| Похожие рефераты | Скачать .pdf |
Книга: Основные инструменты комплекса маркетинга
ОГЛАВЛЕНИЕ
ВВЕДЕНИЕ .............................................................................................. 4
1. ТОВАР И ТОВАРНАЯ ПОЛИТИКА ................................................ 6
1.1. Понятие, уровни, классификация товаров....................................... 6
1.2. Марки и решения, связанные с их управлением....................... 8
1.3. Товарный ассортимент и товарная номенклатура...................12
1.4. Жизненный цикл товара ............................................................13
Вопросы для самоконтроля .............................................................18
2. ЦЕНОВАЯ ПОЛИТИКА.....................................................................20
2.1. Понятие цены и ее функции ......................................................20
2.2. Классификация цен ....................................................................22
2.3. Цели ценовой политики предприятия и факторы ценообразования........................................................................32
2.4. Оценка эластичности спроса ....................................................35
2.5. Влияние структуры затрат и цены на прибыль........................42
2.6. Виды ценовых стратегий и условия их применения ...............45
2.7. Методы ценообразования..........................................................62
2.8. Скидки как инструмент ценовой политики предприятия .......76
Вопросы для самоконтроля .............................................................83
3. РАСПРЕДЕЛЕНИЕ ТОВАРОВ ..........................................................85
3.1. Каналы распределения и их характеристика............................85
3.2. Составные элемнеты каналов распределения ..........................92
3.3. Транспортировка........................................................................98
Вопросы для самоконтроля ...........................................................100
4. ПРОДВИЖЕНИЕ. СОЗДАНИЕ И УПРАВЛЕНИЕ КОМПЛЕКСОМ
МАРКЕТИНГОВЫХ КОММУНИКАЦИЙ...................................101
4.1. Основные средства коммуникации и их характеристика ....101
4.2.Расчет общего бюджета на продвижение................................104
4.3. Реклама......................................................................................106
4.4. Стимулирование сбыта ............................................................113
4.5. Связи с общественностью.......................................................116
Вопросы для самоконтроля ...........................................................120
БИБЛИОГРАФИЧЕСКИЙ СПИСОК ..................................................122
ВВЕДЕНИЕ
Предприятие, работая на рынке с использованием концепции маркетинга или еще на более высоком уровне – с использованием концепции социальноэтичного маркетинга, оперирует в своей деятельности определенными инструментами воздействия на рынок: продукт, цена, способы доведения продукта до потребителя и продвижение продукта (promotion). Эти инструменты в совокупности носят название комплекс маркетинга или маркетинг микс. Манипулируя данными управляемыми параметрами маркетинговой деятельности, организация старается наилучшим образом удовлетворить потребности целевых рынков.
Учебное пособие по дисциплине «Маркетинг» состоит из двух частей. Первая часть «Концепция маркетинга в управлении предприятием» содержит разделы: маркетинг в системе управления предприятием, стратегическое планирование маркетинга, маркетинговые исследования, исследование и анализ рыночной ситуации.
Вторая часть «Основные инструменты комплекса маркетинга» состоит из разделов: товар и товарная политика, ценовая политика, распределение товаров, продвижение, создание и управление комплексом маркетинговых коммуникаций. Вторая часть учебного пособия является логическим продолжением первой части, дает подробное представление о способах взаимодействия предприятия с целевым рынком.
Товар – один из основных инструментов воздействия на рынок. Расширенное понятие товара, представление его в виде трех и более уровневой (мультиатрибутивной) модели позволяет предприятию более качественно удовлетворять потребности целевого рынка. В процессе присвоения товару марочного названия предприятие попутно разрешает целый ряд проблем, связанных с поддержкой торговой марки, с марочным названием (индивидуальным, групповым или общим для всей продукции компании), и ряд других. Предприятие должно принимать грамотные решения в области товарной номенклатуры и ассортимента своей продукции. Очень важно уметь оценивать стадии жизненного цикла выпускаемой продукции. Своевременная разработка и выведение на рынок новой продукции позволит предприятию избежать банкротства.
Разработка политики в области ценообразования – очень ответственный момент в деятельности предприятия. Цели ценовой политики должны быть подчинены основным целям предприятия на рынке и учитывать все факторы, оказывающие влияние на формирование цен, как внутренние, так и внешние. Гибкая ценовая политика позволит фирме более эффективно работать на выбранном рынке, для этого необходима оценка эластичности спроса по цене. Предприятие должно уметь правильно выбирать ценовые стратегии и мето-
ды ценообразования в зависимости от конкурентной ситуации на рынке, состояния спроса и потребительского поведения.
Доставка продукта до потребителя – важное звено в деятельности предприятия. Необходимо решить проблему создания собственных каналов распределения или использовать возможность подключения к существующим каналам, выбрать наиболее оптимальный способ транспортировки товара.
Предприятие в своей деятельности использует определенные средства коммуникации. Необходимо тщательно проработать вопрос об использовании тех или иных средств коммуникации, рассчитать бюджет на продвижение по одному из методов и попробовать оценить эффект от вложенных в продвижение финансовых ресурсов.
Учебное пособие по дисциплине «Маркетинг» ч.2 позволяет студентам с достаточной степенью глубины и за короткое время освоить основные положения теории маркетинга в области инструментов воздействия на целевой рынок. Пособие может быть использовано студентами для подготовки к практическим занятиями самостоятельной работы по дисциплине, а также практическими работниками промышленных предприятий при совершенствованиии корректировке товарной, ценовой политики предприятия, политики в области распределения и продвижения продукции.
1. ТОВАР И ТОВАРНАЯ ПОЛИТИКА
1.1. ПОНЯТИЕ, УРОВНИ, КЛАССИФИКАЦИЯ ТОВАРОВ
Товар – все, что может удовлетворять желание или потребность и предлагается рынку с целью привлечени явнимания, приобретения, использования или потребления. Это могут быть физические объекты, услуги, лица, организации и идеи.

Рис. 1.1
Товар по замыслу – способ решения проблемы, либо основная выгода, ради которой потребитель приобретает товар.
Товар в реальном исполнении – уровень качества, набор свойств, внешнее оформление, название марки, упаковка и другие свойства, в совокупности определяющие выгоду от приобретения основного товара.
Товар с подкреплением – дополнительные услуг и преимущества для потребителя, создаваемые на основе товара по замыслу и товара в реальном исполнении.
Классификация товаров широкого потребления
| Параметр сравнения |
Товары повседневного спроса |
Товары предварительного выбора |
Товары особого спроса |
Товары пассивного спроса |
| Пример товаров |
Зубная паста, смеси для кексов, туалетное мыло, моющие средства |
Фотокамеры, телевизоры, портфели, одежда |
Автомобили РоллсРойс", ручные часы Ролекс" |
Могильные участки, страхование жизни, энциклопедии |
| Цена |
Сравнительно низкая |
Довольно высокая |
Обычно очень высокая |
Колеблющаяся |
| Канал распределения |
Широкая сеть торговых точек |
Большое количество выбранных торговых точек |
Крайне ограниченное распространение |
Как правило ограниченное распространение |
| Продвижение |
Акцент на отличия от товаров конкурентов |
Акцент на цене, доступности и создании осведомленности |
Акцент на уникальности и престижности марки |
Важное значение имеет формирование осведомленности |
| Приверженность потребителя торговой марки |
Осведомлен о марке, но может принять ее заменитель |
Предпочитает определенные марки, но может принять и их заменители |
Весьма привержен конкретной марке; не приемлет заменителей |
Готов принять заменители |
| Покупательское поведение потребителя |
Частые покупки; незначительные траты времени и усилий на совершение покупки; обыденное принятие решений |
Редкие покупки; сравнение товаров между собой; определенные затраты времени на принятиерешения |
Редкие покупки; тратит много времени на принятие решения и на приобретение товара |
Крайне редкие покупки; покупки на основе некоторого сравнения товаров между собой |

1.2. МАРКИ И РЕШЕНИЯ, СВЯЗАННЫЕ С ИХ УПРАВЛЕНИЕМ
Марка (brand) – название, понятие, знак, символ, дизайн или комбинация выше перечисленных составляющих, предназначенная для идентификации предлагаемых продавцом (группой продавцов) товаров или услуг, а также для их отличий от товаров и услуг конкурентов.
Бренд используется как синоним термина «марка». В известной мере ©бренд» по сравнению с «маркой» более эмоциональное, чем содержательное понятие. Это известная, престижнаямарка.
Марка производителя – марка, созданная производителем или взятая в аренду у другого производителя.
Марка частная – марка, разработанная торговым (оптовым или розничным) предприятием. Иногда может называться посреднической маркой, маркой дистрибьютера, маркой дилера.

Подходы к присвоению
марочного названия
| Присваиваемые марочные названия |
Предпосылки использования подхода |
Недостатки подхода |
Примеры |
|
| Индивидуальное марочное название для каждого товара |
Производитель не уверен в успехе товара или не хочет связывать свою репутацию с репутацией продуктов. Имя производителя не достаточно известно или неудобно для названия марки. Имеется несколько владельцев марки |
Высокие затраты на поддержку каждой марки в отдельности. Нестабильность репутации при наличии нескольких владельцев |
«Coca-Cola»: название производителя неудобно в качестве марочного названия. «Столичная»: свидетельствует об оригинальности продукта, но принадлежит нескольким владельцам |
|
| Единое марочное название для всех товаров |
Создание поддержки товару с помощью репутации фирмы. Минимизация затрат на рекламу. Повышение узнаваемости марки |
Неуместно для негармоничных товарных групп. Затраты по разъяснению потребителям своих позиций в случае неудачи товара |
Косметика «Herbina», «Lumene», Довгань, бытовая техника «Unit». Предметы для сервировки и храненияп родуктов «Tupperware» |
|
| Общее марочное название для товарного семейства |
Создание индивидуальности для схожих товаров, с разной направленностью действия (для похудания и наоборот) или предназначенных разным сегментам |
Репутация продукта неподдерживается известностью производителя |
Молочные продукты «Корона», ©РН 5,5» |
|
| Сочетание индивидуального марочного названия с именем фирмы |
Поддержка репутации марки известностью производителя. Обеспечение узнаваемости марки с одновременным сохранением ее индивидуальности |
Качество всей продукции должно быть высоким |
L’Oreal (Plenitude, Elseve), Carnier, Nivea |
|

Рис. 1.4
Расширение линии (семейства марки) – происходит тогда, когда компания предлагает ряд дополнительных качеств в пределаходной товарной категориии торговой марки, например придает товару новые вкусовые качества, форму, цветовое решение, изменяет составили форму упаковки.
Расширение границ использования марки – использование успешных марочных названий для выпуска новых или модифицированных товаров в новой категории.
Многомарочный подход (мультимарки) – продавец разрабатывает две или более марок для одной категории товаров. При стратегии многомарочного подхода производитель управляет целым спектром торговых марок в рамках одной товарной категории, что позволяет точнее сегментировать рынок за счет того, что каждая марка предлагает различные функциии преимущества целевым сегментом покупателей.
Новые марки – компания начинает производство новой категории товаров и приходит к выводу о необходимости создания новой торговой марки.
1.3. ТОВАРНЫЙ АССОРТИМЕНТ И ТОВАРНАЯ НОМЕНКЛАТУРА
Товарный ассортимент (товарная линия)

Товарная номенклатура – совокупность всех ассортиментных групп товаров и товарных единиц, предлагаемых покупателям конкретным продавцом.

Рис. 1.6
1.4. ЖИЗНЕННЫЙ ЦИКЛ ТОВАРА
Жизненный цикл товара (ЖЦТ) – изменение объема продажи прибылей на протяжении времени его жизни. Состоит из пяти ясно различимых этапов: разработка товара, выведение на рынок, рост, зрелость и упадок.

Рис. 1.7

Рис. 1.8

Рис. 1.9
Жизненный цикл товара: основные характеристики, цели и стратегии маркетинга
| Параметры |
Периоды |
|||
| Внедрение |
Рост |
Зрелость |
Спад |
|
| Характеристики |
||||
| Объем продаж |
Небольшой |
Быстро растущий |
Достигает пика |
Уменьшающийся |
| Издержки |
Большие в расчете на одного потребителя |
Средние в расчете на одного потребителя |
Низкие в расчете на одного потребителя |
Низкие в расчете на одного потребителя |
| Прибыль |
Отсутствует |
Растущая |
Высокая |
Уменьшающаяся |
| Потребители |
Любители всего нового |
Потребители, первыми признавшие товар |
Массовый рынок |
Отстающие |
| Число конкурентов |
Незначительное |
Постоянно растущее |
Стабильное, начинающее уменьшаться |
Убывающее |
| Цели маркетинга |
Информирование потребителей о товаре |
Максимизация доли рынка |
Максимизация прибыли и защита доли рынка |
Уменьшение расходов и поддержание уровня сбыта |
| Стратегии |
||||
| Товар |
Предложение основного товара |
Предложение расширенного семейства продуктов, услуг, гарантий |
Диверсификация мароки моделей |
Исключение слабых" |
| Цена |
Стоимость плюс наценка |
Цена с целью проникнуть на рынок |
Цена, соответствующая ценам конкурентов |
Уменьшенная |
| Распределение |
Селективное |
Интенсивное |
Более интенсивное |
Избирательное, закрытие убыточных торговых точек |
| Реклама |
Создание осведомленности о товаре среди первых покупателей и дилеров |
Создание осведомленности о товаре на массовом рынке |
Подчеркивание особенностей марки их преимуществ |
Уменьшение интенсивности до необходимого уровня, чтобы удержать ярых приверженцев |
| Стимулирование сбыта |
Усиленное стимулирование сбыта с целью опробовать и оценить товар |
Умеренное с целью воспользоваться преимуществами высокого потребительского спроса |
Усиленное для поощрения переключения на свою торговую марку |
Уменьшение доминимального уровня |
Метод определения фазы жизненного цикла товара
Метод Polli-Cook определения фазы ЖЦТ, предложенный американскими учеными, основан на анализе изменения величины сбыта во времени. Предположим, в группу входит n
товаров
. Обозначим величину сбыта этих товаров в году t
через
, а в году (t
+1) – через
. Тогда изменение сбыта этих товаров по сравнению с предыдущим годом:
![]()
Допустим, что эти изменения распределены по нормальному закону со средним
и дисперсией
.
Тогда товар относится к фазе спада, если рост его сбыта меньше, чем величина
. Если рост сбыта больше, чем
, то товар относится к фазе роста. Если изменения сбыта таковы, что
, то товар причисляется к фазе зрелости или насыщения.

Условия применения маркетинговых стратегий на стадии внедрения товара
| Стратегия |
Условия |
| Быстрое «снятие сливок» с рынка |
1. Большая часть потенциальных покупателей не осведомлена о товаре. 2. Те, кто информирован о товаре, готовы приобрести его и заплатить за него высокую цену. 3. Фирма считается с возможностью конкуренциии стремится выработать у потенциальных покупателей предпочтительное отношение к своему товару |
| Медленное ©снятие сливок» с рынка |
1. Емкость рынка ограничена. 2. Большая часть покупателей осведомлена о товаре. 3. Те, кто информирован о товаре, готовы приобрести его по высокой цене. 4. Конкуренция почти отсутствует |
| Быстрое проникновение на рынок |
1. Емкость рынка достаточно велика. 2. Потенциальные покупатели сравнительно плохо осведомлены о товаре. 3. Большинство покупателей не будут платить за товар высокую цену. 4. На рынке имеются товары конкурентов. 5. Издержки на единицу товара уменьшаются с увеличением масштабов производства и его совершенствованием |
| Медленное проникновение на рынок |
1. Рынок имеет большую емкость. 2. Покупатели хорошо осведомлены о товаре. 3. Покупатели будут покупать товар только по относительно не высоким ценам. 4. Имеется потенциальная опасность конкуренции |
Основные стратегии маркетинга на стадии зрелости продукта
| Стратегия |
Мероприятия |
| Модификация рынка |
Увеличение объема продаж: 1. Завоевание доверия потребителей, не пользовавшихся ранее товарами или услугами данной фирмы. 2. Вывод товара на новые сегменты рынка. 3. Переключение внимания и интересов клиентов компаний конкурентов на товары, производимые вашей фирмой. 4. Стимулирование более интенсивного потребления товара покупателями (более частое использование товара; более интенсивное многократное применение товара одним покупателем; разнообразие возможностей и способов использования товара) |
| Модификация товара |
1. Повышение качества товара. 2. Улучшение свойств товара. 3. Улучшение внешнего дизайна и оформления товара |
| Модификация маркетинга микса |
1. Организация непрерывного мониторинга за направлениями использования инструментария маркетинга. 2. Формирование и внедрение мероприятий с оптимальным целевым сочетанием инструментов маркетинга |
ВОПРОСЫ ДЛЯ САМОПРОВЕРКИ
1. Поясните возможные цели представления товара в виде мультиатрибутивной модели.
2. Представьте следующие товары в виде мультиатрибутивной модели:
а) услуги парикмахерской;
б) услуги ателье по пошиву одежды;
в) услуги стоматологической клиники;
г) услуги мастерской по ремонту обуви;
д) услуги салона по продаже автомобилей.
3. Назовите цели классификации товаров потребительско горынка.
4. Что является основой классификации товаров производственного назначения?
5. Что является причиной присвоения производителями марочного названия для своего нового товара?
6. Каковы требования к марочному названию?
7. Назовите возможные решения производителя при присвоении марочного названия.
8. Перечислите и прокомментируйте четыре марочные стратегии в области торговых марок.
9. Как связаны между собой понятия товарный ассортимент и товарная номенклатура?
10. Возможные решения по расширению товарного ассортимента?
11. Раскройте содержание характеристик товарной номенклатуры (широта, насыщенность, глубина, гармоничность).
12. Перечислите и кратко охарактеризуйте этапы жизненного цикла товара.
13. Дайте характеристику основных маркетинговых стратегий производителя на стадии внедрения товара.
14. Какие решения может принять производитель для продления этапа зрелости своего товара?
15. Как изменяется размер прибыли производителя от начального этапа жизненного цикла товара до его последнего этапа?
16. Назовите основные характеристики потребителей по этапам жизненного цикла товара.
17. Как можно соотнести квадраты матрицы Бостонской консультационной группы (БКГ) с этапами жизненного цикла товара?
18. Как определить на практике, на каком этапе жизненного цикла находится тот или иной товар производителя?
2. ЦЕНОВАЯ ПОЛИТИКА
2.1. ПОНЯТИЕ ЦЕНЫ И ЕЕ ФУНКЦИИ
Цена – количество денег, запрашиваемых за товар, или сумма благ, ценностей, которыми готов пожертвовать потребитель в обмен на приобретение определенного товара.
Цена – это денежное выражение ценности продукта для потребителя.
Ценность – этозначимость (польза) продукта для потребителя. Ценность продукта определяется как факторами предложения, так и факторами спроса. Для покупателя, приобретающего тот или иной товар, цена является «экономической жертвой». Покупатель постоянно сравнивает эту жертву со своим представлением о ценности (пользе) товара и приобретает товар тогда, когда, по его мнению, ценность товара, оцененная им в деньгах, выше цены товара. Для продавца цена представляет собой вознаграждение за результат труда.
Функция цены является внешним проявлением внутреннего содержания цены. К функциям цены относят только то, что являтся характерным для всех видов цены без исключения. В современной экономической науке принято выделять шесть функций цены:
1) учетная;
2) стимулирующая;
3) распределительная;
4) функция балансирования спроса и предложения;
5) функция цены как критерия рационального размещения производства; 6) измерительная и соизмерительная функция.
Учетная функция цены определяется сущностью ее как денежного выражения стоимости. Благодаря цене удается измерить, определить стоимость товара, иначе говоря, определить, какое количество денег покупатель должен заплатить, а продавец получить за проданный товар. Ценыдаютвозможность деньгам как платежному средству обрести количественную определенность в акте купли-продажи. Таким образом, цена выступает тем экономическим инструментом, который позволяет организовать стоимостный учет хозяйственных процессов, измерения их результатов.
Цена дает возможность сопоставлять самые различные потребительские свойства товаров и услуг исходя из затрат труда. Цена показывает, во что обходится обществу обеспечение потребности в конкретной продукции. Она дает возможность выявить, сколько затрачено труда, сырья, материалов, комплектующих изделий на производство и реализацию товара. Цена определяет как величину издержек производства и обращения, так и размер прибыли.
Сущность стимулирующей функции цены заключается в том, что фактическая цена товара может способствовать или же, наоборот, противостоять объемами техническому уровню производства и потребления тех или иных товаров.
Поскольку всякому производителю выгодно продавать свою продукцию по возможно более высокой по сравнению с произведеннымиим затратами цене, цена может стимулировать: научно технический прогресс; модернизацию проиводства; экономию энергии, материальных и трудовых ресурсов; изменение структуры производства и потребления применительно к тем или иным рынкам.
Более высокая цена позволяет производителю получать более высокую прибыль. Это означает, что производитель будет стремиться производить и поставлять на рынок такую продуцию, которая может найти более эффективный сбыт. Выгодным оказывается производить те товары и такого качества, которые представляют интерес для покупателя. Выгодным становится применение современных технологических процессов, оборудования, методов организации, управления и контроля. Наоборот, устаревшие технологии, приводящие к увеличению затрат на производство, становятся невыгодными и должны быть заменены.
Распределительная функция цены связана с отклонением цены товара от его стоимости в рамках действия рыночных факторов. На основании объективно возникающей цены происходитпе рераспределение дохода между различными экономическими субъектами. Цены выступают инструментом распределенияи перераспределения национального дохода между регионами, отраслями экономики, ее секторами, различными формами собственности, фондами накопления и потребления, различными социальными группами населения.
С помощью цены перераспределяется создаваемая стоимость между производителеми потребителем, между отдельнымислоями общества. Особенно рельефно эта функция проявляется в ценах, регулируемых государством.
Функция балансирования спроса и предложения. Через цены осуществляется связь производства и потребления, предложения и спроса. По цене можно судить о наличии или отсутствии необходимых пропорций в производстве и обращении. При появлении диспропорций в хозяйстве равновесие может быть достигнуто или изменением объема производства, или изменением цены, или одновременным изменением того и другого. Цена объективно воздействует на производителя, заставляя его повышать качество и расщирять ассортимент товаров. В условиях рынка, реализуя эту функцию, цена как бы выполняет роль стихийного регулятора общественного производства. Как следствие постоянных колебаний цен в рамках жизненного цикла товара (внедрение, рост, зрелость, насыщение, спад) происходит и перелив капитала из одной сферы в другую. Свертывается производство продукции, не пользующейся спросом, а ресурсы направляются на увеличение производства необходимых рынку товаров и услуг.
Функция цены как критерия рационального размещения производства . Эта функция проявляется в том, что с помощью механизма цен для получения более высокой прибыли осуществляется перелив капиталов из одного сектора экономики в другой. Под воздействием законов рынка предприятия самостоятельно принимают решение о перемещении капиталов в те сектора экономики, где за счет более высокой продажной цены можно получить более высокую прибыль на единицу вложенных средств.
Измерительная и соизмерительная функция цены. Цена отражает различные издержки изготовителя. Зная цену рабочей силы, а также сумму денег, которую покупатель должен уплатить, а продавец – получить за проданный товар, можно вычислить величину денежных платежей за продаваемые товары. В этом состоит измерительная функция цены.
Если исходить из того, что в условиях рынка цена отражает полезность данного товара для покупателя, то можно по соотношению цен судить о полезности различных товаров. В этом состоит соизмерительная функция цены.
2.2. КЛАССИФИКАЦИЯ ЦЕН
Российские топ менеджеры в основном не имеют специального образования по проблемам ценообразования и поэтому недооценивают его роль в повышении прибыльности бизнеса. На большинстве предприятий нет даже ясности в том, кто должен заниматься ценообразованием: экономическая служба, маркетинговая или коммерческая?
Либерализация процедуры ценообразования (ликвидация государственного контроля за ценами, кроме стратегически важных и социально значимых: цены на нефть, газ, уголь, электроэнергию, тарифы ЖКХ, тарифы внутри городского транспорта и тп.) предполагала переход к рыночному ценообразованию. Но в основе действительно рыночного ценообразования должна нормально действовать система защиты конкуренциии ограничения монополизма, чтобы был возможен компромисс между продавцом и покупателем.
Становление рыночного ценообразования – процесс довольно длительный. Многие фирмы уже переболели тягой к «ценовым войнам», научились использовать скидки на свои товары, имеют опыт работы с брендами. Однако многое из арсенала современного ценообразования отечественные маркетологи еще неосвоили. Ниже приводится некоторая схематизированная система подготовки маркетологов по узловым вопросам данной темы.

