| Скачать .docx | Скачать .pdf |
Курсовая работа: Исследование потребителей и образование стратегических полей деятельности
Федеральное агентство по образованию Российской Федерации
Государственное образовательное учреждение высшего профессионального образования
«Южно-Уральский государственный университет»
Факультет «Права и финансов»
Кафедра «Экономика и управление проектами»
Курсовая работа
по маркетингу
на тему: « Исследование потребителей и образование
стратегических полей деятельности »
Выполнила:
Проверил:
Челябинск
2010
ОГЛАВЛЕНИЕ
ВВЕДЕНИЕ…………………………………………………………….................3
1 ОБЩИЕ СВЕДЕНИЯ О ПРЕДПРИЯТИИ…………………………………....5
2 СТРУКТУРНАЯ СХЕМА ОАО «ФК УРАЛСИБ»……………………………9
3 ОТДЕЛ ЭКОНОМИЧЕСКОГО И ФИНАНСОВОГО АНАЛИЗА…………..13
3 ДЕЙСТВУЮЩАЯ СИСТЕМА МАРКЕТИНГОВЫХ ИССЛЕДОВАНИЙ..15
4 СТРАТЕГИЯ МАРКЕТИНГА ПО ОТНОШЕНИЮ К ЦЕЛЕВЫМ РЫНКА…………………………………………………………………………...16
5 СЕГМЕНТИРОВАНИЕ РЫНКА …………………………………………….17
5.1 Отбор профилей сегментации ……………………………………………...17
5.2 Метод сегментирования…………………………………………………….18
5.3 План маркетинговых исследований………………………………………..19
5.4 Сегментация рынка………………………………………………………….20
5.5. Оценка правильности сегментации по критериям………………………..22
6 ОЦЕНКА ПРИВЛЕКАТЕЛЬНОСТИ ПОЛУЧЕННЫХ СЕГМЕНТОВ. ВЫБОР ЦЕЛЕВОГО СЕГМЕНТА……………………………………………...24
7 ПОЗИЦИОНИРОВАНИЕ……………………………………………………..25
8 ЗАДАЧИ МАРКЕТИНГА НА ОТОБРАННОМ РЫНОЧНОМ СЕГМЕНТЕ………………………………………………………………………29
ЗАКЛЮЧЕНИЕ………………………………………………………………….30
БИБЛИОГРАФИЧЕСКИЙ СПИСОК………………………………………….31
ПРИЛОЖЕНИЕ А……………………………………………………………….32
ВВЕДЕНИЕ
Точно так же как Алиса, предприятие порой не знает в каком направлении развиваться. Стоит ли начинать проект, нужно ли продвигать новый товар, и много других вопросов непременно стают перед организацией и здесь не важно как давно эта организация находится на рынке. Выбирая траекторию движения, обязательно нужно знать, где вы находитесь в данный момент, где находятся ваши конкуренты, и, конечно же - где ждет ваш потребитель. Для этого нужно знать не только кто он, но и чего конкретно он ждет от вас - ведь только тогда вы сможете дать ему то, что он хочет!
Для того, чтобы найти ответы на все эти вопросы, необходимо провести маркетинговые исследования.
Данная курсовая работа написана по теме «Исследование потребителей и образование стратегических полей деятельности».
В данном курсовом проекте описывается маркетинговое исследование, проведенное для банка ОАО «ФК УРАЛСИБ».
Предмет исследования – рынок кредитных карт.
Данная тема очень актуальна на сегодняшний день, поскольку маркетинговые исследования позволяют:
· принимать более обоснованные управленческие решения;
· лучше узнать потребности и предпочтения покупателей;
· оценить рыночные перспективы продуктов;
· оценить и повысить эффективность кампании по продвижению товаров/услуг;
· выбрать наиболее эффективные средства продвижения товаров/услуг;
· определить Ваши сильные и слабые стороны по отношению к конкурентам;
· выработать эффективные способы противодействия конкурентам.
