный механизм ABCDс равными противоположными сторонами AB = CD, BC=AD(рис. 7). Легко показать, что вершины этого четырёхугольника являются вершинами равнобочной трапеции, поэтому вокруг ABCDможно описать окружность. Центр O и радиус R окружности зависят от a = ZABC. Четырёхзвенник ABCDможет изменять свою форму с сохранением длин своих сторон (т. е. он может изгибаться), оставаясь на плоскости и имея сторону DCв неподвижном положении. При этом в новых положениях вершины четырёхугольника по-прежнему будут вершинами равнобочной трапеции и новое положение центра O(a) описанной окружности и её радиус R(a) при изгибании четырёхугольника ABCD на плоскости изменяются непрерывно вместе с a. Возьмём теперь над и под точкой O(a) две точки N и S на одинаковом расстоянии h(a) от O(a) (можно и на разных расстояниях, с соответствующими изменениями в дальнейших рассуждениях), таком, чтобы R2 (a) + h2 (a) = d2 = const и соединим N(a) и S(a) отрезками длины dс точками A(a), B(a), C и D. После «обшивки» каркаса плоскими треугольниками получится октаэдр P, у которого есть плоскость симметрии, проходящая через точки N и S перпендикулярно прямой AC, т. е. мы получили октаэдр Брикара второго типа. Его изгибания определяются изгибаниями плоского четырёхзвенногомеханизма ABCD. Удалим из P две грани, дающие самопересечения: NDCи SDC. Останется многогранник Р' с краем, изображённый на рис. 8. Хотя ребра CDи нет, в ходе изгибания многогранника Р' как части P расстояние CDостаётся постоянным, так как оно равно длине ребра CDв октаэдре P.
При этом же изгибании расстояние NS, равное 2h(a), изменяется, поэтому изменяется угол между плоскостями удалённых граней NDCи SDC, причём точки Dи C при этом можно считать остающимися на месте. Используем это обстоятельство для того, чтобы изменить двугранный угол на рис. 6, вставив туда соответствующим образом подобранный многогранник Р', который для краткости и большей ясности будем называть «зарубкой Коннелли». Пусть T — биссекторная плоскость, скажем, верхнего двугранного угла на рис. 6. Расположим четырёхзвенник ABCDна плоскости T так, чтобы отрезок DCшёл по ребру двугранного угла, отрезки NDи NCбыли на одной полуплоскости, а DSи CSбыли на другой полуплоскости двугранного угла. Части NDи NC, SDи SCкрая многогранника Р' — «зарубки Коннелли» — прилегают к соответствующим частям граней двугранного угла. Изменение величины b двугранного угла приводит к изгибанию многогранника Р', согласованному с движением граней двугранного угла, в который он был встроен (т. е. рёбра NDи NC, SDи SCкрая многогранника Р' не изменяют свою длину и остаются на гранях двугранного угла). Расположение точек Dи C на ребре двугранного угла может быть выбрано так, чтобы точка a оказалась на отрезке DC, не попадая, однако, на ребро AB, т. е. чтобы изменённый верхний двугранный угол на рис. 6 не касался нижнего двугранного угла. Такое же построение можно провести и в окрестности точки b — второй точки самокасания, причём размеры встроенного многогранника Р' можно подобрать так, чтобы в пределах некоторого изменения раствора двугранного угла не появились новые самопересечения. Таким образом получится изгибаемый многогранник без самопересечений с 26 вершинами.

Рис.10
Легко видеть, что эту конструкцию можно сразу же упростить, а именно, в исходном дважды покрытом прямоугольнике можно оставить на месте грани ANDи BSC(см. рис. 3), не заменяя их тетраэдрами, тогда получится изгибаемый многогранник с 24 вершинами.
Существенное упрощение получается, если в исходном октаэдре Брикара добавлять тетраэдры так, чтобы была необходимость использовать «зарубку Коннелли» только один раз, как это предложили П. Делинь и Н. Кёйпер. Делается это так. Отправным положением будет изгибаемый октаэдр Брикара первого типа, изображённый на рис. 9. На нём вершины A и C лежат на горизонтальной плоскости (условно с координатой z = 0), вершины В' и D' подняты на высоту е>0, а вершины N' и S' — на высоту 6>е и всё это проектируется ортогонально на прямоугольник рис. 3 (где Lпо-прежнему обозначает точку пересечения этого прямоугольника с вертикально расположенной осью симметрии рассматриваемого октаэдра). В новом положении ребро AS' проходит под ребром N'B', ребро N'C— под ребром S'D', так что прежних точек самопересечения нет, но есть новые пересечения граней. Построим теперь «дно» следующим образом: в исходном четырёхгранном угле S'AB'CD' с вершиной S' заменим грань S'CD' тетраэдром вершиной вниз (рис. 10). Краем построенного многогранника

