| Скачать .docx | Скачать .pdf |
Реферат: Анализ численности населения 2
Содержание:
Введение……………………………………………………………….3
Глава 1. Изучение численности и размещения населения
1.1 Система источников данных о населении………………………..4
Глава 2 Статистический анализ состава населения…………………..8
2.1 Статистика естественного движения населения…………………11
2.2 Статистика миграции……………………………………………...13
Глава 3. Методы прогнозирования в статистике населения
3.1 Моделирование временного тренда среднегодовой численности занятого населения Санкт – Петербурга………………………………16
3.2 Множественный регрессионный анализ………………………….21
Заключение………………………………………………………….28
Список используемой литературы………………………………….30
Введение
Население – как объект изучения в статистике представляет собой совокупность людей, проживающих на определенной территории и непрерывно возобновляющихся за счет рождений и смертей» Единицей наблюдения в статистике населения является отдельный человек, семья или домохозяйство в зависимости от целей и задач наблюдения [2].
· Основные задачи статистики населения:
o определение численности населения и его размещения по территории;
o анализ состава населения;
o изучение естественного движения населения;
o изучение миграции населения.
В статистике населения объектом статистического наблюдения могут быть самые разные совокупности: население в целом (постоянное или наличное), отдельные группы населения (трудоспособное население, безработные, пенсионеры, городское население или сельское, мужчины или женщины и т.д.), молодые семьи (или, наоборот, пожилые), родившиеся за год (или иной период) или умершие и т.д.
Целью данной курсовой работы является изучение среднегодовой численности занятого населения на конкретном примере, в данном случае на примере города Санкт-Петербурга. А также будут проведены анализы численности и состава населения для получения статистических результатов о численности населения и выявления различных факторов, влияющих на его развитие.
Глава 1 Система источников данных о населении. 1.1 Изучение численности и размещения населения .
Основными источниками данных о населении являются переписи населения, текущий статистический учет естественного и механического движения, выборочные социально-демографические и специальные обследования, списки (учеты) и регистры населения. Эти источники не заменяют, а взаимодополняют друг друга и образуют единую систему информации о населении. Обеспечивается единство на основе согласованности программы наблюдения и методов учета.
Всеобщие переписи населения представляют собой сплошное наблюдение, являются первоисточником информации, дают наиболее полные и разносторонние сведения о населении на критический момент времени. Этот источник информации наиболее трудоемкий и дорогостоящий. Переписи проводятся в среднем через 10 лет.
Программы всех переписей имеют некоторые различия, которые обусловлены конкретными социально-экономическими условиями и потребностями в знании тех или иных характеристик населения страны. Имеют место и различия в организации переписей [4].
В некоторых случаях, когда необходимо получить более подробные сведения о населении отдельных территорий или группах населения, применяются специальные обследования по более детальной программе наблюдения [1].
Текущий статистический учет движения населения представляет собой сбор сведений о рождениях, смертях, заключении браков и разводах, прибывших на постоянное жительство из других населенных пунктов и выбывших на постоянное жительство в другие населенные пункты. Особенностью текущего учета является то, что факты движения населения будут учтены статистикой, только если они юридически оформлены. Учет естественного движения основан на регистрации актов гражданского состояния в ЗАГСах, механического движения (миграции) – на регистрации (прописке) в органах внутренних дел.
Дополнительные сведения о населении содержатся в списках и картотеках учета различных категорий населения, ведущихся теми или иными организациями. Например, списки избирателей, в которых имеются сведения о гражданах страны в возрасте 18 лет и старше. В сельской местности ведутся хозяйственные книги, в которых наряду со сведениями о хозяйстве содержится информация о численности и составе населения по полу, возрасту и другие характеристики .
В настоящее время в нашей стране стоит задача формирования регистров населения. Регистр населения представляет собой поименный и регулярно актуализируемый перечень жителей, служащий целям административного учета населения. Создание регистров населения требует значительных материальных и трудовых затрат. Правила ведения регистров основываются на ряде принципов, среди которых принцип персонификации и конфиденциальности информации, что требует обеспечения высокой степени защиты информации, и законодательной защиты интересов граждан. Ведение регистров населения эффективно в странах с небольшой численностью населения, небольшой территорией и достаточно высокой культурой населения.
Точное определение численности населения на определенный момент времени осуществляется при помощи переписи населения. В межпереписной период численность населения определяется балансовым методом на основе данных последней переписи и сведений текущего статистического учета движения населения. Существующая практика учета предполагает определение численности населения на начало и конец года.
Sк = Sн + N – M + П – В, где
Sк,н – численность населения соответственно на конец и начало года;
N – число родившихся за год;
М – число умерших за год;
П – число прибывших за год;
В – число выбывших за год.
N – M = Dест
П – В = Dмех
Dест + Dмех = Dобщ , где
Dест – естественный прирост населения;
Dмех – механический прирост населения или сальдо миграции;
Dобщ – общий прирост населения.
В статистике ведется учет различных категорий населения: постоянного и наличного.
Постоянное население – совокупность людей, для которых данный населенный пункт или территория представляют место обычного (постоянного) проживания в данное время [3].
Наличное население – совокупность людей, находящихся в данном населенном пункте или на данной территории на критический момент времени.
Для анализа населения, а также в практике управления и планирования требуется характеристика численности населения не только на определенные даты, на и за весь период. Такой характеристикой является средняя численность населения (
).
Средняя численность населения может быть рассчитана разными методами:
1)
Этот расчет грубый. Он тем точнее, чем равномернее происходило изменение численности населения в течение года (периода)
2) При наличии сведений о численности населения на даты равноотстоящие друг от друга, применяется средняя хронологическая:

Si – численность населения на каждую дату. При этом
S1 –численность населения на начало года (периода);
Sn – численность на конец года (периода);
n – число значений численности.
3) Если интервалы между датами не равные, то применяется средняя арифметическая взвешенная:
t
– величина интервалов.
4) Если данные о численности населения имеются на начало и конец длительного периода, то можно среднюю численность населения определить как среднее значение показательной функции, так как изменение численности населения близко к геометрической прогрессии: 
ln S – натуральный логарифм [6].
В соответствии с принятым делением населенных пунктов на городские и сельские, все население подразделяется на городское и сельское. Городскими поселениями считаются населенные пункты, утвержденные законодательными актами в качестве городов, поселков городского типа, рабочих поселков, курортных поселков; остальные населенные пункты считаются сельскими [5].
Сведения о численности населения разрабатываются по территориям: республикам, экономическим районам, краям, областям, округам, административным районам и др. По территориям определяется показатель плотности населения, который характеризует, сколько человек приходится на 1 км2 площади: 
Р – показатель плотности населения;
R – площадь территории, км2.
Глава 2. Статистический анализ состава населения
В практической и научно-исследовательской деятельности требуются сведения о составе населения, т.е. по отдельным группам населения, выделенным по тем или иным признакам, так как эти группы различаются по своей роли, значению в обществе, экономике, в демографических процессах.
Статистика изучает состав населения по признакам демографическим (пол, возраст, семейно-брачное состояние и др.), этническим (национальность, родной язык и др.), социально-экономическим (образование, занятие, профессия, источники средств существования, отношения собственности, общественно-политическая активность и т.д.)
Выделяются следующие основные группы населения:
1. По полу определяется численность мужчин и женщин. Группировка по полу проводится в комбинации с другими признаками (возраст, образование, занятие и др.)
2. По возрасту определяется численность населения с одногодичным интервалом и укрупненным интервалом, как правило, 5 и 10 лет. Кроме того, выделяются группы детей всего и в том числе младенцев, ясельного, дошкольного и школьного возраста; определяется численность населения трудоспособного возраста, численность женщин фертильного (детородного) возраста (15-44 года), численность избирателей (возраст 18 лет и старше), численность старого населения (возраст 65 лет и старше) и др. Распределение по возрасту осуществляется всего населения и в сочетании с другими признаками, в первую очередь с полом.
3. По состоянию в браке определяется число лиц, состоящих и не состоящих в браке, в том числе никогда не состоявших в браке, овдовевших, и одной группой разведенных и разошедшихся.
4. По этническим признакам определяется численность лиц каждой национальности, проводится группировка по родному языку в сочетании с национальностью.
5. По категории населенного пункта постоянного места жительства определяется численность городского и сельского населения.
6. По образованию в настоящее время выделяются группы населения, имеющие начальное общее, основное общее, среднее (полное) общее, среднее профессиональное, неполное высшее, высшее профессиональное образование.