Основной целью данной работы является исследование потребителей, а так же выявление стратегических полей деятельности.
По ходу курсовой работы рассмотрим ряд вопросов, а именно:
· знакомство с организацией
· описание организационной структуры
· описание действующей системы маркетинговых исследований
· описание стратегии маркетинга по отношению к целевым рынкам.
ОБЩИЕ СВЕДЕНИЯ О ПРЕДПРИЯТИИ
ОАО «Финансовая Корпорация УРАЛСИБ» – одна из крупнейших российских финансовых групп, предоставляющая своим клиентам широкий спектр финансовых услуг: розничные и корпоративные банковские продукты, инвестиционно-банковские услуги, лизинговые продукты, брокерское и кастодиальное обслуживание, управление активами и благосостоянием и т.д. В структуру Финансовой Корпорации входят коммерческий банковский, лизинговый, инвестиционно-банковский субхолдинги, управление активами и частный банк. По состоянию на 01.07.2010г. сеть продаж Корпорации включает 468 точек в России и за рубежом, 3,4 млн клиентов.
Крупнейшим активом ФК УРАЛСИБ является БАНК УРАЛСИБ.
Миссия и видение
Миссия:
Повышать качество жизни населения, развивать предпринимательскую активность, предоставляя клиентам комплексы финансовых продуктов и услуг, быть примером по эффективности ведения бизнеса в ключевых секторах российского финансового рынка.
Мы гарантируем Акционерам: рост капитализации, масштабов и устойчивости бизнеса;
Клиентам: надежность, качество, оперативность, защищенность, доступность;
Стратегическим партнерам и потенциальным инвесторам: прозрачность и устойчивость бизнеса;
Бизнес-партнерам и поставщикам: стабильность отношений и соблюдение обязательств, взаимную выгоду и лояльность;
Обществу и государству: стабильность и рост поступлений и налогов в бюджет, создание новых рабочих мест, рост экономики регионов;
Сотрудникам и менеджменту: уважение, стабильность, карьерный рост, достойную заработную плату;
Регулирующим органам: выполнение требований законодательства.
Видение:
ФК УРАЛСИБ - социально ответственная Финансовая Корпорация федерального масштаба, соответствующая международным стандартам эффективности и качества бизнеса, обладающая развитой сетью продаж, входящая в пятерку лидеров в ключевых секторах финансового рынка.
История ФК УРАЛСИБ:
1993 - Основание инвестиционной компании НИКойл.
1996 - Коммерческий банк "Родина" (переименован в ИБГ "НИКойл") стал частью НИКойла.
1998 - Брокерская компания РИНАКО ПЛЮС интегрирована в Группу.
2000 - 2001- Завершение реструктуризации НИКойл как многопрофильной финансовой корпорации.
2002 - Приобретение Автобанка и развитие страхового бизнеса через приобретение страховой компании ПСК.
2003 - Приобретение БАНКА УРАЛСИБ с широкой филиальной сетью.
2004 - Ребрендинг группы под единым названием УРАЛСИБ.
2005 - Успешное завершение реструктуризации банковского бизнеса.
2006 - Представление стратегической системы управления, основанной на сбалансированной системе показателей.
2007 - Учреждение холдинговой компании ОАО "ФК УРАЛСИБ".
2008 - Одобрена среднесрочная и долгосрочная стратегия Банка, разработанная совместно с Boston Consulting Group. Deutsche Bank и Morgan Stanley приобрели по 2,1% акций БАНКА УРАЛСИБ.
2009 - увеличение уставного капитала Банка во II квартале 2009г. на 30% до 26,5 млрд рублей в результате проведения дополнительной эмиссии акций.
Банковская группа УРАЛСИБ, объединившая 12 банков, является одним из ведущих финансовых институтов в России: Основана в результате интеграции 5 банков: ОАО "УралСиб", ОАО АКБ "АВТОБАНК-НИКОЙЛ", КБ "Брянский народный банк" (ОАО), АБ "ИБГ НИКойл" (ОАО), ОАО АКБ "Кузбассугольбанк".