Каждый блок цен и каждая отдельная цена, являясь частью системы цен, несут строго определенную экономическую нагрузку.
Классификация цен
Цены, обслуживающие национальную экономику , формируемые с
учетом особенностей отраслей национального хозяйства.
Цены оптовые на продукцию промышленности – цены, по которым промышленная продукция реализуется всем категория мпотребителей (кроме населения) независимо от форм собственности.
Цены закупочные – цены, по которым сельскохозяйственная продукция
продается колхозами, совхозами, фермами и населением (продукция личных хозяйств).
Цены на строительную продукцию представляют собой либо сметную стоимость объекта (предельный размер затрат на строительство каждого объекта), либо усредненную сметную стоимость единицы конечной продукции типового строительного объекта (за 1 м3 жилой площади, 1 м2 малярных работи тд.).
Тарифы грузового и пассажирского транспорта – плата за перемещение грузов и пассажиров, которая взимается транспортными орагнизациями с отправителей грузов и населения.
Цены на потребительские товары используются для реализации товаров в розничной торговой сети населению и организациям. Они обслуживают оборот товаров, которые, как правило, выбывают из сферы обращения и потребляются в домашнем хозяйстве или в производстве.
Тарифы на услуги – система ставок, по которым предприятия сферы услуг реализуют их потребителям.
Названные цены относятся к классу национальных и должны прежде всего возмещать затраты на производство и реализацию товаров и услуг, а также обеспечивать прибыль национальным производителям.
Цены внешне торговые , по которым осуществляется экспорт отечественных и импорт зарубежных товаров и услуг. Формирование цен этого класса принципиально отличается от формирования национальных цен. При расчете внешнеторговых цен наиболее плодотворен метод использования конкурентных материалов, те. информации о ценах фирм, производящих и реализующих на мировом рынке аналогичную или близкую по технико экономическим параметрам продукцию.
Цены экспортные – цены, по которым российские производители или внешнеторговые организации продают отечественные товары (услуги) на мировом рынке. Алгоритм формирования этих цен таков:

Рис. 2.2
Цены импортные – цены, по которым российские фирмы закупают товары (услуги) зарубежом. Цены на импортную продукцию устанавливаются на базе таможенной стоимости импортного товара с учетом таможенных импортных пошлин, валютного курса, расходов на реализацию данного товара внутри страны. Значительное место в структуре импортных цен занимают косвенные налоги – акциз и налог на добавленную стоимость.
Установление цен постепени участия государства в ценообразовании
Цены рыночные товаров (работ, услуг) – цены, складывающиеся в процессе взаимоотношений субъектов ценообразования на рынке под влиянием конъюнктуры.
Рыночные цены по условиям их формирования подразделяются на свободные, монопольные и демпинговые.
Цены свободные – рыночные цены, складывающиеся под влиянием спроса и предложения свободной конкуренции. Такие цены складываются, например, на вычислительную технику на российском компьютерном рынке в условиях множества конкурирующих продавцов и покупателей.
Цены монопольные (высокие, низкие) – рыночные цены, формирующиеся в условиях доминирующего положения одного или нескольких субъектов ценообразования. Так, в период либерализации цен некоторые крупные российские коммерческие структуры в условиях естественного монопольного положения на рынке устанавливали цены на свою продукцию значительно выше среднего уровня. Монопольные цены используются для извлечения дополнительной прибыли.
Цены демпинговые – рыночные цены, уровень которых сознательно занижен одним или несколькими субъектами ценообразования в сравнении со сложившимся рыночным уровнем цен. Используются как средство вытеснения конкурентов с рынка и увеличения объема продаж. К ним обычно относят цены ниже издержек производства.
Ценырегулируемые – цены, складывающиеся на рынке в процессе прямого государственного воздействия. Регулируемые цены по условиям их формирования подразделяются на фиксированные и предельные цены.
Цены фиксированные – регулируемые цены твердоопределенной величины. Устанавливаются, например, на природный газ, электро- и теплоэнергию, перевозку грузов железнодорожным транспортом.
Цены предельные – регулируемые цены, ограниченные нижним или верхним пределом, предельными размерами снабженческосбытовых или торговых надбавок, предельным уровнем рентабельности.
К государственным методам регулирования цен относятся предварительное уведомление цени их декларирование.
Установление цен по стадиям ценнообразования
Отражает количественную взаимосвязь между ценами, складывающимися по мере движения товаров (работ, услуг) от производителя к конечному потребителю. Цена на каждой предыдущей стадии движения товаров является элементом цены последующей стадии. Формирование различных видов цен в процессе движения товаров (работ, услуг) представлено на рис. 2.3.

Рис. 2.3
Цены оптовые изготовителя формируются на стадии производства товаров (работ, услуг), являются промежуточными, должны компенсировать затраты производителя товаров (работ, услуг) на изготовление и реализацию и обеспечить планируемую предприятием прибыль.
Пример. Расчет оптовой цены изготовителя.
Себестоимость выпуска товара – 4000 руб. за единицу, планируемая производителем рентабельность – 20 % к затратам.
Свободная оптовая цена изготовителя составит: 4000 + (4000 х 20 : 100) = 4800 руб.
Цены оптовые отпускные включают помимо цен изготовителя косвенные налоги – акциз и налог на добавленную стоимость. Обеспечивают начисление косвенных налогов, составляющих важнейшие статьи доходов федерального бюджета. Ставка акциза по подакцизным товарам отечественного производства установлена в процентах к отпускной цене без НДС (но с акцизом) и показывает долю акциза в этой цене. Наиболее часто встречающаяся ошибка при расчете цен – применение ставки акциза в процентах к цене изготовителя.
Ставка НДС установлена в процентах к отпускной цене без этого налога, но имеет иной смысл. Ставка НДС показывает, насколько процентов нужно увеличить отпускную цену без НДС, чтобы включить в нее этот косвенный налог. Пример. Расчет оптовой отпускной цены.
Свободная цена изготовителя – 4800 руб. за единицу товара, ставка акциза – 20%, ставка налога на добавленную стоимость – 18%. Свободная оптовая отпускная цена товара без НДС (но с акцизом) составляет: 4800 : (100% –
– 20%) = 6000 руб. Свободная оптовая отпускная цена того же товара с НДС равна: 6000 + (6000 х 0,18) = 7080 руб.
Цены оптовые закупки формируются на стадии посредничества. Помимо оптовой отпускной цены включают посреднические надбавки (скидки). Обеспечивают необходимые финансовые условия для работы посреднического звена. Посредническая скидка (надбавка) в российской практике может иметь разные названия (например, снабженческосбытовая скидка или надбавка, комиссионное вознаграждение или сбор и тд.). Но в любом случае – это цена за услуги посредника по продвижению товара от производителя к потребителю . В абсолютном выражении посредническая скидка и надбавка совпадают, поскольку исчисляются как разница между двумя ценами. Разница между понятиями «скидка» и «надбавка» появляется, если они приводятся в относительном (процентном) выражении. Тогда надбавка – это начисление на цену приобретения товарау поставщика, а скидка – доля конечной цены реализации товара покупателю, остающаяся в распоряжении посредника.
Посредническая скидка (надбавка) используется для компенсации издержек обращения посредника, уплаты НДС и формирования прибыли. Ставки НДС для посреднических организаций установлены в процентах к посреднической скидке (надбавке). Возможны два варианта расчета оптовой цены закупки .
По первому варианту она определяется как разница междуценой реализации продукции посредником потребителю (предприятию потребителю, другому посреднику, торговой организации) и ценой, по которой товар был куплен у поставщика (изготовителя, посредника).
По второму (наиболее распространенному) варианту оптовая цена за-
купки рассчитывается как сумма составляющих ее элементов.
Пример. Расчет оптовой цены закупки по второму варианту.
Оптовая отпускная цена единицы товара – 7080 руб., издержки обращения посредника – 700 руб. на единицу товара, планируемая посредником рентабельность – 30%, НДС для посредника – 15,25%. Сначала определяется прибыль посредника: 700 х 0,3 = 210 руб. Сучетомтого, что в надбавке НДС составляет 15,25%, а издержки обращения с прибылью – 84,75% (100 – 15,25), величина посреднической надбавки будет равна: [(700 + 210): 84,75 х 100]= =1074 руб. Тогда минимальная оптовая цена закупки – (7080 + 1074) = = 8154 руб.
Цены розничные устанавливаются в сфере розничной торговли. Помимо оптовых цен закупки включают торговые скидки (надбавки). Обеспечивают необходимые условия для прибыльной работы розничной торговли.
Пример. Расчет розничной цены.
Оптовая цена закупки составляет 8154 руб. за единицу товара, а планируемая магазином торговая надбавка – 25%. Розничная цена рассчитывается следующим образом:
8154 + (8154 х 25 : 100) = 8154 + 2038,5 = 10192,5 руб.
Группировка цен по их транспортной составляющей
Осуществляется в зависимости от порядка транспортных расходов. На практике это отражается в системе франкирования цен. Франко означает, до какого пункта на пути продвижения продукции от изготовителя к потребителю транспортные расходы включены в цену. В современной практике ценообразования применяется система цен ©франко». Их взаимосвязь показана на рис. 2.4.
Из данной схемы ясна роль географического (транспортного) фактора в формировании цен. Так, прицене франко склад поставщика все расходы по доставке продукции со склада поставщика до конечного пункта назначения оплачивает покупатель сверх цены приобретения товара. При такой цене потребители заинтересованы в минимизации транспортных расходов, покупке товаров в близлежащих географических пунктах.

Рис. 2.4
Напротив, цена франко склад потребителя показывает, что в цену включены все тарнспортные расходы. Этот метод предполагает формирование фирмой единой цены для всех покупателей независимо от их местоположения с включением в нее одинаковой суммы транспотных расходов, которая рассчитывается как средняя стоимость всех перевозок. Такая цена особенно выгодна покупателям, которые удалены от места производства продукции, когда фактические транспортные расходы превышают средние расходы.
Дифференциация цен по характеру содержащейся в них информации строится на учете специфики этой информации.
Цены фактических сделок содержат информацию о реальныхценах купли продажи товаров (услуг) на рынке. Фиксируются в специальных коммерческих документах– контрактах и счетах, отражаютреальныеусловия сделки: количество и качество товара, сроки и условия поставки, условия платежа, гарантии и тд., согласованные реальными продавцамии покупателями. Цены фактических сделок в большинстве случаев выступают в качестве надежного индикатора реального состояния того или иного рынка товаров и услуг. Однако получить информацию об этих ценах трудно из-за того, что они составляют коммерческую тайну фирмы. Кроме того, анализ этих цен весьма сложен из-за значительной их дифференциациив зависимости от специфики реальных сделок.
По способу установления цены фактических сделок подразделяются на
твердые подвижные (скользящие) цены и цены с последующей фиксацией.
Твердые цены фактических сделок устанавливаются в момент оформления контракта и неизменяются в течение всего срока его действия. Как правило, они используются в сделках, предусматривающих немедленную поставку товаров или их поставку в короткий срок. Существенное влияниена использование этих цен оказывает устойчивость конъюнктуры рынка.
Цены с последующей фиксацией применяются при исполнении контракта, в котором указаны момент и принцип фиксации, например, перед поставкой каждой партии товара и перед началом каждого календарного года. Подвижные (скользящие) цены фактических сделок определяются в момент заключения конракта, но при этом делается оговорка об их пересмотре в период исполнения конракта при изменении согласованных элементов цены или конъюнктуры рынка. Подвижные (скользящие) цены применяются в основном в долгосрочных конрактах на поставку товаров и при неустойчивости конъюнктуры рынка этих товаров.
В условиях высокой инфляции в России все большее распространение
получают различные формулы скольжения цен, включаемые в контракты.
Приведем формулу скольжения:
где Цi – окончательная цена товара (объекта, услуги); Ц0 – базисная цена на дату заключения контракта;
А, В, С – удельные веса элементов затрат на производство товара (сооружение объекта, оказаниеуслуг), А + В + С = 1;
А – неизменная часть цены, независящая от уровня инфляции (косвенные затраты, планируемая норма прибыли); В – доля сырья и материалов в цене; С – доля оплаты труда в цене;
М1 , М0 – текущиеибазисные цены на сырье и материалы; З1 , З0 – текущие и базисные уровни оплаты труда.
Цены аукционные информируют участников рынка о возможности покупки или продажи товара на аукционе. Аукционныеторгиначинаютсясобъявленияномерапартии (лота) истартовойцены. Вкачественачальнойценыможетбыть принята конечная цена предыдущего аукциона. Уровень стартовой цены устанавливается с учетом информации о стоимости и качестве товара, соотношении сил продавцов и покупателей, техники проведения торгов. Чем чаще производятся аукционные торги, тем меньше ценовые разрывы. Это объясняется не значительными изменениями издержек производства и конъюнктуры рынка во времени. Обычно товар реализуется на аукционе по максимальной цене, предложенной покупателем. Аукционные цены играют ключевую роль на рынках пушномеховых изделий, драгоценных камней, антиквариата.
Цены биржевые отражают результаты биржевых торгов. Цены биржевой торговли информируют в основном о состоянии спроса и предложения на данный товар. Обычно товары на биржах продаются и покупаются без предъявления и осмотра.
Сделки заключаются на основании типовых биржевых контрактов, жестко регламентирующих качество и сроки поставки. Цены биржевой торговли распространяются в основном на массовые сырьевые и продовольственные товары: зерновые и масличные культуры, цветные металлы, лесное сырье, пищевкусовые товары и др.
Цены справочные информруют покупателей об условиях продажи товаров работ, услуг) производителем (продавцом). Они отражают, как правило, интересы продавца, являютсяориентировочными и могут заметно отклоняться от цен фактических сделок. Для поставщиков справочные цены служат базой определения цен предложения, а для покупателей – ориентиром для уторговывания (согласования) цены сделки. Разница между справочными ценамии ценами реальных сделок составляет 7–30 % в зависимости отособенностей контрактов и состояния конъюнктуры рынка. Справочные цены широко публикуются объединениями производителей, информационными агентствами и бюро, консультационными и брокерскими фирмами. Сведения о справочных ценах можно получить без каких либо затруднений. По форме представления справочные цены подразделяются на цены пред-
ложения и цены прейскурантов (каталогов, проспектов).
Цены предложения устанавливают производители без согласования с потребителями, но с учетом основных условий сделки и конъюнктуры рынка. Они могут быть рассчитаны также с учетом экономического эффекта, получаемого покупателем при приобретении нового товара вместо старого. Определяя цены предложения, важно знать особенности потребления продукции в той или иной стране, поскольку одни и теже потребительские свойства товара могут по разному оцениваться потребителями. Информация о ценах предложения предоставляется по запросам покупателей.
Цены прейскурантов (каталогов, проспектов) публикуются фирмами производителями (часто с краткой характеристикой технико- экономических параметров изделий). Как и цены предложения, служат базой для процесса уторговывания при заключении сделок.
Ценовые индексы – показатели динамики цен за определенный период. Ценовые индексы индивидуальные – информируют о динамике цен отдельных товаров (работ, услуг) и рассчитыватся как отношение цены отчетного периода к цене периода, принятого за базу для сравнения:
где I и – индивидуальный индекс цен; Цi 0 , Цi 1 – цены i го товара (услуги) соответственно в базисном и отчетном периодах.
Ценовые индексы сводные – содержат информацию о динамике цен группы товаров (услуг). Определяются как отношение стоимости группы товаров, проданных в отчетном периоде, исчисленной в фактических ценах и ценах базисного периода. Таким образом рассчитывается, например, индекс цен предприятий производителей на промышленную продукцию (I c ):

где Q i 1 – количество i- го товара в отчетном периоде; n – число i- х товаров, входящих в группу.
Ценовые сводные индексы используются в качестве одного из основных
показателей инфляционных процессов в реальном секторе экономики.
2.3. ЦЕЛИ ЦЕНОВОЙ ПОЛИТИКИ ПРЕДПРИЯТИЯ И ФАКТОРЫ ЦЕНООБРАЗОВАНИЯ
Ценовая политика предприятия – этоустановление (определение) цен, обеспечивающих выживание предприятия в рыночных условиях; включает выбор метода ценнообразования, разработку ценовой системы предприятия, выбор ценовых рыночных стратегий.

