| Скачать .docx | Скачать .pdf |
Реферат: Шпаргалка по Маркетингу 4
Билет №1
1.Классификация потребностей.
Маркетинг-деятельность по удовлетворению потребностей посредством обмена. Нужда-чувство ощущаемой человеком нехватки, недостаточности чего-либо. Потребность-нужда, принявшая специфическую форму в соответствии с культурным уровнем и личностью индивида. Потребности классифицируются по-разному,одним из известнейших методов является классификация потребностей по Маслоу.
| потребности в самореализации | потребности "высшего" уровня |
| потребность в одобрении | |
| потребность в общении | |
| потребность в принадлежности к группе | низшая психологическая потребность |
| потребность в безопасности | |
| физиологические потребности |
Без осуществления низших потребностей не будет и стремления к осуществлению высших.
Различают потребности:
· по сферам деятельности:
o потребности труда
o познания
o общения
o отдыха
· по объекту потребностей:
o материальные
o духовные
o этические
o эстетические и др.
· по значимости:
o доминирующие/второстепенные
o центральные/периферические
· по временной устойчивости:
o устойчивые
o ситуативные
· по функциональной роли:
o естественные
o обусловленные культурой
· по субъекту потребностей:
o групповые
o индивидуальные
o коллективные
o общественные
2. Эластичность спроса.
Эластичность спроса по цене показывает, на сколько процентов изменится величина спроса при изменении цены на 1 %. На эластичность спроса по цене влияют следующие факторы:
· Наличие товаров конкурентов или товаров заменителей (чем их больше, тем больше возможность найти замену подорожавшему товару, то есть выше эластичность);
· Незаметное для покупателя изменение уровня цен;
· Консерватизм покупателей во вкусах;
· Фактор времени (чем больше у потребителя времени на выбор товара и обдумывание — тем выше эластичность);
· Удельный вес товара в доходах потребителя (чем больше доля цены товара в доходах потребителя, тем выше эластичность).
В зависимости от этих показателей различают:
· Неэластичный спрос (Ep(D) < 1) — рыночная ситуация, при которой изменение цены на 1 % вызывает незначительное изменение объема (QD).
· Эластичный спрос (Ep(D) > 1) — рыночная ситуация, при которой изменение P на 1 % (Dp=1 %) вызывает значительное изменение QD.
· Спрос единичной эластичности (Ep(D) = 1) — это рыночная ситуация, при которой изменение цены на 1 % вызывает 1-процентное изменение QD.
· Абсолютно неэластичный спрос, означающий абсолютную нечувствительность объема спроса к изменению цены (Ep(D) = 0): изменение P на 1 % и более не влияет на изменение QD.
Эластичность спроса по доходу показывает, на сколько процентов изменится величина спроса при изменении дохода на 1 %. Она зависит от следующих факторов:
· Значимость товара для бюджета семьи.
· Является ли товар предметом роскоши или предметом первой необходимости.
· Консерватизм во вкусах.
Измерив эластичность спроса по доходу, можно определить относится ли данный товар к категории нормальных или малоценных. Основная масса потребляемых товаров относится к категории нормальных. С ростом доходов мы больше покупаем одежды, обуви, высококачественных продуктов питания, товаров длительного пользования. Есть товары, спрос на которые обратно пропорциональны доходам потребителей. К ним относятся: вся продукция секонд-хенд и некоторые виды продовольствия(дешевая колбаса, приправа).
3. Схемы декларирования соответствия.
Декларация о соответствии – это документ, с помощью которого производитель удостоверяет, что его товар или услуга соответствуют требованиям технических регламентов. Данный документ позволяет потребителю приобретать качественную продукцию, а производителю - успешно выводить свой товар на рынок и представлять его в лучшем виде. Решение о выдаче декларации о соответствии производится после проведения специальной процедуры – декларирования соответствия. Если проводится обязательное подтверждение соответствия (продукция обладает высокой степенью потенциальной опасности и требует специальных мер защиты (лекарственные средства);продукция относится к сфере, в которой действуют международные соглашения и документы;предметом подтверждения соответствия является импортируемая продукция), то выбирается соответствующая схема декларирования. Выделяют 7 схем декларирования, которые содержат одну и более операций.
| 1д | Заявитель. Приводит собств.док-ва соотв-я в тех.файле. Принимает декларацию о соотв-ии | A |
| 2д | Аккредитованная испыт.лаб-я. проводит испытания типового образца продукции.Заявитель принимает декларацию о соотв-ии. | C |
| 3д | Орган по сертиф. Сертифицирует систему кач-ва на стадии пр-ва. Аккр.испыт.лаб. Проводит испытания типового образца продукции. Заявитель принимает декларацию о соотв-ии. Орган по сертиф. Осущ-ет инспекционный контроль за системой кач-ва. |
D |
| 4д | Орган по сертиф. Сертифицирует систему кач-ва на этапах контроля и испытаний. Аккр.испыт.лаб-я. проводит испытания типового образца продукции. Заявитель принимает декларацию о соотв-ии. Орган по сертиф. Осущ-ет инспекционный контроль за системой кач-ва. | E |
| 5д | Аккр.испыт.лаб-я. Проводит выборочные испытания партии выпускаемой продукции. Заявитель. Принимает декларацию о соотв-ии. | F |
| 6д | Аккр.испыт.лаб-я. Проводит испытания каждой единицы продукции. Заявитель. Принимает декларацию о соотв-ии. | G |
| 7д | Орган по сертиф. Сертифицирует систему кач-ва на стадиях проектирования и пр-ва. Заявитель. Проводит испытания образца продукции. принимает декларацию о соотв-ии. Орган по сертиф. Осущ-ет инспекционный контроль за системой кач-ва. | H |
4. Контрольные метки, их виды
Контрольные метки — разнообразные метки на печатных листах, предназначенные для контроля точности выполнения печатных процессов и дальнейшего контроля при отделочных операциях. К. м. располагают на таких местах, чтобы после окончательной отделки печатного издания они не были видны. На печатном листе обычно размещают следующие метки: приладочные, приводочные, для разрезки и фальцевания, корешковые, метки печатников. Виды: искаженный знак (шрифт одной цифры не соот-ет другим), микроскопическая черточка, искаженная буква (одна из букв чуть больше,чем остальные), имитация случайно попавшего волоска, имитация дефекта шрифта, имитация дефекта символа.
Билет №2
1. Процесс управления маркетингом.
Каждая фирма заинтересована в эффективном управлении своей маркетинговой деятельности. Ей нужно знать, как анализировать рыночные возможности, отбирать подходящие целевые рынки, разрабатывать эффективный комплекс маркетинга и успешно управлять претворением в жизнь маркетинговых задач. Все это и составляет процесс управления маркетингом, элементы которого представлены на рис. 2.1.[12]
| 1 | Анализ рыночных возможностей : Системы маркетинговых исследований и маркетинговой информации Маркетинговая среда Потребительские рынки Рынки предприятий |
| 2 | Отбор целевых рынков : Замеры объемов спроса Сегментирование рынка, выбор целевых сегментов и позиционирование товара на рынке |
| 3 | Разработка комплекса маркетинга : Разработка товаров Установление цен на товары Методы распространения товаров Стимулирование сбыта товаров |
| 4 | Претворение в жизнь маркетинговых мероприятий Стратегия, планирование и контроль |
Рис.2.1. Процесс управления маркетингом
3 направления маркетинговой деятельности:
1.Выход на рынок
2.Расширение рынка
| рынок | существ. | новый |
| товар | ||
| существ. | 1 | 2 |
| новый | 3 | 4 |
1-обработка рынка
2-развитие рынка
3-развитие продукта
4-диверсификация-занятие деят-тью, отличной от основной
3.Обеспечение безопасности рынка
SWOT-анализ-анализ сильных и слабых сторон рынка, фирм
2.Эластичность предложения
Эластичность предложения — степень изменения в количестве предлагаемых товаров и услуг в ответ на изменения в их цене. Процесс возрастания эластичности предложения в долгосрочном и краткосрочном периодах раскрывается через понятия мгновенного, краткосрочного и долгосрочного равновесия.
Коэффициент эластичности предложения — числовой показатель, отражающий степень изменения количества предлагаемых товаров и услуг в ответ на изменения в их цене.
Эластичность предложения зависит от:
· особенности производственного процесса (позволяет производителю расширить производство товара при повышении цены на него или переключиться на выпуск другого товара при снижении цен);
· временной фактор (производитель не в состоянии быстро реагировать на изменения цен на рынке);
· зависит и от (не)способности данного товара к длительному хранению.
Когда мы говорим о формировании кривой предложения, то рассматривали ее в трех периодах - краткосрочном, среднесрочном, долгосрочном.
Если мы изучаем предложение в краткосрочной перспективе, то оно будет совершенно неэластично (Esp = 0). Изменение спроса вызывает изменение (повышение или понижение) цен, но в краткосрочном периоде это никак не влияет на величину предложения. Производители просто не успевают отреагировать за короткий временной отрезок.
В среднесрочной перспективе предложение будет более эластичным. Повышение спроса при среднесрочном периоде вызовет не только рост цен, но и увеличение объема производства. Производители при среднесрочной перспективе успеют отреагировать на изменение спроса, а значит, успевают изменить количество предлагаемого товара, и кривая предложения имеет совсем другой вид.
В долгосрочной перспективе предложение наиболее эластично. Увеличение спроса приводит к значительному росту предложения при постоянных ценах или несущественном повышении цен. При длительном периоде на рынке производитель успевает отреагировать на любые изменения рыночного спроса.
Эластичность предложения по цене - это показатель, который позволяет определить степень реакции производителя на ситуацию на рынке.
3.Схемы обязательной сертификации
В системе сертификации ГОСТ Р схемы сертификации — это определенный порядок действий по сертификации продукции в зависимости от вида продукции, целей сертификации и объема продукции (товара), который определяется органом по сертификации. Конечно же выбор схемы сертификации оговаривается с заявителем, т.к. сертификация продукции проводится в первую очередь по инициативе производителя или импортера продукции. Сертификаты оформляются на контракт, на партию или на серийный выпуск. Теперь немного подробнее о тех схемах, которые установлены законодательством.
| Обозначение схемы | Содержание схемы и ее исполнители | Обознач. прежней схемы сертиф. |
| 1с | Аккр.испыт.лаб. проводит испытания типового образца продукции. Аккр.орган по сертиф. выдает заявителю сертификат соотв-я | 1 |
| 2с | Аккр.испыт.лаб. проводит испытания типового образца продукции. Аккр.орган по сертиф. проводит анализ состояния пр-ва. Выдает заявителю сертификат соотв-я | 1а |
| 3с | Аккр.испыт.лаб. проводит испытания типового образца продукции. Аккр.орган по сертиф. выдает заявителю сертификат соотв-я. Осущ-ет инспекционный контроль за сертифиц-ой продукцией (испытания образцов продукции). | 2,3,4 |
| 4с | Аккр.испыт.лаб. проводит испытания типового образца продукции. Аккр.орган по сертиф. проводит анализ состояния пр-ва. Выдает заявителю сертификат соотв-я. Осущ-ет инспекционный контроль за сертифиц-ой продукцией (испытания образцов продукции и анализ состояния пр-ва). | 2а, 3а, 4а |
| 5с | Аккр.испыт.лаб. проводит испытания типового образца продукции. Аккр.орган по сертиф. проводит сертификацию системы кач-ва или пр-ва. Выдает заявителю сертификат соотв-я. Осущ-ет инспекц.контроль за сертифицированной продукцией (контроль системы кач-ва (пр-ва), испытания образцов продукции, взятых у изготовителя или продавца). | 5 |
| 6с | Аккр.испыт.лаб. проводит испытания партии продукции. Аккр.орган по сертиф. выдает заявителю сертификат соотв-я | 7 |
| 7с | Аккр.испыт.лаб. проводит испытания каждой единицы продукции. Аккр.орган по сертиф. выдает заявителю сертификат соотв-я | 8 |
4. Диаграмма Парето.
Диаграмму Парето часто используют для анализа причин брака. Она применяется, когда требуется наглядно представить относительную важность всех причин появления брака и выявить причины, имеющие наибольшую долю (наибольший процентный вклад), с тем, чтобы выработать меры по первоочередному устранению этих причин. Сравнивая диаграммы Парето, построенные по данным до и после улучшения процесса, оценивают эффективность принятых мер.
Диаграмма Парето строится в виде столбчатого графика, столбики которого соответствуют отдельным факторам, являющимся причинами возникновения проблемы. Высота столбика соответствует доле фактора в общей величине потерь (дефектов). Затем строится кривая кумулятивной суммы.
Если применить методику построения кривой Парето и построить дополнительный график, отражающий виды дефектов и связанную с ними долю ущерба от брака (рис.6.5), можно прийти к первоочередному решению по устранению определенного вида брака. При этом область наибольшего числа дефектов может не соответствовать области наибольшего ущерба от брака, поскольку имеющая этот дефект деталь гораздо дешевле, менее важна и легче поддается исправлению. Диаграмму Парето следует строить в зависимости от конкретной задачи. Если, например, вся дефектная продукция одного типоразмера, то по вертикали лучше откладывать процент дефектных изделий. Если же в анализ входит несколько типов изделий, то по вертикали следует откладывать ущерб от дефектных изделий в процентном или денежном выражении. В противном случае полсотни дешевых мелких гаек приобретает большее значение, чем одна сложная дорогая деталь.
Билет №3
1.Анализ существующих рынков.
Под анализом рынка понимается сбор, сведение в систему и анализ числовых показателей, касающихся рынка и продаж. Благодаря этому становится ясной ситуация со сбытовой деятельностью в прошлом и выявляются сложившиеся на рынке тенденции и проблемы. В качестве цели ставится разработка сбытовой политики на предстоящий период. Анализ рынка является инструментом для предварительной оценки проблем и проверки положения предприятия на рынке в соответствии с видом его коммерческой деятельности.
Выход на рынок с каким-либо новым продуктом всегда сопряжен с риском. Для получения реального дохода от будущего предприятия, для достижения максимальной эффективности необходимо проведение анализа существующей ситуации на рынке. Результаты подобного анализа помогут точно сформировать комплекс необходимых действий, провести анализ конкуренции. Задачи анализа этого рынка включают в себя: конъюнктурные и прогнозные исследования рынка; определение емкости рынка и/или отдельных его сегментов; изучение конкурентов и их стратегий; исследование возможной реакции покупателей и конкурентов на введение нового товара.
Для того, чтобы провести базовый анализ рынка следует собрать следующую информацию: данные об объемах продукции в физическом и стоимостном выражении, данные о продажах сопутствующих товаров и услуг и т.п.; данные о клиентской базе (название фирмы, местонахождение и пр.); подобную информацию по сбытовикам; подробную информацию о каждом из основных конкурентов; данные о продвижении товара (сведения о рекламных акциях, участии в выставках и т.п.).
Завершающий этап в изучении рынка – составление прогноза развития рынка с учетом предполагаемой его реакции на выход товара.
2.Закон спроса
Спрос — отражает то количество товара, которое покупатели готовы купить по каждой из предложенных цен, в данном месте, в данное время.
Закон спроса — при прочих равных условиях, повышение цены вызывает понижение величины спроса; понижение цены — повышение величины спроса, то есть отражает обратную зависимость между ценой и количеством товара.
Действие закона спроса ограничено в следующих случаях:
1. При ажиотажном спросе, вызванном в ожидании повышения цен.
2. Для некоторых редких и дорогих товаров, покупка которых является средством накопления.
3. При переключении спроса на более новые и качественные товары.
3. Порядок проведения сертификации товаров в Системе сертификации ГОСТ Р.
Порядок проведения сертификации устанавливает послед-ть действий, сост-щих совокупную процедуру сертиф-ии. Сертиф-я продукции вкл-ет след-е основные этапы:
· подача заявки на сертификацию (Заявитель направляет заявку в соотв-щий орган по сертиф-ии, а при его отсутствии - в Госстандарт РФ или др.гос. орган упр-я);
· рассмотрение и принятие решения по заявке (Орган по сертификации рассматривает заявку и непозднее 15 дней после ее получения направляет заявителю решение по заявке);
· проведение необходимых проверок
1) Отбор, идентификация образцов и их испытания.К сертификации допускается продукция, пригодная для использования по назначению и имеющая необходимую маркировку и техническую документацию, содержащую информацию о продукции, в соответствии с законодательством РФ. Образцы для испытания, как правило, отбираются представителем органа по сертификации испытательной лабораторией или представителями территориальных органов Госстандарта.
2) Оценка производства. В зависимости от выбранной схемы сертификации проводится, анализ состояния производства, сертификация производства либо системы качества.
· анализ полученных результатов и принятие решения о возможности выдачи сертификата соответствия. По результатам анализа на основе этих данных составляется заключение эксперта. На основании этого документа орган по сертификации принимает решение о выдаче сертификата соответствия.