Интеграция 6 региональных банков на основе ОАО "АКБ Стройвестбанк" в 2001-2007.
ОАО "АКБ УРАЛСИБ-ЮГ БАНК".
центральный офис в г. Москва, удаленный центральный офис в г. Уфа.
полный спектр финансовых услуг и продуктов розничным и корпоративным клиентам.
участие в крупнейших социальных проектах в регионах.
СТРУКТУРНАЯ СХЕМА ОАО «ФК УРАЛСИБ»
Организационное устройство ОАО «ФК УРАЛСИБ» соответствует общепринятой схеме управления акционерного общества (Рис. 1). Высшим органом коммерческого банка является общее собрание акционеров, которое должно проходить не реже одного раза в год. На нем присутствуют представители всех акционеров банка на основании доверенности. Общее собрание правомочно решать вынесенные на его рассмотрение вопросы, если в заседании принимает участие не менее трех четвертей акционеров банка.
Общее руководство деятельностью банка осуществляет совет банка. На него возлагаются также наблюдение и контроль за работой правления банка. Состав совета, порядок и сроки выборов его членов определяет общие направления деятельности банка, рассматривает проекты кредитных и других планов банка, утверждает, планы доходов и расходов и прибыли банка, рассматривает вопросы об открытии и закрытии филиалов банка и другие вопросы, связанные с деятельностью банка, его взаимоотношениями с клиентами и перспективами развития.
Непосредственно деятельностью коммерческого банка руководит правление. Оно несет ответственность перед общим собранием акционеров и советом банка. Правление состоит из председателя правления (президента), его заместителей (вице-президентов) и других членов.
Можно определить круг полномочий каждого подразделения.
Отдел экономического и финансового анализа
- представляет предложения о процентных ставках для утверждения Комитетом по управлению активами и пассивами. Он в свою очередь, утверждает процентные ставки при выпуске векселей и ставки досрочной оплаты векселей.
Отдел внутрибанковских операций
- осуществляет бухгалтерский учет операций с векселями на основании распоряжения Отдела по работе с ценными бумагами;
- осуществляет внебалансовый учет векселей и выдает бланки Векселей уполномоченному сотруднику Отдела по работе с ценными бумагами.
Отдел денежного обращения
- получает типографические бланки Векселей, пересчитывает, проверяет их нумерацию и качество изготовления;
- выдает бланки Векселей уполномоченному сотруднику Отдела по работе с ценными бумагами.
Операционный отдел
- принимает бланки погашенных Векселей;
- получает и уничтожает испорченные бланки Векселей.
Служба экономической безопасности
- обеспечивает защиту экономических интересов банка при выпуске, продаже и погашении векселей в случаях обнаружения недобросовестных или преступных действий клиентов и партнеров банка, а также при опасности возникновения таких действий.
Служба внутреннего контроля
- осуществляет контроль и проверку достоверности реестра векселей;
- оценивает качество текущего контроля и взаимодействия между подразделениями.
Отдел по работе с ценными бумагами
- проводит предварительные переговоры и заключает сделки с клиентами;
- оформляет распоряжение на выпуск векселей;
- формирует предложения в Комитет по управлению активами и пассивами по ставкам досрочного учета векселей;
- доводит до заинтересованных подразделений утвержденные ставки;
- оформляет выпускаемые в соответствии с Инструкцией Векселя;
- получает и систематизирует информацию об операциях с векселями, передаваемую из филиалов банка;
- ведет единый реестр векселей, выпущенных и банком и филиалами;
- проводит переговоры с клиентами по оплате векселей;
- принимает вексель у клиентов;
- осуществляет проверку векселей;
- оформляет распоряжения в Отдел внутрибанковских операций на платеж по векселям.