Рис.11
является четырёхугольник AB'CD', но теперь есть «яма» в виде тетраэдра S0 S'CD'. Далее строим «крышу» так. Над фигурой рис. 11 возьмём две точки T и K и построим неполные

Рис.12
пирамиды с гранями N'D'Tи D'CT, N'B1 Kи В'СК. Получится многогранник без самопересечений и с двумя четырёхугольными краями AB'CD' и N'KCT(рис. 12). Он
|

Рис.13
Многогранник Г изгибается, причём его исходные вершины просто повторяют те движения, которые были у начального изгибаемого октаэдра Брикара первого типа на рис. 9, поэтому, в частности, расстояние N'Cостаётся постоянным, так как оно соответствует длине ребра N'Cисходного октаэдра. Теперь подберём «зарубку Коннелли» так, чтобы её добавлением закрыть отверстие с краем N'KCT. Для этого выберем положения точек T и K с условием TC = TN=KN=КС, что вполне возможно. Возьмём «зарубку Коннелли» как на рис. 8, но с изменёнными в соответствии с рис. 13 обозначениями вершин и со сторонами TN' = TP = TQ = TC = KN' = KC = KP = KQ. Можем считать, что изгибания многогранника Г происходят с сохранением
|
4. ГИПОТЕЗА КУЗНЕЧНЫХ МЕХОВ
Теорема. Всякая замкнутая многогранная поверхность, не имеющая самопересечений, ограничивает в трехмерном пространстве некоторое тело конечного объема. Гипотеза кузнечных мехов состоит в том, что если мы имеем дело с изгибаемой замкнутой многогранной поверхностью, то объем этого тела остается постоянным в процессе изгибания.