· выдача сертификата и лицензии (разрешения) на применение знака соответствия. На продукцию, для которой по результатам сертификации подтверждено соответствие требованиям нормативных документов, выдается сертификат соответствия. Эта продукция маркируется знаком соответствия, кот-ый наносят на продукцию (тару, упаковку), сопроводительную техническую документацию, поступающую к потребителю при реализации. Изготовитель получает право маркировки сертифицированной продукции знаком соответствия, получив лицензию от органа по сертификации. Обычно в каждой системе принят свой знак. Сертификаты в системах обязательной сертификации вступают в силу с даты их регистрации в государственном реестре. Срок действия сертификата соответствия устанавливает орган по сертификации, но не более трех лет.
· инспекционный контроль за сертифицированным объектом в соответствии со схемой сертификации проводится, если предусмотрен схемой сертификации, в течении всего срока действия сертификата и лицензии на применение знака соответствия (но не реже одного раза в год). Цель инспекционного контроля заключается в подтверждении соответствия реализуемой продукции установленным требованиям. Результаты инспекционного контроля оформляются актом, который хранится в органе по сертификации.
4. Построение диаграммы Исикавы
Диаграмма Исикавы (причинно-следственная диаграмма, «рыбий скелет») – инструмент качества, служащий для наглядного представления причинно-следственных связей между объектом анализа и влияющими на него факторами.
Также используется для первоначального ранжирования (определения значимости, силы влияния) факторов, воздействующих на исследуемый объект и выбора приоритетов для устранения проблемы или улучшения показателя.
Методика построения:
1.Выберите показатель качества для улучшения (анализа). Запишите его в середине правого края чистого листа бумаги.
2.Определите главные факторы (факторы первого порядка), влияющие на показатель качества.
3. Определите и запишите факторы второго порядка рядом с «большими костями» факторов первого порядка, на которые они влияют. Соедините стрелками («средние кости») названия факторов второго порядка с «большими костями».
4.Определите и запишите факторы третьего порядка рядом со «средними костями» факторов второго порядка, на которые они оказывают влияние.
5. Удалите факторы, на которые невозможно повлиять или скомпенсировать их воздействие.
6. Оцените степень влияния (значимость) каждого, наиболее мелкого фактора, на который можно повлиять.
7. Выпишите и используйте для улучшения показателя качества наиболее значимые факторы.
Билет 4
1. Комплекс инструментов маркетинга
Понятие «комплекс маркетинга» впервые научно закреплено в 1964 году профессором Гарвардской школы бизнеса Нейлом Борденом. В 1960 Маккарти, в целях создания квалифицированных кадров маркетологов, синтезировал комплекс маркетинга из таких элементов, как товар, цена, распределение и продвижение, создав модель «4P». В настоящее время наиболее распространенным является такое определение комплекса маркетинга, которое характеризует его как совокупность контролируемых факторов, направленных на возникновение предсказуемых и желаемых ответных реакций определенного сегмента рынка. То есть, это те мероприятия, которые способна осуществить та или иная компания с целью продвижения своего товара на рынке.
Концепция Маккарти «4Р» заключается в том, что комплекс маркетинга состоит из четырех компонентов: продукт, цена, продвижение товаров на рынке и доставка продукта потребителям.
Итак, рассмотрим подробнее каждый из вышеперечисленных компонентов.
1. Одним из важнейших составляющих комплекса маркетинга является Product, или ассортиментная политика. Она напрямую зависит от направления денежных потоков, его оценки и прогноза.
2. Price, или цена, как важнейший экономический инструмент комплекса маркетинга, оказывает непосредственное воздействие на характер доходности предприятия. Ведь для определения цены любого товара важнейшими показателям возможности его реализации являются спрос на аналогичную продукцию, чувствительность покупательской способности, конкурентоспособность, а также уровень издержек, связанных с ее производством и реализацией.
3. Осуществлению продвижения товаров на рынке, или Promotion , способствует реклама, наряду с которой выступают паблик рилэйшен (информация), директ-маркетинг и интернет-маркетинг. Все эти стратегии направлены на продвижение товара путем стимулирования деятельности продавцов, посредников и, конечно же, покупателей. Они заключаются в проведении различных акций, конкурсов, лотерей, предусматривающих всевозможные подарки, скидки, кредитные льготы и т.д. Их целью является не только увеличение объема продаж и создание имиджа для новых товаров, но также раскрутка и закрепление имиджа того или иного бренда.
4. Выбор метода сбыта является определяющим при определении направления сбытовой политики. Place может осуществляться как самим предприятием, так и с привлечением торговых посредников. К ним относятся как оптовые и розничные продавцы, дистрибьюторы, брокеры, дилеры, всевозможные агенты и т.д.
Современный подход к комплексу маркетинга не ограничивается концепцией маркетинга-микса 4Р, а стремится к включению в нее дополнительных компонентов, позволяющих формировать такие подходы, как модель 6Р, 7Р и даже 12Р. В качестве дополнительных компонентов предлагаются, например, такие параметры, как «people», «public relations», «politics» (Ф.Котлер, 1986) и т.д.
По своей сути концепция 4Р представляет собой ту маркетинговую позицию, с точки зрения которой продавец подходит к формированию своей стратегии продаж, а потребитель воспринимает ее с позиции получения возможных преимуществ и определенной выгоды.
2. Закон предложения.
Закон предложения выражает прямую зависимость между ценой и величиной предложения блага в течение определенного периода.
Закон предложения гласит: с повышением цен соответственно возрастает и величина предложения; со снижением цен сокращается также и предложение. На величину предложения оказывают влияние как ценовые, так и неценовые факторы.
Зависимость между ценами и количеством благ, которое производители готовы выпустить и продать, называется графиком, или кривой предложения. Чем выше цена, тем при прочих равных условиях больше предложения благ, ибо производитель стремится увеличить свой доход. Однако при очень высокой цене достаточно большой доход можно получить и без увеличения производства. В этом случае предложение может сократиться.
Закон предложения имеет две формы выражения: а) шкала предложения; б) кривая предложения.
Шкала предложения - это табличное выражение связи между рыночной ценой блага и тем количеством, которое по этой цене будут предлагать продавцы.
Кривая предложения - это графическое выражение связи между рыночной ценой блага и тем количеством, которое по этой цене будут предлагать продавцы.
3. Порядок проведения сертификации услуг в Системе сертификации ГОСТ Р.
Сертификация услуг в общем случае включает:
- подачу заявки на сертификацию (в соответствующий орган по сертификации однородных услуг);
- принятие решения по заявке (не позднее 1 месяца);
- выбор схемы сертификации;
- определение аккредитованной испытательной лаборатории (осущ-ся выборочная проверка отремонтированных (изготовленных, выстиранных и др.) изделий по требованиям безопасности, оформление заключений по протоколам испытаний (проверок);
- проведение проверки соответствия процесса оказания услуги установленным требованиям и испытаний (проверки) результата услуги в соответствии с выбранной схемой сертификации;
- анализ полученных результатов и принятие решения о возможности выдачи сертификата соответствия;
- выдачу сертификата и лицензии на применение знака соответствия (орган по сертификации при положительных результатах испытаний (проверок), предусмотренных схемой сертификации и экспертизы представленных документов, оформляет сертификат соответствия и регистрирует его в Государственном реестре и выдает лицензию на право применения знака соответствия.);
- инспекционный контроль за сертифицированной услугой (в соответствии со схемой сертификации);
- информацию о результатах сертификации. При получении сертификата соответствия исполнитель услуги обязан обеспечить маркировку документации знаком соответствия.Изображение и технические требования к знаку соответствия установлены ГОСТ Р 50460-92.Применением знака соответствия для сертифицируемой услуги считается маркирование им тары, упаковки, квитанции, другой сопроводительной документации, а также использование знака соответствия в рекламных, печатных изданиях, на официальных бланках, вывесках.Маркировку знаком соответствия осуществляет исполнитель услуги.Право использования знака соответствия предоставляется лицензией, выдаваемой при оформлении сертификата соответствия
4. Диаграмма рассеивания.
Диаграмма рассеивания (разброса, поле корреляции) – инструмент позволяющий выявить вид и степень зависимости (корреляцию) между парами переменных x , y , которые могут представлять:
· характеристику качества и воздействующий на нее фактор;
· две характеристики качества;
· два фактора, воздействующие на одну и ту же характеристику качества.
Сама диаграмма представляет собой множество (совокупность) точек, координаты которых равны значениям параметров x и y .
Методика построения:
1. Сведите полученные значения пар данных x , y в таблицу для удобства дальнейшего использования.
2. Постройте горизонтальную и вертикальную оси.
3. Нанесите точки полученных пар значений x, y на график.
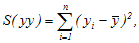
4. Вычислите коэффициент корреляции (он позволяет количественно определить силу линейной связи между x и y ) по формуле:
![]()
где
![]()
![]()
![]()
n – количество пар данных,
– среднее арифметическое значение параметра x,
– среднее арифметическое значение параметра y.
5. Определите вид связи между x и y, проведя анализ формы построенного графика и вычисленного коэффициента корреляции.
Билет № 5
1. Товар, рынок потребительских товаров
Товар – это продукт, произведение труда, которое выставляется на продажу. Сбалансированный эффективный рынок потребительских товаров определяет повышение уровня жизни населения. Рынок потребительских товаров позволяет создать экономику, ориентированную на человека, развивает заинтересованность в труде, поощряет предприимчивость, деловитость, поиск.
Рынок потребительских товаров наиболее подвержен колебаниям спроса и предложения, денежного обращения, инфляции и имеет наибольшее социальное значение при выполнении своих функций. Рынок потребительских товаров выступает как триединство спроса, предложения и цены.
Существуют пять признаков рынка потребительских товаров:
1) подлинный рынок предлагает свободный доступ в него и свободный выход из него, поэтому число участников рынок потребительских товаров ничем не ограничивается;
2) на рынок потребительских товаров действует значительное число производителей товаров, поэтому цена, назначаемая на товары, оказывает незначительное влияние на общую рыночную цену;
3) на рынке потребительских товаров предполагается наличие полной свободы перемещений материальных, финансовых и людских ресурсов;
4) все участники рынка потребительских товаров обеспечиваются информацией о предложении, спросе, ценах спецификации и так далее;
5) исключаются любые привилегии для какихлибо продавцов.
Рынок потребительских товаров преследует определенные цели: вопервых, обеспечение роста общественного производства, то есть рынок должен способствовать продаже товаров, а вырученные деньги направлять на производство новых товаров (чем быстрее продаются товары, тем быстрее производятся новые товары); вовторых, получение максимальных результатов при минимальных затратах в сфере производства потребительских товаров; втретьих, достижение максимального уровня цен и исключение инфляционных процессов; вчетвертых, максимальная занятость населения и предоставление свободы выбора места работы; в–пятых, Стимулирование внедрения достижений научнотехнического прогресса, ведущих к обновлению и увеличению производства потребительских товаров, расширению их ассортимента и улучшению качества.
Сущность рынка потребительских товаров полностью раскрывается через его функции.
Одна из важнейших функций – это реализация части совокупного продукта, предназначенного для личного потребления, в результате которой возмещаются затраты труда на его производство и обращение.
Следующая функция заключается в доведении товаров до конечных потребителей и удовлетворение их потребностей в необходимых благах. Третья функция заключается в стимулировании экономической деятельности в обеспечении материальных стимулов к труду. Последняя функция – санирующая. Рынок является санитаром, который удаляет с рынка недобросовестных поставщиков, производителей и потребителей.
2. Рыночное равновесие, факторы.
Линии спроса и предложения пересекаются в точке, где цена, по которой покупатели согласны купить определенное количество товара, равна цене, по которой производители готовы продать это же количество товара. Точка пересечения линий предложения (S) и спроса (D) - точка Е, называется точкой равновесия. Когда рынок находится в этой точке, установившаяся цена устраивает как покупателей, так и продавцов и у них нет причин требовать ее изменения. Такое состояние рынка называется рыночным равновесием.
Объем продаж в этой точке называется равновесным объемом рынка (Qе). Цена в этой точке называется равновесной (рыночной) ценой (Pе).
Таким образом, рыночное равновесие - это состояние рынка, при котором объем спроса равен объему предложения. Если сложившаяся на рынке цена будет отличаться от равновесной, то под действием рыночных механизмов она будет изменяться до тех пор, пока не установится на равновесном уровне и объем спроса не станет равен объему предложения.Факторами, влияющими на рыночное равновесие, являются те же факторы, которые влияют на спрос и на предложение: доходы потребителей; вкусы и предпочтения потребителей; цены на взаимозаменяемые и взаимодополняемые товары; запасы товаров у потребителей (ожидание потребителей); информация о товаре; время, затраченное на потребление; изменение цен на факторы производства; технический прогресс; сезонные изменения;налоги и субсидии; ожидания производителей; изменение цен на сопутствующие товары.
3. Порядок проведения сертификации персонала в Системе сертификации ГОСТ Р
Сертификация услуг по подготовке специалистов в области метрологии, стандартизации, сертификации и управления качеством проводится в соответствии с требованиями Системы сертификации ГОСТ Р и "Правил сертификации работ и услуг в РФ" и включает следующие операции:
• подача заявки на сертификацию в ЦОС (При необходимости ЦОС дополнительно к заявке может быть затребована информация о материально-технической базе заявителя, квалификации персонала и т.п.);
• принятие решения по заявке, в том числе выбор схемы сертификации (ЦОС рассматривает заявку и в 7-дневный срок с момента ее получения сообщает заявителю решение, которое содержит все условия сертификации, основанные на установленном порядке сертификации данной услуги).
• оценка процесса оказания услуг (Орган по сертификации услуг проводит экспертизу всех мат-ов и принимает решение о возм-ти проверки на месте в срок не более 5-ти дней.);
• проведение сертификационных проверок результатов услуг (Оценку системы качества проводят эксперты по сертификации систем качества или эксперты по сертификации услуг с привлечением экспертов по системам качества в соответствии с документами Системы сертификации ГОСТ Р.);
• анализ полученных результатов и принятие решения о возможности выдачи сертификата соответствия;
• выдача сертификата соответствия (При положительных результатах сертификации Центральный орган системы услуг оформляет сертификат соответствия на бланке добровольной сертификации, предусмотренном Системой сертификации ГОСТ Р с нанесенным на него знаком соответствия и наименованием Системы);
• осуществление инспекционного контроля за сертифицированной услугой;
4. Контрольные карты
Контрольные карты — график изменения параметров выборки, обычно средних и среднеквадратичного отклонения. Различают контрольные карты для количественного и качественного признаков. Цель построения контрольной карты — выявление точек выхода процесса из устойчивого состояния для последующего установления причин отклонения и его устранения.
Задачи построения КК:
· определить возможности процесса,
· определить точки флуктуации,
· спрогнозировать качество процесса.
Выходящий параметр процесса всегда имеет изменчивость вследствие воздействия различных шумов (малых кратковременных отклонений входов и внутренних параметров). Факторов слабых (малых) шумов обычно много, и поэтому они частично компенсируют друг друга. Вследствие этого в устойчивом состоянии выходы процесса лежат в определённом коридоре. Вероятность выхода параметра за пределы коридора под воздействием только шумов мала.
Если доказать влияние отдельного фактора шумов на отклонение выхода с требуемой вероятностью невозможно, то этот фактор называют незначимым.
Контрольные карты принято делить на 2 группы: по качественным (годен-негоден) и количественным признакам.
Билет 6
1. Порядок проведения сертификации в Системе сертификации безопасности взрывоопасных производств.
Главный документ-технический регламент. Эта система состоит из 8 документов: основные положения о системе; порядок проведения сертификации; общая методика сертификации; требования к сертифицированным лабораториям и порядок их аккредитации; общая методика сертификации; положение об экспер. системы (опыт работы не менее 3 лет); правила ведения реестра системы; нормативы трудоемкости работ по сертификации; порядок работ по экологической безопасности. Объекты проверки: производственные здания и сооружения; оборудование, оснастка, тех.обслуживание; система технол.контроля и испытания; нормативная документаци (тех.регламент); квалифицирование (инжен.тех.работники и персонал). Заявка проведения сертификации подается в ЦОС «Агенство по боеприпасам». К заявке прилагаются след.документы: ПЗ, в которой излагается соответствие данного производства требованиям с веденными отступлениями; план ликвидации аварий; перечень нормативных документов общих и для соответствующих производств; декларация о соответствии проектов производства критерия «Системы сертификации и безопасности»; заключение о самооценке деятельности по безопасности; копия разрешения МВД на хранение, пр-во и использование ВВ; перечень произв. и складских зданий. В месячный срок рассматривается раб.орган. По этому комплекту документов и заявлению делается заключение «+» или «-». По заключению предоставляют установ.недочеты в указ.сроки и с рабочего органа. Эти 7 документов передаются в ЦОС, где пров-я обслуживание и план проверки; создается спец.экспертная комиссия (5 экс.), которая проверяет продукцию. По результатам проверки комиссия направляет в адрес проверяемого комплект документов: заключение по результатам пред.проверки и оценки; заявка + 7 документов возвращенных обратно; рабочие методики для данного предприятия; акт обслед. комисии и его пред.результаты. Выдается сертификат, если нет замечаний в месячный срок, наносится знак сертификации. Инспекционный контрольне реже 1 раза в год-плановый. Внеплановый нарушение требований безопасности ведения тех.процесса или изменения в конструкции кадрового предприятия.