- осуществляет контроль за соблюдением утвержденных Комитетом по управлению активами и пассивами процентных ставок и ставок досрочного выкупа;
- осуществляет контроль за исполнением сделок;
- осуществляет сверку данных с Отделом внутренних операций;
- контролирует лимит на выпуск векселей.
ОТДЕЛ ЭКОНОМИЧЕСКОГО И ФИНАНСОВОГО АНАЛИЗА
Современный маркетинг требует не только создания хорошего товара, назначения на него привлекательной цены и обеспечения доступности для целевых потребителей, но и осуществления связи с покупателями, следовательно.
Службы маркетинга как отдельного подразделения в организации нет, ее функции выполняет отдел экономического и финансового анализа.
В задачи отдела входят:
· поиск и привлечение новых потребителей;
· распространение информации о услугах;
· совершение продажи;
· оказание услуг покупателям (консультации).
В области маркетинга карточных продуктов перед руководством банка стоят следующие задачи:
1) привлечение новых карточных счетов;
2) расширение сети торговых точек, принимающих карточки банка;
3) кооперация с другими эмитентами карточек для разработки общих правил операций и предотвращения подделок и мошенничества;
4) разработка дополнительных услуг для привлечения к своим карточным программам новых участников;
5) отбор кредитоспособных владельцев карточек для продажи им других банковских продуктов.
Среди этих задач особое место занимает проблема привлечения новых клиентов и открытия им карточных счетов. На заре карточного бизнеса банки прибегали к «диким» формам маркетинга - массовой рассылке карточек без предварительного изучения финансового положения адресата. Эта практика привело к крупным потерям, и была, в конечном счете, запрещена законодательством. В результате банки начали серьезно относиться к маркетингу карточек и прибегли к детальному изучению рынка персональных финансовых услуг.
На данном этапе развития у банка нет отдельно сформированной службы маркетинга. И всеми вопросами, связанными с изучением рынка занимается отдел экономического и финансового анализа, но он не может охватить все функции маркетинга.
ДЕЙСТВУЮЩАЯ СИСТЕМА МАРКЕТИНГОВЫХ ИССЛЕДОВАНИЙ
Исследование рынка предполагает выяснение его состояния и тенденций развития, что может помочь выявить недостатки сегодняшнего положения на рынке и подсказать возможности и пути его улучшения, но это, однако, только часть проблем, определяющих содержание маркетинговых исследований в целом.
«Классический» вариант системы сбора маркетинговой информации состоит из 4-х подсистем:
· Система внутренней отчетности
· Система сбора внешней текущей маркетинговой информации
· Система маркетинговых исследований
· Система анализа маркетинговой информации
На сегодняшний день реализовать в полной мере «МИС» для банка «ФК УРАЛСИБ» невозможно, так как требуются соответствующие затраты. Поэтому действующая на фирме система сбора маркетинговой информации не включает в себя все 4 подсистемы. В банке «УРАЛСИБ» осуществляется только первая подсистема.
Система внутренней отчетности в данной организации основана на использовании данных, циркулирующих внутри фирмы. Также систематически ведется бухгалтерский учет, и анализируются документы финансовой отчетности, где отражается информация о состоянии банка и о результатах его деятельности. Результаты анализа принимаются во внимание отделом экономического и финансового анализа и оказывают влияние на разработку стратегических планов.
Системы сбора внешней текущей маркетинговой информации, маркетинговых исследований и анализа маркетинговой информации у банка «УРАЛСИБ» нет.
СТРАТЕГИЯ МАРКЕТИНГА ПО ОТНОШЕНИЮ К ЦЕЛЕВЫМ РЫНКАМ
Банк «УРАЛСИБ» применяет стратегию дифференцированного маркетинга.
Целевым рынком называется группа клиентов, подходящая для продажи им определенного вида товаров или услуг. Работа маркетинговых служб банка направлена на то, чтобы выявить целевые рынки для различных финансовых продуктов (услуг).