В соответствии с программой предстоящей переписи населения России в 2002 г. предполагается выделить группу лиц с начальным профессиональным образованием и внести следующие редакционные поправки в существующую группировку: начальное общее (начальное), основное общее (неполное среднее), среднее (полное) общее, начальное профессиональное (профессионально-техническое), среднее профессиональное (среднее специальное), неполное высшее профессиональное [7].
7. По источникам средств существования выделяются группы:
1) Работающие по найму:
а) на предприятии, в организации, учреждении, крестьянском (фермерском) хозяйстве;
б) по обслуживанию домохозяйства;
в) у отдельных граждан.
2) Работающие не по найму в том числе:
а) в собственном крестьянском (фермерском) хозяйстве;
б) на собственном предприятии;
в) на индивидуальной основе, на семейном предприятии, в крестьянском (фермерском) хозяйстве;
3) Получающие государственное обеспечение:
а) пенсии;
б) стипендии;
в) пособия (кроме пособия по безработице);
г) пособия по безработице;
д) другой вид государственного обеспечения;
4) Имеющие доход от собственности;
5) Находящиеся на иждивении;
6) Имеющие иной источник дохода.
8. По положению в занятии выделяются группы:
1) работающие по найму;
2) члены производственного кооператива;
3) работодатели;
4) работающие на индивидуальной основе;
5) неоплачиваемые работники семейного предприятия.
В этой группировке программой переписи населения 2002 г. также предусмотрены изменения. Выделяются следующие группы:
а) работающие в качестве наемного работника;
б) работающие на собственном предприятии или в собственном деле:
- привлекая наемных работников на постоянной основе;
- без наемных работников или привлекая их от случая к случаю;
в) работающие в качестве члена производственного кооператива (артели)
г) помогающие без оплаты на принадлежащем родственнику(ам) предприятии или крестьянском (фермерском) хозяйстве.
Группировки населения проводятся и по другим признакам, например, профессии, отрасли экономики и т.д.
На основе данных о составе определяется структура населения, показатели соотношения (координации) разных групп населения. Например, удельный вес мужчин и женщин в общей численности населения, доля городского и сельского населения; сколько женщин приходится на 1000 мужчин, сколько человек нетрудоспособного возраста приходится на 1000 человек трудоспособного возраста и др.
2.1 Статистика естественного движения населения
Численность населения постоянно меняется. Происходит это в результате движения населения: рождений и смертей. Рождения, смерти, а также браки и разводы называют естественным движением населения.
Для характеристики естественного движения населения определяется абсолютное число родившихся ( N) , умерших ( М ), естественный прирост ( Dест ) как разница между число родившихся и умерших ( Dест = N – М ), число заключенных браков и число расторгнутых браков (разводов) за период.
Сложившаяся практика учета движения населения подводит итоги за разные периоды времени, но обязательно за год, и показатели рассчитываются, как правило, за год.
Интенсивность движения населения характеризуют относительные показатели: общие и специальные коэффициенты, которые рассчитываются на 1000 человек населения, т.е. в промилле (‰):
1. Общий коэффициент рождаемости ( Кр ):