2. Процесс ценообразования.
Процесс ценообразования состоит из след-щих этапов:
1) выявление внешних по отношению к предприятию факторов, влияющих на цену
2) постановка цели ценообразования
3) выбор метода ценообразования (затратные методы, направленные на потребителя, ориентация на конкурентов)
4) разработка ценовой стратегии предприятия (стратегия – долговременная деятельность, 2 и более года)
5) рыночная корректировка цены
6) страхование ценообразования от неблагоприятных внешних воздействий
3. Производственная функция.
Производственная функция – это зависимость между набором факторов производства и максимально возможным объемом продукта, производимым с помощью данного набора факторов. Производственная функция всегда конкретна, т.е. предназначается для данной технологии. Новая технология – новая производительная функция. С помощью производственной функции определяется минимальное количество затрат, необходимых для производства данного объема продукта. Производственные функции, независимо от того, какой вид производства ими выражается, обладают следующими общими свойствами:
1) Увеличение объема производства за счет роста затрат только по одному ресурсу имеет предел (нельзя нанимать много рабочих в одно помещение – не у всех будут места).
2) Факторы производства могут быть взаимодополняемы (рабочие и инструменты) и взаимозаменяемы (автоматизация производства).
В наиболее общем виде производственная функция выглядит следующим образом:
Q = f (К, L, М, Т, N)
где Q - объем выпуска;
K- капитал (оборудование);
М- сырье, материалы;
Т – технология;
N – предпринимательские способности.
L - труд
4.Графики, контрольные метки.
В качестве защиты печатей рекомендуется использовать метод контрольных меток. Контрольные метки – это видимые при обычном свете метки, но незаметные для непосвященного наблюдателя. Например, на печати можно сымитировать попавший на бумагу при наложении печати волосок, или чуть -чуть исказить одну-две буквы. Описание меток и указание их расположения содержится на контрольном шаблоне, который изготавливается вместе с печатью. Главной мерой защиты печатей от подделок остается сокрытие контрольных шаблонов от посторонних лиц. Виды: искаженный знак (шрифт одной цифры не соот-ет другим), микроскопическая черточка, искаженная буква (одна из букв чуть больше,чем остальные), имитация случайно попавшего волоска, имитация дефекта шрифта, имитация дефекта символа.
Билет №7
1. Методы продвижения товаров
Продвижение товара - это деятельность по планированию, претворению в жизнь и контролю за физическим перемещением материалов и готовых изделий от мест их производства к местам потребления с целью удовлетворения нужд потребителей и выгодой для себя.
Методы продвижения товара имеют ряд основных подфункций:
1. персональная ( личная ) продажа;
2. реклама с использованием средств массовой информации;
3. стимулирование сбыта;
4. торговля;
5. спонсорство;
6. пропаганда.
Тремя основными средствами воздействия в комплексе продвижения товаров являются реклама, стимулирование сбыта и пропаганда. Это орудия массового маркетинга в отличие от методов личной продажи, которая нацелена на конкретных покупателей.
Реклама, т.е. использование продавцом платных средств распространения информации для доведения увещевательных сведений о товарах, услугах или организациях, ¾ по - моему, самое мощное средство продвижения товара.
Стимулирование сбыта ¾ это многообразные средства кратковременного побудительного воздействия ¾ купоны, премии, конкурсы, зачеты за покупку, ¾ призванные стимулировать потребительские рынки, сферу торговли и собственный торговый персонал фирмы. Деятельность по стимулированию сбыта предполагает постановку задач, выбор средств стимулирования, разработку, предварительное опробование и претворение в жизнь соответствующей программы, атакже оценку достигнутых результатов.
К пропаганде, т. е. бесплатному получению редакционного места и времени, прибегают реже, чем к прочим основным средствам стимулирования, хотя она и обладает огромными потенциальными возможностями в деле формирования осведомленности и предпочтений на рынке. Пропагандистская деятельность предполагает постановку задач, выбор пропагандистских обращений и их носителей, претворение в жизнь плана пропаганды и оценку полученных результатов.
Современное спонсорство рассматривается как особый вид коммерческих инвестиций в социальные проекты, предназначенные для повышения ценности компании.
2. Издержки производства
Издержкипроизводства — затраты, связанные с производством и обращением произведенных товаров. В бухгалтерской и статистической отчетности отражаются в виде себестоимости. Включают в себя: материальные затраты, расходы на оплату труда, проценты за кредиты, расходы, связанные с продвижением товара на рынок и его продажей. Экономические издержки принято делить на совокупные, средние, маржинальные (их называют ещё предельными издержками) или замыкающие, а также на постоянные и переменные.
Совокупные издержки включают в себя все издержки выпуска данного объёма экономических благ. Средние издержки — это совокупные издержки, приходящиеся на единицу объёма выпуска. Маржинальные издержки — это издержки, которые приходятся на единицу изменения объёма выпуска.
Постоянные издержки возникают, когда объём применения одного (или обоих) факторов, вводимых в процесс трансформации, не может изменяться. Таким образом переменные издержки возникают, когда фирма имеет дело с факторами, вводимыми в процесс трансформации, объём применения которых ничем не ограничен.
3. Порядок проведения сертификации Системы качества в Системе ГОСТ Р.
1. Предсертификационный этап
Орган по сертификации после оплаты работ по договору направляет заявителю:
- форму заявки о проведении сертификации системы качества (приложение Б);
- перечень исходных данных для предварительной оценки системы качества (приложение Д).
Заявитель представляет в орган по сертификации:
- заявку (заполненный бланк);
- исходные данные для предварительной оценки системы качества в соответствии с приложением Д.
Описание процедур системы качества может быть представлено в виде разделов
Руководства по качеству.
2 Проверка и оценка системы качества
Первый (предварительная оценка системы качества) и второй (проверка и оценка системы качества в организации) этапы сертификации выполняются одновременно в процессе проверки системы качества организации.
На весь комплекс сертификационных работ оформляют единый договор.
Сертификация систем качества может осуществляться одним экспертом (председателем комиссии), имеющим квалификацию в заявленной области сертификации. Если председатель комиссии не имеет профессионального образования в заявленной организацией области сертификации, то в состав комиссии включается эксперт (технический эксперт), являющийся специалистом в этой области.
Результаты проверки оформляются в виде акта (приложение К).
3 Инспекционный контроль сертифицированных систем качества - по ГОСТ Р 40.005.
4. Виды контрольных листков
Контрольный листок — это форма для систематического сбора данных и автоматического их упорядочения с целью облегчения дальнейшего использования собранной информации.
Контрольный листок — это бумажный бланк, на котором заранее напечатаны названия и диапазоны контролируемых показателей, с тем чтобы можно было легко и точно записать данные измерений и упорядочить их для дальнейшего использования. Этот инструмент (контрольный листок) служит средством для сбора и упорядочения первичных данных. Он используется для получения ответа на вопрос «Как часто встречаются изучаемые события?».
Применяются следующие виды контрольных листков:
· контрольный листок для регистрации измеряемого параметра в ходе производственного процесса;
· контрольный листок для регистрации видов несоответствий;
· контрольный листок для оценки воспроизводимости и работоспособности технологического процесса и т. п.
Билет №8
1. Методы стимулирования сбыта
Выбор методов стимулирования зависит от поставленных целей. Все методы можно объединить в три большие группы:
- ценовое стимулирование (продажа по сниженным ценам, льготные купоны, дающие право на скидку);
- предложения в натуральной форме (премии, образцы товара);
- активное предложение (конкурсы покупателей, игры, лотереи).
Приступая к стимулированию сбыта, следует помнить:
1. Стимулирование эффективно только тогда, когда его применение увязывается с жизненным циклом товара и согласуется с четко определенными целями.
2. Более эффективным является относительно непродолжительное стимулирование сбыта. Кратковременность мероприятия побуждает потребителя быстро воспользоваться выгодой. Применительно к канцелярским товарам стимулирование может осуществляться в течение от одного до двух месяцев.
Товар, приобретаемый один раз в год, нуждается в краткосрочном стимулировании ( 4-6 недель) в момент, когда покупка наиболее вероятна.
3. Меры по стимулированию и товар должны быть тесно увязаны между собой. Стимулирование необходимо сделать составной частью либо самого товара, либо его ближайшего окружения (магазина или группы товаров одной с ним марки).
Стимулирование потребителей воспринимается ими как «бесплатный подарок» или развлечение. Потребитель имеет возможность выбора среди предложенных ему вариантов стимулирования и безразличен к тому, от кого идет стимулирование - от производителя или торговой сети. Об этом свидетельствуют многочисленные опросы, проведенные агентствами по стимулированию продаж.
Опросы также показали, что потребитель предпочитает такие виды стимулирования, как:
1) бесплатные образцы, сопровождающие покупку;
2) дополнительное количество товара, предоставляемое бесплатно;
3) продажа по сниженным ценам;
4) с некоторым отрывом следует скидка при повторной покупке.
Операции по стимулированию тогда завоевывают потребителя, когда они дают немедленный (или с некоторой отсрочкой) выигрыш или экономию.
2. Равновесие потребителя.
Равновесие потребителя-ситуация, в которой потребитель не может увеличить общую полезность, получаемую исходя из данного бюджета, расходуя меньше денег на покупку одного блага и больше на покупку другого блага. Равновесие потребителя наступает тогда, когда у него отсутствуют стимулы изменять потребительский набор благ. Достигается такое равновесие в точке совпадения наклона линии бюджетных возможностей с наклоном кривой безразличия.
Равновесие потребителя может изменяться под влиянием изменения цен. Эффект изменения цены распадается на эффект дохода (с падением цены товара при неизменном номинальном доходе возрастает реальный доход потребителя, его возможность приобрести данный товар) и эффект замещения (с уменьшением цены товара появляются возможности замещать им в потреблении более дорогие товары-субституты).
3. Система сертификации ГОСТ Р.
Сертифика́т соотве́тствия (в России) — документ, удостоверяющий соответствие объекта требованиям технических регламентов, положениям стандартов, сводов правил или условиям договоров.
Сертификат соответствия ГОСТ Р — сертификат соответствия, выданный в Системе обязательной сертификации ГОСТ Р.
Продукция может не подлежать обязательной сертификации, но может быть сертифицирована добровольно ;в России обязательная сертификация соответствия является разрешительной формой дорыночного контроля.
Сертификат соответствия имеет следующие поля:
1. № сертификата соответствия
2. Срок действия
3. Орган по сертификации
4. Продукция
5. Соответствует требованиям нормативных документов
6. Изготовитель
7. Сертификат выдан
8. На основании
9. Дополнительные сведения.
10. код ОК 005 (6 цифр. Первые две цифры кода ОКП обозначают класс продукции; третья — подкласс; четвертая — группу; пятая — подгруппу; шестая — вид продукции.)
11. код ТН ВЭД (В данном пункте указывается код ТН ВЭД (Товарная номенклатура внешнеэкономической деятельности) продукции. В сертификатах наличие кода ТН ВЭД не обязательно в случае, если продукция не пересекает границы. В коде ТН ВЭД 10 цифр)
4. Гистограммы
Гистограмма позволяет оценить состояние качества. Гистограмма представляет собой столбчатый график, построенный по полученным за определенный период (час, неделю, месяц) данным, которые разбиваются на несколько интервалов. Число данных, попавших в каждый из интервалов (частота), выражается высотой столбика. Гистограмма применяется главным образом для анализа значений измеренных параметров, но может использоваться и для расчетных значений. Благодаря простоте и наглядности гистограммы нашли применение в различных областях:
- для анализа сроков получения заказа (за контрольный норматив принимается срок поставки согласно договору);
- для анализа времени реагирования группы обслуживания от момента получения заявки от клиента, времени обработки рекламации от момента ее получения и т.д.;
- для анализа значений показателей качества, таких как размеры, масса, механические характеристики, химический состав, выход продукции и т.д. при контроле готовой продукции, при приемочном контроле, при контроле процесса в самых разных сферах деятельнотси;
- для анализа чистого времени операций, времени износа режущей поверхности и т.д.;
- для анализа числа бракованных изделий, числа дефектов, числа поломок и т.д.
Полученная в результате анализа гистограммы информация может быть легко использована для построения и исследования причинно-следственной диаграммы, что повысит обоснованность мер, намеченных для улучшения процесса.
Билет №9
1. Процесс сегментирования рынка потребительских товаров
Сегментация — разделение рынка на группы покупателей, обладающих схожими характеристиками, с целью изучения их реакции на тот или иной товар или услугу.
Сегментирование позволяет установить количественные характеристики: число выделенных групп, их размер, тенденции развития; дает возможность вскрыть причинно-следственную связь поведения потребителей и позволяет на основе анализа признаков поведения выделить и описать условные их типы.
Выделяют следующие этапы сегментирования рынка:
1. Определение возможных признаков сегментирования.
2. Проведение опроса.
3. Определение "пригодных" признаков сегментирования.
4. Выделение сегментов
5. Формулировка сегментов.
На последнем этапе выделенным сегментам дают описание и присваивают специальные маркетинговые прозвища. Существует четыре признака, используемых для сегментирования потребителей на рынке товаров и услуг: географический; демографический; психографический; поведенческий.
2. Равновесие производителя
Равновесие производителя - состояние производства, при котором использование факторов производства позволяет получить максимальный объем продукции, т. е. когда изокванта занимает самую отдаленную от начала координат точку.Изокванта продукта– это кривая, показывающая все сочетания факторов в пределах одного и того же объема производства.Изокванта – результат взаимодействия факторов производства. Чтобы определить равновесие производителя, необходимо совместить карты изоквант с картой изокост. Максимальный объем выпуска будет в точке касания изокванты с изокостой (рис. 21.6).

Рис. 21.6. Равновесие производителя
Из рис. 21.6 видно, что изокванта, расположенная ближе к началу координат, дает меньшее количество производимой продукции (изокванта Q1). Изокванты, расположенные выше и правее изокванты Q2, вызовут изменение большего объема факторов производства, нежели позволяет бюджетное ограничение производителя.
Таким образом, точка касания изокванты и изокосты (на рис. 21.6 точка Е) является оптимальной, поскольку в этом случае производитель получает максимальный результат.
3. Добровольная сертификация.
Добровольная система сертификации предусматривает сертификацию продукции только по инициативе изготовителя. В этом случае он вправе сертифицировать свою продукцию на соответствие любым требованиям нормативно-технической документации, в том числе зарубежной. Добровольная сертификация проводится по инициативе юридических лиц и граждан на условиях договора между заявителями и органом по сертификации. Добровольная сертификация может использоваться для работ, услуг и товаров, выходящих за рамки обязательной сертификации.
Системы добровольной сертификации имеют ряд преимуществ:
· доверие к качеству изделий, экспортируемых в другие страны;
· предотвращение импорта в страну изделий, не соответствующих требуемому уровню качества продукции;
· сертификация отечественной продукции снижает импорт аналогичных изделий;
· сертификация упрощает выбор продукции потребителем;
· сертификация защищает изготовителя от конкуренции с поставщиками несертифицированной продукции и обеспечивает ему рекламу и рынок сбыта;
· сертификация улучшает качество стандартов путем выявления в них устарелых положений и стимулирует переработку этих стандартов.
Добровольная сертификация продукции, подлежащей обязательной сертификации, не может заменить обязательную сертификацию такой продукции. Тем не менее, по продукции, прошедшей обязательную сертификацию, могут проверяться в рамках добровольной сертификации требования, дополняющие обязательные. Допустим, при анализе зубных паст может быть проверена эффективность их действия, при проверке телевизоров некоторых зарубежных моделей - наличие благоприятного биологического воздействия, которые они якобы оказывают на человека.
4. Знак обращения на рынке.
Продукция, соответствие которой требованиям технических регламентов подтверждено в порядке, предусмотренном настоящим Федеральным законом, маркируется знаком обращения на рынке. Изображение знака обращения на рынке устанавливается Правительством Российской Федерации. Данный знак не является специальным защищенным знаком и наносится в информационных целях (Статья 27 ФЗ «О техническом регулировании» от 27.12.2002 г № 184-ФЗ). Маркировка знаком обращения на рынке осуществляется заявителем самостоятельно любым удобным для него способом.
Продукция, соответствие которой требованиям технических регламентов не подтверждено в порядке, установленном настоящим Федеральным законом, не может быть маркирована знаком обращения на рынке.
В соответствии с Постановлением Правительства Российской Федерации от 19.11.2003 г № 696: Знак обращения на рынке представляет собой сочетание букв «Т» ( с точкой над ней) и «Р», вписанных в букву «С», стилизованную под измерительную скобу, имеющую одинаковые высоту и ширину. Изображение знака обращения на рынке должно быть одноцветным и контрастировать с цветом поверхности, на которую оно нанесено.