Поиск целевого рынка связан с сегментацией, то есть выделением однородных групп клиентов, на которых ориентирована маркетинговая программа. Сегментация может основываться на дифференциации клиентов или финансовых продуктов. В сфере банковского маркетинга более удобна клиентская сегментация, так как операции различных банков лишь в незначительной степени отличаются друг от друга. Финансовые нововведения быстро распространяются и перенимаются разными банковскими учреждениями. Поэтому в основу банковских маркетинговых программ кладется принцип сегментации клиентов по ряду персональных характеристик. Обычно учитываются такие факторы, как возраст, занятие, местожительство, социально-экономический статус. Возраст особенно важен для банкиров, так как они стараются, как можно раньше приобщить клиента к банковскому обслуживанию и «привязать» его к себе на длительный период. Занятие клиента в значительной степени определяет уровень его доходов и образ жизни. Местожительство «привязывает» клиента к определенному отделению банка.
Что касается «социально-экономического статуса», то его неохотно используют для сегментации в силу неопределенности и размытости этого понятия.
СЕГМЕНТИРОВАНИЕ РЫНКА
Сегментация рынка заключается в разделении рынка на четкие группы покупателей (рыночные сегменты), которые могут требовать разные продукты и к которым необходимо прилагать разные маркетинговые усилия. Таким образом, объектами сегментации являются конечные потребители.
Предварительный отбор профилей сегментации, в соответствии с типом рынка
Критериями сегментирования выбираем: демографический и поведенческий принципы.
Потребители банка «УРАЛСИБ» были сегментированы по следующим признакам:
По демографическому признаку:
· Возраст;
· Этап жизненного цикла семьи (семейные, одинокие);
· Размер семьи;
· Доход;
По поведенческому признаку:
· Искомые преимущества.
Банк может достаточно легко осуществить сегментацию клиентов по возрастным категориям, так как при открытии банковского счета с ними проводится беседа и заполняется карта, содержащая подробные сведения об их возрасте, уровне образования и т.д. Имея статистическое распределение клиентуры по выбранным параметрам, можно затем «привязать» определенные виды банковских продуктов к возрастным категориям.
Вместе с тем необходимо еще раз подчеркнуть, что сегментация по возрасту и стадиям жизненного цикла носит слишком общий характер. В каждой возрастной группе потребности, вкусы и возможности в отношении банковского обслуживания могут существенно различаться в зависимости от ряда других факторов — дохода, образования, семейного положения, профессионального статуса и т.д.
Например, чем выше доход семьи, тем больше потребность в разнообразных продуктах банка и тем выше, следовательно, вероятность продажи запланированных услуг. Семейный статус тоже имеет значение: одиночки меньше пользуются банковскими услугами. Люди, имеющие хорошую работу и перспективы продвижения по службе, как правило, предъявляют повышенный спрос на ссуды и услуги по хранению сбережений и т.д.
Метод сегментирования
В качестве метода сегментирования выбираем метод AID анализа. Этот метод позволяет последовательно разбивать рынок на сегменты с постепенным их разделением на ряд подгрупп.
Из рисунка видно, что наиболее привлекательным для нас является следующий сегмент: семейные пары, в возрасте до 30 лет, с составом семьи от 1 до 2 человек и доходом от 10 до 20 тыс.руб., а также среди искомых преимуществ преобладающее большинство выделяет приемлемые процентные ставки. Этот сегмент составляет наибольшую долю всей совокупности потребителей.
План маркетинговых исследований.
Маркетинговое исследование начинается с определения проблемы и цели исследований, но в данном случае, они нам уже известны.
Основная проблема – это выделение целевого рынка, на котором предприятие хочет успешно конкурировать, а по возможности и занимать лидерские позиции.
Так как вид работы – описательная, следовательно, цель исследования: измерение рыночных факторов.
Предметом исследования является рынок кредитных карт.