|
Что касается объёмов изгибаемых многогранников из первых двух примеров, то постоянство их объёма тоже можно доказать, или применяя указанный выше факт о равенстве нулю обобщённого объёма любого октаэдра Брикара или проводя довольно длинные вычисления.
Факт неизменности объёма в построенных примерах изгибаемых многогранников естественно привёл к вопросу о справедливости этого свойства для любого изгибаемого многогранника. Коннелли назвал предположение о постоянстве объёма изгибаемого многогранника в ходе его изгибания «гипотезой кузнечных мехов». Происхождение этого термина очень простое. Вспомним из физики закон Бойля—Мариотта, который утверждает, что в газах произведение давления на объём постоянно, т. е. pV = const, где p — давление, V— объём газа. Следовательно, если V= const, то и p = const, поэтому гипотезу кузнечных мехов по другому можно переформулировать так: математически идеальные кузнечные мехи нельзя сделать в виде изгибаемого многогранника с отверстием на грани, так как из таких мехов воздух дуть не будет. Эта гипотеза была сформулирована в 1977—78 гг. рядом авторов. Попытки её опровержения путём построения контрпримеров не привели к успеху, наоборот, все новые примеры изгибаемых многогранников, которые удалось построить, только подтвердили факт неизменности объёма. Теперь ясно, что её и нельзя было опровергнуть. На самом деле, основная теорема об объёме многогранника говорит, что для множества многогранников с данным комбинаторным строением и данным набором длин рёбер существует лишь конечное число возможных значений объёма — все они должны быть среди корней полиномиального уравнения, которых, по известной теореме алгебры, не больше, чем степень полинома. А так как при изгибании происходит непрерывная деформация многогранника, то и объём должен быть непрерывной функцией параметра деформации. А непрерывная функция, которая может принимать только конечное число значений, обязана быть постоянной! Как видим, гипотеза кузнечных мехов, около 20 лет считавшаяся одной из самых красивых и трудных задач метрической теории многогранников, оказалась простым следствием основной теоремы, являющейся обобщением формулы Герона на объёмы многогранников.
Только представьте себе: многогранная поверхность Штеффена будет изгибаться, даже если, сделав ее герметичной, вы заполните ее несжимаемой жидкостью! Из гипотезы кузнечных мехов, в частности, следует, что мехи аккордеона или баяна, заставляют эти инструменты звучать за счет хотя и малых, но все же реальных растяжений и сжатий материала мехов.
Возникает естественный вопрос: имеются ли другие количественные характеристики многогранной поверхности, которые сохраняются в процессе изгибания? Тривиальный пример такой количественной характеристики — площадь поверхности. Значительно менее тривиальный пример строится так. Внутренним двугранным углом при данном ребре замкнутой многогранной поверхности назовем величину двугранного угла при этом ребре, измеренную со стороны тела конечного объема, ограниченного данной поверхностью. Умножим длину ребра многогранной поверхности на величину внутреннего двугранного угла при нем и просуммируем результат по всем ребрам данной замкнутой многогранной поверхности. Полученное число называется средней кривизной многогранной поверхности.
В 1985 году американский математик Р. Александер установил, что любая замкнутая изгибаемая многогранная поверхность сохраняет свою среднюю кривизну в процессе изгибания.
Однако, теорема кузнечных мехов до сих пор не доказана для многогранников в многомерных пространствах. Это удивительно, так как в многомерных пространствах изгибаемость многогранников и вообще поверхностей существенно более редкое явление чем в трёхмерном пространстве.
5 ПРИМЕНЕНИЕ
Следует признать, что масштабные проникновения фундаментальных математических идей в индустрию и технологию — явления довольно редкие. Так что при изложении этого предмета лучше заранее настроиться на здоровый пессимизм. Вместе с тем ясно, что не следует делать категорических выводов о прекращении фундаментальных исследований в каком-то направлении на том основании, что первооткрыватель не смог в течение года (или десяти) найти ему общепонятное применение. Применение может быть найдено совсем другими людьми и совсем в другое время.
Чтобы убедиться в справедливости сказанного, вспомним, например, историю открытия электромагнитных волн. Их существование было предсказано М. Фарадеем в 1832 году. Дж. Максвелл в 1865 году теоретически показал, что электромагнитные колебания не остаются локализованными в пространстве, а распространяются в вакууме со скоростью света во все стороны от источника. В 1888 году максвелловская теория получила подтверждение в опытах Г. Герца. 7 мая 1895 года А.С. Попов на заседании физического отделения Русского физико-химического общества сделал научный доклад об изобретенной им системе связи без проводов и продемонстрировал ее работу. В начале 1900 года приборы А.С. Попова были применены для связи во время работ по ликвидации аварий броненосца "Генерал-адмирал Апраксин" у острова Гогланд и при спасении рыбаков, унесенных на льдине в море. При этом дальность связи достигла 45км. История открытия и использования радиоволн продолжается и сейчас, вбирая в себя достижения сотен тысяч инженеров и исследователей (вспомните, хотя бы навязчивое "все живое тянется к био"). Мог ли все это предвидеть Фарадей в 1842 или 1852 году?
Теперь мы можем сознаться, что сегодня неизвестно по-настоящему нетривиальных применений замкнутых изгибаемых многогранных поверхностей. Почти тривиальным является наблюдение, что конструкция панельного дома имеет много общего с многогранной поверхностью. Причем на практике желательно сделать эту конструкцию как можно менее изгибаемой. Однако архитекторы и инженеры-строители решали и решают эту задачу своими методами без обращения к новейшим изысканиям геометров.