Билет 10
1.Процесс сегментации рынка товаров производственного назначения
Процесс сегментирования рынка состоит из двух этапов:
- Выявление сегментов;
- Выбор и ранжирование сегментов.
Выявление сегментов базируется на тех взаимоотношениях, которые строятся между участниками рынка и факторов, которые влияют на деятельность этой группы
Эти взаимоотношения базируются на системе производственной интеграции.
Существуют предприятия, вид деятельности которых является основным для всей цепочки рассматриваемого производственного процесса* — это предприятия родового вида деятельности или потенциальные клиенты (Iгруппа). У этих предприятий есть предприятия - поставщики, предприятия - обслуживающие и предприятия - потребители готовой продукцииэтой группы— предприятия сопутствующих видов деятельности или сателлиты.(IIгруппа). Существуют предприятия, которые находятся внутри отрасли но не занимающиеся родовым видом деятельности — предприятия со смежным видом деятельности или латентные потребители (IIIгруппа ). Участниками рынка являются предприятия не относящиеся с вышеперечисленным, но которые в силу тех или иных причин могут обратить внимание на данную производственную цепочку и стать ее участником — предприятия “Варяги” (IVгруппа ).В эту цепочку включаются производители товаров – заменителей готовой продукции предприятий родового вида деятельности — предприятия – соперники (Vгруппа ).
2.
Неценовые факторы спроса
(неценовые детерминанты спроса) – факторы, влияющие на величину спроса, и не связанные с ценой товара. При изменении неценовых факторов изменяется величина спроса при заданных величинах цены; таким образом, изменяется кривая спроса. В этом случае обычно говорят о смещении кривой спроса. При росте спроса кривая смещается вправо, при уменьшении – влево.
К неценовым факторам относят:
· Доходы потребителей . При увеличении доходов потребителей спрос обычно увеличивается. Однако следует учитывать, что при этом изменяется структура потребления, и поэтому некоторые товары не подчиняются общей закономерности. Так, спрос на самые дешевые, низкокачественные товары (например, на одежду «секонд-хенд», обувь из дешевого кожзаменителя, пищевые продукты низкого сорта), наоборот снижается, поскольку люди, которые были вынуждены покупать эти товары, теперь способны приобрести более качественные продукты. Товары, спрос на которые растет с увеличением денежного дохода, называются нормальными товарами, или товарами высшей категории. Товары, спрос на которые изменяется в противоположном направлении, называются товарами низшей категории. В данной модели рассматривается товар из категории нормальных товаров.
· Вкусы, мода . Изменение вкусов потребителя под влиянием моды, рекламы, других факторов вызывает соответствующее изменение спроса на товар. При росте потребительских предпочтений спрос на товар растет, при снижении – снижается. Этот фактор оказывает наибольшее влияние на товары, подверженные моде (одежду, обувь), и наименьшее – на товары длительного пользования.
· Количество потребителей . Увеличение числа покупателей на рынке обуславливает повышение спроса, уменьшение числа покупателей приводит к сокращению спроса. Количество потребителей может изменяться в связи с различными факторами, например, изменением численности населения, связанным с естественным приростом или миграциями. В условиях международной торговли количество потребителей вырастает при продвижении товара на рынки других стран; наоборот, снижение экспортных и импортных квот, введение экономического эмбарго снижает количество потребителей товара на мировом рынке. Хотя количество покупателей существенно влияет на спрос, это справедливо только для товаров, одинаково востребованных повсюду. Например, выход отечественных автомобилей на рынок США, хотя и значительно увеличит количество потенциальных покупателей, не приведет к существенному росту спроса, поскольку для американских покупателей эти автомобили покажутся недостаточно качественными. Такая же ситуация складывается с любыми товарами, востребованными лишь в рамках какой-либо из культур – национальной одеждой, продуктами национальной кухни – или товарами, специфичными для использования в какой-то местности (пустыне, тайге, приморских районах).
· Цены заменителей . Почти все товары на рынке имеют товары–заменители, выполняющие те же или почти те же функции. Примером могут быть телевизоры различных производителей, разные марки автомобилей. Товары–заменители делят между собой рынок данного вида товаров. В том случае, когда цена на один из взаимозаменяющих товаров вырастает, часть его покупателей из соображений экономии перейдет на другой, более дешевый товар; если же цена снизится, то это, наоборот, привлечет покупателей из числа пользующихся товарами–заменителями. Таким образом, рост цены на товары–заменители вызывает возрастание спроса на заменяемый товар, снижение цены на заменители приводит к сокращению спроса на этот товар. Указанный фактор наиболее важен для тех товаров, которые наиболее похожи на свои заменители, например, минеральную воду. Если же товар обладает какими-то уникальными свойствами, при которых найти полноценный заменитель трудно, значение этого фактора снижается.
К другим неценовым факторам спроса относят:
· Ожидания потребителя. Спрос может изменяться в зависимости от потребительских ожиданий относительно будущих цен на товары, наличие товаров и будущего дохода. Так, в экстремальных экономических ситуациях значительно растет спрос на товары первой необходимости (соль, спички, мыло), поскольку покупатели боятся исчезновения их с прилавков. То же самое происходит при ожидании повышения цен на те или иные товары. Наоборот, в ожидании понижения цен (например, на овощи нового урожая) спрос снижается. Однако ожидания потребителя сложно учесть, и потому этот фактор не используется в модели.
· Цены дополняющих товаров . Некоторые товары имеют дополняющие товары. Например, для фотоаппаратов это будут фотопленки или карты памяти. Цены на взаимодополняющие товары влияют на спрос обратным образом. Так, если цены на карты памяти существенно возрастут, то сократится спрос на цифровые фотоаппараты, и наоборот. Не все товары имеют дополняющие товары, поэтому данный фактор не используется в модели.
Обратите внимание на то, что уровень влияния различных неценовых факторов на спрос сильно зависит от типа товара.
3.Виды декларирования соответствия
Декларирование соответствия является приоритетной формой обязательного подтверждения соответствия.
Декларирование соответствия осуществляется по одной из двух схем:
· принятие декларации о соответствии на основании собственных доказательств;
· принятие декларации о соответствии на основании собственных доказательств, а также доказательств, полученных с участием органа по сертификации и (или) аккредитованной испытательной лаборатории.
Декларация о соответствии является документом, в котором изготовитель удостоверяет, что поставляемая им продукция соответствует требованиям технических регламентов или соответствующих нормативных документов в случае отсутствия на момент подтверждения соответствия разработанных технических регламентов на данную продукцию. Декларацию о соответствии вправе принимать юридические и физические лица, являющиеся продавцами или изготовителями, либо выполняющие функции иностранного изготовителя.
В каких же случаях заявитель вправе подтверждать соответствие своей продукции путем принятия декларации о соответствии?
Прежде всего, данная продукция должна быть включена в Перечень продукции, соответствие которой может быть подтверждено декларацией о соответствии
При декларировании соответствия на основании собственных доказательств заявитель самостоятельно формирует доказательственные материалы в целях подтверждения соответствия продукции требованиям технических регламентов или государственных стандартов.
При декларировании соответствия по второй схеме (на основании собственных доказательств и доказательств, полученных с участием третьей стороны) заявитель дополнительно включает в доказательные материалы протоколы исследований и измерений, проведенных в аккредитованной испытательной лаборатории, а также представляет сертификат на систему качества, в отношении которой предусматривается контроль (надзор) органа по сертификации, выдавшего данный сертификат.
Если декларацию о соответствии принимает продавец, то он может привести в декларации о соответствии и другие документы, полученные от изготовителя продукции: протоколы испытаний, сертификат на систему качества изготовителя, декларации о соответствии или сертификаты, полученные от изготовителя, сведения о маркировании европейским знаком «СЕ» и другими зарубежными знаками соответствия.
4. Знак соответствия
Знак соответствия - знак РСТ для обязательной и добровольной сертификации
Знак соответствия или как его обычно называют , знак РСТ наносится на упаковку, товарный ярлык или этикетку к продукции. Таким образом знак соответствия информирует покупателя продукции о том, что:
- продукция сертифицирована и соответствует установленным стандартам качества и на нее оформлен сертификат соответствия.
Как известно, сертификация продукции делится на два основных вида: обязательная сертификация и добровольная сертификация, для этих систем сертификации предназначены разные знаки соответствия.
Если продукция не подлежит обязательной сертификации, но заявитель или производитель все же оформил сертификат соответствия, то продукция маркируется знаком соответствия добровольной сертификации.
В данном знаке соответствия отражена информация "добровольная сертификация"
Если продукция подлежит обязательной сертификации и соответственно на нее был оформлен обязательный сертификат соответствия, то на продукция маркируется знаком соответствия (РСТ) обязательной сертификации.
В данном знаке соответствия отражена информация об органе по сертификации, который выдал сертификат соответствия. Буквенное и цифровое обозначение соответствует номеру органа по сертификации.
Правила нанесения знака соответствия регламентируются документом ГОСТ Р 50460-92 - Знак соответствия при обязательной сертификации. Форма, размеры и технические требования.
Билет 11
1.Позиционирование товара (услуг) на рынке
Позиционирование товара – оптимальное размещение товара в рыночном пространстве (товар должен занять в сознании покупателя достойное место, отличающееся от товаров конкурентов). Основной стратегией позиционирования в целевом сегменте служит позиционирование, основанное на отличительном кач-ве товара.
Стратегию позиционирования считают одной из главных в планировании и организации маркетинга. Положение продукции на рынке определяется не только ценой и качеством, но и производительностью, дизайном, уровнем сервисного обслуживания, имиджем предприятия и самой продукции, а также соотношением этих параметров. Позиция одного и того же вида товара может иметь неодинаковое восприятие потребителями разных сегментов рынка.
Позиционирование продукции на рынке — расположение продукции в определенном положении в сознании потребителя.
Задача позиционирования состоит в комплексе усилий, направленных на приспособление продукции к требованиям целевых сегментов рынка, выделение ее среди основных конкурентов за счет уникальных характеристик или условий приобретения, поставки, сервисного обслуживания. Ошибки в позиционировании продукта могут привести к снижению роли всех остальных маркетинговых усилий.
Особое внимание в конкурентной борьбе уделяется методам эффективного распределения финансовых средств на маркетинговые мероприятия. Стратегия позиционирования как раз и предназначена для обеспечения выигрыша за счет повышения эффективности маркетинговых усилий.
2. Закон убывающей предельной полезности.
Первый закон Госсена, более известный как закон убывающей предельной полезности, гласит, что каждая последующая (предельная) порция блага все менее полезна с точки зрения индивидуума, а в результате и совокупная полезность всего блага для него снижается. Таким образом, если блага много, то оно ценится очень дешево, а именно по полезности последней (предельной) доступной потребителю порции этого блага.
Отталкиваясь от своего первого закона, Госсен сформулировал свой второй закон, суть которого состоит в том, что "общее количество потребляемых благ устанавливается таким, при котором равны предельные полезности каждого блага"'
Иначе говоря, потребляя одновременно много благ, каждый индивидуум покупает для себя такой набор их, в котором предельные полезности каждого блага равны, или приносят ему одинаковое удовлетворение.
3.Обязательная сертификация.
Обязательная сертификация - это система сертификации продукции, сертификация которых в соответствии с законодательством является обязательным требованием. Следовательно, обязательная сертификация применяется для подтверждения качества и безопасности как импортных так и отечественных товаров, а итоговым документом является обязательный сертификат соответствия. Обязательная форма подтверждения качества применяется для продукции, которая, так или иначе может повлиять на безопасность людей, их имущество и окружающую среду. На такие группы товаров оформляется обязательный сертификат. Сертификация включает в себя различные схемы оформления сертификатов. Самые распространенные - это оформление сертификата соответствия на контракт, на серийный выпуск и на определенную партию продукции. Законодательными актами установлена номенклатура продукции, в отношении которой предусмотрена обязательная сертификация товаров. Ежегодно некоторые виды товаров подлежащие обязательной сертификации исключаются из данного перечня. В большинстве случаев они переносятся в Номенклатуру продукции, в отношении которой предусмотрено обязательное декларирование соответствия. Наличие сертификата соответствия проверяется контролирующими и таможенными органами, в том случае, если продукция или услуга подлежит обязательной сертификации.
Когда необходима обязательная сертификация продукции
Для таможенного оформления продукции, подлежащей обязательной сертификации одновременно с таможенной декларацией заявителем представляются обязательный сертификат соответствия и санитарно-эпидемиологическое заключение. В том случае, если тот или иной товар не подлежит обязательной сертификации в качестве регламентирующего документа может быть оформлена декларация о соответствии.Чем же отличается обязательный сертификат от добровольного ? Ответ прост, практически ничем, так как и в том и в другом случае документально подтверждается качество товаров или услуг, а это самое главное. Различаются документы бланками, на которых выдаются данные сертификаты. В том случае, если та или иная продукция подлежит обязательной сертификации, то на такой продукт выдается сертификат соответствия на бланке желтого цвета. Для добровольной сертификации применяется бланк голубого цвета.Теперь немного конкретики по поводу того, в отношении каких именно товарных групп предусмотрена обязательная сертификация товаров. Как уже говорилось выше, сертификации подлежат в основном те группы товаров, которые так или иначе могут повлиять на безопасность людей. Так например, все оборудование работающее от электросети подлежит сертификации в системе сертификации ГОСТ Р. Так же подлежит сертификации продукция для детей и в этом несомненно есть логика. А вот большая часть строительной продукции не подлежит сертификации, хотя конечно же качество строительных материалов является не маловажным аспектом. Но на практике, ни один продукт строительного назначения не принимается строительными компаниями без сертификата соответствия. Это обусловлено высокой долей ответственности за применение тех или иных стройматериалов в строительстве зданий и сооружений. Следовательно, если компания хочет поставлять продукцию, то должна будет провести сертификацию выпускаемой продукции.
4.Контрольные листки, графики.
Графики контрольных листков применяются в производстве и на различных стадиях жизненного цикла продукции как при контроле по качественным, так и при контроле по количественным признакам. Контрольный листок - это:
- средство регистрации данных, как правило, в виде бумажного бланка с заранее внесенными в него контролируемыми параметрами, соответственно которым можно заносить необходимые данные с помощью пометок или каких-либо символов;
- инструмент, позволяющий облегчить задачу контроля протекающих процессов и предоставить различного рода факты для анализа, корректировки и улучшения качества процессов.
Применяются следующие виды контрольных листков:
контрольный листок для регистрации измеряемого параметра в ходе производственного процесса;
контрольный листок для регистрации видов несоответствий;
контрольный листок для оценки воспроизводимости и работоспособности технологического процесса и т. п.
Форма контрольного листка разрабатывается в соответствии с конкретной ситуацией. В любом случае в нем указываются :
объект изучения (например, наименование и/или чертеж изделия или детали);
таблица регистрации данных о контролируемом параметре (например, линейный размер изделия или детали);
место контроля (цех, участок);
должность и фамилия работника, регистрирующего данные; дата сбора данных;
продолжительность наблюдения и наименование контрольного прибора (если он применяется в ходе наблюдения).
В регистрационной таблице в соответствующей графе проставляются точки, черточки, крестики и другие условные знаки, соответствующие количеству наблюдаемых событий. Например, при регистрации количества событий могут быть использованы следующие символы:
Диапазон применения контрольных листков очень широк, а их виды весьма разнообразны. При подготовке контрольных листков нужно следить за тем, чтобы использовались наиболее простые способы их заполнения (цифры, условные значки), число контролируемых параметров было по возможности наименьшим, а форма листка была проста для заполнения и анализа. Бланки контрольных листков должны быть напечатаны на бумаге, исключающей рас- плывание чернил, и иметь удобный для хранения и использования формат.
Примечание. В современных условиях, когда для контроля и (или) управления производственными процессами используются компьютеры, контрольные листки предпочтительно заполнять непосредственно в памяти компьютера, отказавшись от использования бумажных бланков.
В качестве примеров контрольных листков можно назвать:
график температуры больного;
контрольный листок для сбора данных об отказавших деталях телевизоров;
контрольный листок для сбора информации о дефектах при производстве тентовых материалов и т. д.
Билет 12.
1. Система маркетинговых исследований
Под маркетинговыми исследованиями понимается систематический сбор, отображение и анализ данных по разным аспектам маркетинговой деятельности. Маркетинговые исследования - это функция, которая через информацию связывает маркетологов с рынками, потребителями, конкурентами, со всеми элементами внешней среды маркетинга. Маркетинговые исследования связаны с принятием решений по всем аспектам маркетинговой деятельности. Они снижают уровень неопределенности и касаются всех элементов комплекса маркетинга и внешней среды по тем ее компонентам, которые оказывают влияние на маркетинг определенного продукта на конкретном рынке.