На первом этапе плана маркетинговых исследований в данном случае определим способ сбора необходимых данных, а также выберем контактные методы исследования.
В нашем случае будут использованы первичные данные, то есть информация будет собрана впервые, для проведения исследования.
В качестве способа сбора данных выбираем опрос потребителей, а в качестве метода – анкетирование.
Следующим этапом спроектируем формы для сбора данных.
Для проведения опроса нам необходимо составить анкету. Применим закрытые вопросы, которые позволят оценить предпочтения, определяющие поведение покупателей.
Анкета включает в себя 11 вопросов.
Оригинал разработанной мной анкеты представлен в приложении А.
Опрос планируется провести среди конечных потребителей планирующих или осуществляющих покупку в банке «УРАЛСИБ».
Далее определим объем выборки.
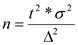
Объем выборки рассчитаем с помощью следующей формулы:
,
где:
n - необходимый объем выборки
t – коэффициент, зависящий от вероятности, с которой гарантируется заданная точность выборки (табличная величина)
σ - генеральная дисперсия
Δ – допустимая погрешность, которая задается исследователем исходя из требуемой точности результатов выборки
∆x = tp • (σx / √n) ,
Для того чтобы рассчитать объем выборки, мною были заданны следующие значения величин:
Р = 95% - доверительная вероятность, тогда t = 1,96;
допустимая погрешность Δ = 0,25
Определим генеральную дисперсию:
σx = R / (2√3),
где R- размах вариации
При использовании шкалы Лайкерта R = 5 – 1 = 4

Далее находим объем выборки:
![]()
В ходе проведенного расчета мы выявили количество людей, которых необходимо опросить для проведения маркетингового исследования. Это число составляет 82 человека.
Сегментация рынка на основе проведенного маркетингового исследования согласно выбранным профилям
Исходя из результатов анкетирования и выбранных принципов сегментирования, можно провести сегментацию по определенным профилям.
Проанализировав ответы на вопросы представленной в приложении А анкеты, построим следующие диаграммы:
Сегментирование по возрастному признаку

В результате анкетирования по возрастному признаку мы видим, что
основными потребителями являются люди в возрасте до 30 лет, что составляет 45% опрошенных потребителей.
Сегментирование по семейному положению

Из диаграммы видно, что большинство потребителей приобретающих наши услуги семейные люди (80%).
Сегментирование по доходу

Из диаграммы видим, что основными потребителями банковских карт являются люди с доходом от 10 до 20 тыс. руб., что составляет 45% всех опрошенных.
Сегментирование по искомым преимуществам

Из диаграммы видим, что большое значение потребители придают приемлемым процентным ставкам.
Оценка правильности сегментации по критериям
Чтобы сегментирование рынка приносило пользу, сегменты должны обладать следующими критериями:
· Достаточность величины сегмента, т.е. рыночные сегменты должны быть достаточно существенными по размеру, в них находится наибольшее количество покупателей, которые обеспечивают большую долю потребления товара.
· Измеряемость, т.е. выделенные сегменты поддаются измерению, можно измерить отличительные черты и границы выделяемой группы потребителей.
· Внутренняя однородность сегмента, т.е. каждый сегмент реагирует схожим образом на предлагаемые товары..
· Существенность межсегментных различий, т.е. каждый сегмент имеет четкий набор характеристик.
· Стабильность во времени, т.е. сегмент сохраняет потребность к набору потребительских характеристик товаров на длительное время.
ОЦЕНКА ПРИВЛЕКАТЕЛЬНОСТИ ПОЛУЧЕННЫХ СЕГМЕНТОВ. ВЫБОР ЦЕЛЕВОГО СЕГМЕНТА
В результате проведенной сегментации, и оценки правильности по критериям у нас получились следующие сегменты потребителей:
1. Семейные пары, в возрасте от 30 до 40 лет, со среднемесячным доходом от 20-45 тыс. руб., а также среди искомых преимуществ большинство выделяет надежность.