Определение начальной цены на новую продукцию предприятия протекает по схеме, представленной выше.
Далее будут рассмотрены отдельные этапы данного процесса. Все начинается с определения целей или задач ценнообразования. Следует помнить то, что цена является лишь одним из инструментов воздействия на рынок. Поэтому задачи (цели) ценообразования являются целями второго порядка по отношению к целям предприятия на рынке. Ценовые решения вытекают из корпоративных целей предприятия.
Цели ценовой политики предприятия
| Цели |
Обеспечение выживаемости |
Краткосрочная мак- симизация прибыли |
Краткосрочная мак- симизация оборота |
Максимальное увеличе- ние объема сбыта |
Максимальный охват рынка |
Лидерство вкачестве |
| Причины |
Избыточные мощности, интенсивная конкуренция, изменение желаний потребителей |
Упорна краткосрочную прибыль, неуверенность в будущем спросе, ожидание резкого усиления конкуренции |
Оценка функции спроса, продукт производится корпоративно и сложно определить комплексную структуру и функцию издержек |
Рынок чувствителен к цене, ростпродаж приводит к сокращению издержек на единицу продукциии увеличению долгосрочной прибыли, низкие цены отпугивают конкурентов |
Преимущества продукции по сравнению с товарами конкурентов, высокий уровень текущего спроса со стороны отдельных сегментов целевых рынков, ©послойная» обработка рынка |
Создание репутации фирмы, производящей высококачественную продукцию, большие затраты на НИОКР, связанные с повышением качества |
| Ценовые решения |
Снижение цен |
Резкое увеличение цены |
Установлениев сфере сбыта процента комиссионных от объема сбыта |
Низкие цены |
Максимально возможные цены при выходена рынок, затем снижение цен при последующем продвижении на рынке |
Высокие цены |
При установлении цены также должны быть приняты во внимание факторы, оказывающие влияние на прогнозируемый уровень цены.
Факторы ценообразования
| Факторы |
Содержание / основные структурные элементы |
| Производственные факторы |
Уровень издержек ограничивает нижний пределцены). Производственные возможности фирмы (готовность к ажиотажному спросу). Финансовые проблемы (потребность в быстром обороте или наличных деньгах). Хозяйственная динамика (период процветания или депрессии влияют на способность фирмы к ценовому риску) |
| Спрос |
Закон спроса чем ниже цена, тем доступнее товар и выше спрос). Ценовая эластичность спроса (степень чувствительности спроса к изменению цены). Ограниченность спроса по доходам (при ограниченном росте доходов покупателей ограничены возможности повышения цен) Сегментация потребителей по степени чувствительности к цене (типы потребителей по степени чувствительности к цене: экономные покупатели, апатичные покупатели, рациональные покупатели) |
Факторы ценообразования (окончание)
| Факторы |
Содержание / основные структурные элементы |
| Уровень конкурентности рынка |
Число, размер конкурентов продавцов, степень агрессивности их политики (чистая конкуренция, монополия, олигополия, монополистическая конкуренция). Наличие конкурентной среды со стороны покупателя (монопсония, олигополия спроса, совершенная конкуренция) |
| Свойства товара |
Тип и уникальность товара уникальный товар не имеет базы сравнения -– возможна высока яцена; модные товары и предметы роскоши рассчитаны на покупателей новаторов и снобов – возможна высокая цена; товары массового спроса и товары субституты – имеют ограничения в свободе ценообразования). Стадия жизненного цикла товара (цена меняется в соответствии со временем пребывания товара на рынке, степенью его насыщенности и конкуренции). Качество продукта (цена должна соответствовать воспринимаемому потребителем качеству товара) |
| Взаимодействие участников канала товародвижения |
Нерегулируемое ценообразование продавец фиксирует цену по отношению к ближайшему посреднику и не влияет на конечную цену товара – неуправляемый канал). Регулируемое ценообразование (вертикальное управление ценами – фиксация цен и наценок одним из участников; рекомендации по ценам – добровольное признание лидера в цепочке; ценовое соглашение – договор по ценам равноправных участников) |
| Государственный контроль (государственное регулирование) |
Экономическое регулированиецен : x дифференцированная система налогообложения (различные ставки налога для товаров разной категории необходимости, льготы мелким предприятиям и выпускающим продукцию социального характера, дотации); x влияние на систему свободныхцен через фиксацию цен государственных предприятий и монополий. Фиксация цен (установление жестких прейскурантов, ограничение уровня монопольных цен, временное «замораживание» рыночных цен). Административные (законодательные) ограничения : x установление пределов уровня цены, надбавок к цене, элементов структуры цены, разового повышения цены; x запреты на ценовую дискриминацию, на вертикальное и горизонтальное фиксирование цены, на демпинг, на недобросовестную ценовую рекламу |
| Стратегические цели фирмы |
Максимальная текущая прибыль. Расширение существующего или захват нового рынка. Использование существующего положения и другие |
2.4. ОЦЕНКА СПРОСА И ЭЛАСТИЧНОСТИ СПРОСА
Спрос рыночный общий – суммарный объем продукта, который может быть куплен определенной группой потребителей определенной географической зоны (данного рынка) в течение определенного периода, вопределеных условияхвнешнейсредымаркетинга, при определенном уровне использования элементов комплекса маркетинга организациями отрасли. ЕП. Голубков
Спросна рынке – это общий объем продаж применительно к рынку товара или к отрасли, или к рынку) в данном месте и в данный период для совокупности марок или конкурирующих фирм.
Спросом как на продукцию фирмы (спросом на марку) называют часть спроса на рынке, соответствующую доле рынка, удерживаемой фирмой или маркой на базовом рынке товара. ЖанЖакЛамбен
Понятие «спрос» связано с понятиями «абсолютный потенциал рынка» и «емкость рынка».
| Спрос напродукцию
|
зависитот
|
неконтролируемых факторов среды суммарного маркетингового давления со стороны конкурирующих на рынке фирм |
Рис. 2.5

Рис. 2.6
S ±образная форма типичной функции спроса означает, что по мере увеличения суммарного маркетингового давления скорость усиления реакции сначала возрастает, а затем падает. При нулевом маркетинговом давлении имеет место минимальный уровень спроса Q min . В пределе, когда суммарное маркетинговое давление стремится к бесконечности, спрос достигает своего максимального уровня Q max . Этотмаксимальныйу ровень первичного спроса соответствует понятию текущего потенциала рынка .
Абсолютный потенциал рынка соответствует максимальному уровню спроса в предположении, что потенциальные потребители эффективно потребляют товар в оптимальном объеме при каждом использовании. Абсолютный потенциал рынка соответствует верхнему пределу его текущего потенциала.

Рис. 2.7
Абсолютный потенциал рынка можно считать адекватным понятию емкость рынка . Это предел, к которому стремится спрос на рынке. Полезность этогопонятия в том, что оно позволяет оценить порядок величины экономической возможности, которую открывает данный рынок. При расчете абсолютного потенциала рынка делается три предположения:
• каждый потенциальный пользователь товара является реальным пользователем;
• каждый пользовательиспользуеттоварпри каждой возможности его применения;
• при каждом применении товар используется в оптимальном объеме.
Эластичность спроса
Мера реакции одной величины на изменение другой называется эластичностью . Эластичность спроса по цене показывает, на сколько изменится в процентном отношении величина спроса на товар при изменении его цены на 1 %.
Эластичность спроса по цене (коэффициент ценовой эластичности спроса) рассчитывают следующим образом:

где
– изменение величины спроса, %;
– изменение цены, %.
Показатель ценовой эластичности спроса, как правило, является отрицательной величиной. Если цена товара снижается – величина спроса растет, и наоборот. Однако для оценки эластичности часто используется абсолютная величина показателя (знак “минус” опускается).
Например, снижение цены стирального порошка на 5 % вызвало увели-
чение спроса на него на 10 %.
Коэффициент эластичности будет равен:

Если абсолютная величина показателя ценовой эластичности спроса боль-
ше 1, то спрос относительно эластичен. Изменение цены в данном случае приведет к большему количественному изменению спроса.
Еслиабсолютнаявеличинапоказателяценовойэластичности спроса меньше 1, то спрос относительно неэластичен. В этом случае изменение цены повлечет за собой меньшее изменение величины спроса.
Прикоэффициентеэластичности равном 1 говорят о единичной эластичности. Изменение цены в этом случае приводит к такому же количественному изменению величины спроса.

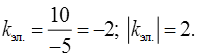
Пример: а) относительноэластичный спрос
Ц0 =300 де., Ц1 = 200 де.; 'Ц=33 % ; Q 0 = 10 шт., Q 1 = 30 шт.; 'Q =200 %; k эл. =200 / 33 = 6 > 1.
Выручкаотреализацииувеличитсяс (300 х 10) = 3000 де. до (200 х 30) = = 6000 де., т. е.. вырастетв 2 раза.
б) относительнонеэластичныйспрос
Ц0 =300 де., Ц1 = 200 де.; 'Ц=33 %; Q 0 = 10 шт., Q 1 = 12 шт.; 'Q =20 %; k эл. =20 / 33 = 0,6 < 1.
Выручка от реализации уменьшается с 3000 де. до (200 х 12) = 2400 де. В этом случае фирма не будет снижать цену на свою продукцию.

В случае абсолютно эластичного спроса (а ) любое изменение цены приведет либо к полному отказу от приобретения данного товара (если цена повысится), либо к неограниченному увеличению спроса (если цена будет снижена), показатель эластичности бесконечен.
В случае абсолютного неэластичного спроса изменение цены не отражается на величине спроса. Например, спрос на отдельные виды лекарств, без которых больные не могут обойтись.
Таким образом, абсолютная величина показателя ценовой эластичности спроса может изменяться от нуля до бесконечности:
![]()
1 k
эл.
df – спрос эластичен; 0d k
эл.
1 – спрос не эластичен; k
эл .
1 – спрос единичной эластичности.
Уточненная формула для определения коэффициента эластичности спроса по
цене:
k
эл. «¬ª
(QQ
1 1QQ
0 ) : 20 100 ¼ ¬» «º ª:
(Ц ЦЦ Ц1 1 00):2 100 ¼»º QQ
11 QQ
00 : Ц ЦЦ Ц11 00 .
Понятие перекрестной эластичности спроса используется для определения степени влияния на величину спроса на данный товар изменения цены другого товара:
k
элпер QQ
1
1
АА
QQ
0
0
АА
:
Ц ЦЦ Ц1
Б1Б Б0Б0
,
где А и Б – индексы показателей спроса и цены взаимозаменяемых или взаимодополняемых товаров.
Если товары являются взаимозаменяемыми, то k элпер будет положительным. Так, подорожание сливочного масла вызовет увеличение спроса на маргарин.
Если товары являются взаимодополняемыми, величина спроса будет изменяться в том же направлении, что и цены, а коэффициент эластичности будет отрицательным. Так, подорожание фотоаппаратов вызовет уменьшение спроса на фотопленку.
Для принятия решения об уровне цены (с учетом коэффициента эластичности) надо располагать количественными данными за продолжительный период об изменении спроса в зависимости от цены. Но есть определенные ограничения для использования коэффициента эластичности в этом плане:
1) перспективные рыночные условия должны быть такими же, каки в прошлом, чтобы предприятие было уверено в ожидаемой реакции потребителей на изменение цен;
2) сбор большого объема достоверных количественных данных требует длительного времении больших расходов;
3) значение коэффициента эластичности, наблюдаемое на одном рынке, не может быть использовано на других рынках.
Факторы, оказывающие влияние на эластичность спроса по цене :
• чем больше данный товар имеет товаров заменителей, тем эластичнее спрос на него;
• чем лучше покупатели владеют информацией о товарах заменителях, тем выше эластичность спроса по цене на данный товар;
• эластичность тем ниже, чем выше потребители оценивают уникальные свойства данного товара по сравнению со свойствами товаров конкурентов;
• эластичность ниже, когда потребителю не известна марка, страна производитель, отсутствует мнение других покупателей;
• чем больше покупатели рассматривают цену как показатель качества, тем ниже эластичность;
• как правило, эластичность спроса выше при высоких ценах и ниже при низких ценах;
• на эластичность спроса влияет трудность определения того, насколько качество одного товара лучше другого;
• эластичность спроса тем выше, чем выше доля расходов на данный товар в общих расходах потребителя;
• эластичность спроса ниже всего у тех товаров, которые с точки зрения покупателя являются для него необходимыми;
• эластичность спроса зависит от степени срочности приобретения покупателем данного товара, если его приобретение не может быть отложено, то эластичность на него относительно ниже, чем эластичность спроса на те товары, приобретение которых может быть отложено на более поздний срок;
• чемразнообразнее возможности использования товара, тем выше эластичность спроса при снижении его цены;
• чем больше степень насыщения потребностей данным товаром, тем меньше эластичность спроса при снижении его цены;
• эластичность спроса по цене ниже, если покупатели рассматривают текущую цену ниже относительно цены, ожидаемой в будущем.
Оценка влияния снижения цен на прибыльность с точки зрения эластичности спроса по цене и доли переменных и постоянных затрат в себестоимость продукции:
Пример 1. Товар Х продаетсяпоцене, равной 2450 де. за штуку, себестоимость единицы товара составляет 2300 де. Объем продаж составляет 1 млн штук. Доля переменных затрат в полной себестоимости присуществующем объеме производства 0,8, доля постоянных затрат – 0,2. Эластичность спроса по цене на товар Х равна 1,5. Предполагается снизить цену на 50 де./шт.
Как это повлияет на результаты деятельности по показателю прибыли? При какой величине эластичности спроса по цене прибыль сохранится на прежнем уровне при снижении цены на данную величину?
Решение
1. Базовый вариант (до изменения цены):
| Выручка от реализации |
2450 млнде. |
| Полная себестоимость реализованной продукции в том числе: |
2300 млнде. |
| переменные затраты (0,8 · 2300 = 1840) |
1840 млн де. |
| постоянные затраты (0,2 · 2300 = 460) |
460 млнде. |
| Прибыль от реализации 2. Планируемый вариант (после изменения цены): |
150 млн де. |
Выручка отреализации 2400 · 1000000 · 1,0306 = 2473,4 млнде.
' Ц
2,04%; ' 'Q
Цk
эл.
2,04 1, 5 3,06%
| Переменные затраты 1840 · 1,0306 = |
1896,3 млнде. |
| Постоянные затраты |
460 млнде. |
| Полная себестоимость реализованной продукции |
2356,3 млн де. |
| Прибыль от реализации |
117,1 млнде. |
Как мы видим, прибыль уменьшилась!
3. Требуемое увеличение объема производства для сохранения прибыли после снижения цены:
'Ц
' Q
100% , П Ц' (1 V
)C
где П – прибыль, получаемая от продажи единицы товара по старой цене;
V – доля переменных затрат в полной себестоимости при существующем объеме производства; С – полная себестоимость единицы товара при старой цене.
' Q
50
100% 8,93%.
![]()
Таким образом, для сохранения прибыли на прежнем уровне необходимо увеличение объема продажна 8,93%. При этом коэффициент эластичности спроса по цене должен быть равен:
k
эл.
'Q(ПС) 0,0893(150 2300) 218,79 4,37.
'Ц 50 50
Сохранение прибыли возможно при эластичности спроса по цене на данный товар, равной 4,37.
Пример 2. При тех же прежних исходных данных изменим долю переменных затрат в себестоимости продукции, примемV = 0,2.
Посмотрим, как это повлияет на результаты расчетов?
1. Требуемое увеличение объема производства для сохранения прибыли после снижения цены:
' Q
50
100% 2,58%.
![]()
2. Коэффициент эластичности спроса по цене:
k
эл.
1, 26.
Сохранение прибыли возможно при эластичности спроса по цене на данный товар, равный 1,26.
Выводы :
x чем выше относительная доля постоянных затрат в общих затратах, тем меньший уровень эластичности спроса по цене необходим для сохранения прежней прибыли; x чем больше снижение цены, тем больше должна быть эластичность
спроса; x знание эластичности спроса по цене является важным для политики цен предприятия, способствует повышению результативности ценовых решений.
2.5. ВЛИЯНИЕ СТРУКТУРЫ ЗАТРАТ И ЦЕНЫ НА ПРИБЫЛЬ
Пример : производитель продает свой продукт по цене 100 де. розничному продавцу. Годовой объем сбыта составляет 1 млн штук. Переменные (прямые) затраты в расчете на единицу продукции равны 60 де., постоянные затраты – 30, прибыль – 10 де. Годовая выручка равна 100 млн де. Сумма покрытия на единицу продукции равна 40 де. (100-60). Руководство предприятия решило проверить последствия изменения действующей цены в интервале ±20%. Руководство интересует, каков объем сбыта необходим при альтернативных ценах, чтобы получить прежний размер прибыли (10 млн де.).

а – исходное состояние цены и суммы покрытия;
б – цена сниженана 20 % и составляет 80 де. Сумма покрытия уменьшилась в 2 раза и составила 20 де. Чтобы достичь прежней суммы покрытия при новой цене необходимо увеличить объем сбыта в 2 раза (40000000/20 = 2 млншт.). Выручка при этом составит 80 де. · 2000000 шт. = 160 млн де. Сумма покрытия составит 160 – 120 = 40 млн де., т. е. остается прежней.
При этом снижение цены составило 20 %, а сумма покрытия уменьшилась на 50 %, для компенсации сокращейся доли суммы покрытия требуется увеличение объема выпуска на 100 %. При этом может не хватить производственных мощностей, а их расширение потребует увеличения постоянных затрат.
в – цена повышена на 20 % и составляет 120 де. Сумма покрытия составляет 60 де. Длясохраненияпрежнегоразмерасуммыпокрытиятребуется продать всего лишь 667000 шт., уменьшение объема выпуск асоставит 33,3 %.

Кривая снижения цен на 20 % показывает, что придолепеременных затратв 60 % необходимоповышениеобъемасбыта на 100 % (точкаА). Если жеснижениеценысоставиттолько 10 %, требуемоеувеличениеобъемасбыта составляет 33 % (точкаВ).
Если переменныезатратысоставляют 80 %, необходимо увеличить объем сбыта на 100 %, чтобы компенсировать снижение цен только на 10 % точкаС)
Кривые, отображающие повышение цен на 10 и 20%, напротив, намного более пологие и расположеныблизкодруг к другу. Это показывает, что допустимоесокращениеобъемасбытареагируетменееэластичнонаизменение долипеременныхзатратнаединицупродукции.
Необходимый рост объема выпуска (%), при котором сумма покрытия остается неизменной)
| Снижение цены, % |
Переменные затраты на единицу продукта, % от текущей цены |
||||
| 40 |
50 |
60 |
70 |
80 |
|
| 5 |
9,09 |
11,11 |
14,29 |
20,00 |
33,33 |
| 10 |
20,00 |
25,00 |
33,33 |
50,00 |
100,00 |
| 20 |
50,00 |
66,67 |
100,00 |
200,00 |
ДВ=0 |
| 30 |
100,00 |
150,00 |
300,00 |
ДВ=0 |
? |
Приемлемое снижение объема выпуска (%), при котором сумма покрытия остается неизменной
| Повышение цены, % |
Переменные затраты на единицу продукта, % от текущей цены |
||||
| 40 |
50 |
60 |
70 |
80 |
|
| 5 |
7,96 |
9,09 |
11,11 |
14,29 |
20,00 |
| 10 |
14,29 |
16,67 |
20,00 |
25,00 |
33,33 |
| 20 |
25,00 |
28,57 |
33,33 |
40,00 |
50,00 |
| 30 |
33,33 |
37,50 |
42,86 |
50,00 |
60,00 |
2.6. ВИДЫ ЦЕНОВЫХ СТРАТЕГИЙ И УСЛОВИЯ
ИХ ПРИМЕНЕНИЯ
Стратегия ценообразования – базовый принцип ценообразования, долгосрочное решение о возможных уровне, направлении, скорости и периодичности изменения цен в соответствии с рыночнымицелямикомпании. Стратегия ценообразования. как правило, определяет принципы формированияценнановыетовары, атакжена «старые» – привыходекомпаниинановыерынкиилиизмененииценовойконъюнктуры. Ценоваястратегиянепосредственновлияетнапозиционированиетовара. Спомощьютого илииногоуровняценыформируетсямнениеокачествеилистепениэксклюзивностимодели.

Группа стратегий по формированию начального уровня цены на товар
Стратегия «цены проникновения» («прочного внедрения на рынок»)
| Суть стратегии |
Значительное занижение цен на товар |
|
| Преследуемая цель |
Захват массового рынка |
|
| Характерные условия применения |
Покупатель |
Массовый, с низким или средним доходом, чувствительный к цене, спрос по качеству мало эластичен |
| Товар |
Широкого потребления, узнаваемый, не имеющий заменителей (условия, обеспечивающие возможность дальнейшего повышения цен) |
|
| Фирма |
Имеющая производственные мощности, способные удовлетворить повышенный (изза низких цен) спрос; мощная фирма, имеющая опыт и возможность справиться с проблемой повышения цен |
|
| Преимущество стратегии |
Снижает привлекательность рынка для конкурентов, давая тем самым предприятию преимущество во времени для закрепления на рынке |
|
| Недостаток стратегии |
Существует серьезная проблема дальнейшего повышения цены при сохранении размеров захваченного рынка |
|
| Разновидность стратегии |
Стратегия «цены вытеснения»: установление настолько низкой цены, что исключается появление конкурентов на рынке |
|
Стратегия «снятия сливок»
| Суть стратегии |
Кратковременное конъюнктурное завышение цен |
|
| Преследуемая цель |
Максимизация прибыли |
|
| Характерные условия применения |
Покупатель |
Сегмент целевого рынка, не чувствителен к цене; новаторы или снобы, желающие обладать новейшим или модным товаром |
| Товар |
Принципиально новый, не имеющий базы сравнения, либо товар повышенного спроса, неэластичного спроса, запатентованный товар, товар высокого и постоянно повышающегося (с целью оградить производство от конкурентов) качества, с коротким жизненным циклом |
|
| Фирма |
Известная и имеет имидж высокого качества или неизвестна и проводит кампанию по стимулированию с быта в момент запуска продукта; имеет конкурентов, способных повторить жизненный цикл товара, что затруднит возврат вложенных средств; производственный процесс не отработан и издержки могут превысить ожидаемый уровень при условии, что спрос с трудом поддается оценке и рискованно строить прогноз расширения рынка при снижении цен; фирма не располагает необходимыми оборотными средствами для широкомасштабного запуска нового товара, и продажа по высокой цене позволит их получить |
|
| Преимущество стратегии |
Позволяет в короткий срок возместить маркетинговые расходы и высвободить капитал, если рынок «принял» товар по высокой цене. Перспективы товара хорошие: снижать цену легче, чем повышать |
|
| Недостаток стратегии |
Высокая цена привлекает конкурентов, недавая времени фирме закрепиться на рынке |
|
| Разновидность стратегии |
Стратегия быстрого «снятия сливок»: установление завышенной цены при условии усиленного продвижения товара |
|
| Стратегия «медленного снятия сливок»: установление завышенной цены при условии умеренного продвижения товара |
||
Стратегия «среднерыночных цен»
| Сутьстратегии |
Выпуск новых товаров по среднеотраслевой цене |
|
| Преследуемая цель |
Использование существующего положения |
|
| Характерные условия применения |
Покупатель |
Сегмент целевого рынка со средним доходом, чувствительный к цене |
| Товар |
Широкогопотребления, стандартизованный, с нормальным жизненным циклом |
|
| Фирма |
Имеет среднеотраслевые производственные мощности |
|
| Преимущество стратегии |
Относительно спокойная конкурентная ситуация |
|
| Недостаток стратегии |
Трудная идентификация товара |
|
Группа стратегий относительного уровня.
Стратегии относительного уровня цен с учетом цен конкурентов Стратегия «преимущественной цены»
| Суть стратегии |
Достижение преимущества по отношению к конкурентам |
|
| Преследуемая цель |
Атаковать или защищаться от натиска конкурентов |
|
| Характерные условия применения |
Покупатель |
Давно занятый другими фирмами рыночный сегмент |
| Товар |
Широкого потребления, имеет заменителей |
|
| Фирма |
Работает в условиях явной для потребителя конкуренции |
|
| Преимущество стратегии |
Обязательный мониторинг конкурентного состояния |
|
| Недостаток стратегии |
Зависимость от поведения конкурента |
|
| Разновидность стратегии |
Цена выше, чем у конкурента (преимущество по качеству). Цена ниже, чему конкурента (преимущество по издержкам) |
|
Стратегия «следования за конкурентом»
| Суть стратегии |
Основана на копировании поведения ценового лидера |
|
| Преследуемая цель |
Использование существующего положения |
|
| Характерные условия применения |
Покупатель |
Массовый |
| Товар |
Имеет равноценный или более устойчивый субститут |
|
| Фирма |
Некрупная, в обозреваемом конкурентном пространстве имеет лидера или основного конкурента, имеет возможность осуществлять мониторинг его ценовой политики |
|
| Преимущество стратегии |
Недорогая по осуществлению линия поведения фирмы |
|
| Недостаток стратегии |
Зависимость от поведения покупателя |
Стратегии относительного уровня цен с учетом товарной или покупательской дифференциации
Стратегия «дифференциации цен на взаимосвязанные товары»
| Суть стратегии |
Использование широкого спектра цен на субституты, дополняющие и комплектующие |
|
| Преследуемая цель |
Побуждение покупателей к потреблению |
|
| Характерные условия применения |
Покупатель |
Со средними или высокими доходами |
| Товар |
Взаимосвязанные товары массового потребления |
|
| Фирма |
Работающая с широким спектром товаров |
|
| Преимущество стратегии |
Возможность оптимизации продуктового портфеля |
|
| Разновидности стратегии |
Высокая цена на самый ходовой товар приманку, имиджевый товар): восполняется увеличение затрат на разнообразие ассортимента и применение низкихцендлядешевыхилиновыхтоваров стратегияприменяетсяприпродажеодежды, косметики, сладостей, сувениров) |
|
| Низкая цена на основной товар номенклатуры: компенсируется завышение цен дополняющих товаров |
||
| Выпуск нескольких версий товара для сегментов с разной эластичностью |
||
| Связывание в набор дополняющих или независимых товаров по льготной цене (ниже, чем цены продажи отдельных товаров) |
||
![]()
![]()

| Стратегия «дифференциации цен на взаимосвязанные товары»: связывание в набор дополняющих или независимых товаров по льготной цене (добровольное связывание) Сумма цен набора товаров, приобретаемых по отдельности Цена продажи товаров в наборе |
Рис. 2.16
Стратегия «ценовых линий»
| Суть стратегии |
Использование резкой дифференциации цен на ассортиментные виды товара |
|
| Преследуемая цель |
Создание представления покупателей о принципиальном отличии в качестве с учетом порогов их ценовой чувствительности |
|
| Характерные условия применения |
Покупатель |
Имеет высокую ценовую эластичность спроса |
| Товар |
Имеет ассортиментный набор и качество, сложное для однозначного определения потребителем |
|
| Фирма |
Имеет опытного маркетолога, возможность дорогостоящих исследований |
|
| Преимущество стратегии |
Оптимизация продуктового портфеля |
|
| Недостаток стратегии |
Сложно определить психологический барьер цен. Психологические барьеры цены определяют диапазоны «доверия к ценам». Установление цен на нижнем пороге вызывает сомнение в качественном совершенстве товара, на высоком пределе — в необходимости покупки. Как правило, фирма работает с товарами определенного уровня качества (например, среднего) в соответствующем диапазоне цен. Маркетолог должен отыскать в этом диапазоне ценовые интервалы, в рамках которых спрос не меняется при изменении цен (психологическая неэластичность спроса по цене) |