Попытка менее очевидного приложения возникла в стереохимии — науке о пространственном строении молекул. Речь пойдет о циклических молекулах, состоящих из шести атомов. Типичными примерами могут служить молекулы бензола или циклогексана. Бензольное кольцо, в котором, как известно, чередуются атомы водорода и углерода, обычно изображают так, как показано на рис. 15. Экспериментально установлено, что в молекулах бензола не только расстояния между атомами, но и углы между связями, выходящими из одного атома, всегда имеют одно и то же численное значение. Поэтому в качестве модели бензольного кольца можно принять пространственный шестиугольник, дополненный его короткими диагоналями (то есть диагоналями, соединяющими вершины, идущие через одну). Схематически эта модель изображена на рис. 14 в виде плоской фигуры, где буквами α, β и γ обозначены длины соответствующих отрезков. В этой модели следует считать все участвующие в ней отрезки идеально жесткими стержнями, шарнирно соединенными между собой в вершинах шестиугольника. Наша модель имеет 6 вершин, 12 отрезков-стержней и 8 треугольников, ограниченных отрезками-стержнями — ровно столько же, сколько вершин, ребер и граней имеет октаэдр. Заменив мысленно каждый из восьми треугольников, ограниченных отрезками-стержнями, плоским треугольником, получим, что наша модель бензольного кольца превратилась в октаэдр, грани которого имеют заранее предписанные размеры, а двугранные углы произвольны. (Схематически такой октаэдр изображен на рис. 14.) Поскольку грани достроены лишь мысленно, то ясно, что невыпуклость октаэдра или наличие самопересечений не влияют на наши рассуждения.
Теперь мы подошли к самой сути: существует ли циклическая молекула, состоящая из шести атомов, такая, что соответствующий ей октаэдр является изгибаемым? Если бы такая молекула существовала, то она тоже должна была бы допускать непрерывные изменения своей пространственной формы. Естественно ожидать, что при таком изменении формы молекулы менялись бы физические и химические свойства вещества, например объем или коэффициент преломления. Это было бы уже что-то новое в гидравлике или оптике. Вот бы научиться управлять такими изменениями... Но здесь мы вынуждены прервать полет фантазии и сообщить, что подобного рода молекулы, непрерывно (то есть без скачков) изменяющие свою форму в пространстве, пока не обнаружены.
Заканчивая обсуждение приложений, укажем, что задачи о необычной (то есть интуитивно неочевидной) подвижности многогранных поверхностей или стержневых систем периодически возникают в разных разделах науки и техники. Достаточно напомнить, что шарнирные механизмы изучались П.Л.Чебышевым более 100 лет назад, а перспективным источником новых вопросов представляется теория фуллеренов — недавно открытой третьей стабильной формы углерода.
6 ПОСТРОЕНИЕ МОДЕЛИ
В 1897 году Р. Брикар описал все изгибаемые октаэдры. Из теоремы Коши вытекает, что ни один из них не может быть выпуклым. Согласно установившейся традиции, изгибаемые октаэдры, называемые также октаэдрами Брикара, классифицируют относя каждый из них к одному из трех типов. Нам потребуется октаэдр Брикара лишь одного типа. Его построение будем объяснять в виде рекомендаций по склеиванию модели из картона.


Рис.16 рис.17
Нарисуем на картоне фигуру, изображенную на рис. 16 и состоящую из шести треугольников. Буквы a, b, c и dобозначают длины соответствующих сторон. Хорошо подходят значения a = 12, b = 10, c =5 и d = 11. Вырежем нарисованную фигуру по сплошным линиям и согнем по штриховым. Два левых треугольника, имеющие стороны длины c отогнем из плоскости рисунка на себя и склеим между собой вдоль стороны длины c. Два правых треугольника со сторонами длины c отогнем из плоскости рисунка от себя и приклеим их друг к другу вдоль стороны длины c. В результате получится невыпуклая незамкнутая многогранная поверхность P, изображенная на рис. 17. Сплошными линиями на нем изображены видимые ребра многогранной поверхности P, штриховыми — ребра, заслоненные гранями поверхности P. Ребра AE, ED, DFи AFсоставляют границу P, к каждому из них прилегает лишь одна грань поверхности P.
Также можно легко сконструировать реберную модель октаэдра Брикара из тонких пластиковых трубочек для питья, нанизав их соответствующим образом на нитки
7 СВОЙСТВА ОКРАЭДРА БРИКАРА
Основные свойства
Многогранная поверхность называется октаэдром Брикара, если как и обычный октаэдр, она имеет 6 вершин (A, B, C, D, E и F), 12 ребер (AB, AD, AE, AF, BC, BE, BF, CD, CE, CF,DE и DF) и 8 граней (ABE, ABF, BCE, BCF, CDE, CDF,ADE и ADF). Вместе с тем октаэдр Брикара является невыпуклым, изгибаемым и имеет самопересечения.
Лемма 1. Пусть в пространстве дан четырёхугольник ABCDс равными противоположными сторонами AB = CD, AD=BC. Тогда у этого четырёхугольника есть ось симметрии, проходящая через середины диагоналей AC и BD, а в частном случае, когда четырёхугольник является параллелограммом, ось симметрии проходит через точку пересечения диагоналей перпендикулярно плоскости параллелограмма.