Наиболее типичные из решаемых задач:
1) изучение хар-к рынка, замеры его потенциальных возможностей, анализ распределения доли рынка между фирмами
2) анализ сбыта
3) изучение тенденции деловой активности, изучение товаров конкурентов
4) краткосрочное позиционирование
5) изучение реакции на новый товар и его потенциала, долгосрочное прогнозирование, изучение политики цен.
Методы проведения маркетинговых исследований:
- методы анализов документов
- методы спроса потребителей
2.Неценовые факторы предложения
(неценовые детерминанты предложения) – факторы, влияющие на величину предложения, и не связанные с ценой товара. При изменении неценовых факторов изменяется величина предложения при заданных величинах цены; таким образом, изменяется кривая предложения. В этом случае обычно говорят о смещении кривой предложения. При росте предложения кривая смещается вправо, при уменьшении – влево.
К неценовым факторам относят:
· Уровень технологии. Развитие технологий приводит к повышению уровня ресурсоотдачи – на единицу ресурсов можно получить больше продукции. Например, внедрение поточной линии приводит к тому, что выпуск продукции в расчете на одного рабочего возрастает. Таким образом, с ростом уровня технологии растет производство товаров, а значит, и их предложение. Этот фактор, однако, мало влияет на те товары, при использовании которых необходим ручной труд и использование традиционных технологий.
· Цены ресурсов. Цена на ресурсы существенно влияет на величину предложения. Рост цен на ресурсы вызывает рост себестоимости продукции, и, как следствие, увеличение цены, по которой производители готовы продавать свои товары. Таким образом, цена на ресурсы находится в обратной зависимости к величине предложения товара.
· Величина налогов. Налоги влияют на прибыль производителя; для того, чтобы компенсировать рост налогов, производители увеличивают цену продукции. Этот фактор наиболее значим для тех товаров, которые облагаются высоким налогом. Например, государство обычно облагает большими налогами производство алкогольных напитков и табачных изделий, с тем, чтобы ограничить потребление этих товаров, или же изделия из меха диких животных – с тем, чтобы предотвратить их истребление.
· Количество производителей. При увеличении числа производителей какого-либо продукта предложение будет расти. Однако и в этом случае следует учитывать ограниченность ресурсов. С ростом числа производителей происходит исчерпание дешевых ресурсов. Вновь появляющиеся на рынке фирмы вынуждены будут использовать более дорогие ресурсы, например, при исчерпании ресурсов местного сырья придется завозить его издалека, что увеличит затраты. Такие товары уже невыгодно продавать по прежней цене, а это значит, что предложение по данной цене не увеличится.
К другим неценовым факторам предложения относят:
· Ожидания производителя. Предложение может изменяться в зависимости от потребительских ожиданий относительно будущих цен на товары, сырье, изменения налоговых ставок и др. Например, фермеры могут придерживать продажу пшеницы, ожидая, что цена на нее увеличится. Однако возможен и обратный эффект – в ожидании повышения цен производители могут наращивать производство. Этот фактор достаточно сложно учесть, и потому он не используется в модели.
· Цены на другие товары. Производители находятся в постоянном поиске наиболее выгодного вложения капитала. При повышении цены на какой–либо товар он становится привлекательным для капиталовложений, и происходит приток капитала в сферу его производства. Таким образом, одним из неценовых факторов предложения товара являются цены на другие товары: если они растут, будет происходить отток капитала в сферу их производства, и, соответственно, уменьшение предложения данного товара, и наоборот. Этот фактор наиболее значим для товаров со схожими условиями производства, поскольку в этом случае переход на другой вид продукции не требует больших затрат. Данный фактор не рассматривается в модели.
Обратите внимание на то, что уровень влияния различных неценовых факторов на предложение сильно зависит от типа товара.
3. Закон о техническом регулировании
Настоящий Федеральный закон регулирует отношения, возникающие при разработке, принятии, применении и исполнении обязательных требований к продукции или к связанным с ними процессам проектирования (включая изыскания), производства, строительства, монтажа, наладки, эксплуатации, хранения, перевозки, реализации и утилизации. Техническое регулирование осуществляется в соответствии с принципами:
- применения единых правил установления требований к продукции или к связанным с ними процессам проектирования (включая изыскания), производства, строительства, монтажа, наладки, эксплуатации, хранения, перевозки, реализации и утилизации, выполнению работ или оказанию услуг;
- соответствия технического регулирования уровню развития национальной экономики, развития материально-технической базы, а также уровню научно-технического развития;
- независимости органов по аккредитации, органов по сертификации от изготовителей, продавцов, исполнителей и приобретателей;
- единой системы и правил аккредитации;
- единства правил и методов исследований (испытаний) и измерений при проведении процедур обязательной оценки соответствия;
-единства применения требований технических регламентов независимо от видов или особенностей сделок;
- недопустимости ограничения конкуренции при осуществлении аккредитации и сертификации;
- недопустимости совмещения полномочий органа государственного контроля (надзора) и органа по сертификации;
- недопустимости совмещения одним органом полномочий на аккредитацию и сертификацию;
- недопустимости внебюджетного финансирования государственного контроля (надзора) за соблюдением требований технических регламентов;
- недопустимости одновременного возложения одних и тех же полномочий на два и более органа государственного контроля (надзора) за соблюдением требований технических регламентов.
4. Диаграмма Парето
Диаграмму Парето часто используют для анализа причин брака. Она применяется, когда требуется наглядно представить относительную важность всех причин появления брака и выявить причины, имеющие наибольшую долю, с тем, чтобы выработать меры по первоочередному устранению этих причин. Сравнивая диаграммы Парето, построенные по данным до и после улучшения процесса, оценивают эффективность принятых мер.
Диаграмма Парето строится в виде столбчатого графика, столбики которого соответствуют отдельным факторам, являющимся причинами возникновения проблемы. Высота столбика соответствует доле фактора в общей величине потерь (дефектов). Затем строится кривая кумулятивной суммы.
Диаграмму Парето следует строить в зависимости от конкретной задачи. Если, например, вся дефектная продукция одного типоразмера, то по вертикали лучше откладывать процент дефектных изделий. Если же в анализ входит несколько типов изделий, то по вертикали следует откладывать ущерб от дефектных изделий в процентном или денежном выражении. В противном случае полсотни дешевых мелких гаек приобретает большее значение, чем одна сложная дорогая деталь.
Билет 13
1. Система маркетинговой информации. Концепция системы маркетинговой информации
В процессе анализа, планирования, реализации и контроля за ходом выполнения МИР требуется информация о потребителях, конкурентах, возможностях предприятия, дилерах и других силах действующих на рынке. Всю маркетинговую информации можно условно подразделить на следующие основные секторы:
· Экономическая информация (Оперативная и справочная экономическая информация и аналитические экономические обзоры)
· Биржевая и финансовая информация (Информация о котировках ценных бумаг, валютных курсах,. учетных ставках, рынке товаров и капиталов, инвестициях и т.д.)
· Профессиональная и научно-техническая информация (Профессиональная информация для специалистов, научно-техническая, справочная информация в фундаментальных и прикладных областях науки)
· Коммерческая информация (Информация по компаниям, фирмам, корпорациям, направлениям их работ и выпускаемой продукции, о финансовом состоянии, деловых связях, сделках, деловые новости в области экономики и бизнеса и т.д)
· Статистическая информация (Показатели, рассчитанные по совокупности компаний, банков и других организаций, по определенным рынкам, географическим и административным территориям и т.д.)
· Массовая и потребительская информация (Информация, рассчитанная на широкий круг пользователей, например, информация служб новостей и агентств прессы, информация о погоде, расписании транспорта и т.д.)
· Заказные маркетинговые исследования (Информация, предоставляемая фирмами, которые выполняют маркетинговые исследования по заказу клиентов.)
Все источники информации делятся на первичные и вторичные. Первичные данные (primary data). Информация, собранная впервые для какой-либо конкретной цели.
Вторичные данные (secondary data). Уже имеющаяся информация, собранная для каких-либо других целей.
2. Равновесие производителя
Равновесие производителя - состояние производства, при котором использование факторов производства позволяет получить максимальный объем продукции, т. е. когда изокванта занимает самую отдаленную от начала координат точку.Изокванта продукта– это кривая, показывающая все сочетания факторов в пределах одного и того же объема производства.Изокванта – результат взаимодействия факторов производства. Чтобы определить равновесие производителя, необходимо совместить карты изоквант с картой изокост. Максимальный объем выпуска будет в точке касания изокванты с изокостой (рис. 21.6).

Рис. 21.6. Равновесие производителя
Из рис. 21.6 видно, что изокванта, расположенная ближе к началу координат, дает меньшее количество производимой продукции (изокванта Q1). Изокванты, расположенные выше и правее изокванты Q2, вызовут изменение большего объема факторов производства, нежели позволяет бюджетное ограничение производителя.
Таким образом, точка касания изокванты и изокосты (на рис. 21.6 точка Е) является оптимальной, поскольку в этом случае производитель получает максимальный результат.
3. Технический регламент
Технический регламент — в Российской Федерации документ (нормативный правовой акт), устанавливающий обязательные для применения и исполнения требования к объектам технического регулирования (продукции, в том числе зданиям, строениям и сооружениям, процессам производства, эксплуатации, хранения, перевозки, реализации и утилизации).
Технические регламенты носят обязательный характер, однако могут устанавливать только минимально необходимые требования в области безопасности, причем приниматься они могут только в определенных целях, а именно:
- защиты жизни или здоровья граждан, имущества физических или юридических лиц, государственного или муниципального имущества;
- охраны окружающей среды, жизни или здоровья животных и растений;
- предупреждения действий, вводящих в заблуждение приобретателей.
4. Диаграмма рассеивания.
Диаграмма рассеивания (разброса, поле корреляции) – инструмент позволяющий выявить вид и степень зависимости (корреляцию) между парами переменных x , y , которые могут представлять:
· характеристику качества и воздействующий на нее фактор;
· две характеристики качества;
· два фактора, воздействующие на одну и ту же характеристику качества.
Сама диаграмма представляет собой множество (совокупность) точек, координаты которых равны значениям параметров x и y .
Методика построения:
5. Сведите полученные значения пар данных x , y в таблицу для удобства дальнейшего использования.
6. Постройте горизонтальную и вертикальную оси.
7. Нанесите точки полученных пар значений x, y на график.
8. Вычислите коэффициент корреляции (он позволяет количественно определить силу линейной связи между x и y ) по формуле:
![]()
где
![]()
![]()
![]()
n – количество пар данных,
– среднее арифметическое значение параметра x,
– среднее арифметическое значение параметра y.
5. Определите вид связи между x и y, проведя анализ формы построенного графика и вычисленного коэффициента корреляции.
Билет 14.
1. Макросреда фирмы.
Внешняя среда(макросреда) фирмы – сила, воздействующая непосредственно на фирму. Эти силы представляют собой те самые не поддающиеся контролю факторы, за которыми фирма должна внимательно следить и на которые должна реагировать6
- демографический фактор, поскольку рынки состоят из людей (Мировой демографический взрыв, Рост численности населения, Снижение рождаемости, Старение населения)
- Экономические факторы (Экономическая среда во многом обуславливается соотношением спроса и предложения, доходами и ценами на товары, сложившейся конъюнктурой. Если она развивается благополучно, то можно легче предвидеть спрос, определить его структуру и тенденции.)
- Политические факторы устанавливают рамки предпринимательской деятельности. Они рождают законодательные акты, определяют роль государственных органов и общественных институтов в экономической жизни общества, создает условия для развития рыночно-конкурентной сферы деятельности и "правила игры" для субъектов рынка.
- Культурная среда представляет собой систему жизненных ценностей, формирующую поведение потребителей, отношение людей друг к другу, обществу, природе. Складывающиеся традиции, обычаи, стереотипы оказывают существенное влияние на потребление в рамках данной территории, но они могут быть совершенно иными в другом месте.
- Природные факторы (Создается емкий рынок по борьбе с загрязнением, многие изделия проходят вторичную переработку, начинаются поиски альтернативных способов производства и упаковки товаров без нанесения вреда окружающей среде.)
- Научно-технические факторы (Любая новая техника появляется на месте старой, чем ей наносит неповторимый ущерб).
2. Закон убывания производительности фактора производства.
Важной закономерностью, которая управляет развитием производства короткого периода, является закон убывания предельной производительности фактора.
Закон убывающей предельной производительности говорит о следующем: если последовательно увеличивать затраты переменного фактора при неизменных других факторах, то наступит момент, когда дальнейшее присоединение единиц переменного фактора к фиксированным дает уменьшающийся предельный продукт в расчете на каждую последующую единицу переменного ресурса.
Следовательно, согласно этому закону увеличение производства, достигаемое при равномерном приросте переменного фактора, будет снижаться по мере роста соотношения между величинами переменного и постоянных факторов. Отсюда, увеличение выпуска продукции ограничено, если изменяется только один фактор.
Закон действует при определенных условиях.
Во-первых, в том случае, когда хотя бы один фактор производства остается неизменным.
Во-вторых, если все единицы переменного фактора однородны. Например, все работники одной квалификации, одних способностей.
В-третьих, закон действует только при неизменном состоянии техники, технологии. Если же вследствие технического прогресса они совершенствуются, то граница действия закона как бы отодвигается.
3. Цели сертификации
Деятельность по сертификации в Российской Федерации основана на законе Российской Федерации «О техническом регулировании», других нормативных актах Российской Федерации и направлена на достижение нижеперечисленных целей:
· Создание благоприятных условий для деятельности организаций на внутреннем товарном рынке Российской Федерации.
· Предоставление дополнительных возможностей для участия в международном сотрудничестве и торговле Российских производителей и продавцов, вследствие систематического контроля безопасности продукции, защиты потребителей от недобросовестности производителей (продавцов), и соответственно повышения конкурентоспособности и качества продукции.
· Оказание помощи потребителям в компетентном выборе продукции.
· Подтверждение показателей качества и безопасности продукции, заявленных изготовителями.
В работах по сертификации могут принимать участие любые организации вне зависимости от их организационно-правовых форм, действующие в соответствии с правилами системы сертификации и независимые от изготовителя (продавца), потребителя (покупателя) сертифицируемой продукции.
С целью признания сертификатов соответствия за рубежом, нормативные документы по сертификации построены в соответствии с действующими международными нормами и правилами, изложенными в следующих документах:
Международной организации по стандартизации (ИСО).
Международной электротехнической комиссии (МЭК).
Международных стандартах ИСО серий 9000 и 10000, 14000.
Европейских стандартах серий 45000 и 29000.
Других документах международных и региональных организаций, проводящих работы по сертификации.
4. Принципы построения диаграммы Исикавы.
Диаграмма Исикавы (причинно-следственная диаграмма, «рыбий скелет») – инструмент качества, служащий для наглядного представления причинно-следственных связей между объектом анализа и влияющими на него факторами.
Также используется для первоначального ранжирования (определения значимости, силы влияния) факторов, воздействующих на исследуемый объект и выбора приоритетов для устранения проблемы или улучшения показателя.
Методика построения:
1.Выберите показатель качества для улучшения (анализа). Запишите его в середине правого края чистого листа бумаги.
2.Определите главные факторы (факторы первого порядка), влияющие на показатель качества.
3. Определите и запишите факторы второго порядка рядом с «большими костями» факторов первого порядка, на которые они влияют. Соедините стрелками («средние кости») названия факторов второго порядка с «большими костями».
4.Определите и запишите факторы третьего порядка рядом со «средними костями» факторов второго порядка, на которые они оказывают влияние.
5. Удалите факторы, на которые невозможно повлиять или скомпенсировать их воздействие.
6. Оцените степень влияния (значимость) каждого, наиболее мелкого фактора, на который можно повлиять.
7. Выпишите и используйте для улучшения показателя качества наиболее значимые факторы.
Билет 15
1. Микросреда фирмы.
Микросреда представлена силами, имеющими непосредственное отношение к самой фирме и ее возможностям по обслуживанию клиентов, т.е. поставщиками, маркетинговыми посредниками, клиентами, конкурентами и контактными аудиториями.
Основная цель любой фирмы - получение прибыли. Основная задача системы управления маркетингом - обеспечить производство товаров, привлекательных с точки зрения целевых рынков.
1) поставщики. Эффективность снабжения сырьем, материалами, комплектующими изделиями, рабочей силой во многом зависит от знания всех возможных поставщиков и их потенциала, умения работать с ними в непосредственном контакте. Маркетинговая стратегия выбора поставщика предполагает анализ альтернативных вариантов сотрудничества на базе выработки основных показателей оценки деятельности поставщика.
2) конкуренты. В каждом потребителе товара имеются конкуренты:
- желания-конкуренты - желания, которые потребитель захочет удовлетворить;
- товарно-родовые конкуренты - другие основные способы удовлетворения какого-либо конкретного желания;
- товарно-видовые конкуренты - прочие разновидности того же товара, способные удовлетворить конкретные желания покупателя;
- марки-конкуренты - это разные марки одного и того же товара, способные удовлетворить желание клиента.