Стратегия «ценовой дискриминации»
| Суть стратегии |
Продажа одного товара различным клиентам по разным ценам или предоставление ценовых льгот некоторым клиентам |
|
| Характерные условия применения |
Покупатель |
Постоянный клиент, легко идентифицируется, эластичность спроса у разных потребителей существенно различается |
| Товар |
Уникальный, не имеющий равноценных заменителей |
|
| Фирма |
Реальный или мнимый (в представлении потребителей) монополист |
|
| Особенности применения |
Невозможно свободно или без дополнительных затрат перемещать товар с «дешевого» рынка на ©дорогой» (географическая, социальная изоляция). Производителям необходимо предусмотреть возможность с минимальными издержками изменять дизайн и конструкцию товара в соответствии с нуждами различных групп потребителей |
|
| Преимущество стратегии |
Оптимизация спроса в реальных условиях |
|
| Разновидности стратегии |
Льготы постоянным партнерам, франчайзы с целью внедрения в посреднические структуры) |
|
| Разные цены в зависимости от времени пользования, типа потребителя |
||
Стратегии относительного уровня цен с учетом соответствия цены товара его качеству
Стратегии качественно ценностного позиционирования по Ф. Котлеру)
| Качество |
Цена |
||
| Высокая |
Средняя |
Низкая |
|
| Высокое |
1. Тусбуждйɺрсжнйбмэоьцобчжопл |
2. Стратегия ценовых преимуществ |
3. Стратегия суперцены |
| Среднее |
4. Стратегия завышенной цены |
5. Тусбуждйɺтсжеожкчжоь |
6. Стратегия хорошей цены |
| Низкое |
7. Грабительская стратегия |
8. Стратегия ложной экономии |
9. Тусбуждйɺ юлпопнйй |
Ценовые стратегии под номерами 1,5 и 9 могут одновременно использоваться на одноми том же рынке. Они иллюстрируют дифференциациюцены в зависимости отуровнякачества: фирмапредлагаетпродуктвысшегокачествапосамойвысокойцене, продуктсреднегокачества – по среднейцене, и, наконец, продуктнизкогокачества – посамойнизкойцене. Стратегииподномерами 2, 4, 6, 8 представляютпереходныеварианты стратегий. Однакоихрольпринципиальноразлична, ионитяготеюткпротивоположнымполюсамценовойполитики. Так, стратегииподномерами 2, 3 и 6 представляютразличныевариацииценовойстратегии, нацеленнойнавытеснениеконкурентасдиагональнойлиниипозиций 1, 5 и 9. Этостратегии созданияценовыхпреимуществ.
Ценовые стратегии под номерами 4, 7 и 8 иллюстрируют завышение цен поотношениюкполезномуэффектупродукции. Если фирмадопуститподобнуюстратегиювусловияхразвитойконкуренции, тоееклиентраноилипозднопочувствуетсебяобманутым, что, безусловно, повредит репутации фирмы.
Другой вариант качественно ценностного позиционирования (поЛА. Данченок).

Стратегия «искусственнозаниженнойцены»
| Суть стратегии |
Товар высокого качества продается по заниженной цене |
|
| Преследуемая цель |
Завоевать рынок, расположить к себе покупателей |
|
| Характерные условия применения |
Покупатель |
Персонифицированный, те. в первую очередь заинтересованный в приобретении товара высокого качества, однако вовсе не прочь при этом сэкономить |
| Товар |
Высокого качества, массовый |
|
| Фирма |
Массового производства или завоевывающая ©имя» на новом рынке |
|
| Преимущество стратегии |
Изначально высокие технологические стандарты с одновременной работой на «имидж» |
|
| Недостаток стратегии |
Ограничения со стороны издержеки рентабельности |
|
Стратегия «искусственно завышенной цены»
| Суть стратегии |
Товар низкого качества продается по завышенной цене |
|
| Преследуемая цель |
Максимизировать прибыль, использовать существующее положение (преимущество ситуации) |
|
| Характерные условия применения |
Покупатель |
Не в состоянии реально оценить все качественные элементы или испытывает значительную потребность именно в данном товаре (так называемый ©количественный спрос») |
| Товар |
Стандартный |
|
| Фирма |
Не имеет намерения долгосрочной работы на рынке, использует создавшуюся ситуацию или заслуженный ранее имидж (авторитет) |
|
| Преимущество стратегии |
Есть возможность «снять сливки» и максимизировать тем самым доход компании, воспользовавшись заблуждением покупателей относительно реального качества товара |
|
| Недостаток стратегии |
Покупатель рано или поздно поймет, что его обманывают, и перестанет покупать товар; опасность заключается в том, что если недовольство примет массовый характер, то имидж компании рискует серьезно пострадать в глазах общественности |
|
Стратегия «низкого соответствия цены и качества»
| Суть стратегии |
Товар низкого качества продается по невысокой цене |
|
| Преследуемая цель |
Максимизация оборота за счет низких цен |
|
| Характерные условия применения |
Покупатель |
Экономный, для которого цена является решающим мотивом для покупки |
| Товар |
Стандартный |
|
| Фирма |
Массового производства товаров, ориентирована на весь рынок |
|
| Преимуществостратегии |
Незначительные затраты на технологию |
|
| Недостаток стратегии |
Невозможность использования марочных преимуществ, невысокая вероятность «повторных» продаж, необходимость частой смены ассортимента и связанные с этим затраты на анализ конъюнктуры и технологические изменения в производстве |
|
Стратегия «высокого соответствия цены и качества»
| Суть стратегии |
Товар высокого качества продается по высокой цене |
|
| Преследуемая цель |
Экономическая выгода за счет марочных и качественных преимуществ |
|
| Характерные условия применения |
Покупатель |
Сноб, решающим мотивом для покупки является качество товара, уровень сервиса, имиджевый момент покупки |
| Товар |
Уникальный, с особымии ярко выраженными характеристиками |
|
| Фирма |
Сильнаяфирменнаямарка |
|
| Преимуществостратегии |
Одновременная работа на имидж, возможность получать марочную премию |
|
| Недостаток стратегии |
Постоянная (дорогостоящая) забота о высоком качестве товаров, включая необходимость соответствия моде |
|
Стратегия «оптимального соотношения цены и качества»
| Суть стратегии |
Оптимальное соотношение цены и качества |
|
| Преследуемая цель |
Оптимизация прибыли, использование тенденции к росту потребительской культуры |
|
| Характерные условия применения |
Покупатель |
Рациональный: оценивает покупку с точки зрения соответствия цены качеству |
| Товар |
Стандартный, с определенными качественными параметрами |
|
| Фирма |
Имеет намерение долгосрочно оставаться на рынке, поддерживать авторитет марки |
|
| Преимущество стратегии |
Обеспечивает устойчивый спрос и стабильное положение на рынке |
|
| Недостаток стратегии |
Придерживаться «золотой середины» сложно: необходим мониторинг ценообразующих факторов и мнения экспертов, потребителей |
|
Стратегия относительного уровня цен с учетом изменения во времени
Стратегия «стабильныхцен»
| Суть стратегии |
Цены неизменны при любом изменении рыночных обстоятельств |
|
| Преследуемая цель |
Использование существующего положения |
|
| Характерные условия применения |
Покупатель |
Постоянный и солидный, несколько консервативный клиент, для которого важно постоянство цен |
| Товар |
Престижный, дорогостоящий |
|
| Фирма |
Работает в отрасли, в которой традиционно считаются «неприличными» частые и резкие скачки цен |
|
| Преимущество стратегии |
Высокая относительная прибыль (с единицы товара) |
|
| Недостаток стратегии |
Фирма должна иметь постоянный резерв для снижения издержек, по возможности сохраняя прежний уровень качества |
|
Стратегия «роста проникающей цены»
| Суть стратегии |
Повышение цен после реализации стратегии цены проникновения |
|
| Преследуемая цель |
Использование существующего положения завоеванной доли рынка |
|
| Характерные условия применения |
Покупатель |
Массовый, постоянный (приверженец марки) |
| Товар |
Узнаваемый, отсутствуют заменители |
|
| Фирма |
Мощная, имеет опытных маркетологов |
|
| Недостаток стратегии |
Трудности повышения цен после низкого уровня |
![]()
Стратегия «скользящей падающей цены или исчерпания»
| Суть стратегии |
Ступенчатое снижение цен после насыщения первоначально выбранного сегмента |
|
| Преследуемая цель |
Расширение или захват рынка |
|
| Характерные условия применения |
Покупатель |
Массовый, со средним доходом, «подражатель» |
| Товар |
Особо модный или используемый лидерами общественного мнения |
|
| Фирма |
Имеет возможность увеличения объема производства и частного изменениявтехнологии |
|
| Преимущество стратегии |
Фирма может добиваться периодического расширения рынка сбыта за счет покупателей со все более низкиму ровнемдоходаисоответствующего увеличенияобъемапродаж |
|
![]()
Стратегии относительного уровня цен с учетом восприятия потребителя Стратегия «выгодной цены»
| Суть стратегии |
Установление цен ниже среднеотраслевых |
|
| Преследуемая цель |
Захват массового рынка, активная атака конкурентов |
|
| Характерные условия применения |
Покупатель |
Рациональный, экономный |
| Товар |
Стандартный для отрасли |
|
| Фирма |
Дискаунтер |
|
| Преимущество стратегии |
Гарантирован высокий уровень спроса |
|
| Недостаток стратегии |
Сложность поддержания соответствующего уровня качества: товар фирмы будет непременно отставать от аналогичных по ряду качественных параметров |
|
![]()
Стратегия «имиджевой цены»
| Суть стратегии |
Установление цен существенно выше среднеотраслевых |
|
| Преследуемая цель |
Максимизация прибыли благодаря марочными качественным преимуществам товара |
|
| Характерные условия применения |
Покупатель |
Сноб, для которого не столько важны качественные характеристики товара, сколько его имиджевая составляющая |
| Товар |
Не имеющий аналогов (благодаря наличию определенных качественных характеристик) |
|
| Фирма |
Хорошо известная на рынке |
|
| Преимущество стратегии |
Возможность своеобразного «снятия сливок» за счет марки, соответствия моде, общественным представлениямо престижности, поддержание на высоком уровне имиджа компании |
|
| Недостаток стратегии |
Большие затраты на продвижение товара и придания емуимиджевыхсвойств, зачастую короткий жизненный цикл товар |
|
Стратегия «справедливой цены»
| Суть стратегии |
Установление на товар оптимальных в рамках отрасли цен, которые ктомуже гармонируют с качественными характеристиками товара |
|
| Преследуемая цель |
Обеспечение долгосрочной оптимизации прибыли |
|
| Характерные условия применения |
Покупатель |
Массовый, рациональный |
| Товар |
Стандартный для отрасли |
|
| Фирма |
Стремится обеспечить себе признание в отраслив целях долгосрочного присутствия на рынке |
|
| Преимущество стратегии |
Стабильное положение фирмы на рынке |
|
| Недостаток стратегии |
В целях поддержания стабильности необходимо регулярно осуществлять мониторинг рыночной конъюнктуры |
|
![]()
2.7. МЕТОДЫ ЦЕНООБРАЗОВАНИЯ
![]()
Рис. 2.23
Характеристика методов ценообразования
Затратные методы ценообразования
1. Ценообразование на основе полных затрат
(«себестоимость + прибыль») Цена определяется как сумма издержек и наценки на себестоимость. Наценка соответствует обычной для данной отрасли норме прибыли или желаемому доходу от оборота.
Ц = С(1R ),
где Ц – цена товара; С – полная себестоимость товара;
R – рентабельность, в долях единицы, к себестоимости; или
Ц
С
(метод по доле прибыли в цене). 1R
2. Ценооборазование на основе переменных затрат Цена определяется как сумма переменных затрат и суммы покрытия (надбавка к переменным затратам вносит вклад в покрытие постоянных затрат и формирование прибыли).
Ц = Спер (1R покр. ),
Спер.
или Ц = ,
(1R покр. )
где Спер. – переменные затраты в составе себестоимости товара; R покр – норматив рентабельности к переменным затратам, в долях единицы.
R покр !R .
3. Метод рентабельности инвестиций Цена должна обеспечить запланированный доход на капитал или обеспечить рентабельность не ниже стоимости заемных средств.
%дохода
К, Ц C ![]()
Q пл.
где %дохода – планируемый процент дохода;
К – инвестированный капитал;
Q пл. – планируемый объем сбыта
S
кр %кр S
кр. ,
или Ц С
Q пл Q пл.
где S кр. – сумма кредита;
%кр. – процентная ставка закредит;
¨
§QS
кр
пл %кр
Q
плS
. кр.
·¸¹ – кредитные выплаты на единицу продукта.
©
4. Ценообразование на основе анализа безубыточности и обеспечения целевой прибыли Цена определяется на основе заданного размера прибыли, с учетом возможного объема производства, взаимосвязи издержеки выручки.
¦С
пост
Тб Q крит. ,
Ц С удпер.
где Т б , Q крит – точка безубыточности или критический объем производства при котором выручка равна полным затратам, а прибыль – нулю);
¦Спост. – суммарные постоянные затраты; С у дпер. – переменные затраты на единицу продукции.
Цена определяется из уравнения:
Пцел ЦQ ¦ Спост Судпер.Q ,
Пцел ¦С
пост С
удпер.Q
Ц ,
Q
где П цел. – целевая сумма прибыли;
Q – возможный объем производства и продаж.
5. Метод структурной аналогии Использование прямых затрат при ценообразовании на новый продукт. Известна доля прямых затрат в общих затратах на заменяемый продукт. Известны прямые затраты на новое изделие. На основе этого рассчитываются полные затраты на новое изделие.
н С
прямн . С
полн.
100,
I прям.
где С полн н . – полные затраты по новому изделию; С прям н . – прямые затраты по новому изделию;
I прям. – доля прямых затрат в полных затратах по аналогичному заменяемому изделию, %.
Ц С полнн .(1 R ).
Три уровня границы цены при затратных методах ценообразования: 1) цена предельная
Цпред С прям. ,
(перем.)
гдеЦпред. – предельная цена, равна прямым затратам; 2) цена техническая (безубыточность)
Цтехн С прям. ¦ С пост. ,
перем.) Q
гдеЦтехн – техническая цена, не приносит прибыль, но окупает все затраты; 3) цена целевая
Ццел С
прям. ¦С
пост. П,
перем.) Q
гдеЦцел. – целевая цена, покрываетпрямые (переменные) и постоянные затраты и обеспечивает получение прибыли.
Недостатки затратных методов ценнообразования:
1. Неучитывают возможный спрос на продукт. Привязаны к необходимому объему выпуска. Если не удастся продать запланированный объем продукции и выпуск сократится, то цену приходится поднимать, что также не является гарантией сбыта.
2. Какправило, продуктовый портфель фирмы состоит из нескольких товаров, поэтому возникает проблема распределения косвенных расходов между ними. Разные способы распределения приводят к значительным колебаниям величины полных затрат, а следовательно и определяемых на их основе цен.
3. В ценообразовании используются неожидаемые, а текущие затраты те, по которым есть информация на предприятии). Совсем необязательно то, что их уровень сохранится в будущем периоде, для которого рассчитываются цены. Отсюда вытекают возможные ошибки в ценообразовании.
Достоинства затратных методов ценообразования 1. Доступность информации о затратах на предприятии.
2. Методы понятны обоим сторонам сделки, поэтому считаются справедливыми.
3. Повсеместное применение этих методов, по мнению некоторых предпринимателей, приведет к минимизации конкуренции. Нормативно параметрические методы ценообразования
1. Методудельныхпоказатлей Используется для определения цен по небольшим группам продукции, характеризующейся наличием одного основного параметра, величина котрого в значительной мере определяет общийуровень цены изделия.
Цб
Ц Цн удN k н т , Цуд. N б ,
где Цб – цена базисного и нового изделий;
N б , N н – величина основного параметра соответственно базисного и нового изделия; Цуд. – удельная цена единицы параметра;
k т – величина торможения (понижающий коэффициент, используемой фирмой для того, чтобы сделать приобретение своего товара более выгодным, чем товара конкурентов, k т =0,8–0,9).
2. Метод регрессионного анализа Применяется для определения зависимости изменения цены от изменения техникоэкономических параметров продукции, относящейся к данному параметрическому ряду, и для выравнивания ценностных соотношений на аналогичную продукцию различного качества. Цена в этом случаев ыступает как функция многих потребительских параметров.
Ц = f (x 1 , x 2 , ..., x n ),
где х 1,2...n – параметры потребительских свойств изделия.
3. Балльный метод При применении этого метода каждому потребительскому параметру продукции присваивается на основе экспертных оценок определенное число баллов, суммирование которых с учетом их весомости (также определяемой экспертным путем) дает оценку общего технико экономического уровня товара, то есть интегральную оценку его качества. Цена на новый товар определяется следующим образом:
1) рассчитывается цена одного балла:
Цбалла Цб ; ¦N V
i
б i
2) определяется расчетная цена нового изделия:
Цн Цбалла ¦N V i н i ,
гдеЦбалла – цена одного балла;
Цб , Цн – соответственно цена базового и нового изделия; N i б – балльная оценка i го параметра базового изделия; N i н – балльная оценка i- го параметра нового изделия; V i – весомость i го параметра.
4. Агрегатный метод
Заключается в суммировании цен отдельных конструктивных частей изделий, входящих в параметрический ряд, с последующим добавлением оригинальных деталей и узлов, затрат на сборку и нормативной прибыли.
Методы цено образования, ориентированные на спрос
1. Метод вмененной потребительской оценки (ценностный подход к ценообразованию) Цена устанавливается на основе оценок потребителей, а не на основе
издержек изготовления.
Метод определения цен с ориентацией на спрос базируется на ожидаемой оценке стоимости продукта потребителями, то есть на то, сколько покупатель готов заплатить. Для определения цен данным методом необходимо постоянно использовать такой метод маркетинга, как исследование рынка (применяют тесты, опросные листы, эксперименты, наблюдения за фактическими данными).
Ценностный подход к ценообразованию подразумевает определение экономической ценности товара.
![]()
Экономическая ценность товара – цена лучшего из доступных товаров цена безразличия) плюс ценность для него тех свойств данного товара, которые отличают его от лучшего альтернативного.
Если товар, сточкизрения покупателя, обладает не только положительными, но и отрицательными отличиями от товара аналога, то отрицательная ценность таких, не нравящихся покупателю свойств товара снижает общую ценность товара для потенциального покупателя.
Общая экономическая ценность товара Цена Положительная ценность отличий ценность отличий Отрицательная
= безразличия
![]()
Ниже приводится процедура расчета экономической ценности товара на основе цены безразличия.
![]()
Как правило, чем товар дороже или чем чувствительнее покупатели к уровню цены на него, тем в большей мере их рассуждения по поводу покупки будут приближаться к описанной выше схеме. В иных случаях такие оценки будут, скорее, подсознательнымии сильно зависящими от того, какой исходной информацией для определения цены безразличия обладают покупатели.
Пример : Фирма Caterpillar установила цену на свой новый трактор в 100 тыс. дол., в товремя как конкурент предлагает аналогичный трактор за 90 тыс. дол. Покупателю при этом доходчиво объясняют, почему он должен платить затрактор Caterpillar на 10 тыс. дол. больше:
90 тыс. дол цена аналогичного по полезности трактора конкурента цена безразличия)
| + |
7 тыс. дол |
цена за повышенную прочность |
| + |
6 тыс. дол |
цена за повышенную надежность |
| + |
5 тыс. дол |
цена за лучшее сервисное обслуживание |
| + |
2 тыс. дол |
цена за больший срок гарантии на детали |
-----------------------------------------------------------------------------------
= 110 тыс. дол совокупная стоимость для потребителя
экономическая ценность)
– 10 тыс. дол скидка для привлечения потребителя
----------------------------------------------------------------------------------
= 100 тыс. дол. конечная цена для потребителя
С помощью такого метода покупателю доходчиво объясняется, что он, хотя и должен платить за трактор Caterpillar на 10 тыс. дол. больше, но в действительности получает экономию в 10 тыс. дол.
2. Методпрестижныхцен Этот метод также основан на эффекте связи цены и качества. Выбирая Этот метод ценообразования, фирма старается подчеркнуть качество и престиж своих товаров и услуг. Устанавливаязаведомозавышенную цену, фирмапредполагает, чтодляклиентовтакаяценаозначаетвысокоекачествотовараили услуги. Кэтомуметодуобычноприбегаюттогда, когдаосновнымипокупателямиявляются состоятельные люди, а особенно – люди, занимающие высокое положение, имеющие широкую известность, популярность и тд.
Однако следует осторожно применять престижные цены, совмещая их с неценовыми преимуществами и маркетинговыми методами привлечения и удержания покупателя.
3. Методы, учитывающие особенности потребительского восприятия уровня цены
Метод ценообразования «от круглого числа»
При использовании рыночныхметодовценообразованиянеобходимо учитывать некоторые нюансыпотребительскоговосприятия, которыеоказываютбольшоевлияние на выручку предприятия.
Например, снижая цену, необходимоустанавливатьеенесколькониже круглого числа. Кроме того, чем вышеабсолютнаявеличинацены, тем заметнеедолжнобытьотступлениеот круглого числа.
Дифференцированный метод ценообразования
Данный метод ценообразования предполагает определение критических точекцены, создает возможность для продажи товара по разным ценам по разному позиционировав его для разных слоев покупателей.
Пример : Американские маркетологи, изучая особенности поведения покупателя при выборе недорогого радиоприемника, сумели определить линию спроса на товар по его цене, которая имела довольно своеобразный вид (рис. 2.27).
Как видно из графика, при продажной цене в 8 дол. за единицу товара было продано 1000 штук. Цена 9 дол. показалась массовому потребителю значительно более высокой, и спрос сильно упал. Поэтому можно сказать, что цена 8 дол. – это переломная точка цены (точка А ), обеспечивавшая предприятию максимум выручки в этом ценовом интервале. При цене от 9 до 12 дол. спрос оставался почти неизменным на уровне 420-400 штук, то есть потребители воспринимают цены в этом интервале примерно одинаково. Здесь критическая точка цены – точка В – оказалась на уровне 12 дол., так как она максимизирует выручку в данном интервале. Следующая цена 13 дол. была воспринята покупателем как существенно более