Рис.18
Эта лемма позволяет нам описать изгибаемый октаэдр Брикара первого типа. Рассмотрим четырёхзвенный механизм ABCD(т. е. четыре стержня, соединённые шарнирами и имеющие возможность вращаться вокруг них) и удовлетворяющий условиям леммы 1. Пусть l — его ось симметрии. Пусть N — произвольная точка пространства, отличная от A, B, C, Dи не лежащая на оси l (рис. 18, а и б изображают два разных вида четырёхугольника ABCD, дающих четырёхгранный угол NABCDбез самопересечений и с самопересечениями, соответственно). Соединим N с вершинами четырёхзвенника ABCDи полученные «проволочные» треугольники NAB, NBC, NCD, NDAзаклеим плоскими треугольниками (эта операция образно называется «обшивкой каркаса гранями»). Получится четырёхгранный угол с известными длинами рёбер. Этот четырёхгранный угол при фиксированных длинах рёбер может изгибаться, причём его нетривиальные изгибания определяются изменяющимся значением одного параметра — угла a = ZABC. Действительно, угол a определяет положение треугольника ABCна плоскости p, а знание расстояний от трёх точек A, B, C до N определяет положение N однозначно (на самом деле точка N может иметь два положения, симметричных относительно плоскости p, но мы рассматриваем только непрерывные изменения исходного положения точки N), а знание положения точек A, B, N и расстояний от них до Dоднозначно определяет непрерывные изменения положения точки D.
Изгибаемость
Почему октаэдр Брикара изгибаем? Половинка октаэдра, очевидно, изгибается. Вторая половинка получается из первой поворотом вокруг оси, и, следовательно, ее деформация в точности повторяет деформацию первой половинки. Значит, и весь октаэдр Брикара изгибаем.

Рис.19
Очевидно, многогранная поверхность P является изгибаемой: если треугольник BCE фиксировать в пространстве, то точку Fможно двигать так, как показано стрелками на рис. 19. При этом положение точек A и Dв пространстве также будет меняться,но, что особенно важно, расстояние между точками A и Dбудет оставаться постоянным.
Чтобы убедиться в этом, рассмотрим двугранный угол S, одной гранью которого служит полуплоскость s1 , проходящая через точку B и ограниченная прямой EF, проходящей через точки E и F, а другой гранью — полуплоскость s2 , проходящая через точку C и ограниченная прямой EF. Повернем полуплоскость s1 вокруг прямой EF так, чтобы новая полуплоскость t1 проходила через точку A. В соответствии с рис. 18 для этого надо повернуть s1 "на себя" на величину двугранного угла тетраэдра ABEFпри ребре EF. Аналогично повернем полуплоскость s2 вокруг прямой EF так, чтобы новая полуплоскость t2 проходила через точку D. Следуя рис. 19, для этого надо повернуть s2 "от себя" на величину двугранного угла тетраэдра CDEF при ребре EF. Однако при любом положении точки F тетраэдры ABEFи CDEFимеют соответственно равные стороны. Поэтому тетраэдры ABEF и CDEFравны, в частности равны между собой двугранные углы этих тетраэдров при ребре EF. Значит, двугранный угол T, образованный полуплоскостями t1 и t2 , равен двугранному углу S. Таким образом, мы получаем, что в тетраэдрах BCEF и ADEF пять сторон попарно равны между собой (BE = AF, BF= AE, CF= DE, CE= DFи EF-общая сторона) и, кроме того, равны между собой двугранные углы T и S, противолежащие шестой стороне (то есть BC и ADсоответственно). Следовательно, тетраэдры BCEF и ADEFравны между собой, а значит, AD = BC = dдля любого положения вершины F, что и утверждалось выше.