Руководители должны присматриваться ко всем четырем разновидностям конкурентов, но обращать особое внимание необходимо на марки-конкуренты, так как они очень активно отбивают сбыт у предприятия.
3) посредники. Маркетинговые посредники - это фирмы, помогающие компании в продвижении, сбыте и распространении ее товаров среди клиентуры. К ним относятся торговые посредники, фирмы-специалисты по организации товародвижения, агентства по оказанию маркетинговых услуг и кредитно-финансовые учреждения. Структура маркетинговых посредников включает в себя: торговых посредников, транспортные, страховые, кредитно-финансовые учреждения, рекламные, консалтинговые фирмы.
4) клиентура: рынок потребителей, рынок производителей, рынок промежуточных продавцов, рынок гос.учреждений, международный рынок
5) Контактные аудитории. Контактная аудитория - это любая группа, которая проявляет реальный или потенциальный интерес к организации или оказывает влияние на ее способность достигать поставленных целей. Она м/б желательна и нежелательная (СМИ). Контактные группы: финансовые круги, контактная аудитория средств инф-ции, контакутная аудитория гос.учреждения (банки, нотариусы), гражданские группы действий (союзы потребителей), местная контактная аудитория, широкая публика.
2. Общие принципы сегментирования рынка.
Сегментация – деят-ть по выявлению потенциальных групп потребителей товаров предприятия (главное выявить потенциальных потребителей!). Критерии сегментации:
- различия между сегментами д/б явными
- сходство потребителей в сегменте – однородность потенциальных потребителей с точки зрения покупательского отношения к товару
- требования большой величины сегмента
- измеримость хар-к потребителя (составляются профили потребительского поведения на рынке: консервативные потребители (повторные покупки одной фирмы), инициативные и др)
- достижимость потребителей
Схема сегментации:
oустановление принципов сегментирования
oопределение методов сегментирования
oопределение критериев сегм-я: пром-ые и потребительские товары
oвыбор целевого рынка (технол., функц-ый, потребительский)
oвыбор целевого сегмента
oпозиционирование товара
oпрогнозирование сбыта
oразработка плана маркетинговой деят-ти
Методы сегментирования рынка:
- метод группировок по одному или нескольким признакам (AID – метод автоматического детектора взаимодействия)
- сластерные методы.
Критерии сегментации потребительских товаров:
- региональные (расположение, хар-ка и плотность населения, транспортная сеть)
- демографические (пол, возраст, уровень образования, мобильность, семейное положение, дифференциация доходов(большая разница).
- жизненный стиль потребителей - опр-ет как люди живут, расходуют время и деньги (профильные стили жизни, приверженность торговой марки, опыт исп-я товара (прежний опыт).
Критерии сегментации пром-го рынка:
- демографические (область специализации предприятия, ресурсы, существующие контракты (поставщики сырья), размер заказов, хар-ки лиц, принимающих решение, хар-ка регионов)
- факторы стиля жизни (способы функционирования организации, причины совершения покупок).
3. Структура системы сертификации, ее участники.
Доказательство соответствия производится по той или иной системе сертификации. Система сертификации - совокупность участников сертификации, осуществляющих ее по правилам, установленным в этой системе. Любая система сертификации располагает собственными правилами процедуры её проведения.
Систему сертификации в общем виде составляют:
- центральный орган, который управляет системой, проводит надзор за её деятельностью и - может передавать право на проведение сертификации другим органам;
- правила и порядок проведения сертификации;
- нормативные документы, на соответствие которым осуществляется сертификация;
- процедуры (схемы) сертификации;
- порядок инспекционного контроля.
Структура системы сертификации России: 1 уровень - Госстандарт России (ГС), 2 уровень- центральный орган системы (ЦОС) - Управления Госстандарта России по отраслям; 3 уровень- органы по сертификации продукции (ОС); 4 уровень- испытательные лаборатории (ИС); 5 уровень- изготовители (продавцы, исполнители).
В соответствии с Законом РФ «О сертификации продукции и работ (услуг)» (ст. 8) участниками обязательной сертификации являются Госстандарт России, иные государственные органы управления России, уполномоченные проводить работы по обязательной сертификации, органы по сертификации, испытательные лаборатории (центры), изготовители (продавцы, исполнители) продукции, а также центральные органы систем сертификации. Допускается участие в выполнении работ по обязательной сертификации зарегистрированных некоммерческих (бесприбыльных) объединений (союзов) и организаций любых форм собственности при условии, что они аккредитованы соответствующим государственным органом управления.
4. Диаграмма рассеивания.
Диаграмма рассеивания (разброса, поле корреляции) – инструмент позволяющий выявить вид и степень зависимости (корреляцию) между парами переменных x , y , которые могут представлять:
· характеристику качества и воздействующий на нее фактор;
· две характеристики качества;
· два фактора, воздействующие на одну и ту же характеристику качества.
Сама диаграмма представляет собой множество (совокупность) точек, координаты которых равны значениям параметров x и y .
Методика построения:
9. Сведите полученные значения пар данных x , y в таблицу для удобства дальнейшего использования.
10. Постройте горизонтальную и вертикальную оси.
11. Нанесите точки полученных пар значений x, y на график.
12. Вычислите коэффициент корреляции (он позволяет количественно определить силу линейной связи между x и y ) по формуле:
![]()
где
![]()
![]()
![]()
n – количество пар данных,
– среднее арифметическое значение параметра x,
– среднее арифметическое значение параметра y.
5. Определите вид связи между x и y, проведя анализ формы построенного графика и вычисленного коэффициента корреляции.
Билет 16
1. Рынок товаров промышленного назначения
Основными отраслями деятельности, составляющими рынок товаров промышленного назначения, являются сельское хозяйство, промышленность, строительство, транспорт, связь, сфера услуг.
Особенности рынка товаров промышленного назначения: на нем меньше покупателей, немногочисленные покупатели крупнее, покупатели сконцентрированы географически, спрос на товары промышленного назначения определяется спросом на товары широкого потребления, спрос на товары промышленного назначения резко меняется, покупатели товаров промышленного назначения-профессионалы.
Закупками может заниматься либо один- единственный снабженец, либо несколько агентов по закупкам, либо крупный отдел материально-технического снабжения, возглавляемый директором по закупкам. В ряде случаев специалисты по материально-техническому снабжению сами принимают решение относительно технических характеристик товара и выбора поставщиков.
Факторы, влияющие на покупателей товаров промышленного назначения: экономическая обстановка, особенности организации, межличностные отношения, индивидуальные особенности личности.
2. Факторы ценообразования.
Движущие силы, существенные обстоятельства, основные причины, оказывающие определяющее воздействие на формирование цен. Прежде чем разработать стратегию формирования цены, предприятие должно проанализировать все факторы, влияющие на принятие решения по ценам.
Дж. Б. Эванс, В. Берман выделили пять основных факторов, оказывающих наибольшее влияние на процесс ценообразования: потребители, правительство, участники каналов сбыта, конкуренты, издержки производства. Все эти факторы можно условно разделить на две основные категории - внутренние и внешние. К основным внутренним факторам, определяющим уровень цен товаропроизводителей, относятся: уровень издержек производства; особенности производственного процесса (мелкосерийное, индивидуальное или массовое); специфика производимой продукции (степень ее обработки, уникальность, качество); доступность необходимых для производства ресурсов (трудовых, материальных, финансовых); организационный уровень, степень использования прогрессивных методов производства; рыночная стратегия и тактика производителя и т. п. факторы. Основные внешние факторы, влияющие на процесс ценообразования на товар конкретного производителя: потребительские предпочтения относительно данного товара (благоприятные или неблагоприятные); уровень доходов покупателей; потребительские ожидания относительно будущего/изменения цен и собственных доходов производителя; цены на сопряженные товары (взаимозаменяемые, взаимодополняющие); цены и неценовые предложения конкурентов и пр. Факторы внешнего порядка практически не подвластны контролю со стороны товаропроизводителей, но обязательно учитываются при формировании цены на выпускаемую продукцию.
3. Функции участников системы сертификации.
Национальный орган по сертификации - Ростехрегулирование формирует государственную политику в области сертификации и устанавливает общие правила сертификации, проводит государственную регистрацию систем сертификации, знаков соответствия, ведет Государственный реестр.
Ростехрегулирование и другие государственные органы управления устанавливают процедуры проведения сертификации в рамках систем сертификации однородной продукции, схемы сертификации, определяют центральный орган системы, разрабатывают правила аккредитации системы, аккредитуют органы и испытательные лаборатории. Указанные органы осуществляют государственный контроль и надзор за соблюдением правил сертификации. Ростехрегулирование выполняет функции и по международным связям в области сертификации.
Центральный орган системы однородной продукции организует работу по формированию системы сертификации однородной продукции и руководство ею, осуществляет координацию работы органов по сертификации и испытательных лабораторий в составе системы. Разрабатывает предложения по номенклатуре продукции, по совершенствованию фонда нормативных документов.
Орган по сертификации проводит сертификацию продукции,выдает сертификаты, регистрирует декларации о соответствии, проводит инспекционный контроль сертифицированной продукции; отменяет (приостанавливает) действия выданных сертификатов, формирует и обновляет фонд нормативной документации, предоставляет заявителю запрашиваемую информацию.
Аккредитованная испытательная лаборатория осуществляет сертификационные испытания конкретных видов продукции, располагая для этого нужным оборудованием и необходимой документацией на методы испытаний, оформляет и выдает протоколы испытаний.
Изготовители (продавцы, исполнители) продукции составляют заявки на проведение сертификации продукции, предоставляют продукцию и необходимую документацию в соответствии с правилами системы однородной продукции. Основное требование к изготовителям - обеспечение соответствия реализуемой продукции требованиям нормативных документов, на соответствие которым она была сертифицирована; маркирование продукции знаком соответствия.
Эксперт является главным участником работ по сертификации продукции. Экспертом может быть только специально подготовленное лицо, аттестованное на право проведения одного или нескольких видов работ в области сертификации. От его компетентности и зависит объективность и достоверность решения о возможности выдачи сертификата соответствия и регистрации декларации.
4. Контрольные карты
Контрольные карты — график изменения параметров выборки, обычно средних и среднеквадратичного отклонения. Различают контрольные карты для количественного и качественного признаков. Цель построения контрольной карты — выявление точек выхода процесса из устойчивого состояния для последующего установления причин отклонения и его устранения. Задачи построения КК:
· определить возможности процесса,
· определить точки флуктуации,
· спрогнозировать качество процесса.
Выходящий параметр процесса всегда имеет изменчивость вследствие воздействия различных шумов (малых кратковременных отклонений входов и внутренних параметров). Факторов слабых (малых) шумов обычно много, и поэтому они частично компенсируют друг друга. Вследствие этого в устойчивом состоянии выходы процесса лежат в определённом коридоре. Вероятность выхода параметра за пределы коридора под воздействием только шумов мала.
Если доказать влияние отдельного фактора шумов на отклонение выхода с требуемой вероятностью невозможно, то этот фактор называют незначимым.
Контрольные карты принято делить на 2 группы: по качественным (годен-негоден) и количественным признакам.
Билет 17
1. Жизненный цикл товара.
Жизненный цикл продукта - это время с момента первоначального появления продукта на рынке до прекращения его реализации на том же рынке.
Жизненный цикл описывается изменением показателей объема продаж и прибыли во времени и состоит из следующих стадий (число их у разных авторов колеблется от четырех до шести) .
1. Разработка продукта.
2. Стадия внедрения и испытания - период медленного роста сбыта по мере выхода товаров на рынок. На данной стадии продукт приносит лишь затраты, а часто и убытки. Очень велики на этой стадии инвестиции в организацию производства и освоение продукта (тем более, если он новый).
3. Стадия развития (роста) - стадия признания товара потребителем. Характеризуется она существенным увеличением объема продаж и возрастания его прибыли.
4. Стадия зрелости - период постепенного замедления темпов прироста продаж в связи с тем, что товар уже воспринят большинством потенциальных покупателей. На этой фазе прибыль достигает своего максимума и начинает снижаться из-за дополнительных расходов по поддержанию конкурентоспособности товаров на рекламу, стимулирование сбыта.
5. Стадия спада - период резкого снижения объема продаж и прибыли.
Обычно самой короткой бывает стадия внедрения, самой длинной - стадия спада. Определить завершение одной фазы и начало другой непросто. Обычно началом каждой новой стадии считается момент, когда увеличение или уменьшение объема продаж становится ярко выраженным.
Продолжительность жизненного цикла в целом и отдельных его фаз зависит как от самого товара, так и от конкретного рынка. По общему признаку сырьевые товары имеют более длительный жизненный цикл, готовые изделия - более короткий, а наиболее совершенные технические товары - очень короткие (2-3 года).
Жизненный цикл одного и того же товара, но на разных рынках неодинаков. На российском нетребовательном рынке он значительно более длительный, чем, например, в США, Японии, Германии с их развитым конкурентным рынком. Различия в стадиях жизненного цикла обусловлены также особенностями его применения и национальными обычаями.
2. Особенности российского маркетинга.
Практика развития маркетинга на российских предприятиях показывает, что на начальном этапе его воспринимают преимущественно как торгово-сбытовую или даже рекламную деятельность. В дальнейшем приходит осознание того, что маркетинг — это не улучшение работы какого-либо «традиционного» подразделения предприятия (сбытового, производственного и т.п.), а выполнение принципиально новой функции по взаимодействию с рынком, когда на требования потребителей ориентируется вся деятельность предприятия. Сдерживающие факторы развития маркетинга:
1. низкая конкурентоспособность российских товаров на международных рынках
2. низкий уровень конкуренции на рынке платежеспособного спроса
3. неразвитая система дистрибуции
4. информационная прозрачность рынка
5. финансовые и организационные ограничения мелкого и среднего бизнеса
6. недостаточно развита структура маркетинговых школ
7. слабость менеджмента
Становление и развитие маркетинга на российских предприятиях определяются рядом факторов:
Во-первых , это относится к условиям формирования отечественного рынка. Россия переживает достаточно сложный период перехода от нынешней стадии (не всегда цивилизованной) к более высокой стадии развития рынка. Период, когда прибыль могла быть получена в основном за счет дефицита, инфляции, разницы валютных курсов, высоких ставок банковских процентов, неуплаты налогов и тому подобного, безвозвратно уходит в прошлое. Поэтому маркетинг воспринимается сейчас, прежде всего как средство выживания, направленное на гибкое использование имеющегося производственного, финансового, трудового потенциала для удовлетворения запросов потребителей в новых условиях.
Во-вторых , особенности маркетинговой деятельности во многом определяются поведением российского потребителя.
Как показывает опыт, оно «нестандартно» по отношению к западным образцам. Появившийся выбор по-новому высветил менталитет российского потребителя. Только сейчас можно говорить о некоторых тенденциях и закономерностях, не укладывающихся в общепринятую маркетинговую типологию и требующих изучения.«Проведенные исследования по выявлению поведения российского потребителя позволили выделить 5 психологических типов. Купцы — хотят видеть в товаре надежность и добротность. Не принимая западный образ жизни, хотят жить лучше, но по-русски. Казаки — активно пользуются престижными западными товарами, демонстрируя свое положение и финансовые возможности. Студенты — придерживаются широких взглядов на жизнь, активно требуя благ для себя, но в работе пассивны. Бизнесмены — стремятся активно работать на любом поприще. Товары, которые они покупают, должны быть надежны и доступны, поскольку у них мало времени на их поиск и ремонт. Русская душа — малообеспеченные, плохо приспособленные к жизни люди. Сама возможность выбора товара часто приводит их в прострацию, и поэтому у товара должна существовать достаточно хорошая репутация».
В-третьих , особенности маркетинга в нашей стране во многом обусловлены также характером развивающихся деловых отношений.
В-четвертых , в российских условиях не все маркетинговые инструменты применяются достаточно широко. Наиболее привлекательным является использование цены.
3. Декларирование соответствия на основании собственных доказательств.
Декларирование соответствия осуществляется по двум схемам :
принятие декларации о соответствии на основании:
а) собственных доказательств;
б) собственных доказательств и доказательств, полученных с участием органа по сертификации и/или аккредитованной ИЛ (центра), далее – третья сторона.
При декларировании соответствия на основании собственных доказательств заявитель самостоятельно формирует собственные доказательные материалы:
а) протоколы испытаний продукции, проведенных заявителем и/ или сторонними компетентными лабораториями;
б) сертификаты соответствия или протоколы испытаний на сырье, материалы, комплектующие изделия;
в) документы, предусмотренные для данной продукции соответствующими федеральными органами и выданные на то уполномоченными органами и организациями (гигиеническое заключение, ветеринарное свидетельство, сертификаты пожарной безопасности и т .д)
г) сертификаты на систему качества;
д) другие документы, прямо или косвенно подтверждающие соответствие продукции установленным требованиям, т.е. это те документы, послужившие для подтверждения соответствия продукции требованиям технических регламентов (ТР). Состав доказательных материалов определяется соответствующим ТР.