высокая, и продажи снова упали. По этой цене удалось продать только 100 штук. Далее – в ценовоминтервале 13-20 дол. спрос сохранялся на уровне 100 штук, то есть оставшиеся потребители воспринимали эти ценовые различия как несущественные. В этом ценовом интервале точка цены (точка С ), то есть цена, равная 20 дол., обеспечивала максимум выручки. Следующее повышение цены до 21 дол. оказалось критическим, так как продажи прекратились. Вопрос, который возникает в связи с этим, состоит в следующем: по какой цене надо продавать данный радиоприемник?
Максимум продаж достигается при цене 8 дол. Выручка при этом равна: х1000=8000 дол.
Но если создать возможность для продажи этого товара по разным ценам (в разных торговых точках, районах или по разному позиционировав его для разных слоев покупателей), то в соответствии с данной функцией спроса и критическими точками цены выручка составит:
20 х 100 + 12 х (400 – 100) + 8 х (1000 – 400) = 10400 дол.
Таким образом, мы получили более высокую выручку, то есть фирма использовала ценовую линию 8, 12, 20 дол.
При построении ценовых линий надо учитывать следующее:
1) цены должны быть достаточно отделены друг от друга (чтобы потребители осознали разницу в качестве);
2) в верхнем диапазоне цены должны быть больше разделены, так как спрос менее эластичен;
3) соотношение цен должно поддерживаться при повышении себестоимости.
Методы ценообразования, учитывающие цены конкурентов
В этой группе различают цены участников конкурентной борьбы, установленные на уровне рыночной цены либо выше или нижеее. Установление цены на уровне, определенном конкуренцией, происходит в том случае, когда конкуренция на рынке очень острая, продукт предприятия не дифференцирован по сравнению с продукцией других фирм и продавец не имеет возможности контролировать цену реализации.
Предприятие ориентирует свои цены не на затраты и спрос, а на текущие цены конкурентов. Средние цены, сформировавшиеся в отрасли, считаются хорошей базой для определения цен на свои товары. Фирма при этом избавляется от риска, связанного с назначением своей цены, которую рынок может не принять.
Возможные состояния рыночной конкурентной среды и возможные це-
новые стратегии приводятся ниже.
Характер конкурентной среды в границах факторов остроты конкуренции и воспринимаемой ценности товара
| Интенсивность конкуренции |
Воспринимаемая ценность товара |
|
| Низкая |
Высокая |
|
| Низкая |
Недифференцированная олигополия |
Монополия или дифференцированная олигополия |
| Высокая |
Чистая или совершенная конкуренция |
Монополистическая конкуренция |
Возможные ценовые стратегии взависимости от состояния рыночной конкурентной среды
| Интенсивность конкуренции |
Воспринимаемая ценность товара |
|
| Низкая |
Высокая |
|
| Низкая |
Следование за лидером |
Установление цены лидера |
| Высокая |
На основе текущих цен |
Стратегия дифференциации |
1. Ориентация на цену отрасли (на основе текущих цен)
Такой подход к определению цен прежде всего осуществляется на рынках гомогенных продуктов, преобладает при олигополистической и совершенной конкуренции, находит применение при определении цен на продукты международного характера. Данный метод предотвращает войну цен, от которой плохо всем участника мрынка.
2. Ориентация на ценового лидера
Различают доминирующее и барометрическое ценовое лидерство.
Доминирующее ценовое лидерство имеет место тогда, когда в отрасли есть фирма, обладающая низкими затратами, а значит, ценовыми преимуществами перед своими конкурентами. В такой ситуации остальные фирмы ориентируются на политику цен господствующего на рынке производителя и устанавливают цены на свои товары, как правило, на уровне ценового лидера.
Барометрический ценовой уровень – это фирма, чьи ценовые изменения поддерживаются другими производителями, признающими способность лидера адаптироваться при установлении цены в полном соответствии с изменяющимися рыночными условиями. Остальные фирмы добровольно приспосабливаются к ценовому лидеру. На практике такое ценообразование встречается в автомобилестроении, торговле топливом, горючим и др.
3. Ценовой картель
Здесь речь идет о соглашении конкурирующих производителей об установлении единой цены, а также совместного сбыта, квот на объемвыпуска для отдельных производителей.
4. Тендерное ценообразование (метод «запечатанного конверта») Этот метод используется в тех случаях, когда несколько фирм конкурируют друг с другом в борьбе за получение контракта. Чаще всего это бывает, когда фирма участвует в объявляемых правительствам тендерах. Тендер представляет собой письменное заявление цены фирмой. При назначении своей цены фирма исходит прежде всего и зцен, которые, по ее мнению, будут назначены конкурентами. Заказ получит фирма, которая предложит цену ниже цен конкурентов. Цель участия в тендере может быть разная: или надежда, что в будущем фирме будут предлагаться другие заказы, или максимизация прибыли, или дозагрузка мощности предприятия. Чтобы повысить вероятность получения заказа фирмы иногда предлагают цену ниже своих затрат. Предлагаемые фирмами цены находятся в запечатанных конвертах, которые вскрывают на торгах.
Для назначения цены может быть использован критерий «вероятностной прибыли»:
Прибыль = (цена - затраты) х вероятность выигрыша --> max.
Разработчики цен оценивают вероятность выиграть торг на базе сравнения с предыдущими аналогичными ситуациями или интуитивно.
Пример тендерного ценообразования
Рассмотрим случай, когда правительство пригласило мебельную фабрику ©Заря» принять участие в торгах на размещение заказов на 1 тыс. школьных парт. Парты должны быть изготовлены через два месяца после выдачи заказа. Переменные затраты на единицу изделия составляют 50 де., постоянные затраты равны 60 де. Фабрика «Заря» использует 55 % своих производственных мощностей, выпускает 3 тыс. парти продает их магазинам по цене 190 де. Так как фабрика работает не с полной загрузкой мощностей, то она заинтересована в получении заказа. Основные каналы сбыта ее товаров – магазины, сеть дилеров – в настоящее время обеспечивают ей получение необходимой прибыли, поэтому ей нет необходимости предлагать на торгах «цену навыживание» или крайне низкую цену. Цель ее участия в торгах – максимизировать свою прибыль благодаря получению заказа.
Правительство хочет приобрести школьные парты по цене на 20 % меньше рыночной цены. Значит, верхний предел цены предложения для фабрики ©Заря» составит 152 де. (0,8 х 190), нижний предел – 50 де. (переменные затраты).
Прибыль приразличных возможных уровнях цен на заказ одной тысячи парт приведена ниже. Цены, выручка, прибыль
| Возможные цены предложения, де. |
70 |
90 |
105 |
120 |
130 |
152 |
| Выручка, тыс. де. |
70 |
90 |
105 |
120 |
130 |
152 |
| Переменные затраты, тыс. де. |
50 |
50 |
50 |
50 |
50 |
50 |
| Валовая прибыль, тыс. де. |
20 |
40 |
55 |
70 |
80 |
102 |
Постоянные издержки не растут, так как мебельная фабрика работает при значительно недогруженных мощностях. Переменные издержки являются базой расчета цены предложения. Чем выше цена предложения, тем выше прибыль, но только в том случае, если фирма выиграет заказ. Однако чем выше цена, тем ниже вероятность выигрыша. Оценка возможности выигрыша заказа зависит от анализа конкурентной информации. Фирма «Заря» предполагает, что будет пять участников торгов. Анализ по прошлым торгам показал, что победители подобных торгов предлагали цены на 40-45 % ниже цены открытого рынка. Используя эту информацию для предварительной оценки, фирма считает, что она имеет 50 % шансов на успех, если предложит ценуна 45 % ниже рыночной цены, равной 190 де., то есть 105 де. Если же цена предложения будет на максимально приемлемом для правительства уровне 152 де., то шансы на выигрыш составят 5 %. На основании имеющейся экспертной и статистической информации фир-
ма «Заря» делает следующие расчеты.
Цены предложения и вероятность выигрыша торгов
| Возможные цены предложения, де. |
70 |
90 |
105 |
120 |
130 |
152 |
| Снижение по сравнению с рыночной ценой, % |
63 |
53 |
45 |
37 |
32 |
20 |
| Вероятность выигрыша торгов, % |
95 |
75 |
50 |
40 |
30 |
5 |
Вероятная прибыль вычисляется умножением подсчитанной вероятности выигрыша торгов при указанных ценах предложения на валовую прибыль, получаемую при той же цене (табл.).
Вероятная прибыль
| Цены предложения, де. |
70 |
90 |
105 |
120 |
130 |
152 |
| Валовая прибыль (цена – переменные затраты в размере 50 де.) |
20 |
40 |
55 |
70 |
80 |
102 |
| Вероятная прибыль, де. |
19 |
30 |
27,5 |
28 |
24 |
5,1 |
Из данных таблицы видно, что фирма получит максимальную прибыль в
размере 30 тыс. де. предложив цену 90 де. за парту.
Число участников торгов – важнейший фактор для расчета вероятности выигрыша. Если в торгах ожидается, к примеру, участиене 5, а 15 фирм, то необходимо гораздо большее снижение цены, так как при большом числе конкурентов резко возрастает вероятность того, что кто то предложит более низкую цену.
Предложение низкой цены может оказаться хорошей тактикой, если еще до начала торгов ожидаются дополнительные контракты и заказы. Предложение низкой цены и выигрыш контракта повышают престиж фирмы и могут быть хорошей рекламой при продаже товара другим покупателям.
2.8. СКИДКИ КАК ИНСТРУМЕНТ ЦЕНОВОЙ ПОЛИТИКИ ПРЕДПРИЯТИЯ
По своей коммерческой природе скидка может быть двухтипов: 1) плановая;
![]()
Плановые скидки формируются за счет общей суммы накладных расходов и обычно настолько замаскированы, что иногда их так и называют – «замаскированными». Например, когда фирма производитель рекламирует свою продукцию с указанием списка торговых фирм, которые этой продукцией торгуют. Тем самым фирма производитель реально экономит средства своих дилеров на рекламу ими своих торговых названий, что по экономической природе равнозначно представлению им дополнительной скидки.
Тактические скидки предоставляются за счет прибыли, они создают дополнительные стимулы для покупателей совершить покупку. Использование тактических скидок ведет к снижению реальной цены приобретения товара и соответственно к увеличению премии покупателей.
![]()
Скидки за большой объем закупок – мера снижения стандартной продажной цены, которая гарантируется покупателю, если он разово приобретет партию товара с объемом, большим определенной величины.
Способы выражения скидки:
1) в виде процента снижения номинальной (справочной, прейскурантной цены;
2) в виде числа единиц (объема) товара, который может быть получен бесплатно или по пониженной цене;
3) в виде суммы, которая может быть покупателю возвращена или зачтена в счет оплаты им следующей партии товара.
Некумулятивные скидки – за объем разовой закупки призваны поощрять
покупателей к приобретению как можно больших партий товаров.
Прирост выигрыша фирмы в результате увеличения продаж после введения скидок должен превышать падение выигрыша в результате снижения фактической цены продажи каждой единицы товара в составе крупных партий. Экономические последствия использования таких скидок для покупате-
лей: разово приобретая большую партию товара, покупатель одновременно:
– выигрывает за счет возможности приобретения каждой единицы товара в составе этой партии по пониженной цене;
– проигрывает за счет того, что вынужден увеличивать расходы на хранение таких больших партий.
В ряде случаев проигрыш может быть существеннее выигрыша и традиционные (некумулятивные) скидки становятся не привлекательными.
Кумулятивные скидки за объем покупок – мера снижения стандартной продажной цены, которая гарантируется покупателю, если он при обретет за определенный период времени объем товара свыше договорног определа, и распространяется на объем товара сверх этого предела.
Пример А. Производитель диктует продавцу уровень цен конечной продажи.
| Объем закупок в течение года, шт. |
Торговая скидка на весь объем закупок до настоящего момента, % |
| До 2000 |
15 |
| 2001-4000 |
17 |
| 4001-6000 |
19,3 |
| Свыше 6000 |
23,5 |
При покупке каждой дополнительной партии товара производится перерасчет суммы, подлежащей уплате покупателем с учетом растущих размеров скидок (снижающейся цены приобретения).
Такие скидки полезны для фирм, производящих модную одежду и обувь, тк. ассортимент этих товаров должен меняться каждый сезон; реакция покупателей на модные новинки трудно предсказуема; конечные продажи часто осуществляются непосредственно через сеть мелких розничных торговых заведений. В этих случаях добиться от торговли разовой закупки особо крупных партий товаров практически нереально. Кумулятивные скидки как бы «привязывают» торговлю к одними тем же поставщикам, поскольку лишь в этом случае есть шанс получить новые партии товаров на все более выгодных условиях.
Например, универмаг вначале приобрел у фирмы производителя партию товара 2000 шт. При рекомендованной цене конечной продажи 400 де. это означает, что универмаг получил товары по цене: 400 х (1– 0,15) = 340 де. за штуку и уплатил за всю партию 680 тыс. де.
Товар быстро разошелся, и универмаг решил приобрести еще 1000 шт. В результате он получил право на кумулятивную скидку в форме повышенной (до 17 %) торговой скидки. Сколько теперь он должен будет уплатить за вторую партиюв 1000 шт? Если бы скидка была не кумулятивной, то цена единицы товара в новой партии составила бы: [400(1 – 0,17)] = 332 де. и за всю партию универмаг должен был бы уплатить 332 де. Но скидка носит кумулятивный характер, и это означает, что теперь расчет с универмагом будет вестись исходя из цены 332 де./шт. повсему объему его закупок в данном периоде времени (допустим, год).
Отсюда следует, что за весь приобретенный на данный момент объем товаров универмаг должен был бы в текущем году уплатить фирме производителю 996 тыс. де. (332 х 3000). Но так как ранее он уже уплатил 680 тыс. де., тозанову юпартию с него причитается лишь 316 тыс. де. [(996 – 680) = 316], а не 332 тыс. де.
В итоге каждая единица товара во второй купленной у производителя партии обойдется универмагу лишь в 316 де. и величина торгового дохода от ее продажи конечному покупателю составит соответственно (400 – 316) = 84 де. против 60 де. с каждой единицы товара в первой партии (400 – 340).
Пример Б. Если основой взаимоотношений с покупателями является не конечная цена реализации, а прейскурант отпускных цен
| Объем закупок в течени егода, шт. |
Цена товара |
| До 2000 |
По прейскуранту |
| 2001-4000 |
По прейскуранту минус 1,5 %* |
| 4001-6000 |
По прейскуранту минус 2,5 %* |
| Свыше 6000 |
По прейскуранту минус 4,5 %* |
* На весь объем закупки до настоящего момента.
Кумулятивные ступенчатые скидки (ступенчатые скидки) – скидки за объем закупок сверх порогового значения.
Такие скидки рациональны на тех рынках, где эластичность спроса покупателя может существенно возрастать в зависимости от объема и условий потребления товара.
Классическим примером использования ступенчатых скидок является ценообразование на электричество, воду и ряд видов услуг.
Так, электричество может быть использовано покупателями для разных целей:
а) в быту:
– для освещения и обеспечения работы обычных электроприборов;
– для приготовления пищи с помощью электроплит;
– для обогрева жилых помещений с помощью встроенных в строительные конструкции нагревателей вместо водяных батарей;
б) производственными фирмами:
– для освещенияи обеспечения работы обычных электроприборов;
– для обеспечения работы технологического оборудования; – для обогрева производственных помещений.
Если для освещения и обеспечения работы обычных электроприборов использование электричества вне конкуренции, то в случае приготовления пищи и обогрева у продукции электростанций есть конкуренты – газ и горячая вода для отопительных сетей. Ценовая политика энергетических компаний может быть построена с использованием ступенчатых скидок.
![]()
Скидки за внесезонную покупку – мера снижения стандартной продажной цены, которая гарантируется покупателю, если он приобретет товары сезонного спроса до начала того периода года, для которого они предназначены.
Цель использования скидок за внесезонную закупку состоит в том, чтобы побудить покупателей приобрести эти товары до начала очередного сезона, в самом его начале, либо вообще вне сезона. Это обеспечит ускорение оборачиваемости активов и позволяет изготовителям сезонных товаров снижать сезонные колебания загрузки своих производственных мощностей.
При хорошо налаженной системе сезонных скидок производители получат возможность организовать и завершить производство товаров для очередного сезона задолго до его начала и своевременно начать подготовку к изготовлению продукции для следующего сезона.
Величина скидок должна обеспечивать покупателю экономию большую, чем прирост его затрат на хранение товара до периода сезонного подъема спроса. С другой стороны, производитель может предоставить такие скидки на сумму, небольшую, чем величина его потерь из за замедления оборачиваемости капитала в результате хранения товара до начала сезона на собственных складах и получения выручки от продаж.
Логика скидок за внесезонную закупку требует их дифференциации во времени: чем ранее до начала сезона приобретается товар, тем больше должна быть величина скидки. Например, для фирмы, производящей елочные игрушки, шкала скидок для торговых фирм может иметь следующий вид: Скидки при про даже елочных игрушек торговым фирмам
| Дата поставки в магазин |
Скидка, % |
| 10-15 декабря |
1 |
| 1-9 декабря |
3 |
| 16-30 ноября |
4 |
| 1-15 ноября |
6 |
| Ранее 1 ноября |
8 |
Скидки за внесезонную закупку могут применяться и для конечных покупателей, то есть в розничной цене. Но тогда они имеют несколько иную цель – выравнивание загрузки мощностей по сезонам.
Скидки за ускорение оплаты – мера снижения стандартной продажной цены, которая гарантируется покупателю, если он произведет оплату приобретенной партии товара ранее установленного контрактом срока.
Главная задача скидок за ускорение оплаты – сокращение сроков погашения дебиторской задолженности и ускорение оборачиваемости оборотного капитала фирмы. Поэтому такой коммерческий инструмент можно в большей мере отнести к сфере финансового менеджмента, чем собственно ценообразования. Но поскольку скидки за ускорение оплаты (cash disicount) устанавливаются по отношению к ценам, то традиционно их определением занимаются ценовики с финансистамии бухгалтерами. Схема скидки за ускорение оплатыв ключает в себя три элемента:
1) собственно количественную вeличину скидки;
2) срок, в течение которого покупатель имеет возможность воспользоваться такой скидкой;
3) срок, в течение которого должна быть произведена оплата всей суммы задолженности за поставленную партию товара, если покупатель не воспользуется правом на получение скидки за ускоренную оплату.
Например, такая скидка может иметь вид: «2/10, нетто 30». Это будет
означать, что покупатель обязан произвести полную оплату поставленного ему товара в течение 30 каледарных дней с момента получения. Но если он произведет оплату в течение первых 10 дней этого срока, то имеет право автоматически уменьшить сумму платежа на 2 %, то есть воспользоваться скидкой за ускорение оплаты.
Величина ставки за ускорение платежа обычно определяется двумя фак-
торами:
1) уровнем таких ставок, традиционно сложившимся на данном рынке;
2) уровнем банковских процентных ставок за кредиты под пополнение оборотных средств.
Скидка для поощрения продаж нового товара – мера снижения стандартной продажной цены, которая гарантируется торговым посредникам, если они берут для реализации новые товары, продвижение которых на рынок требует повышенных расходов на рекламу и услуги торговых агентов. Эти скидки могут быть установлены различным образом: например, просто в форме дополнительной скидки в размере 1–2% с прейскурантной отпускной цены или в абсолютной сумме на единицу закупаемого у производителя товара. В любом случае, такие скидки прямо влияют на цену приобретения товара и поэтому их можно классифицировать как явные.
Скидка при комплексной закупке товаров – мера снижения стандартной продажной цены, которая гарантируется покупателю, если он приобретает данный товар вместе с другими дополняющими товарами этой фирмы.
Многие фирмы, продающие линейки взаимодополняющих товаров, используют данный тип скидок для поощрения покупателей к приобретению нескольких товаров из такой линейки, то есть комплексной закупки.
Выгодаоттакойскидки состоит в том, что цена каждого из товаровв составе набора, оказывается ниже, чем при изолированной покупке даже в тойже самой фирме.
Скидки для верных или престижных покупателей
Такие скидки предоставляются покупателям, которые либо:
1) регулярно осуществляют закупки в данной фирме на протяжении длительного периода времени;
2) относятся к категории престижных, что позволяет использовать факт покупки ими данного товара для его рекламы.
Эти скидки предоставляются на сугубо индивидуальной основе и могут
быть оформлены, например, в форме персональных карточек покупателей. Что касается скидок для престижных покупателей, то они чаще всего не афишируются и остаются секретом торга между продавцом и таким покупателем. Причиной подобной секретности является тот факт, что такая разновидность скидки является вопиющим проявлением ценовой дискриминации. Законодательство многих стран категорически запрещает ценовую дискриминацию. В российском законодательстве элементы такого запрета присутствуют в «Налоговом кодексе» и «Законе о защите прав потребителей». Скидки за отказ от товаров фирм конкурентов
Дополнительная выгода, предоставляемая покупателю в форме плановой или тактической скидки в случае подписанияим эксклюзивного договора о закупках товара только одного поставщика. В рамках такого договора производитель товара или его дилер:
1) гарантирует магазину (ресторану и тд.) особенно низкую оптовую цену;
2) вводит дополнительный бонус за каждую проданную единицу продукции;
3) устанавливает гибкий график поставок; 4) увеличивает товарный кредит.
Иногда такие договоры предусматривают также проведение дополнительных рекламных акций по данной марке и обучение персонала магазина. Взамен от контрагента требуется только одно: отказаться от закупок брэнда – конкурента.
Маркетинговые ходы в виде эксклюзивных договоров и вытекающих из них цен едва ли юридически правомерны. В промышленно развитых странах принято считать, что подкуп торговых сетей с целью вытеснения конкурентов противоречит торговой этике.
ВОПРОСЫ ДЛЯ САМОПРОВЕРКИ
1. Поясните связь между ценой и ценностью товара.
2. Раскройте содержание основных функций цены.
3. Каким образом можно классифицировать цены в зависимости от степени участия государства в ценообразовании?
4. Поясните формирование цен по стадиям ценообразования.
5. Поясните сущность группировки цен по их транспортной составляющей.
6. Назовите возможные цели ценовой политики предприятия.
7. Перечислите и поясните основные факторы, оказывающие влияние на цены.
8. Перечислите связь понятий: спрос на рынке, текущий потенциал рынка и емкость рынка.
9. Какие ценовые решения можно реализовать в практической деятельности предприятия, если коэффициент эластичности спроса по цене больше единицы?
10. Перечислите основные факторы, оказывающие влияние на эластичность спроса.
11. Каквлияет снижение цен на прибыльность предпряития при эластичном спросе по цене и доле переменных затрат в себестоимости продукции: а) 80%; б) 20%?
12. Перечислите ценовые стратегии по формированию начального уровня цены на товар.
13. Каковы характерные условия применения стратегии «цены проникновения»?
14. Назовите преимущества и недостатки стратегии «цены проникновения».
15. Каковы характерныеусловия применения ценовой стратегии «снятия сливок»?
16. Назовите преимущества и недостатки ценовой стратегии «снятия сливок».
17. Каковы характерные условия применения стратегии «среднерыночных цен»?
18. Назовите классификационные признаки стратегий относительно уровня цен.
19. В чем заключаетсяотличиестратегии «преимущественной цены» от стратегии «следования за конкурентом»?
20. Каковы преимущества и недостатки стратегии «ценовых линий»?
21. Назовите принципиальные различия стратегий «выгодной цены», ©имиджевой цены» и «справедливой цены».
22. Как изменяется цена на товар в зависимости от этапа жизненного цикла последнего?
23. Перечислите и кратко охарактеризуйте основные группы методов ценообразования.
24. Назовите достоинства и недостатки затратных методов ценообразования.
25. В чем заключается принципиальное отличие затратных методов ценообразования от методов ценообразования, ориентированных на спрос?
26. Поясните, в чем заключаетсяразличиемеждуплановымии тактическими скидками.
27. Почему кумулятивные скидки за объем закупок более привлекательны для торговли, чем некумулятивные?
28. Каковы экономически оправданные границы скидок за больший объем закупок?
29. Каковы положительные результаты у производителя сезонной продукции, если он применяет в своей практике скидки за внесезонную покупку?
3. РАСПРЕДЕЛЕНИЕ ТОВАРОВ
3.1. КАНАЛЫ РАСПРЕДЕЛЕНИЯ И ИХ ХАРАКТЕРИСТИКА
Большинство производителей работают через посредников, которые доставляют товар на рынок. Эти посредники и формируют канал распределения.
Канал распределения – это совокупность независимых орагнизаций, участвующих в процессе продвижения товара или услуги от производителя к потребителю, который использует этот товар или услугу либо непосредственно, либо для производства на их основе других товаров или услуг.
Причины обращения к посредникам
1. Сокращается количество прямых контактов производителя с потребителем, на организацию которых потребовались бы значительные временные, трудовые и финансовые ресурсы.
2. Нивелируется несоответствие в масштабах производства партий товара и потребления единиц товара. Производителю всегда удобнее работать с крупными партиями товара (изготавливать, поставлять, оформлять), отдельному же потребителю – с мелкими порциями товара (приобретать, потреблять).
3. Становится разнообразным ассортимент, из которого потребитель может выбирать необходимые ему позиции. Посредник может разнообразить предлагаемую совокупность товаров в зависимости от предпочтений покупателей, обратившись к нескольким производителями сконцентрирова в в одной «точке» множество товарных позиций.
4. Улучшается обслуживание потребителей. Это связано с большей «приближенностью» посредника к сфере потребления, приспособленностью к требованиям «на местах», оперативностью реакции на колебания потребительской среды.
Функции каналов распределения
– транспортировка: любые действия по перемещению товара от места его производства к месту потребления;
– «дробление»: обеспечение доступности товара в количестве, которое соотвествует потребностям конечных потребителей;
– хранение: обеспечение доступа к товару в момент его приобретения покупателем;
– компановка: формирование блока специализированных и (или) взаимодополняющих товаров, требуемых в разных ситуациях потребления;
– установление контакта: действия, которые способствуют доступу к удаленными многочисленным группам покупателей;
– создание информационных связей: развитие знаний о потребностях рынка и условиях конкурентного обмена;
– принятие части риска: несение бремени ответственности – финансовой, организационной и, в известной степени, моральной – за функционирование самого канала.
Уровни канала распределения
Уровень канала – любой посредник, который выполняет определенную работу по приближению товара и права собственности на него к конечному покупателю.
Длина канала распределения определяется числом независимых уровней (количеством типов посредников).
При неспоредственной реализации товара производителем конечному потребителюговорят о «канале прямого маркетинга» или «канале нулевого уровня». Если в распространении товара задействован хотя бы один посредник, говорят о «косвенном» канале распределения. Такие каналы могут быть «одноуровневыми», «двууровневыми», «трехуровневыми».
![]()
Рис. 3.1:
а – канал прямого маркетинга (торговля через сбытовые органы фирмы,
собственные магазины, коммивояжеров, почтовую рассылку, комиссионеров, маклеров итп.); б – одноуровневый канал; в – двухуровневый канал; г – трехуровневый канал
![]()
Рис. 3.2:
а – канал прямого марктеинга; б, в, г – более сложные распределительные каналы
Интенсивность охвата рынка
в зависимости от числа посредников одного типа на одном уровне канала распределения говорят о «широте» (или «плотности») канала. Существует три варианта широты канала.
1. Интенсивное распределение
Предприятие производитель стремится распространять свой товар через всех посредников, желающих принять товар в свой ассортимент (почти все товары массового спроса).
2. Эксклюзивное распределение
Предприятие производитель распространяет свой товар через ограниченное количество посредников и даже (в крайнем случае) предоставляет этим посредникам исключительные права на распространение своих товаров в пределах их сбытовых территорий. Иногда производитель даже ставит условие, что посредник не должен заниматься товарами других фирм (престижные марки автомобилей, модели одежды от известных домов мод и тп.).
3. Селективное распределение
Производитель предлагает свой товар не единственному посреднику, но и не всем подряд: выбрав несколько контрагентов, он более жестко их контролирует. Этот вариант распределения промежуточный между первыми двумя.
Внутренняя структура канала распределения
С организационной точки зрения выделяют обычные (традиционные) каналы распределения, вертикальные маркетинговые системы и горизонтальные маркетинговые системы.
Традиционные каналы распределения – каналы, состоящие из одного и более независимых производителей, оптовых и розничных торговых фирм. Каждый из них является отдельным предприятием, которое стремится получить максимальную прибыль, даже в ущерб при были системы в целом. Вертикальная маркетинговая система (ВМС) – структура каналов распределения, в которой производители, оптовые и розничные торговцы действуют как единая система. Один из участников канала либо является владельцем остальных фирм участников, либо заключает с ними контракт, либо имеет влияние, достаточное для того, чтобы объединить остальных участников. Доминирующее положение в ВМС может занимать как производитель, так и оптовая или розничная торговая фирма. ВМС были созданы с целью обеспечить контроль над работой всего канала и управления конфликтами.
Сравнение традиционного канала распределения ивертикальной маркетинговой систем
Традиционный канал Вертикальная распределения маркетинговая система
Рис. 3.3
![]()
Корпоративная ВМС объединяет последовательные стадии производства и распределения под одним владельцем, который осуществляет общее руководство каналом.
Договорная ВМС состоит из независимых производственных и распределительных организаций разных уровней системы, связанных договорными отношениями в целях большей экономии или лучших коммерческих результатов, чем это можно было бы получить, действуя в одиночку.
Добровольная цепь под эгидой оптовика – договорная ВМС, в которой оптовик организует добровольные цепи независимых розничных торговцев с целью помочь им в конкуренции с крупными распределительными сетями.
Кооператив розничных торговцев – группа независимых розничных торговцев или магазинов розничной торговли, объединившихся для централизованных совместных закупок, ведения общего складского хозяйства и проведения общей политики в области закупок и продвижения продукта. Члены кооператива закупают большинство их товаров через кооператив, планируют совместную рекламную кампанию. Прибыль каждого члена пропорциональна объему сделанных им закупок.
Франчайзинг – это контрактное партнерство между компанией, предоставляющей франшизу (производителем, оптовикомилисервисной организацией), и независимым участником канала, приобретающим франшизу, который покупает право продавать продукцию или услугу данной марки.
Обладатель франшизы (франчайзы) объединяет несколько звеньев в производственнораспределительнойсистеме. Компания, предоставляющая франшизу (франчайзер), обычно разрешает пользоваться фирменной торговой маркой и стилем, обеспечивает стартовым капиталом, предлагает помощь в маркетинге и бухгалтерии, а также технологию производства (know–how). В свою очередь, эта компания получает некоторую компенсацию в виде начального вознаграждения, постоянных лицензионных платежей, арендной платы за оборудование и определенную долю прибылей.
Три основные формы франчайзинга:
1) система розничных франчайзеров под эгидой производителя . Часто применяется в автомобильной промышленности. Например, компания BMW предоставляет своим дилерам лицензии на право торговли ее автомобилями. Дилерами являются независимые фирмы, которые соответствуют различным требованиям к качеству продажи сервисного обслуживания;
2) система оптовых франчайзеров под эгидой производителя . Такая система применяется в отрасли безалкогольных напитков. Например, компания Coca-Cola, предоставляет лицензии заводам по разливу напитков (оптовым торговым фирмам). Эти предприятия покупают концентрат фирмы CocaCola, делают из него газированный напиток, разливают его в бутылки и продают розничным торговым фирмам на местных рынках;
3) система розничных франчайзеров под эгидой компании сферы услуг. В этом случае предприятие сферы услуг создает сеть лицензированных розничных торговых фирм для предоставления своих услуг потребителям. Примеры: магазины одежды Benetton; точки быстрого питания McDonald‘s; фирмы, занимающиеся меблированием домов IKEA и Marks&Spencer итп. Управляемая ВМС – координирует последовательные этапы производства и распределения товаров. Такая координация осуществляется благдаря размерам и мощи одного из участников системы, а не с помощью единственного владельца всех предприятий, участвующих в производстве и распределении товара, и не с помощью цепочки предприятий, связанных договорными обязательствами. Например, в области электронной бытовой техники компания Sony завоевала большую поддержку со стороны розничных торговцев, благодаря своим высококачественным торговым маркам.
Горизонтальная маркетинговая система – схема построения канала распределения, при которой две или более компании одного уровня объединяют свои усилия , чтобыо сваивать новые маркетинговые возможности. Работаяв месте, компании могут объединять свои капиталы, производственные мощности и маркетинговые ресурсы для того, чтобы сделать больше, чем может сделать одна компания, работая в одиночку.
Мотивирование участников сбытового канала Производитель может остановиться на одном из следующих вариантов
мотивирования посредников, распространяющих его товар:
– стратегия «втягивания» товара в сбытовой канал;
– стратегия «проталкивания» товара в сбытовой канал;
– применение одновременно двух предыдущих вариантов стратегий.
![]()
Стратегия «втягивания» товара в сбытовой канал предусматривает широкомасштабную рекламную кампанию в СМИ, осуществляемую предприятием производителем. Реклама стимулирует спрос покупателей, которые спрашивают рекламируемый товару розничных продавцов; те, в свою очередь, обращаются к оптовикам, а последние – к производителям.
Данная стратегия, как правило, не требует создания и поддержания запасов готовой продукции в распределительной сети. Такой стратегии придерживаются, например, компания IBM, Johnson and Johnson, Kodak, Procter and Cambe.
![]()
Стратегия «проталкивания» товара в сбытовой канал предусматривает кооперацию производителя готовой продукции с оптовыми и розничными торговымипосредниками, когда товар «выталкивается» из производства в распределительные каналы посредников почти независимо от стимулирования спроса. Издержки на рекламу несут посредники – самостоятельно или вместе с производителем продукции. Часто производитель вынужден стимулировать продвижение на рыноки продажу товаров, устанавливая специальные скидки или создавая дополнительные запасы у розничных торговцев.
3.2. СОСТАВНЫЕ ЭЛЕМЕНТЫ КАНАЛОВ РАСПРЕДЕЛЕНИЯХ
Распределительные органы производителя
Отдел сбыта – традиционное подразделение любой фирмы, производящей товар, которое осуществляет функции получения и ведения заказов. В настоящее время эти функции переходят в большинстве фирм к отделу марктеинга (или коммерческому отделу).
Руководство предприятия – участвует в сбытовой деятельности индивидуальных крупных покупателей, например в отраслях инвестиционного комплекса. При необходимости руководство организует и поддерживает коммивояжеров.
Коммивояжер – это служащий предприятия, которому поручается поиск клиентов и ведение с ними работы. Обычно коммивояжер «обслуживает» определенный район и подчиняется региональному руководителю.
Торговые представители – это юридически самостоятельные лица, заключающие договоры и ведущие дела для нескольких фирм. В отличие от коммивояжера, торговый представитель действует самостоятельно, он формирует заказы, комплектует возможные технологические комплексы и устройства на основе продукции, деталей, выпускаемых различными фирмами, организует поставки, проводит выставки образцов. Вознаграждение торговых представителей зависит от объема сбыта за вычетом затрат, необходимых для осуществления его деятельности.
Маклер занимается поиском возможностей заключения договоров, он представляет интересы обеих сторон, где выступает посредником.
Сбытовые филиалы организуют крупные предприятия для осуществления торговой деятельности в непосредственной близости от потребителя. Основной функцией сбытовых филиалов является обеспечение быстрой поставки продукции фирмы путем проведения консультаций клиентуры и изучения конъюнктуры рынка.
Некоторые виды посредников, принимающих участие в оптовой торговле
Дилер приобретает товар по договору поставкии становится собственником продукции после полной оплаты поставки. После выполнения всех условий по договору поставки отношения между дилероми фирмой производителем прекращаются. В случае вертикального канала распределения, когда члены распределительной сети действуют как единая система, дилерымогутвыступатьдержателямипривилегийиобъединятьвсвоихрукахрядпоследовательныхэтаповпроцеса производства и потребления.
Дистрибьютор – получает, как правило, от производителя право торговать своей продукцией на установленной сроки в определенном месте. Дистрибьютор не является собственником продукции, а только приобретает после заключения договора право продажи продукции. Дистрибьютор может действовать иотсвоегоимени, если это предусмотрено договором.