Рис.20
Поскольку длина отрезка ADпостоянна при всевозможных положениях вершины F, то к многогранной поверхности P можно приклеить два картонных треугольника ADEи ADF, причем получившаяся при этом поверхность Qбудет по-прежнему изгибаемой. Это приклеивание, конечно, не может быть осуществлено реально: например, грани ADEи BCE при этом пересекутся по линии, не являющейся ребром многогранной поверхности Q; при изгибании поверхности Qэта линия будет менять свое положение на каждой из граней ADEи BCE, что не поддается изображению на картонной модели.
Идея Брикара очень остроумна. Возьмем в пространстве четырехугольник ABCDс попарно равными противоположными сторонами: АВ = CD, ВС = = AD. Если ABCDлежит в плоскости, то это - знакомый нам параллелограмм. Пусть ABCD - пространственный четырехугольник, т.е. вершины А, В, С, Dне лежат в одной плоскости. Его диагонали АС и BDлежат на скрещивающихся прямых. Проведем через середины О1 и О2 диагоналей прямую (рис. 20). Так как в четырехугольнике ABCDпротивоположные стороны равны, то прямая, как нетрудно показать, перпендикулярна обеим диагоналям.
В силу этой перпендикулярности при повороте вокруг прямой на 180° вершины A и С, а также В и Dменяются местами и, следовательно, четырехугольник ABCDпереходит в себя. Заметим, что в предельном случае, когда многоугольник становится плоским параллелограммом, точки О5 и О2 сливаются в одну точку, а прямая переходит в прямую, проходящую через точку пересечения диагоналей параллелограмма перпендикулярно его плоскости.
Симметрия
Под симметрией (или преобразованием симметрии) многогранника мы понимаем такое его движение как твердого тела в пространстве (например, поворот вокруг некоторой прямой, отражение относительно некоторой плоскости и т.д.), которое оставляет неизменными множества вершин, ребер и граней многогранника. Иначе говоря, под действием преобразования симметрии вершина, ребро или грань либо сохраняет свое исходное положение, либо переводится в исходное положение другой вершины, другого ребра или другой грани.

Рис.21
Возьмем вне прямой какую-нибудь точку Sи построим четыре треугольника SAB, SBC, SCDи SDA(рис. 21 а). Эти треугольники (точнее, их плоскости) образуют четырехгранный угол. Из школьного курса геометрии известно, что плоские углы трехгранного угла задают его двугранные углы, а следовательно, и весь трехгранный угол однозначно. Однако если число граней у многогранного угла больше трех, то такой однозначности нет. Очевидно, что четырехгранный угол SABCDпри фиксированных плоских углах допускает непрерывную деформацию (изгибание). При таком изгибании четырехугольник ABCDдеформируется в четырехугольник с соответственно такими же сторонами и соответствующей осью симметрии.
При повороте вокруг оси на 180° четырехгранный угол SABCDпереходит в конгруэнтный угол SX CDAB(рис. 21 б). Совокупность 8 треугольников удовлетворяет всем трем условиям в определении многогранника. Правда, некоторые грани этого многогранника пересекают друг друга.
Объем
При изгибании октаэдр Брикара не изменяет своего объема. Его можно вычислить с помощью теоремы Сабитова. Она устанавливает связь между длинами ребер многогранника и его объема. Существует многочлен:
![]()
коэффициенты a1 ,…,an которого выражаются при помощи четырех арифметических действий через длины ребер l1 ,…,lp многогранника. Сделав подстановку в формулу получим многочлен F(x) с конкретными числовыми коэффициентами. Теорема Сабитова утверждает, что объем данного многогранника (октаэдра Брикара) есть один из корней этого многочлена.
7 ФЛЕКСОР ШТЕФФЕНА
Построение модели. Для построения модели флексора Штеффена необходимо изготовить из картона две многогранных поверхности Р1 и Р2 , изображенных на рисунке 22 (их построение описано ранее).