4.Гистограмма
Гистограмма позволяет оценить состояние качества. Гистограмма представляет собой столбчатый график, построенный по полученным за определенный период (час, неделю, месяц) данным, которые разбиваются на несколько интервалов. Число данных, попавших в каждый из интервалов (частота), выражается высотой столбика. Гистограмма применяется главным образом для анализа значений измеренных параметров, но может использоваться и для расчетных значений. Благодаря простоте и наглядности гистограммы нашли применение в различных областях:
- для анализа сроков получения заказа (за контрольный норматив принимается срок поставки согласно договору);
- для анализа времени реагирования группы обслуживания от момента получения заявки от клиента, времени обработки рекламации от момента ее получения и т.д.;
- для анализа значений показателей качества, таких как размеры, масса, механические характеристики, химический состав, выход продукции и т.д. при контроле готовой продукции, при приемочном контроле, при контроле процесса в самых разных сферах деятельнотси;
- для анализа чистого времени операций, времени износа режущей поверхности и т.д.;
- для анализа числа бракованных изделий, числа дефектов, числа поломок и т.д.
Полученная в результате анализа гистограммы информация может быть легко использована для построения и исследования причинно-следственной диаграммы, что повысит обоснованность мер, намеченных для улучшения процесса.
Билет 18
1. Спрос, влияющие факторы.
Спрос – то кол-во продукта которое потребители в данный период времени могут по заданной цене купить на р. Факторы влияя-е на спрос: потребительские вкусы, численность покупателей (увеличение числа покуп-ей связано с ростом спроса на прод-ю и наоборот), рост дох-в населения, цены на сопряженные тов-ы, повышенные цены на одну из разнов-ей то-а неизбежно повлечет за собой снижение спроса на него но повысит спрос на др вид то-а, потребительские ожидания относит-о буд-х цен и дох-в, цена на то-р.
2. Методы ценообразования в маркетинге
Методы ценообразования, ориентированные на издержки:
1) Метод полных издержек наиболее широко распространен и состо-ит в превышении цены над издержками, обеспечивающем некоторый уровень рентабельности.
2) Метод рентабельности инвестиций заключается в том, что пред-приятие устанавливает цену такой, чтобы она обеспечила так назы-ваемый уровень возврата инвестиций (УВИ).
3) Метод маржинальных издержек предполагает использование сис-темы учета затрат "директ-костинг". Сущность метода заключается в раздельном учете условно пере-менных и условно постоянных затрат. Формирование цены происхо-дит путем добавления к общей величине переменных затрат суммы, покрывающей условно постоянные расходы и обеспечивающей нор-мальную прибыль (маржинальная прибыль).
Методы ценообразования, ориентированные на потребителей:
1) Ценообразование по ощущаемой ценности. Все большее число пред-приятий формирует цены, базируясь на покупательской оценке про-дукта (а не на издержках производства и обращения).
2) Ценообразование тендерным методом в большей мере ориентиро-вано на покупательское восприятие цены в сравнении с конкурентны-ми ценами.
Методы ценообразования, ориентированные на конкурентов:
1) методом калькуляционного выравнивания применяется в основном при одновременном установлении цен на большое количество товаров. Суть метода состоит в том, что значение продуктов, входящих в производствен-ную программу, неодинаково с точки зрения их влияния на конечный результат - это является следствием конкретных условий конкуренции и спроса.
2) метод ценообразования по существующим ценам, ко-торый основывается на оценке цен конкурентов с меньшим вниманием к своим издержкам и спросу на продукт.
3) Метод целевых затрат заключается в том, что планирование будущей себестоимости продукции начинается с установления целевой величины, в которую следует уложиться, с тем, чтобы продажа продукции по существующим рыночным ценам обеспечила не только покрытие будущих затрат, но и получение прибыли.
| 3. Декларирование соответствия с участием третьей стороны. |
При декларировании соответствия с участием третьего лица + док-ва органов сертификации в доказательную базу вкл-ся: протоколы исследований, испытаний, измерений, проведенных в аккредитованной испытательной лаборатории, снртификат системы качества, в отношении кот-го производится контроль органов по сертификации, выдавшего этот сертификат.
Декларация о соот-ии оформляется на русском языке и содержит: наименование и место нахождения заявителя; наименование и место нахождения изготовителя; информацию об объекте подтв.соотв-я; наименование тех.регламента; указания на схемах декларирования заявителя о без-ти продукции при ее использовании; сведения о проведенных исследованиях. Срок действия декларации устанавливается в тех.регламенте. Оформленная заявителем декларация регистрируется в реестре в ФОИВ в течение 3х дней.
4. Контрольные карты.
Контрольные карты — график изменения параметров выборки, обычно средних и среднеквадратичного отклонения. Различают контрольные карты для количественного и качественного признаков. Цель построения контрольной карты — выявление точек выхода процесса из устойчивого состояния для последующего установления причин отклонения и его устранения. Задачи построения КК:
· определить возможности процесса,
· определить точки флуктуации,
· спрогнозировать качество процесса.
Выходящий параметр процесса всегда имеет изменчивость вследствие воздействия различных шумов (малых кратковременных отклонений входов и внутренних параметров). Факторов слабых (малых) шумов обычно много, и поэтому они частично компенсируют друг друга. Вследствие этого в устойчивом состоянии выходы процесса лежат в определённом коридоре. Вероятность выхода параметра за пределы коридора под воздействием только шумов мала.
Если доказать влияние отдельного фактора шумов на отклонение выхода с требуемой вероятностью невозможно, то этот фактор называют незначимым.
Контрольные карты принято делить на 2 группы: по качественным (годен-негоден) и количественным признакам.
Билет19
1. Предложение, влияющие факторы.
Предложение – то количество продукта, которое производитель желает и может произвести и поставить на р. при данном уровне цен на эту продукцию в течении определенного периода времени. Факторы, влияющие на предложение: цена, цены на ресурсы, технология производства, налоги, ожидание изменения цен, число продавцов на рынке.
К неценовым факторам предложения относят:
· изменение издержек производства в результате технических нововведений, изменения источников ресурсов, изменения связанные с налоговой политикой, а также характеристики, которые влияют на формирование стоимости факторов производства.
· Выход на рынок новых фирм.
· Изменения цен на другие товары приводящих к уходу фирмы из отрасли.
· Природные катастрофы
· Политические действия и войны
· Перспективные экономические ожидания
· Фирмы занятые в отрасли при увеличении цены задействуют резервные или быстровводимые новые мощности, что автоматически приводит к увеличению предложения.
· В случае продолжительного увеличения цены в эту отрасль устремятся другие производители, что еще больше увеличит производство и как факт возможно увеличение предложения.
2. Методы стимулирования сбыта
Выбор методов стимулирования зависит от поставленных целей. Все методы можно объединить в три большие группы: - ценовое стимулирование (продажа по сниженным ценам, льготные купоны, дающие право на скидку); - предложения в натуральной форме (премии, образцы товара); - активное предложение (конкурсы покупателей, игры, лотереи). Приступая к стимулированию сбыта, следует помнить: 1. Стимулирование эффективно только тогда, когда его применение увязывается с жизненным циклом товара и согласуется с четко определенными целями. 2. Более эффективным является относительно непродолжительное стимулирование сбыта. Кратковременность мероприятия побуждает потребителя быстро воспользоваться выгодой. Применительно к канцелярским товарам стимулирование может осуществляться в течение от одного до двух месяцев. Товар, приобретаемый один раз в год, нуждается в краткосрочном стимулировании ( 4-6 недель) в момент, когда покупка наиболее вероятна. 3. Меры по стимулированию и товар должны быть тесно увязаны между собой. Стимулирование необходимо сделать составной частью либо самого товара, либо его ближайшего окружения (магазина или группы товаров одной с ним марки). Стимулирование потребителей воспринимается ими как «бесплатный подарок» или развлечение. Потребитель имеет возможность выбора среди предложенных ему вариантов стимулирования и безразличен к тому, от кого идет стимулирование - от производителя или торговой сети. Об этом свидетельствуют многочисленные опросы, проведенные агентствами по стимулированию продаж. Опросы также показали, что потребитель предпочитает такие виды стимулирования, как: 1) бесплатные образцы, сопровождающие покупку; 2) дополнительное количество товара, предоставляемое бесплатно; 3) продажа по сниженным ценам; 4) с некоторым отрывом следует скидка при повторной покупке. Операции по стимулированию тогда завоевывают потребителя, когда они дают немедленный (или с некоторой отсрочкой) выигрыш или экономию.
3. Обязательная сертификация
Обязательная сертификация - это система сертификации продукции, сертификация которых в соответствии с законодательством является обязательным требованием. Следовательно, обязательная сертификация применяется для подтверждения качества и безопасности как импортных так и отечественных товаров, а итоговым документом является обязательный сертификат соответствия. Обязательная форма подтверждения качества применяется для продукции, которая, так или иначе может повлиять на безопасность людей, их имущество и окружающую среду. На такие группы товаров оформляется обязательный сертификат. Наличие сертификата соответствия проверяется контролирующими и таможенными органами, в том случае, если продукция или услуга подлежит обязательной сертификации.
Когда необходима обязательная сертификация продукции
Для таможенного оформления продукции, подлежащей обязательной сертификации одновременно с таможенной декларацией заявителем представляются обязательный сертификат соответствия и санитарно-эпидемиологическое заключение. В том случае, если тот или иной товар не подлежит обязательной сертификации в качестве регламентирующего документа может быть оформлена декларация о соответствии.Чем же отличается обязательный сертификат от добровольного ? Ответ прост, практически ничем, так как и в том и в другом случае документально подтверждается качество товаров или услуг, а это самое главное. Различаются документы бланками, на которых выдаются данные сертификаты. В том случае, если та или иная продукция подлежит обязательной сертификации, то на такой продукт выдается сертификат соответствия на бланке желтого цвета. Теперь немного конкретики по поводу того, в отношении каких именно товарных групп предусмотрена обязательная сертификация товаров. Как уже говорилось выше, сертификации подлежат в основном те группы товаров, которые так или иначе могут повлиять на безопасность людей. Большая часть строительной продукции не подлежит сертификации, хотя конечно же качество строительных материалов является не маловажным аспектом. Но на практике, ни один продукт строительного назначения не принимается строительными компаниями без сертификата соответствия. Это обусловлено высокой долей ответственности за применение тех или иных стройматериалов в строительстве зданий и сооружений. Следовательно, если компания хочет поставлять продукцию, то должна будет провести сертификацию выпускаемой продукции.
4.Гистограмма
Гистограмма позволяет оценить состояние качества. Гистограмма представляет собой столбчатый график, построенный по полученным за определенный период (час, неделю, месяц) данным, которые разбиваются на несколько интервалов. Число данных, попавших в каждый из интервалов (частота), выражается высотой столбика. Гистограмма применяется главным образом для анализа значений измеренных параметров, но может использоваться и для расчетных значений. Благодаря простоте и наглядности гистограммы нашли применение в различных областях:
- для анализа сроков получения заказа (за контрольный норматив принимается срок поставки согласно договору);
- для анализа времени реагирования группы обслуживания от момента получения заявки от клиента, времени обработки рекламации от момента ее получения и т.д.;
- для анализа значений показателей качества, таких как размеры, масса, механические характеристики, химический состав, выход продукции и т.д. при контроле готовой продукции, при приемочном контроле, при контроле процесса в самых разных сферах деятельнотси;
- для анализа чистого времени операций, времени износа режущей поверхности и т.д.;
- для анализа числа бракованных изделий, числа дефектов, числа поломок и т.д.
Полученная в результате анализа гистограммы информация может быть легко использована для построения и исследования причинно-следственной диаграммы, что повысит обоснованность мер, намеченных для улучшения процесса.
Билет 20
1. Эластичность спроса и предложения
Эластичность спроса по цене показывает, на сколько процентов изменится величина спроса при изменении цены на 1 %. На эластичность спроса по цене влияют следующие факторы: 1) наличие товаров-заменителей; 2) удельный вес стоимости товара в бюджете потребителя; 3) размеры дохода покупателей. При этом цена может не меняться, изменяется платежеспособность; 4) качество товара; 5) степень необходимости товара; 6) размеры запасов товара; 7) потребительские ожидания.
В зависимости от этих показателей различают:
Неэластичный спрос (Ep(D) < 1) — рыночная ситуация, при которой изменение цены на 1 % вызывает незначительное изменение объема (QD).
Эластичный спрос (Ep(D) > 1) — рыночная ситуация, при которой изменение P на 1 % (Dp=1 %) вызывает значительное изменение QD.
Спрос единичной эластичности (Ep(D) = 1) — это рыночная ситуация, при которой изменение цены на 1 % вызывает 1-процентное изменение QD.
Абсолютно неэластичный спрос, означающий абсолютную нечувствительность объема спроса к изменению цены (Ep(D) = 0): изменение P на 1 % и более не влияет на изменение QD. Эластичность спроса по доходу показывает, на сколько процентов изменится величина спроса при изменении дохода на 1 %.
Эластичность предложения — степень изменения в количестве предлагаемых товаров и услуг в ответ на изменения в их цене. Процесс возрастания эластичности предложения в долгосрочном и краткосрочном периодах раскрывается через понятия мгновенного, краткосрочного и долгосрочного равновесия. Коэффициент эластичности предложения — числовой показатель, отражающий степень изменения количества предлагаемых товаров и услуг в ответ на изменения в их цене.
Эластичность предложения зависит от:
· особенности производственного процесса (позволяет производителю расширить производство товара при повышении цены на него или переключиться на выпуск другого товара при снижении цен);
· временной фактор (производитель не в состоянии быстро реагировать на изменения цен на рынке);
· зависит и от (не)способности данного товара к длительному хранению.
Когда мы говорим о формировании кривой предложения, то рассматривали ее в трех периодах - краткосрочном, среднесрочном, долгосрочном. Если мы изучаем предложение в краткосрочной перспективе, то оно будет совершенно неэластично (Esp = 0). Изменение спроса вызывает изменение (повышение или понижение) цен, но в краткосрочном периоде это никак не влияет на величину предложения. Производители просто не успевают отреагировать за короткий временной отрезок. В среднесрочной перспективе предложение будет более эластичным. В долгосрочной перспективе предложение наиболее эластично. Эластичность предложения по цене - это показатель, который позволяет определить степень реакции производителя на ситуацию на рынке.
2. Алгоритм анализа возможностей, открывающихся перед фирмой на рынке.
Проводить успешную стратегическую политику, обеспечивающую стабильное развитие предприятия и сведение к минимуму рисков возникновения кризисных ситуаций, позволяют специальные программы маркетинговой деятельности. Маркетинговая программа представляет собой разработанный на основе комплексных исследований рынка и собственных ресурсных возможностей план научно-технической и производственно-сбытовой деятельности предприятия на планируемый период времени, определяющий оптимальный вариант его развития.
Выполнение маркетинговой программы включает организацию и руководство ходом работ, контроль, учёт и анализ их выполнения, а также корректировку запланированных целей, стратегий и мероприятий программы. Фаза реализации продолжается до начала действия новой маркетинговой программы. Таким образом, соблюдаются основные принципы планирования: целевая направленность, непрерывность и перманентность плана, скользящий метод его составления, наличие оптимистического, пессимистического и усреднённого вариантов.
Структурно содержание плана маркетинга состоит из следующих разделов:
а) основные итоги деятельности за предыдущий период;
б) анализ и прогноз развития экономики и целевого рынка;
в) выдвигаемые цели преимущественно в количественном выражении с выделением главной цели;
г) стратегии поведения предприятия на рыночных сегментах;
д) мероприятия товарной, ценовой, сбытовой и коммуникационной политик с указанием ответственных исполнителей и сроков выполнения.

3. Подтверждение соответствия.
Подтверждение соответствия - документальное удостоверение соответствия продукции или иных объектов, процессов производства, эксплуатации, хранения, перевозки, реализации и утилизации, выполнения работ или оказания услуг требованиям технических регламентов, положениям стандартов или условиям договора.
В соответствии с положениями закона "О техническом регулировании" подтверждение соответствия направлено на достижение следующих целей:
- удостоверения соответствия продукции, процессов производства, эксплуатации, хранения, перевозки, реализации и утилизации, работ, услуг или иных объектов техническим регламентам, стандартам, условиям договоров;
-содействие приобретателей в компетентном выборе продукции, работ, услуг;
- повышение конкурентоспособности продукции, работ, услуг на российском и международном рынках;
- создание условий для обеспечения свободного перемещения товаров по территории РФ, а также для осуществления международного экономического, научно-технического сотрудничества и международной торговли.
- обеспечения коммерческой тайны в отношении сведений, полученных при осуществлении подтверждения соответствия.
Закон "О техническом регулировании" предусматривает два вида подтверждения соответствия продукции: обязательное; добровольное.
4. Диаграмма Парето
Диаграмму Парето часто используют для анализа причин брака. Она применяется, когда требуется наглядно представить относительную важность всех причин появления брака и выявить причины, имеющие наибольшую долю (наибольший процентный вклад), с тем, чтобы выработать меры по первоочередному устранению этих причин. Сравнивая диаграммы Парето, построенные по данным до и после улучшения процесса, оценивают эффективность принятых мер.