– средняя численность всего населения за период.
2. Общий коэффициент смертности ( Ксм ):

3. Коэффициент естественного прироста ( КDест)
:

4. Коэффициент жизненности (показатель Покровского) (Кжизн):

5. Коэффициент депопуляции ( Кдеп
) определяется, когда число умерших больше числа родившихся, т.е. когда естественный прирост отрицательный:

6. Общий коэффициент брачности ( Кбр
):

Б – число заключенных браков за период.
7. Общий коэффициент разводов ( Кразв ):

Р – число расторгнутых браков за период.
8. Коэффициент соотношения браков и разводов ( Кр/б ):

Кроме общих коэффициентов, характеризующих интенсивность движения всего населения, определяются специальные коэффициенты, которые рассчитываются на 1000 человек той или иной группы населения, выделенной по какому-либо признаку (полу, возрасту, образованию т.д.). Среди специальных коэффициентов особое значение имеют коэффициент фертильности и коэффициент младенческой смертности.
9. Специальный коэффициент рождаемости или показатель фертильности ( Кф ):

– средняя численность женщин детородного возраста (возраст 15 – 44 года).
10. Коэффициент младенческой смертности ( Кмл.см .) можно определить несколькими способами в зависимости от наличия данных и необходимой тщательности расчета:
а) 
m1
– число умерших детей в возрасте до 1 года в рассматриваемом году;
N1 – число родившихся в рассматриваемом году.
б) 
N0
– число родившихся в предыдущем году.
в) 
m1/1
– число умерших детей в возрасте до 1 года в рассматриваемом году из число родившихся в этом же году;
m1/0 – число умерших детей в возрасте до 1 года в рассматриваемом году из число родившихся в предыдущем году.
Уровень младенческой смертности имеет значение не только как демографическая характеристика, но и является показателем уровня жизни населения. Такую же функцию выполняет и показатель ожидаемой продолжительности жизни при рождении. Ожидаемая продолжительность жизни – интервал между рождениями и смертью.
2.2 Статистика миграции
На изменение численности населения отдельного населенного пункта территории влияют так же перемещения населения из одного населенного пункта в другой со сменой постоянного места жительства. Такое движение называется механическим или миграцией населения.
Перемещения населения внутри страны называются внутренней миграцией, а перемещение из одной страны в другую – внешней миграцией.
На основе текущего учета населения статистика разрабатывает сведения о составе мигрантов (по полу, возрасту, национальности), о направлениях миграции (в пределах России: с выделением экономических районов, республик, краев, областей; международная миграция: с указанием стран входа – выхода мигрантов), о причинах миграции: в связи с учебой; в связи с работой; возврат в прежнему месту жительства; из-за обострения межнациональных отношений; обострение криминогенной обстановки; экономическое неблагополучие; несоответствие природно-климатическим условиям; причины личные, семейные; иные причины [8].
Особое значение имеет анализ вынужденных переселенцев и беженцев.К вынужденным переселенцам относятся граждане Российской Федерации, «вынужденные или намеревающиеся покинуть место своего постоянного жительства на территории другого государства либо на территории Российской Федерации вследствие совершенного в отношении них или членов их семей насилия или преследования в иных формах, либо реальной опасности подвергнуться преследованию в связи с обстоятельствами, существенно ущемляющими права человека»
Беженцы – лица не граждане России, вынужденные «оставить место жительства (уходить, уезжать, спасаясь бегством) вследствие различных угрожающих обстоятельств»
В России ведется ведомственный учет вынужденных переселенцев и беженцев с 1 июля 1992 года со времени создания Федеральной миграционной службы. В текущем статистическом учете эта категория мигрантов отражается в общей численности без выделения отдельной группой.
Абсолютные показатели миграции:
- число прибывших на постоянное жительство из других населенных пунктов ( П );
- число выбывших на постоянное жительство в другие населенные пункты ( В );
- сальдо миграции или механической прирост ( Dмех = П – В ).
Интенсивность миграции характеризуют коэффициенты:
11. Коэффициент прибытия ( КП ):

12. Общий коэффициент выбытия ( КВ
):

13. Коэффициент механического прироста (
.)

Коэффициенты механического движения населения рассчитываются не только общие, но и специальные, т.е. по отдельным группам населения.
На основе данных о естественном и механическом приросте определяется общий прирост населения ( Dобщ = Dест + Dмех ).
Глава 3. Методы прогнозирования в статистике населения.
3.1 Моделирование временного тренда среднегодовой численности занятого населения Санкт-Петербурга
Приведем данные среднегодовой численности занятого населения
| год | Тыс.чел. |
| 199 8 | 2301,3 |
| 199 9 | 2341,4 |
| 2000 | 2329,8 |
| 2001 | 2351,6 |
| 200 2 | 2367,8 |
| 200 3 | 2372,3 |
| 200 4 | 2382 |
| 200 5 | 2380,2 |
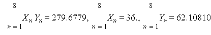
Построим показательный тренд ![]()
Приведем массив данных
![]()
![]()
![]()
![]()
![]()
![]()
![]()
![]()
Обозначим ln(f)=y, ln(a)=alpha, ln(b)=beta
Получим
![]()
![]()
![]()
![]()
![]()
![]()
![]()
![]()
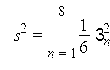
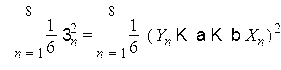
Для регрессии вида
найдем коэффициенты по формулам