2. Это семейные пары, от 1 до 2 человек в семье, в возрасте до 30 лет, со среднемесячным доходом 10-20 тыс. руб., а также среди искомых преимуществ преобладающее большинство потребителей выделяет приемлемые процентные ставки.
На мой взгляд, наиболее привлекательным будет являться следующий сегмент: это семейные пары, от 1 до 2 человек в семье, в возрасте до 30 лет, со среднемесячным доходом 10-20 тыс. руб., а также среди искомых преимуществ преобладающее большинство потребителей выделяет приемлемые процентные ставки.
Этот сегмент обладает наибольшей долей, соответственно, для данной компании он будет являться потенциально более привлекательным, будет приносить организации наибольший доход.
ПОЗИЦИОНИРОВАНИЕ
При определении позиции потребительских предпочтений нашей организации на рынке используем метод построения карт позиционирования, на поле которых представлены также позиции конкурирующих фирм.
Среди основных конкурентов нашей организации выделим следующие компании:
1. Сбербанк.
Предлагаемые услуги:
· Дебетовые карты
· Кредитные карты
· Кредитные карты со льготным периодом кредитования
2. Челиндбанк.
Предлагаемые услуги:
· Дебетовые карты
· Кредитные карты
· Кредитные карты со льготным периодом кредитования
3. Альфа-банк.
Предлагаемые услуги:
· Дебетовые карты
· Кредитные карты
· Кредитные карты со льготным периодом кредитования
Для того, что бы наглядно оценить свою позицию на рынке с конкурентами воспользуемся результатами анкетирования, которые представлены в виде таблицы.
| Факторы |
Организация |
|||
| Банк «УРАЛСИБ» |
Сбербанк |
Челиндбанк |
Альфа-банк |
|
| Ассортимент |
5 |
5 |
4,4 |
3,8 |
| Приемлемость процентных ставок |
4,5 |
5 |
3 |
2,5 |
| Надежность |
4,7 |
5 |
4,1 |
3 |
| Уровень обслуживания |
4,8 |
5 |
4 |
2,9 |
Представим полученные табличные данные графически, в виде карт позиционирования.
Где:
А – банк Уралсиб
Б – Сбербанк
В – Челиндбанк
Г – Альфа-банк
Из карты позиционирования видно, что наша организация занимает второе положение на рынке кредитных карт. Также в нашем банке представлены услуги по приемлемым процентным ставкам.

Где:
А – банк Уралсиб
Б – Сбербанк
В – Челиндбанк
Г – Альфа-банк
Из рисунка соотношения: Ассортимент – Уровень обслуживания видно, что наша организация уступает по ассортименту предлагаемой продукции Сбербанку и также уступает по уровню обслуживания.
Албфа-банк и Челиндбанк на сегодняшний день во многом уступают компаниям-конкурентам.
Таким образом, можно отметить, что на сегодняшний день банк Уралсиб занимает на рынке лидирующее место, это обусловлено тем, что наша организация имеет широкий ассортимент и высокий уровень обслуживания в отличии от конкурентов и поэтому уделяется огромное внимание этим показателям.
Также банк имеет высокий уровень надежности, но он не сравним с уровнем надежности Сбербанка и это же касается процентных ставок, которые немного выше чем в Сбербанке.
Все выявленные слабые стороны банка Уралсиб являются стимулом для маркетинговых действий руководства.
ОСНОВНЫЕ ЗАДАЧИ МАРКЕТИНГА
В ходе сегментации рынка кредитных карт было выделено два сегмента, из которых в качестве целевого был выбран один. А именно это семейные пары, от 1 до 2 человек в семье, в возрасте до 30 лет, со среднемесячным доходом 10-20 тыс. руб., а также среди искомых преимуществ преобладающее большинство потребителей выделяет приемлемые процентные ставки.
Проведя позиционирование мы сравнили свою позицию на рынке кредитных карт с позициями наших основных конкурентов.