Комиссионер не является собственником продаваемой продукции, но имеет право заключать договор о поставке от своего имени. Комиссионер обеспечивает сохранность товара и отвечает за ущерб, причиненный продукции по его вине. Вознаграждение комиссионер получает в виде процентов от суммы проведеннойоперациииливвиде разницымеждуценой, назначеннойкомитентом, иценойреализации.
Комитент – лицо, которое выдает комиссионеру поручение о заключении определенной сделки или ряда сделок от имени комиссионера, но засчет комитента.
Агент – посредник, выступающий в качестве представителя или помощника другого основного по отношению к нему лица (принципала±хозяина). Он является юридическим лицом, но может заключать сделки от имени и за счет принципала. Размер вознаграждения агента регулируется тарифом или договором с принципалом (например, в виде процента от суммы заключенной сделки).
Брокер – посредник, который не является собственником продукции, как дилер или дистрибьютор, и не может распоряжаться ею. Его функция является посреднической при заключении сделок, он выполняет отдельные поручения, задания. Договорных отношений в процессе сделок брокер не имеет ни с одной из сторон договора купли продажи. Доход брокера определяется в виде процента от стоимости продажных товаров или в виде заранее оговоренной суммы за каждую единицу проданного товара.
Розничная торговля
К розничной торговле относятся все виды деятельности, связанные с продажей товаров и услуг непосредственно потребителям для личного, некоммерческого использования.
| Типы розничных торговцев
Розничная Внемагазинная Организации, торговля через розничная занимающиеся магазины торговля розничной торговлей |
Рис. 3.7
Основные типы магазинов розничной торговли
| Тип |
Описание |
| Специализированный магазин |
Предлагает узкую группу товаров со значительной глубиной ассортимента. Например, мебельные, книжные, цветочные магазины, а также магазины, торгующие одеждой, спортивными товарами, бытовой электротехникой, игрушками |
| Универмаг |
Предлагает несколько разновидностей продуктов (обычно это одежда, украшения, домашняямебель, прочие товары для дома). Каждый тип товара продается в своем отделе, которым управляют специалисты по снабжению или торговле товарами даннойгруппы |
| Супермаркет |
Довольно крупный розничный магазин самообслуживания с низким уровнем цен, невысокими наценкам и и большим объемом продаж, который торгует широкой номенклатурой продуктов питания, моющих средств и хозяйственных товаров |
| Универсам широкого профиля |
Магазин, который занимает площадь в 2000-4000 м2 , предлагающий широкий ассортимент продовольственных и непродовольственных товаров повседневного спроса. А также набор дополнительных услуг, например, химчистку, почтовые услуги, проявку пленки, печатанье фотографий и тд. Многие из этих магазинов сокращают издержки за счет более эффективного и жесткого контроля качества, централизованной системы распределения, электронных технологий |
| Магазин со сниженными ценами (дискаунт) |
Предлагает стандартный ассортимент товаров по более низким ценам, имеет возможность устанавливать более низкие наценки и имеет большой оборот |
| Магазин товаров повседневного спроса |
Небольшой магазин, расположенный вблизи жилого района, который открыт с утра и допозднего вечера семь дней в неделю и предлагает ограниченный ассортимент ходовых товаров повседневного спроса |
| ©Убийцы» товарных категорий |
Новое направление особенно агрессивной розничной торговли по сниженным ценам. Очень дешево продают товары известных марок четко определенной категории. Их агрессивная ценовая стратегия основа на на том, чтобы закупать огромное количество товара и предлагать его по более низким , чем у конкурентов ценам, с целью ликвидации большинства из них в этом секторе |
Основные типы магазинов розничной торговли (продолжение)
| Тип |
Описание |
| Фирменный магазин |
Принадлежит и управляется фирмой-производителем. Как правило, в нем продается избыточная или невостребованная продукция этой фирмы, а также различные нестандартные продукты |
| Торговый комплекс гипермаркет) |
Огромный магазин (размером в шесть футбольных полей) объединяет супермаркет, магазин сниженных цен и склад магазин; практикуются цены со скидками для тех покупателей, которые сами грузят и транспортируют купленные товары, например мебель |
| Клуб склад или клуб оптовиков |
Торгует ограниченной номенклатурой марочных товаров, но крупными партиями, как правило, бакалейными товарами, электробытовыми приборами, одеждой, устанавливая самые низкиецены, экономя при этом за счет низкого уровня издержек, расположения на окраинах города и наличия складских помещений. Клиентами такого магазина являются маленькие розничные магазинчики, которые платят ежегодные членские взносы |
| Магазин демонстрационный зал |
Торгуют по каталогам широкой номенклатурой дорогих ходовых марочных товаров по сниженным ценам. Товары, выставленные на продажу, перечислены в каталогах, расположенных на прилавках магазина. Покупатели заполняют формуляр заказ на товар и передают его торговому ассистенту, который и оформляетс делку. Потребитель получает товар либо у ассистента, либо непосредственно со склада |
Основные типы внемагазинной розничной торговли
| Тип |
Описание |
| Личная продажа прямая продажа) |
Существует три типа личной продажи: «один на один» (собственно личная продажа), «один многим» (вариант «вечеринка»), многоуровневый (сетевой) маркетинг |
| Продажа «одинна один» |
Торговый представитель наносит визит одному человеку потенциальному пользователю товара) и пытается продать ему свой продукт |
| Продажа «один многим» |
Торговый представитель приходит в дом к человеку, который пригласил друзей и соседей на вечеринку или другое подобное мероприятие. Затем он демонстрирует свой товари принимает заказы. Наилучшие продавцы, какправило, получают большие премии |
Основные типы внемагазинной розничной торговли (окончание)
| Тип |
Описание |
| Многоуровневый сетевой) маркетинг |
Это «пирамидальный» вариант личной продажи, при котором компания набирает независимых работников, становящихся дистрибьюторами ее продукции. Эти дистрибьюторы в свою очередь нанимают распространителей и тд. Конечная продажа осуществляется чаще всего на дому у покупателей. Дистрибьютор получает определенный процент от продаж всей нижестоящей (те. созданной им самим) торговой группы, а также из заработка от собственной продажи товаров конечным потребителям. Примеры успешного сетевого маркетинга «Цептор» и «Amwey» |
| Прямой маркетинг |
Своими корнями уходит в прямую почтовую рассылку и торговлю по каталогам. Сегодня прямой маркетинг включает и иные способы продаж, в том числе телемаркетинг, специальные телеканалы программы домашнего шопинга и информролики) и электронную торговлю |
| Продажа через автоматы |
Через автоматы продается широкий ассортимент товаров, включая как товары импульсной покупки, необходимые в самых разных ситуациях сигареты, прохладительные напитки, конфеты, газеты), так и другие продукты (колготки, косметику, различные легкие продукты питания, горячие супы и прочую еду, книги, музыкальные альбомы, фильмы, футболки). Максимальное развитие торговли автоматы получил и в Японии, где с их помощью распространяются ювелирные изделия, замороженное мясо, свежие цветы, спиртные напитки. Торговые автоматы можно найти на любой фабрике, в офисах, крупных магазинах розничной торговли, на автозаправочных станциях, в гостиницах, ресторанах. С точкизрения покупателей такие автоматы имеют следующие выгоды: работают 24 часа в сутки, предоставляют возможность полного самообслуживания и «чистый» товар, который практически никто до этого не держал в руках |
Основные типы организаций, занимающихсярозничнойторговлей
| Тип |
Описание |
| Корпоративные сети магазинов |
Два или более магазина, имеющих одного владельца и единый контролирующий их орган, централизованно осуществляющих закупки товара и предлагающих схожий ассортимент продукции. Корпоративные сети охватывают все формы торговли, однако чаще всего они объединяют такие розничные предприятия, как универмаги и специализированные магазины (продовольственные, обувные, аптеки, женской одежды). Большой объем товарооборота позволяет им совершать закупки в больших объемах и со значительными скидками. Такие компании могут позволить себе нанять специалистов по ценообразованию, продвижению, коммерческому планированию, контролю над запасамии прогнозированию продаж |
| Добровольные сети |
Представляют собой группу независимых розничных торговцев, организованную (а иногда и финансируемую) компанией, занимающейся оптовой торговлей. Группа создается в целях увеличения объемов закупок и торговли |
| Розничные кооперативы |
Состоят из независимых розничных торговцев, создающих центральную закупочную организацию и совместно проводящих мероприятия по стимулированию продаж |
| Потребительские кооперативы |
Фирма розничной торговли, принадлежащая своим покупателям. Потребительские кооперативы организуются отдельными общинами или иными группами людей, которые чувствуют, что местные розничные торговцы не обслуживают их на должном уровне (завышенные цены, товары плохого качества). Люди на общие деньги открывают собственный магазин, сами выбирают его руководство и определяют политику работы. В таком магазине могут быть установлены низкие или «нормальные» цены, но в последнем случае члены кооператива получают процент от продаж (дивиденд) в зависимости от того, на какую сумму сами совершают покупки |
| Франчайзинговые организации |
Добровольное партнерство между компанией, предоставляющей франшизу (производитель, оптовый торговец или сервисная фирма), ипользующийся ею (независимый предприниматель, приобретающий правовладенияи использования одного или нескольких объектов франчайзинговой системы). Наибольшее распространение франчайзинг получил в сфере быстрого питания; среди магазинов, торгующих видеопродукцией; центров здоровья омоложения; парикмахерских; а также во многих других сферах |
| Торговые конгломераты |
Корпорация произвольной формы, объединяющая несколько различных форми на правлений розничной торговли. Присутствует некоторая степень интеграции в плане распределения и менеджмента |
3.3. ТРАНСПОРТИРОВКА ТОВАРОВ
Решения относительно транспортировки товаров оказывают решающее влияние на издержки товародвижения. От транспортной организации, услугами которой будет пользоваться фирма, зависит уровень цен на ее товары, своевременность их доставкии состояние товаров в момент их прибытия в пункт назначения.
Для транспортировки продукции фирма может выбрать один из пяти видов транспорта: железнодорожный, водный, автомобильный, трубопроводный или воздушный.
Характеристика отдельных видов транспорта при перевозке товаров
| Вид транспорта |
Характеристика |
| Автомобильный |
Транспортировка с помощью грузовых автомобилей обладает большей гибкостью в отношении маршрутов и графиков движения. Использование грузовиков наиболее эффективно для перевозки дорогостоящих товаров на небольшие расстояния |
| Железнодорожный |
Железная дорога – один из наиболее рентабельных видов транспорта для перевозки на значительные расстояния больших количеств сыпучих материалов – угля, песка, полезных ископаемых, сельскохозяйственной и лесной продукции |
| Водный |
В странах, где есть внутренние водные пути и прибрежные воды, большое количество товаров перевозится судами и баржами. С одной стороны, перевозка водным транспортом таких сыпучих, недорогих и непортящихся товаров как песок, уголь, нефть, зерно, металлические руды, стоит очень дешево. Однокаботажное судно или морской паром может перевезти такое количество груза, для транспортировки которого понадобились бы десятки поездов или сотни грузовиков. С другой стороны, водный транспорт является самым медленным видом транспорта и иногда зависит от погодных условий. Опять же, производителями поставщикам необходимо найти компромисс между скоростью, сохранностью и издержками при перевозке |
| Трубопроводный |
Трубопроводы созданы специально для транспортировки таких сырых материалов, как нефть, природный газ и химические вещества от их источника к потребителям. Стоимость транспортировки нефтепродуктов по трубопроводу ниже стоимостиих транспортировки по железной дороге, но выше стоимости перевозки водным транспортом. Большинство трубопроводов используется их владельцами для транспортировки их собственных продуктов |
Характеристика отдельных видов транспорта при перевозке товаров (окончание)
| Вид транспорта |
Характеристика |
| Воздушный |
Стоимость воздушных грузовых перевозок намного выше стоимости перевозок железнодорожным или автомобильным транспортом. Однако воздушный транспорт не заменим в техслучаях, когда требуется очень высокая скорость перевозок или когда необходимо осуществлять транспортировку грузов на очень большие расстояния. Ограничение на данный вид транспорта накладывает относительно не большой размер партий товара. К числу товаров, наиболее часто транспортируемых по воздуху, относятся скоропортящиеся продукты (свежая рыба, цветы) и дорогостоящие не громоздкие товары (технические приборы, ювелирные изделия). Фирмы также считают, что использование грузовой авиации позволяет сократить уровень товарных запасов, уменьшить количество складов и снизить затраты на упаковку |
Использование разных видов транспорта для транспортировки
различных грузов
| Железно- дорожный |
Авто |
Водный |
Трубопроводный |
Воздушный |
| Уголь |
Одежда |
Бензин |
Нефть |
Цветы |
| Зерно |
Бумажные товары |
Химикаты |
Природный газ |
Скоропортя- щиеся продукты |
| Химикаты |
Компьютеры |
Руда |
Угольная пульпа |
Инструменты |
| Лес |
Книги |
Бокситы |
Вода |
Срочные запасные части |
| Автомобили |
Свежие продукты |
Зерно |
Срочная почта |
|
| Руда |
Живой скот |
Сравнительная характеристика различных видов транспорта
| Вид транспорта |
Скорость время доставки от точки до точки) |
Надежность соблюдение графика) |
Способность перевозить различные виды грузов |
Доступность количество обслуживаемых геогра- фических точек) |
Стоимость одной тонномили) |
| Железнодорожный |
3 |
4 |
2 |
2 |
3 |
| Водный |
4 |
5 |
1 |
4 |
1 |
| Автомобильный |
2 |
2 |
3 |
1 |
4 |
| Трубопровод |
5 |
1 |
5 |
5 |
2 |
| Воздушный |
1 |
3 |
4 |
3 |
5 |
1 – самый высокий балл ... 5 – самый низкий балл
ВОПРОСЫ ДЛЯ САМОПРОВЕРКИ
1. Каковы функции каналов распределения?
2. Перечислите причины обращения к посредникам.
3. Назовитео сновные виды косвенных каналов распределения, поясните их состав.
4. Какая стратегия распределения – интенсивная, селективная или эксклюзивная – применяется для распределения следующих товаров и почему: а) автомобили «Лада»; б) шоколадные батончики «Марс»; в) крем «Чистая линия»; г) модная одежда Betty Barklay?
5. Какие преимущества имеет вертикальная маркетинговая система перед традиционным каналом распределения?
6. Охарактеризуйте преимущества и недостатки трех основных видов вертикальных марктеинговых систем: корпортивной, договорной и управляемой?
7. Назовите три основные формы франчайзинга и приведите примеры этих форм на отечественном рынке.
8. Что из себя представляет горизонтальная маркетинговая система? Приведите пример.
9. Поясните сущность стратегии «втягивания» товарав сбытовой канал.
10. Что из себя представляет стратегия «проталкивания» товарав сбытовой канал?
11. Поясните функции следующих посредников, принимающих участиев оптовой торговле: дилер, дистрибьютор, комиссионер, агент, брокер?
12. Чем объяснить широкое распространение сетевого маркетинга на рынках многих стран?
13. Охарактеризуйте различные виды транспорта с точки зрения следующих критериев: скорость, надежность, стоимость транспортировки, степень универсальности для перевозки различных видов грузов.
4. ПРОДВИЖЕНИЕ. СОЗДАНИЕ И УПРАВЛЕНИЕ КОМПЛЕКСОМ МАРКЕТИНГОВЫХ КОММУНИКАЦИЙ
4.1. ОСНОВНЫЕ СРЕДСТВА КОММУНИКАЦИИ И ИХ ХАРАКТЕРИСТИКИ
Под продвижением продукта понимается совокупность различных видов деятельности по доведению информации о достоинствах продукта до потенциальных потребителей и стимулированию возникновения у них желания его купить.
Современные организации используют сложные коммуникационные системы для поддержания контактов с посредниками, клиентами, сразличными общественными организациями и слоями.
В состав комплекса продвижения (коммуникационного комплекса) включают рекламу, Стимулирование сбыта, связи с общественностью, личную продажу, прямой маркетинг.
Характеристика основных средств коммуникации
| Средство коммуникации |
Характеристика |
| Реклама |
Любая оплачиваемая форма неличного представления и продвижения идей, товаров или услуг |
| Стимулирование сбыта |
Разнообразные краткосрочные поощрительные акции, направленные на стимулирование покупки или апробации товара или услуги |
| Связи с общественностью (public relations) |
Налаживание отношений между компаниями и различными контактными аудиториями посредством создания выгодной для компании репутации, положительного «корпоративного имиджа», с одной стороны, и устранением или предупреждением нежелательных слухов, сплетен и действий – с другой. К числу главных инструментов пропаганды относятся контакты с прессой, создание репутации товара, корпоративные коммуникации, встречи представителей компании с потребителямии консультирование |
| Личная продажа |
Непосредственное взаимодействие с одним или несколькими потенциальными покупателями в целях организации презентаций, ответов на вопросы и получения заказов |
| Прямой маркетинг |
Использование почты, телефона, факса, электронной почты и других не личных средств связи для прямого воздействия на действительных или потенциальных клиентов |
Обычные средства коммуникации
| Реклама |
Стимулирование сбыта |
Связи с общественностью |
Личная продажа |
Прямой маркетинг |
|||||||||||||||||||||
| Объявление в СМИ На упаковке Вкладыши Рекламные ролики Брошюры ибуклеты Плакаты и листовки В справочниках Репринты рекламных объявлений На стендах объявлений На выставках Демонстрация новинок Аудиовизуальные материалы Символы и логотипы На видео кассетах |
Конкурсы, игры, розыгрыши, лотереи Призы и подарки Раздача образцов товаров Промышленные выставки и ярмарки Выставки Демонстрации Купоны на товар Скидки Низкий процент по кредиту Развлечения Прием товаровв счет оплаты покупки нового Долгосрочные программы Продажа в нагрузку |
Подготовка пакетов информации для прессы Выступления Семинары Ежегодные отчеты Пожертвования Спонсорство Публикации Поддержание отношений с контактной аудиторией Лоббирование Выявление средств связи Каталог компании Мероприятия |
Торговые презентации Торговые встречи Поощрительные программы Раздача образцов Промышленные выставки и ярмарки |
Каталоги Рассылка рекламы по почте Телемаркетинг Покупка через компьютер Покупка через телевидение Связь пофаксу E-mail Связь потелефону |
|||||||||||||||||||||
| Относительная значимость средств продвижения на потребительских рынках и рынках товаров производственного назначения
Товары широкого потребления Относительная значимость Относительная значимость |
|||||||||||||||||||||||||
Рис. 4.1