рис. 22. Многогранная изгибаемая поверхность Р1
Далее следует нарисовать на картоне фигуру, изображенную на рис. 23, которая состоит из двух треугольников. Буквы a и e обозначают длины соответствующих сторон. К выбранному ранее значению a = 12 хорошо подходит
e = 17. Вырежьте нарисованную фигуру по сплошным линиям и согните по пунктирной. Получившуюся незамкнутую многогранную поверхность обозначим через R(рис. 23).

рис. 23. Многогранная изгибаемая поверхность R
Теперь все готово для склеивания многогранной поверхности Штеффена.
Зафиксируйте положение многогранной поверхности Rв трехмерном пространстве так, чтобы расстояние между точками Lи N было равно расстояние между точками A1 (D1 ) и C1 (C2 ).
Совместите точки K и E1 , A1 и L, D1 и N и склейте многогранные поверхности P1 и Rвдоль ребер A1 E1 и KL, а также E1 D1 и KN (рис. 24). Назовем полученную многогранную поверхность Q.
Аналогично совместите точки E2 и M, D2 и L, A2 и N и склейте многогранные поверхности P2 и Q вдоль ребер A2 E2 и MN, а также D2 E2 и LM (рис. 24).

рис. 24. Совмещение поверхностей Р1 , Р2 и R
Свойства изгибаемость

Рис.25
Возьмём «зарубку Коннелли», изображённую на рис. 25.
Она представляет собой октаэдр Брикара второго типа с удалёнными гранями CDS и CDN. Её нетривиальные изгибания можно представить как вращение вершины N вокруг неподвижной прямой DC, при неподвижных отрезках SD и SC (так как расстояние DC постоянно как длина удалённого ребра изгибаемого октаэдра, три точки S, D, C можно считать неподвижными). При вращении N вершины A и B перемещаются соответственным образом. Для данного рисунка если N уходит влево (вправо), то A смещается вниз (вверх),
B уходит вверх (вниз), но вообще направления их движений зависят от конкретных длин рёбер. Рассмотрим движения точки N более подробно, для чего введём следующую систему координат: направим ось Ox вдоль прямой DC, от D к C, плоскость SDC примем за плоскость xOz, направив ось Oz вверх, начало координат поместим в середине отрезка DC (см. рис. 25). Пусть длина ребра DC равна 2a, длина SD=SC=b<a. Тогда D, C, S имеют, соответственно, координаты
.
Точка N вращается вокруг оси Ox, на постоянном расстоянии d от D и C. Тогда её координаты суть
(0, d2 -a2 sinj, d2 -a2 cosj). (1)
Возьмём теперь второй экземпляр той же самой «зарубки Коннелли», идентичный рассмотренному. Расположим их сначала с полным совпадением. Если затем в первой «зарубке» точку N повернём влево, а во второй — вправо, то точки D, C, S останутся на месте, а точки N, A, B разойдутся, приняв соответственно новые положения N1 , A1 , B1 и N2 , A2 , B2 .