Вычислим
![]()
![]()
![]()
![]()
![]()
![]()
![]()
![]()
Тогда 

Откуда
. Тогда линейная регрессия будет иметь вид
. Смысл коэффициента beta
заключается в том, что при изменении значения X на 1 единицу Y меняется на 0,0045 единиц
Параметры показательной регрессии ![]()
![]()
![]()
Нарисуем точки и показательную регрессию:

Дисперсионный анализ для линейной регрессии
Среднее Y![]()
Остаточная вариация (RSS)
![]()
Общая вариация (TSS)
![]()
Объясняемая вариация (ESS)
![]()
![]()
Правило сложения дисперсий выполняется
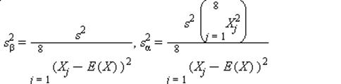
Подсчитаем оценку дисперсии ошибки, т.е. ![]()


![]()
![]()
Среднее X
. Найдем оценки дисперсий коэффициентов регрессии
по формулам

Получим![]()
Доверительные интервалы для оцененных параметров
![]()
уровень доверия
. Количество степеней свободы 6. Критическое значение статистики Стьюдента ![]()
![]()
Доверительный интервал для beta
![]()
равен![]()
Не можем на данном уровне значимости принять гипотезу beta=0 т.к. не попадает в доверительный интервал. Доверительный интервал для alpha

равен
. Мы не можем на данном уровне значимости принять гипотезу alpha=0 т.к. не попадает в доверительный интервал.
Коэффициент корреляции
где



![]()
показывает, что связь сильна. Коэффициент детерминации ![]()
![]()
![]()
показывает, что регрессия объясняет 99,65 процентов вариации признака.
Убедимся в значимости модели с помощью статистики Фишера 
которая больше критического значения
![]()
![]()
![]()
Следовательно, регрессия значима. Проверим значимость коэффициента корреляции. 
![]()
![]()
поэтому выборочный коэффициент корреляции значимо отличается от нуля.
Средняя ошибка аппроксимации

![]()
Колеблемость - это отклонения уровней динамического ряда от тренда, т.е. остатки регрессии. Найдем остатки регрессии (т.е. очищаем признак от тренда)
![]()
![]()
![]()
![]()
![]()
![]()
![]()
![]()
Нарисуем график остатков

Среднее линейное отклонение уровней ряда от тренда описывается показателем 
т.е. среднее абсолютное отклонение от тренда равно ![]()
Амплитуда колебаний есть разность максимального и минимального отклонения и показывает максимальный разброс отклонений.
![]()
![]()
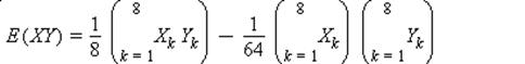
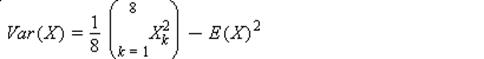
3.2 Множественный регрессионный анализ
Будем моделировать среднегодовую численность занятого населения с помощью показателей общей численности населения и миграционного прироста
| Среднегодовая численность занятого населения | Общая численность населения | миграц прирост тыс |
| 2301,3 | 4769 | 13,763 |
| 2341,4 | 4746 | 1,886 |
| 2329,8 | 4716 | 13,618 |
| 2351,6 | 4696 | 8,39 |
| 2367,8 | 4661 | 11,57 |
| 2372,3 | 4628 | 10,571 |
| 2382 | 4596 | 7,915 |
| 2380,2 | 4640,3 | 5,086 |
Для регрессии вида
найдем коэффициенты



Найдем обратную матрицу ![]()
Дополнительные миноры









Их определители
![]()
![]()
![]()
![]()
![]()
![]()
![]()
![]()
![]()
![]()
Союзная матрица