ЗАКЛЮЧЕНИЕ
Современные условия рынка ставят перед предприятиями достаточно сложные задачи. Для успешного решения этих задач, то есть для успешного функционирования и развития предприятия должны располагать точной и актуальной информацией по всем направлениям своей деятельности. Именно маркетинговые исследования помогают решить предприятиям эту задачу.
Курсовой проект написан по теме «Исследование потребителей и образование стратегических полей деятельности».
Данный курсовой проект выполнялся с целью осуществления на практике ряда мероприятий целевого маркетинга.
А также по итогам позиционирования определили свою конкурентную позицию.
Таким образом, заметим, что подобные исследования снижают уровень неопределенности и касаются всех элементов комплекса маркетинга и его внешней среды.
Во время прохождения практики были поставлены определенный ряд задач, на мой взгляд, проведенное исследование решило поставленные задачи, и дало предприятию достаточно ценную информацию относительно потребительских предпочтений.
БИБЛИОГРАФИЧЕСКИЙ СПИСОК
1. Котлер Ф., Армстронг Г., Вонг В. Основы маркетинга: Пер. с англ. – К.; М.; СПб.: Издат. дом «Вильямс», 2001. – 944с.
2. Бабичева Ю.А. Банковское дело: Учебник. – Москва: Экономика, 2005.
3. Лекционный материал.
ПРИЛОЖЕНИЕ А
Здравствуйте, меня зовут Панкова Марина, я от лица банка «УРАЛСИБ», провожу маркетинговую исследование, с целью выявления ваших предпочтений в отношении пластиковых карт. Пожалуйста, заполните анкету, следуя приведенным ниже указаниям.
1. Пользуетесь ли Вы пластиковыми картами?
a. Да
b. Нет
2. Часто ли Вы пользуетесь пластиковыми картами?
a. Часто
b. Не очень часто
c. Редко
d. Не пользуюсь
3. Какие пластиковые карты вы предпочитаете?
a. Кредитные
b. Дебетовые
4. Пользовались ли вы когда-нибудь услугами банка «УРАЛСИБ»?
a. Да
b. Нет
5. Карты каких банков вы предпочитаете?
a. Уралсиб
b. Сбербанк
c. Челиндбанк
d. Альфа-банк
6. По каким критериям, вы выбирали карты банка, которыми вы пользуетесь?
a. Надежность банка
b. Процентная ставка
c. Широкий ассортимент
d. Уровень обслуживания
7. Как Вы оцените некоторые стороны работы нашей организации и ее основных конкурентов, используя пятибалльную шкалу, при этом 1 означает самую низкую оценку, 5 - самую высокую? (Отметьте знаком «+»).
| Характеристика |
Организация |
Баллы |
||||
| 1 |
2 |
3 |
4 |
5 |
||
| Ассортимент |
Уралсиб |
|||||
| Челиндбанк |
||||||
| Сбербанк |
||||||
| Альфа-банк |
||||||
| Надежность банка |
Уралсиб |
|||||
| Челиндбанк |
||||||
| Сбербанк |
||||||
| Альфа-банк |
||||||
| Уровень обслуживания |
Уралсиб |
|||||
| Челиндбанк |
||||||
| Сбербанк |
||||||
| Альфа-банк |
||||||
| Процентная ставка |
Уралсиб |
|||||
| Челиндбанк |
||||||
| Сбербанк |
||||||
| Альфа-банк |
||||||
8. Ваш возраст
a. До 30
b. 30-40
c. 40-50
d. 50-60
9. Ваше семейное положение
a. Холост
b. Замужем
10. Размер вашей семьи
a. 1-2 человека
b. 3-4 человека
c. Свыше 5 человек
11. Ваш среднемесячный доход
a. До 10 тыс.
b. 10-20 тыс.
c. 20-45 тыс.
d. Свыше 45 тыс.
Спасибо за участие в опросе!