Рис.26
Зафиксируем некоторые положения точек N1 и N2 , симметричные относительно неподвижной плоскости DSC и склеим (отождествим) в этом положении рёбра SD и SC из первой «зарубки» с такими же рёбрами из второй «зарубки». Получится многогранник M, изображённый на рис. 26 и имеющий край N1 DN2 C.
Далее вершины N1 и N2 можно вращать согласованно так, чтобы расстояние N1 N2 оставалось постоянным. Следовательно, отрезок N1 N2 тогда можно принять за ребро и если мы закроем отверстие с краем N1 DN2 C двумя треугольниками N1 DN2 и N1 CN2 , то полученный многогранник будет замкнутым, причём при соответственно подобранных размерах сторон и положениях вершин N1 и N2 он будет без самопересечений.
Симметрия
Заметим, что изгибаемый многогранник Штеффена обладает симметрией. Он симметричен относительно прямой, проходящей через точки F и середину ребра KM.
Объем
Сразу же после построения первых флексоров было замечено, что при изгибании их объёмы остаются постоянными.
Доказать постоянство объема флексора можно с помощью теоремы российского математика Иджада Хаковича Сабитова, предложенной в 1996 году.
Чтобы понять ее смысл, вспомним формулу Герона. Она выражает площадь треугольника лишь через его стороны:
, где полупериметр
.
Предположим сначала, что все грани многогранника — треугольники[2] . В этом случае длины его ребер однозначно определяют форму треугольных граней. Поэтому, если многогранник выпуклый, то длины ребер однозначно определяют форму многогранника, так как по теореме Коши под многогранником понимается множество M плоских многоугольников - граней, расположенных в пространстве так, что каждая сторона любого из них является стороной в точности ещё одного многоугольника. А если у многогранника однозначно задана форма, следовательно, и его объем определен также однозначно.
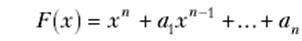
Теорема Сабитова устанавливает связь между длинами ребер многогранника (с треугольными гранями) и его объемом. Пусть дан многогранник, тогда можно построить специальный многочлен
F(x) = хп + а1 хп-1 +...+ ап ,
коэффициенты а1 ,…,ап которого выражаются через длины ребер l1 ,…,lp многогранника. Заметим, что то, как коэффициенты многочлена выражаются через длины ребер, зависит собственно не от длин ребер и величин углов многогранника, а от его комбинаторного типа, т.е. от того, сколько ребер у граней, сколько граней у многогранника, как грани сходятся в вершинах и т.п. Подставляя теперь в коэффициенты а1 ,...,ап вместо l1 ,…,lp численные значения длин ребер данного многогранника, получим многочлен F(х) с конкретными числовыми коэффициентами. Теорема Сабитова утверждает, что объем данного многогранника есть один из корней этого многочлена. Если бы объем флексора при изгибании менялся, то это должно было бы происходить непрерывно. А так как объем является корнем многочлена F(x), то это должен быть один и тот же корень. Таким образом, объем многогранника должен оставаться неизменным.
ЗАКЛЮЧЕНИЕ
Трудно переоценить значение темы «Многогранники» не только в самой геометрии, но и других науках, в повседневной жизни. Без знания закономерностей, связанных с этими геометрическими телами, невозможно было бы дальнейшее изучение геометрии, развитие архитектуры, астрономии, физики.
В ходе выполнения работы, мы познакомились с происхождением терминов, связанных с многогранниками. Рассматривая уже знакомые свойства, изучали новые, ранее нам неизвестные, но весьма полезные при решении задач.
Наша работа носит исследовательский характер. Ее можно использовать в качестве дополнительного материала при изучении темы «Тетраэдр». Все изложенные факты иллюстрируются рисунками, чертежами, которые облегчают их понимание и запоминание.
СПИСОК ИСПОЛЬЗУЕМОЙ ЛИТЕРАТУРЫ
1. Вениниджер М. Модели многогранников. М.: Мир, 1974.
2. Берже М. Геометрия. М.: Мир, 1984. Т. 1.
3. Адамар Ж. Элементарная геометрия. Ч. 2: Стереометрия. М.: Учпедгиз, 1952.
4. Гуфт И.В. Об одном классе многогранников // Сиб. мат. журн. 1989. Т. 30, № 1. С. 183-184.
5. Залгаллер В.А. Непрерывно изгибаемый многогранник //Квант. 1978. № 9. С. 13-19.
6. Сабитов И.Х. Локальная теория изгибания поверхностей // Итоги науки и техники. Современные проблемы математики. Фундаментальные направления. М.: ВИНИТИ, 1989. Т. 48. С. 196-270
7. Долбилин Н.П.. Жемчужины теории многогранников.
8. Сабитов И.Х.. Объёмы многогранников
9. Александров В.А. Изгибаемые многогранные поверхности
[1] От английского слова flex - изгибать
[2] То, что все грани треугольники, особого значения не имеет, так как любую нетреугольную грань можно разбить при помощи диагоналей на треугольники. Введенные диагонали считаются хотя и искусственными, но ребрами нового многогранника, у которого все грани треугольники.