Союзная транспонированная матрица

Делим каждый элемент на определитель, получаем ![]()

β=![]()

Уравнение регрессии имеет вид![]()
нарисуем график

| E(Y) | E(X1) | E(X2) |
| 2353,3 | 4681,538 | 9,099875 |
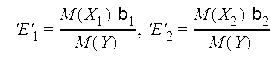
Коэффициенты эластичности

равны![]()
![]()
Стандартизованные коэффициенты

![]()
![]()
![]()
![]()
![]()
![]()
Тогда![]()
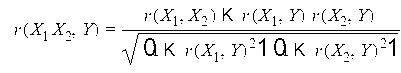
Парные коэффициенты корреляции

![]()

![]()

![]()
Частные коэффициенты корреляции

![]()

![]()

![]()
Множественный коэффициент корреляции 

или ![]()
Ошибка множественного коэффициента корреляции
![]()
![]()
Найдем коэффициент детерминации 
![]()
Проведем F-тест.
![]()
![]()
![]()
Регрессия значима.
На основании проведенных анализов в данной курсовой работе можно сделать ряд выводов и предложить решения проблем, возникших при анализировании данной темы.
Основными источниками данных о населении являются переписи населения, текущий статистический учет естественного и механического движения, выборочные социально-демографические и специальные обследования, списки (учеты) и регистры населения. Эти источники не заменяют, а взаимодополняют друг друга и образуют единую систему информации о населении.
Также в данной курсовой работе было выявлено, что на основе данных о составе определяется структура населения, показатели соотношения (координации) разных групп населения. Например, удельный вес мужчин и женщин в общей численности населения, доля городского и сельского населения; сколько женщин приходится на 1000 мужчин, сколько человек нетрудоспособного возраста приходится на 1000 человек трудоспособного возраста и др.
Сравнив построенные модели пронозироания в статистике, результат можно отобразить в следующей таблице:
| Модель | R^2 | Амплитуда остатков | F статистика | a ( t ) | At) |
| Показательная | 0,996 | 0,012 | 1750 | 0,0046 | 0,00045 |
| множественная | 0,973 | 20,20 | 51,5383 | 6,225 | 3,89083 |
Показательная модель самая лучшая по всем критериям: у нее самый высокий R ^2 и F -статисика, а показатели ошибок самые малые. Поэтому для прогнозирования следует использовать показательную модель. Как видим, зависимость только от времени является наиболее качественной среди рассмотренных моделей.
Список используемой литературы:
1. Елисеева И.И . Общая теория статистики: Учебник для ВУЗов. – М.: Финансы и статистика, 2000.
2. Ефимова М.Р . Общая теория статистики: Учебник.- М.: Финансы и статистика, 2002.
3. Ефимова М.Р . Практикум по общей теории статистики: Учебн. пособие.- М.: Финансы и статистика, 2006.
4. Козлов В.С., Эрлих Я.М., Долгушевский Ф.Г . Общая теория статистики: Учебник.- М.: Статистика, 2001.
5. Общая теория статистики: Статистическая методология в изучении коммерческой деятельности. Учебник для ВУЗов.- М.: Финансы и статистика, 2004.
6. Общая теория статистики: Учебник/ Под ред. А.А. Спирина, О.Э. Башиной .- М.: Финансы и статистика, 2006.
7. Общая теория статистики: Учебник/ Под ред. А.М. Гольдберга, В.С. Козлова.- М. : Финансы и статистика, 2005.
8. Ряузов Н.Н. Общий курс статистики.- М.: Статистика, 2007.
9. Региональная статистика / Под редакцией Рябиева В.М., Чудилина Г.И.- М.:»МИД»,2001.
10. Статистический ежегодник. – Санкт-Петербург, 2006.
11. Голуб Л.А. Социально-экономическая статистика. – М.: Гуманитарный издательский центр ВЛАДОС, 2003
12.Статистический анализ состава населения г. Санкт-Петербурга – Под редацией Аралбаева .И А., Анютин Н.В.,2007.
13. Города и районы Санкт-Петербургской области: Статистический сборник / облкомстат – Санкт-Петербрг,2004.