![]()
Отправитель – сторона, отправляющая сообщение другой стороне.
Кодирование – процесс представления рекламного сообщения или идеи в наглядной форме. Сообщение – совокупность слов, изображений или символов, передава-
емых отправителем.
Средства рекламы – коммуникационные каналы, покоторым сообще-
ниепередается от отправителя к получателю.
Расшифровка – процесс, входе которого получатель придает определенное значение символам, закодированным отправителем.
Получатель – сторона, принимающая сообщение, отправленное другой
стороной.
Ответная реакция – действия получателя после ознакомления с предлагаемым сообщением. Действия могут быть самыми различными – например, потребитель становится более осведомленным о свойствах продукта, покупает его, или не предпринимает никаких действий.
Обратнаясвязь – часть ответной реакции, которую получатель доводит до сведения отправителя (часть покупателей пишет или звонит по телефону в компанию для того, чтобы похвалить или покритиковать рекламу или продукцию фирмы).
Помехи – незапланированные искажения информации в процессе ее передачи, приводящие к тому, что адресат получает не то сообщение, которое передал отправитель (например, потребитель отвлекся во время чтения журнала и пропустил рекламу или не заполнил ее ключевых пунктов).
В этой модели можно выделить несколько ключевых факторов эффективной передачи информации. Отправители должны точно знать, какую аудиторию они хотят заинтересовать и какую реакцию рассчитывают получить. Сообщение должно быть закодировано способом, доступным для расшифровки целевой аудиторией. Отправители должны передавать сообщения с помощью средств рекламы, которые способны достичь целевой аудитории, а также обеспечить эффективные каналы обратной связи, позволяющие оценить ответную реакцию аудитории на свои сообщения.
4.2. РАСЧЕТ ОБЩЕГО БЮДЖЕТА НА ПРОДВИЖЕНИЕ
Одинизсамых сложных вопросов, стоящих перед компанией, – сколько средств выделить на продвижение товара.
Применяют четыре наиболееобщих метода расчета бюджета рекламной
кампании в целом:
– от наличных средств;
– в процентах к сумме продаж;
– метод конкурентного паритета; – исходя из целей и задач.
Метод расчета от наличных средств – выделение компанией такой суммы на продвижение товара, которую она, по ее мнению, может себе позволить. Вначале рассчитывается общий доход, из которого затем вычитаются текущие расходы и затраты капитала, а затем из остатка некоторая сумма выделяется на рекламу. Чаще всего это приводит к занижению средств на рекламу. Игнорируется влияние мероприятий по продвижению на объем сбыта.
Метод расчета в процентах к сумме продаж – расчет бюджета продвижения в определенном процентном отношении от текущей или прогнозируемой выручкилибокакпроцентот цены товара. Этот метод отображает зависимость между затратами на стимулирование, продажной стоимостью товара и суммой прибыли в расчете на единицу товара. К преимуществам данного метода также относится поддержание конкурентной стабильности, так как фирмы конкуренты тратят на продвижение примерно одинаковый процент от суммы продаж.
Недостатками метода являются следующие: бюджет определяется исходя из доступных средств, а не перспектив бюджета. Показатель сбыта может меняться из года в год. Сам процент произволен и не обоснован какими либо объективными соображениями, кроме прошлого опыта или величины аналогичных затрат фирм конкурентов.
Метод конкурентного паритета – выделение на бюджет продвижения суммы, соответствующей затратам конкурентов. Фирмы следят за рекламой конкурентов либо оценивают средние затраты на рекламу в своей отрасли, пользуясь различными печатными источниками или сводками профессиональных организаций, а затем планируют свой бюджет из расчета средних затрат.
Довод в поддержку данного метода – одинаковый уровень затрат позволяет избежать острой конкуренции в сфере продвижения.
Но фирмы очень отличаются друг от друга, у каждой свои особые статьи расходовна продвижение своей продукции. И нет никаких доказательств того, чтобюджеты, сформированные по принципу конкурентного паритета, препятствуют острой конкурентной борьбе в сфере продвижения.
Метод расчета исходя из целей и задач – размер бюджета фирма устанавливает на основании того, чего она хочет добиться с помощью продвижения. Этот метод включает: 1) выработку конкретных целей продвижения; 2) определение задач, которые следует выполнить для достижения этих целей; 3) оценку затрат на выполнение этих задач. Сумма этих затрат и составит бюджет продвижения.
Данный метод заставляет сформулировать соображения относительно взаимосвязи между денежными затратамии результатами продвижений. Но довольно сложно опредедить, какие задачи следует выполнить для достижения намеченных целей.
Основное преимущество этого метода состоит в том, что он требует от руководства четкого изложения коммуникационных целей, способов их достижения и составления смет альтернативных коммуникационных программ.
4.3. РЕКЛАМА
Реклама – любаяо плаченная конкретным спонсором форма неличного представления и продвижения идей, товаров или услуг.
![]()
Цельрекламы – конкретная задача по информированию определенной целевой аудитории на протяжении определенного периода времени. Цели рекламы можно классифицировать потому, стремится ли реклама проинформировать , убедить или напомнить .
Информативная реклама очень часто используется при выведении товара на рынок. В этом случае целью рекламы является формирование первичного спроса.
Убеждающая реклама – приобретает значение по мере роста конкурентной борьбы. Теперь целью компании является формирование избирательного спроса на конкретную марку. Реклама убеждает потребителей, чтоза свои деньги они получат наивысшую ценность.
Напоминающая реклама – важна для товаров, находящихся на этапе зрелости, она не дает потребителям забыть о товаре.
Вероятные цели рекламы
| Цели рекламы |
Описание |
| Информирование |
Сообщить о появлении нового товара. Предложить новые способы применения известного товара. Проинформировать об изменении цены на товар. Объяснить принцип действия товара. Описать оказываемые услуги. Исправить неправильные представления о товаре. Рассеять опасения покупателей в отношении товара. Создать имидж компании |
| Убеждение |
Сформировать предпочтение по отношению к конкретной марке. Поощрить переход на конкретную марку. Изменить восприятие свойств товара потребителями. Убедить потребителей совершить покупку немедленно. Убедить потребителей в необходимости связаться с коммерческими представителями компании |
| Напоминание |
Напомнить, что товар может пригодиться в ближайшем будущем. Напомнить потребителям, где продается товар. Не дать потребителям забыть товар в периоды между сезонами. Поддержать осведомленность потребителей о товаре |
Выбор средств распространения рекламы
1. Принятие решений
![]()
Рис. 4.5
2. Выбор конкретных типов средств распространения рекламы
Характеристика средств рекламы
| Средство распространения рекламы |
Преимущества |
Недостатки |
|||
| Газеты |
Гибкость, своевременность, хороший охват местных рынков, повсеместное признание и доверие |
Кратковременное существование; плохое качество иллюстраций; незначительная аудитория |
|||
| Телевидение |
Сочетание изображения, звука и движения; чувственное воздействие; высокая степень привлечения внимания; широкий охват аудитории |
Высокая общая стоимость; перегруженность рекламой; мимолетность рекламного контакта; меньшая избирательность аудитории |
|||
| Средство распространения рекламы |
Преимущества |
Недостатки |
|||
| Прямая почтовая реклама |
Избирательность аудитории; гибкость; отсутствие рекламы конкурентовв отправлении; личностный характер |
Относительно высокая стоимость; ©макулатурный» имидж |
|||
| Радио |
Массовость использования; высокая географическая и демографическая избирательность; дешевизна |
Только звуковое представление; меньшая степеньпривлечения внимания, чем на телевидении; отсутствие тарифов; краткая продолжительность рекламного контакта |
|||
| Журналы |
Высокая географическая и демографическая избирательность; достоверность и престижность; высокое качество иллюстраций; длительность существования; большая аудитория «вторичных» читателей |
Длительный временной разрыв между покупкой рекламной площадии появлением рекламы на свет; наличие невостребованного тиража; отсутствие гарантии размещения в предпочтительном месте |
|||
| Наружнаяреклама |
Гибкость; высокая частота повторных контактов; низкая стоимость; слабая конкуренция |
Отсутствие избирательности аудитории; ограничения творческого характера |
3. Выбор конкретных носителей рекламы
Конкретные средства распространения в пределах каждого вида, например, конкретные журналы, телевизионные шоу или радиопрограммы.
Надо учесть тиражи (для журналов и газет), стоимость рекламных объяв-
лений, частоту появления.
Для сравнения стоимости публикаций рекламных объявлений в газетах используется тариф «милайн ». Это стоимость публикации одной расчетной строки рекламного текста в 1 млн экз. тиража. Большинство западных газет публикуют тарифы в расчете на стандартную единицу места – строку. Строка занимает площадь высотой 1/14 дюйма и шириной в одну колонку. Следует отметить, что сравнение тарифов «милайнªи допускается только для изданий с сопоставимыми тиражами.
©Милайн» рассчитывается путем умножения тарифа за расчетную строку на 1 млн и деления полученного результата на фактический тираж издания:
Т×106
М=
,
ФТ где М – тариф «милайн»;
Т – тариф за расчетную строку; ФТ – фактический тираж издания.
Также при сравнении как журнальных, так и газетных тарифов применяется стоимость в расчете на 1000 читателей (стоимость 1000 рекламных контактов).
Данный коэффициент явлется надежным и точным ориентиром в случае сравнения изданий с одинаковыми размерами полос и определяется исходя из стоимости донесения рекламного объявления размером в 1000 расчетных строк (газетная полоса) до 1000 подписчиков по следующей формуле:
Тn
1000,
Цфт=
ФТ
где Цфт – цена за 1000 расчетных строк;
Тn – тариф за полосу;
ФТ – фактический тираж издания.
Для сравнения тарифов на основе размера аудитории издания использовать тарифную ставку издания в расчете на 1000 жителей (Цra ), исчисленную поформуле:
Тn
1000,
Цra =
ЧА
где ЧА – численность аудитории.
Для печатного рекламного сообщения важное значение имеют его месторасположение и размеры.
| Процент внимания читателей рекламы в зависимости от ее расположения на газетной полосе
|
Рис. 4.6
Влияние размера рекламного сообщения на число заметивших его читателей
| Размер объявления |
Процент читателей, его заметивших |
| Часть страницы |
25 |
| Одна страница |
40 |
| Двухстраничный разворот |
55 |
Однако число откликнувшихся на рекламное сообщение является значительно меньшим. Максимум, что дает обычное рекламное объявление, это два отклика на тысячу читателей.
4. Решение о графике использования средств распространения рекламы
Рекламодатель должен принять решение о цикличности рекламы. Последовательность подразумевает равномерное распределение рекламы в течение данного периода времени. Пульсация подразумевает неравномерное распределение рекламы на протяжении данного периода времени.
Сторонники пульсирующего графика считают, что он дает возможность достичь той же силы воздействия, что и постоянный график, нопригораздо меньших затратах. Однако некоторые специалисты убеждены, что пульсирующий график оказывает минимальное воздействие и впечатления от рекламы быстро забываются.
Оценка эффективности рекламы
Необходимо регулярно оценивать как коммуникативную эффективность ,
таки коммерческую эффективность рекламы.
Коммуникативная (информационная) эффективность рекламы позволяет установить, насколько эффективно конкретное рекламное обращение передает целевой аудитории необходимые сведения или формирует желательную для рекламодателя точку зрения.
Оценкакоммуникативной эффективности может быть проведена как до размещения рекламного сообщения, так и после его публикации или трансляции, существуют три основных метода предварительной проверки рекламы. Первый метод – прямая оценка , когда рекламодатель представляет на рассмотрение группы потребителей альтернативные варианты рекламы и просит дать оценку каждому варианту. Прямые оценки показывают, насколько хорошо реклама привлекает внимание и как она воздействует на потребителей. Второй метод – портфельная проверка , когда потребители просматривают или прослушивают портфель рекламных сообщений столько времени, сколько пожелают. Затем их просят вспомнить рекламные сообщения и их содержание с помощью интервьюера или без него. Их уровень запоминания указывает на способность рекламы выделиться из общей масссы, быть понятой и остаться в памяти.
Третий метод – лабораторные проверки , когда для измеренияпсихологической реакции потребителя используется оборудование, с помощью которого определяются частота серцебиения, кровяное давление, расширение зрачка и потоотделение. Лабораторные проверки измеряют силу притягательности рекламы, но мало говорят о ее влиянии на убеждения, отношения или намерения потребителя.
Для проверки эффективности рекламы после ее выхода существуют два популярных метода. Первый – проверка на запоминание , когда рекламодатель опрашивает людей, прочитавших журнал или просмотревших телепрограмму, и просит их вспомнить все, что они смогут рассказать о производителях и увиденных товарах. Уровень запоминания демонстрирует, насколько долго реклама может удерживаться в памяти.
Второйметод – проверка на распознавание , когда исследователь просит, например читателей журнала, указать, что из показанного они уже видели ранее. Результаты проверок на распознавание используются для определения воздействия на разные сегменты рынка, сравнение рекламы своей компании с рекламой конкурентов.
Коммерческая эффективность позволяет оценить увеличение продажи прибыли в зависимости от расходов на рекламу. Следует выделить прирост объема продаж под воздействием рекламы. На объем продаж воздействует, кроме рекламы, большое количество других факторов, таких как характеристики товара, его цена, уровень инфляции, рост или снижение покупательной способности населения и т. п.
Для приблизительной оценки экономической эффективности рекламы в случае рекламирования новых товаров повседневного спроса можно использовать следующие формулы:
Т П Дс т
Т д = ,
100
где Тд – дополнительный товарооборот под воздействием рекламы, де.; Тс – среднедневной товарооборот дорекламного периода, де.; Пт – прирост среднедневного товарооборота зарекламный и послерек-
ламный периоды, %;
Д – количество дней учета товарооборота в рекламном и послерекламном периодах.
Экономический эффект от применения рекламы:
Т Нд т
) Р Рр д
), Э
100
где Э – экономический эффект от рекламы, де.;
Тд – дополнительный товарооборот под воздействием рекламы, де.; Нт – торговая надбавка на товар, впроцентах к цене реализации (можно
использовать показатель рентабельности продаж);
Рр – расходы на рекламу, де.;
Рд – дополнительные расходы по приросту товарооборота, де.
Рентабельность рекламы:
R
ǻП100,
Рр
где R – рентабельность рекламы, %; ǻП– прибыль, полученная от рекламирования товара, де.; Рр – расходы на рекламу товара, де.
1
ǻП Тд пр
R
,
100
R пр – рентабельность продаж, %.
4.4. Стимулирование сбыта
Стимулирование сбыта – это разнообразные побудительные средства главным образом, краткосрочные), призванные ускорить и или увеличить продажи отдельных товаров услуг потребителям или дилерам.
Реклама вызывает желание купить , Стимулирование сбыта – поощряет покупку.
Стимулирование сбыта включает такие средства:
Поощрение потребителей (распространение образцов, купонов, предложения компенсации, снижение цен, премии, призы, вознаграждение клиентов, бесплатные пробы, гарантии, конкурсы, лотереи, игры и тп.) Поощрение розничных продавцов (снижение цен, рекламные и демонст-
рационные скидки).
Поощрение деловых партнеров и торговых агентов (коммерческие выставки и съезды, соревнование коммерческих представителей и специальная реклама).
Средства стимулирования потребителей
| Средства стимулирования потребителей |
Характеристика |
| Распространение образцов |
Предложение потребителям небольшого количества товара на пробу . Образцы можно разносить по домам, рассылать по почте, раздавать в магазинах, вкладывать в упаковку другого товара или предлагать их в рекламном клипе. Распространение образцов является наиболее эффективным, однако самым дорогим способом выведения нового товара на рынок |
| Купоны |
Сертификаты, представляющие возможность сэкономить деньги при покупке определенных товаров . Купоны можно рассылать по почте, предлагать к разным товарам или печатать в рекламных объявлениях. Купоны могут стимулировать сбыт хорошо известного товара или поощрять пробу товара новой марки |
| Денежныекомпенсации скидки) |
Предложение о частичном возмещении расходов, связанных с покупкой товара, потребителю, который направляет производителю «подтверждение о покупке». Производитель, получив «подтверждение о покупке», по почте компенсирует часть стоимости покупки потребителю |
| Упаковка по сниженной цене |
Сниженные цены указываются производителем непосредственно на упаковке или ярлыке . Можно продавать один товар в обычной упаковке по сниженной цене (два по цене одного) или два разных товара, связанных между собой (например, зубная паста и зубная щетка). Этот способ является даже более эффективным, чем купоны – для стимулирования кратковременного увеличения продаж |
| Премии |
Премиями называются товары, предлагаемые либо бесплатно, либо по очень низкойцене в качестве побудительного мотива для покупки товара . Премия может находиться внутри упаковки, либо снаружи (сверху). Сама упаковка может служить премией, если она может быть повторно использована |
| Рекламные сувениры |
Рекламными сувенирами называются полезные мелочи, с нанесенным на них именем рекламодателя, которые бесплатно вручаются потребителям . Обычно это бывают ручки, календари, брелочки для ключей, спички, сумки для покупок, футболки и кофейные чашечки |
| Награды постоянным клиентам |
Деньги либо другие награды, предлагаемые постоянным пользователям товаров или услуг компании . Например, воздушные линии предлагают «планы для тех, кто часто летает», начисляя наградные баллы за преодоленное на самолетах авиакомпании расстояние, закотороезатемможнополучить бесплатный билет. Зачетные талоны также представляют собой награды. Потребители получают зачетные талоны, покупая товару определенных торговцев, и могут впоследствии обменять эти талоны на товары либо в специальных обменных центрах, либо по почтовому каталогу |
| Стимулирование сбыта в местах продажи |
Осуществляется посредством проведения в местах продажи товара разного рода экспозицийидемонстраций (рмблбуь, тужоеь) |
| Конкурсы, лотереи и игры |
Специально проводимые мероприятия по стимулированию сбыта, которые дают потребителю шанс случайно, или, приложив определенные усилия, выиграть что нибудь, например деньги, путевки или различные товары |
Средства стимулирования торговли
| Средства стимулирования торговли |
Характеристика |
| Скидка |
Непосредственное снижение цены товара, пропорциональное его объему, купленному в определенный период времени |
| Зачет |
Деньги из фонда стимулирования сбыта, выплачиваемые производителями розничным торговцам в обмен на согласие определенным образом рекламировать или представлять товар. Производители могут предлагать бесплатные товары посредникам, покупающим товар в определенном количестве, определенного сорта или размера. Они могут предлагать деньги для проталкивания товара (премии – толкачи) – в виде наличных или подарков дилерам или продавцам, чтобы ©протолкнуть» свой товар на рынок. Производители могут снабжать розничных торговцев бесплатными рекламными сувенирами, содержащими название компании, такими как ручки, карандаши, календари, держатели для бумаги, записные книжки, спичечные коробки и пепельницы |
Средства стимулирования предприятий±потребителей
| Торговые выставки |
Фирмы, продающие товары для определенной отрасли промышленности, демонстрируют свои товары на торговых выставках. Поставщики впериод выставок устанавливают новые деловые контакты, общаются с потребителями, представляют новые товары, находят новых клиентов, снабжают потребителей аудио визуальными и печатными материалами о своей деятельности |
| Конкурсы по продажам |
Конкурсы для торговых работников или дилеров, призванные повысить их производительность труда в течение определенного периода времени. Большинство компаний ежегодно, или даже чаще, проводят среди своих торговых работников конкурсы по продажам. Они усиливают заинтересованность и выявляют лучших работников, которые могут получить бесплатные путевки, наличные деньги или другие призы. Конкурсы по продажам наиболее эффективны, если они увязываются с целями, которые можно измерить и достичь, если служащие уверены, что у всех равные шансы на победу |
4.5. СВЯЗИ С ОБЩЕСТВЕНОСТЬЮ
Связи с общественностью или паблик рилейшнз (ПР) – создание хороших отношений с общественностью, имеющей контакты с организацией, путем формирования благоприятного имиджа организациии ее продуктов, и путем нейтрализации неблагоприятных событий и слухов.
Под общественностью понимаются различные организации, общественные слои и любые группы населения, имеющие интерес к данной организации, а также влияющие на ее способности достичь своих целей. К их числу относятся финансовые органы, СМИ, правительственные учреждения, организации, представляющие интересы потребителей и определенных слоев населения, местные общественные организации, персонал самой организации.
Основные направления деятельности по формированию общественного мнения
| Направление |
Виды общественной деятельности |
| Товарная пропаганда |
Опубликование статей в отраслевой печати. Организация семинаров и совещаний. Участие в семинарах и совещаниях |
| Лоббирование |
Установление взаимоотношений с федеральными органами управления. Установление взаимоотношений с региональными органами управления. Установление взаимоотношений с местными органами власти |
| Проявления корпоративной культуры |
Применение товарной марки. Использование внутри фирменных коммуникаций. Использование внешних коммуникаций |
| Постоянная связь со СМИ |
Деятельность пресс-атташе. Формирование дружественных отношений с ключевыми журналистами |
| Периодическая связь со СМИ |
Подготовка и рассылка пресс-релизов. Опубликование обзорных статей. Проведение прессконференций. Организация брифингов для прессы. Подготовка интервью для прессы. Участие в телеинтервью. Подготовка материалов для кризисных ситуаций |
| Спонсорство |
Предоставление финансовой или материальной поддержки каким либо мероприятиям, отдельным лицам и организациям |
Лоббирование – это работа с законодателями и правительственными чиновниками с целью влияния на законодательную деятельность или правовое регулирование в интересах фирмы.
Прессаташе – профессиональный или начинающий журналист, наня-
тый фирмой для налаживания контактов с журналистской средой.
Прессрелиз – это информационное сообщение новостийного характера, подготовленное для передачи в средства массовой информации. Пресс релиз должен быть кратким (не более полутора страниц), содержать новости, быть фактологическими написанным по стилистическим правилам журналистики. Один из самых главных моментов подготовки прессрелиза – это четкое изложение того, «кто, кому, что сделал, когда, где и почему» (правило шести вопросов). Содержание пресс релиза должно иметь форму перевернутой пирамиды – самые важные факты должны излагаться в первых абзацах. Прессконференции проводятся по случаю какихто важных событий, на них приглашаются представители СМИ, раздаются различные печатные материалы. Одно из главных условий подготовки к прессконференции – действительное наличие у фирмы новости, заслуживающей специального разового оглашения. Обязательное условие для любой прессконференции – подборка обширных материалов, которая должна давать четкое представление о существе вопроса. Где это возможно, нужно приложить к данным материалам таблицы, графики и фотографии.
Брифинг для прессы – разъяснение для прессы некоторых сложных вопросов деятельности вашей фирмы. Сложныевопросы не являются «горячими новостями», но требуют разъяснения через СМИ. Для брифингов подготавливаются необходимые справочные материалы, обычно они проводятся в неформальной и непринужденной обстановке.
Действия в кризисной ситуации . Заранее необходимо подготовить позиционные материалы, пакет стандартных заявлений, которые можно было бы использовать в любой кризисной ситуации (авария на заводе, поломки оборудования, угроза загрязнения окружающей среды, пожар, финансовые неудачи и тд.). Эти документы следует классифицировать, снабдить комментариями, периодически обновлять. Если кризис вдруг возникнет, подготовленность к нему сослужит хорошую службу. В случае возникновения кризисной ситуации вся информация о кризисе должна исходить из одного источника, должна быть четкой и корректной, достаточно полной.
Спонсорство – термин происходит от английского «sponsor» – плательщик, финансист. Это инструмент коммуникационной политики, который представляет собой систему взаимовыгодных договорных отношений между спонсором и субсидируемой стороной, характер которых четко регламентирован и рассчитанна создание положительной реакции у потребителей и других субъектов. Спонсорство направлено на создание или укрепление благоприятного имиджа фирмы спонсора.
Отличиярекламыи Public Relations
| Критерий сравнения |
Реклама |
Public Relations |
| Характер решаемых задач |
Коммерческий – создание и стимулирование спроса на товары фирмы |
Пропагандистский – создание благожелательного отношенияк фирме и ее продукции |
| Задачи коммуникации |
Информировать и убеждать, создавать предпочтение к товару |
Разъяснять позицию фирмы, демонстрировать общественную пользу |
| Период времени задач |
Краткосрочный, среднесрочный и долгосрочный |
Только долгосрочный |
Личная продажа
Персональная продажа – это инструмент коммуникационной политики, основанной на устном представлении товара в ходе беседы с потенциальными покупателями с целью совершения продажи.
Таким образом, личная продажа предлагает доведение информации о реализуемом продуктелично до покупателя через непосредственное общение с ним. Такая продажа имеет самые различные формы. Это могут быть, например:
– визиты местного представителя фирмы;
– продажа с помощью продавцов (розничная торговля);
– взаимные приглашения президентов фирм (торговляна уровне руководящих работников) и тп.
Данноенаправление стимулирующего воздействия на покупателя имеет следующие особенности:
1) непосредственное общение двух и более лиц, при котором каждая из сторон может оценить возможности и потребности другой и немедленно скорректировать свою тактику;
2) возможность непоссредственного общения, способствующая установлению не формальных контактов между агентом и покупателем;
3) большая возможность выслушать все доводы продавца и отреагировать на них, существующая при непосредственном обращении продавца и покупателя, в отличие от рекламного воздействия.
Итак, главное преимущество персональных продаж – это обеспечение эффективной обратной связи между производителеми потребителем. При реализации специализированной техники или оборудования, когда надо знать нужды и запросы потребителя, обратная связь край не необходима.
Однако персональные продажи сопряжены со значительными расходами, которые связаны с осуществлением прямых продаж. Это расходы на поездки, обучение, составление различных отчетов и тп. Приличных продажах очень велика роль человеческого фактора – торговый персонал должен обладать определенными коммуникативными способностями.
Прямой маркетинг
Прямой маркетинг – маркетинг, реализуемый непосредственно через рекламу и адресованный непосредственно потребителям с целью получения от них прямого ответа на обращение рекламы. В литературе по маркетингу прямой маркетинг часто рассматривается и как форма розничной торговли, и как один из инструментов маркетинговых коммуникаций.
Существуют следующие формы прямого маркетинга: прямой маркетинг попочте, маркетинг по каталогам, телемаркетинг, телевизионный маркетинг и электронная торговля.
Прямой маркетинг по почте осуществляется путем рассылки почтовых
отправлений (писем, рекламы, образцов, проспектов и др.) потенциальным клиентам. Рассылочныеспискиформируютсянаосновесписковнаиболее вероятныхпокупателейопределенныхгрупптоваров. Прямаяпочтоваярассылка индивидуально адресованных писем вызывает интересу 0,5–5 % получателей. Значит, от подобной акции можно ожидать максимум 50 ответовна тысячу писем.
Составление деловых писем, получающих высокий процент ответов, представляетбольшоеискусство. Современныйруководительсреднегорангаполучаетежедневно 40–60 единиц корреспонденции, среди которыхмного непредставляющих ценность предложений. Такая практика выработала у руководителя определенную «аллергию» на письма и желание как можно скорее завершить изучение входящих документов. Первое желание, когда в руках у руководителя оказывает очередной конверт, – выбросить его, не распечатывая, в мусорную корзину. Чтобы этого не произошло, письмо должно иметь нестандартный, привлекательный вид. Например, конверт может быть необычно больших размеров и не стандартной расцветки.
Текст распечатанного письма должен быть составлен таким образом, чтобы из первых двух±трех фраз вытекало содержание предложения и была видна выгода, которую может получить читающий. Если и теперь письмо не отправлено в корзину, то из последующего текста легко должна быть получена вся необходимая разъясняющая информация.
Маркетинг по каталогам – рассылка каталогов выбранным клиентам или предоставление им каталогов в магазинах.
Телемаркетинг – использование телефона для непосредственной продажи товара потребителям. Представители фирм используют бесплатные для клиентов телефонные номера для получения от них заказов на основе телевизионной и радиорекламы, прямой почты, торговли по каталогам. Телемаркетинг способен привлечь внимание от 0,75 до 5 % потребителей, если речь идет о товарах широкого применения. В случае продукции производственно технического назначения этот показатель может повыситься до 15 %.
Телевизионный маркетинг – прямой маркетинг через телевидение путем показа рекламы прямого ответа (первые ответившие потребители имеют льготные условияпокупки) илииспользованиеспециальныхтелевизионных комерческих каналов для продажи на дому по выгодным ценам.
Электронная торговля – прямой маркетинг через двухканальную систему, которая связывает кабельной или телефонной линией потребителей с компьютеризированным каталогом продавца. Потребитель осуществляет связь с продавцом, используя специальный пульт управления, подлючаемый к телевизору, или персональный компьютер. Таким путем потребитель уточняет предметпокупки, егоцену, условия и сроки получения выбранного товара: визит в магазин, доставка товара на дом и др.
ВОПРОСЫ ДЛЯ САМОПРОВЕРКИ
1. Перечислите и охарактеризуйте основные средства коммуникации.
2. Назовите наиболее значимые средства продвижения продукта на потребительском рынке.
3. Назовите наиболее значимые средства продвижения продукта на рынке товаров производственного назначения.
4. Как вы считаете, почему реклама является наиболее значимым средством продвижения на потребительском рынке именее значима на рынке промышленных товаров?
5. Прокомментируйте четыре наиболее часто применяемые методы расчета бюджета рекламной кампании.
6. В чем заключается отличие информативной рекламы от убеждающей? Соотнесите эти виды рекламы с этапами жизненного цикла товара.
7. Перечислите и охарактеризуйте основные средства распространения рекламы.
8. Что такое тариф «милайн»?
9. Какие местоположение и характер рекламного сообщения наиболее заметны для читателей газеты?
10. Каким образом можно оценить коммуникативную эффективность рекламы?
11. Как можно оценить коммерческую эффективность рекламы?
12. Перечислите и охарактеризуйте основные средства стимулирования сбыта на потребительском рынке?
13. Перечислите и охарактеризуйте основные средства стимулирования торговли?
14. Перечислите и охарактеризуйте основные средства стимулирования предприятий±потребителей?
15. Что из себя представляет такое средство коммуникации как «паблик рилейшнз» (pablic relations)?
16. Назовите основные отличия рекламы от pablic relations.
17. Что из себя представляет «прямой маркетинг», назовите его основные формы.