Диаграмма Парето строится в виде столбчатого графика, столбики которого соответствуют отдельным факторам, являющимся причинами возникновения проблемы. Высота столбика соответствует доле фактора в общей величине потерь (дефектов). Затем строится кривая кумулятивной суммы.
Диаграмму Парето следует строить в зависимости от конкретной задачи. Если, например, вся дефектная продукция одного типоразмера, то по вертикали лучше откладывать процент дефектных изделий. Если же в анализ входит несколько типов изделий, то по вертикали следует откладывать ущерб от дефектных изделий в процентном или денежном выражении. В противном случае полсотни дешевых мелких гаек приобретает большее значение, чем одна сложная дорогая деталь.
Билет 21
1.Оперативный маркетинг
Оперативный маркетинг -это менеджмент конкретных маркетинговых программ, акций, инициатив.
Оперативный (тактический) план маркетинга обычно является годовым и является более детализированным, чем стратегический. При оперативном планировании распределяют ресурсы, вносят текущие корректировки, планируют конкретные мероприятия из marketing mix. Для принятия правильных оперативных решений необходимо решать задачу оптимального распределения бюджета с помощью процедур многокритериальной оптимизации. Это возможно решить лишь с использованием программных продуктов, например известного ПП Marketing Expert.
Оперативный план маркетинга описывает текущую маркетинговую ситуацию, цели деятельности на рынке, маркетинговые стратегии на текущий год. В его состав включается программа мероприятий, ресурсное, в том числе и финансовое обеспечение (рис. 7.2.).

| Преимущества | Недостатки | Возможности | Угроза |
| наличие уникального обор-я; хорошо оснащенная производственно-техническая база; квалифицированный персонал; высокий имидж предприятия; деловые связи; наличие хороших идей | Низкая загрузка произв-х мощностей; изношенный станочный парк; затраты на пр-во выше запланированных | Завоевание опред-ой доли рынка; возм-ти для диверсификации пр-ва; значительные незадействованные произ-ые возм-ти | Объемы продаж продукции ниже запланированных; рост платежей за недоставл. товары; рост цен на топливно-энергетич.ресурсы |
2. Закон предложения
Закон предложения выражает прямую зависимость между ценой и величиной предложения блага в течение определенного периода.
Закон предложения гласит: с повышением цен соответственно возрастает и величина предложения; со снижением цен сокращается также и предложение. На величину предложения оказывают влияние как ценовые, так и неценовые факторы.
Зависимость между ценами и количеством благ, которое производители готовы выпустить и продать, называется графиком, или кривой предложения. Чем выше цена, тем при прочих равных условиях больше предложения благ, ибо производитель стремится увеличить свой доход. Однако при очень высокой цене достаточно большой доход можно получить и без увеличения производства. В этом случае предложение может сократиться.
Закон предложения имеет две формы выражения: а) шкала предложения; б) кривая предложения.
Шкала предложения - это табличное выражение связи между рыночной ценой блага и тем количеством, которое по этой цене будут предлагать продавцы.
Кривая предложения - это графическое выражение связи между рыночной ценой блага и тем количеством, которое по этой цене будут предлагать продавцы.
3. Порядок проведения подтверждения соответствия.
1. рассматривает заявку с комплектом документов, представленные заявителем, и принимает (не позднее 15 дней с момента поступления документов) решение по заявке;
2. проводит отбор, идентификацию образцов продукции, направляет образцы на испытания в испытательную лабораторию;
3. проводит оценку производства (если это предусмотрено выбранной заявителем и согласованной с органом по сертификации схемой сертификации);
4. проводит анализ полученных результатов и принимает решение о выдаче (отказе в выдаче) сертификата соответствия;
5. в случае, предусмотренном схемой сертификации, проводит инспекционный контроль (за сертифицированной продукцией); при этом при необходимости согласовывает с держателем сертификата корректирующие мероприятия;
6. представляет информацию о результатах сертификации в Ростехрегулирование РФ.
4. Построение диаграммы "причина-следствие".
Диаграмма причина-следствие - предсталяет собой графическую методику определения и организации причин события, проблемы или результата. Диаграмма графически иллюстрирует иерархическое отношение между причинами согласно их уровню важности, детализации или результату. Порядок построения диаграммы «п-с» можно представить в виде следующего алгоритма:
- определение и формулировка проблемы, которая подлежит изучению и анализу;
- определение главных причин, влияющих на проблему;
- определение дополнительных причин, влияющих на проблему;
- оценка и анализ главных и дополнительных причин, влияющих на проблему при помощи - сбора дополнительных данных для более полного исследования;
- анализ технологического процесса.
При построении диаграммы Исикавы откладывается центральная ось, которая носит название показателя качества. Затем строятся большие оси, которые называют как группы факторов, влияющих на качество показателя. Далее строят оси, на которых раскрываются факторы по каждой группе и их причины. Количество уровней рассмотрения причин дефекта зависит от сложности первоначального показателя
Билет 22
1.Статический маркетинг
Стратеги́ческий маркетинг — активный маркетинговый процесс с долгосрочным горизонтом плана, направленный на превышение среднерыночных показателей путём систематического проведения политики создания товаров и услуг, обеспечивающих потребителей товарами более высокой потребительской ценности, чем у конкурентов. Задачей стратегического маркетинга является уточнение миссии фирмы разработка целей формирование стратегии развития и обеспечение сбалансированной структуры товарного портфеля фирмы. В связи с глобализацией конкуренции требуется разработка маркетинговых стратегий. Маркетинговая стратегия опр-ся:
1) положением компании на рынке:
- лидер рынка (лидер стремится к расширению рынка в целом, лишить возм-ти конкурентов, т.е. выступить против них)
- претендент, следующий за лидером
- последователь, т.е. предприятие не из самых сильных (тихо выжидает)
- компания, оперирующая в нише (конкуренты не проявили себя никак)
2) динамика отношений с рынком (диверсификация
2. Закон спроса
Спрос — отражает то количество товара, которое покупатели готовы купить по каждой из предложенных цен, в данном месте, в данное время.
Закон спроса — при прочих равных условиях, повышение цены вызывает понижение величины спроса; понижение цены — повышение величины спроса, то есть отражает обратную зависимость между ценой и количеством товара.
Неценовые факторы, влияющие на спрос:
1. Уровень доходов в обществе.
2. Размеры рынка.
3. Мода, сезонность.
4. Наличие товаров-субститутов (заменителей)
5. Инфляционные ожидания
3.Схемы подтверждения соответствия
Подтверждение соответствия продукции требованиям ТР в рамках установленной формы обязательного подтверждения соответствия осуществляется в соответствии со схемами обязательного подтверждения соответствия.
Схемы могут включать одну или несколько операций, результаты которых необходимы для подтверждения соответствия продукции установленным нормам, а именно:
- испытания (типовых образцов, партий и единиц продукции);
- сертификацию системы качества (на стадиях проектирования и производства, только производства или при окончательном контроле и испытаниях);
- инспекционный контроль.
Форма подтверждения соответствия определяет порядок документального удостоверения продукции или иных объектов технического регулирования требованиям технических регламентов, положениям стандартов или условиям договоров.
Подтверждение соответствия может носить обязательный или добровольный характер. Обязательное подтверждение соответствия осуществляется в формах:
— принятия декларации о соответствии (декларирование соответствия);
— обязательной сертификации.
Приоритетной формой обязательного подтверждения соответствия является декларирование соответствия, осуществляемое по требованиям технических регламентов. Обязательная сертификация в технических регламентах должна закладываться только в обоснованных случаях. Обязательное подтверждение соответствия производится только в случаях, установленных соответствующим техническим регламентом, и исключительно на соответствие его требованиям.
Добровольное подтверждение соответствия осуществляется в форме добровольной сертификации. Добровольная сертификация проводится по инициативе заявителя по договору между заявителем и органом по сертификации, который проводит добровольную сертификацию. Она осуществляется для установления соответствия ОТР национальным стандартам, стандартам организаций, системам добровольной сертификации или условиям договоров.
Схемы сертификации и декларирования соответствия даны в табл. 2,3.
Таблица 3
Схемы декларации
| Обозначение схемы | Содержание схемы и ее исполнители | Обозначение европейского модуля, близкого к схеме |
| 1д | Заявитель Приводит собственные доказательства соответствия в техническом файле. Принимает декларацию о соответствии |
A |
| 2д | Аккредитованная испытательная лаборатория Проводит испытания типового образца продукции Заявитель Принимает декларацию о соответствии |
C |
| 3д | Орган по сертификации Сертифицирует систему качества на стадии производства Аккредитованная испытательная лаборатория Проводит испытания типового образца продукции Заявитель Принимает декларацию о соответствии Орган по сертификации Осуществляет инспекционный контроль за системой качества |
D |
| 4д | Орган по сертификации Сертифицирует систему качества на этапах контроля и испытаний Аккредитованная испытательная лаборатория Проводит испытания типового образца продукции Заявитель Принимает декларацию о соответствии Орган по сертификации Осуществляет инспекционный контроль за системой качества |
E |
| 5д | Аккредитованная испытательная лаборатория Проводит выборочные испытания партии выпускаемой продукции Заявитель Принимает декларацию о соответствии |
F |
| 6д | Аккредитованная испытательная лаборатория Проводит испытания каждой единицы продукции Заявитель Принимает декларацию о соответствии |
G |
| 7д | Орган по сертификации Сертифицирует систему качества на стадиях проектирования и производства Заявитель Проводит испытания образца продукции. Принимает декларацию о соответствии Орган по сертификации Осуществляет инспекционный контроль за системой качества |
H |
Таблица 4 Схемы сертификации
| Обозначение схемы | Содержание схемы и ее исполнители | Обозначение прежней схемы сертификации |
| 1c | Аккредитованная испытательная лаборатория Проводит испытания типового образца продукции Аккредитованный орган по сертификации Выдает заявителю сертификат соответствия |
1 |
| 2с | Аккредитованная испытательная лаборатория Проводит испытания типового образца продукции Аккредитованный орган по сертификации Проводит анализ состояния производства Выдает заявителю сертификат соответствия |
1a |
| 3c | Аккредитованная испытательная лаборатория Проводит испытания типового образца продукции Аккредитованный орган по сертификации Выдает заявителю сертификат соответствия Осуществляет инспекционный контроль за сертифицированной продукцией (испытания образцов продукции |
2, 3, 4 |
| 4c | Аккредитованная испытательная лаборатория Проводит испытания типового образца продукции Аккредитованный орган по сертификации Проводит анализ состояния производства Выдает заявителю сертификат соответствия Осуществляет инспекционный контроль за сертифицированной продукцией (испытания образцов продукции и анализ состояния производства) |
2а, 3а, 4а |
| 5с | Аккредитованная испытательная лаборатория Проводит испытания типового образца продукции Аккредитованный орган по сертификации Проводит сертификацию системы качества или производства Выдает заявителю сертификат соответствия Осуществляет инспекционный контроль за сертифицированной продукцией (контроль системы качества (производства), испытания образцов продукции, взятых у изготовителя или продавца) |
5 |
| 6c | Аккредитованная испытательная лаборатория Проводит испытания партии продукции Аккредитованный орган по сертификации Выдает заявителю сертификат соответствия |
7 |
| 7c | Аккредитованная испытательная лаборатория Проводит испытания каждой единицы продукции Аккредитованный орган по сертификации Выдает заявителю сертификат соответствия |
8 |
4. Контрольный листок, их виды.
Метод контрольных листков применяется в производстве и на различных стадиях жизненного цикла продукции как при контроле по качественным, так и при контроле по количественным признакам. Контрольный листок - это:
- средство регистрации данных, как правило, в виде бумажного бланка с заранее внесенными в него контролируемыми параметрами, соответственно которым можно заносить необходимые данные с помощью пометок или каких-либо символов;
- инструмент, позволяющий облегчить задачу контроля протекающих процессов и предоставить различного рода факты для анализа, корректировки и улучшения качества процессов.
Все статистические методы базируются на достоверной информации. Какая бы задача ни стояла перед системой, объединяющей последовательность применения статистических методов, всегда начинают со сбора исходных данных, на базе которых затем применяют тот или иной инструмент. Для сбора исходных данных используют контрольные листки (КЛ).Достоинства метода - наглядность, простота освоения и применения. Недостатки метода - большое разнообразие форм и размеров контрольных листков.
Применяются следующие виды контрольных листков:
- КЛ для регистрации измеряемого параметра в ходе производственного процесса;
- для регистрации видов несоответствий;
- для оценки воспроизводимости и работоспособности технологического процесса и т. п.
Билет 23
1. Конкурентоспособность товара
Конкурентоспосо́бность това́ра — способность продукции быть более привлекательной для покупателя по сравнению с другими изделиями аналогичного вида и назначения, благодаря лучшему соответствию своих качественных и стоимостных характеристик к требованиям данного рынка и потребительским оценкам.
Общая эмпирическая формула конкурентоспособности товара имеет вид:
конкурентоспособность = качество + цена + обслуживание
Конкурентоспособность товара — понятие относительное, ее можно прогнозировать в процессе разработки образцов, однако реальная конкурентоспособность оценивается только на рынке при сопоставлении как с характеристиками, так и с условиями продажи и сервиса аналогичных товаров-конкурентов.
Критерии конкурентоспособности товара:
1) товарные.(уровень кач-ва может опр-ся новизной, имиджом, системой менеджмента кач-ва, показателями кач-ва)
2) сбытовые (удобство для потребителей системы сбыта)
3)сервисные (удобство и надежность систем технического, торгового, гарантийного и постгарантийного обслуживания)
4)рыночные (эффективность системы связи с общественностью, эф-ть рекламной компании и методов стимулирования).
2. Эластичность спроса.
Эластичность спроса по цене показывает, на сколько процентов изменится величина спроса при изменении цены на 1 %. На эластичность спроса по цене влияют следующие факторы: 1) наличие товаров-заменителей. Одним из самых неэластичных товаров является соль, т. к. ее нельзя ничем заменить; 2) удельный вес стоимости товара в бюджете потребителя; 3) размеры дохода покупателей. При этом цена может не меняться, изменяется платежеспособность. Чем дороже товар, тем эластичнее спрос на него; 4) качество товара. Чем выше качество, чем менее эластичен спрос; 5) степень необходимости товара. На продукты питания спрос менее эластичен, а на предметы роскоши - более эластичен; 6) размеры запасов товара; 7) потребительские ожидания.
В зависимости от этих показателей различают:
Неэластичный спрос (Ep(D) < 1) — рыночная ситуация, при которой изменение цены на 1 % вызывает незначительное изменение объема (QD).
Эластичный спрос (Ep(D) > 1) — рыночная ситуация, при которой изменение P на 1 % (Dp=1 %) вызывает значительное изменение QD.
Спрос единичной эластичности (Ep(D) = 1) — это рыночная ситуация, при которой изменение цены на 1 % вызывает 1-процентное изменение QD.
Абсолютно неэластичный спрос, означающий абсолютную нечувствительность объема спроса к изменению цены (Ep(D) = 0): изменение P на 1 % и более не влияет на изменение QD.
Эластичность спроса по доходу показывает, на сколько процентов изменится величина спроса при изменении дохода на 1 %. Она зависит от следующих факторов: значимость товара для бюджета семьи, является ли товар предметом роскоши или предметом первой необходимости, консерватизм во вкусах. Измерив эластичность спроса по доходу, можно определить относится ли данный товар к категории нормальных или малоценных. Основная масса потребляемых товаров относится к категории нормальных. С ростом доходов мы больше покупаем одежды, обуви, высококачественных продуктов питания, товаров длительного пользования. Есть товары, спрос на которые обратно пропорциональны доходам потребителей. К ним относятся: вся продукция секонд-хенд и некоторые виды продовольствия(дешевая колбаса, приправа).
Перекрёстная эластичность спроса - это отношение процентного изменения спроса на один товар к процентному изменению цены на какой-либо другой товар. Положительное значение величины означает, что эти товары являются взаимозаменяемыми (субститутами), отрицательное значение показывает, что они взаимодополняющие (комплементы)
3. Основные понятия, вводимые законом РФ "О техническом регулировании".
Для целей настоящего Федерального закона используются следующие основные понятия:
аккредитация - официальное признание органом по аккредитации компетентности физического или юридического лица выполнять работы в определенной области оценки соответствия;
безопасность продукции, процессов производства, эксплуатации, хранения, перевозки, реализации и утилизации (далее - безопасность) - состояние, при котором отсутствует недопустимый риск, связанный с причинением вреда жизни или здоровью граждан, имуществу физических или юридических лиц, государственному или муниципальному имуществу, окружающей среде, жизни или здоровью животных и растений;
ветеринарно-санитарные и фитосанитарные меры - обязательные для исполнения требования и процедуры, устанавливаемые в целях защиты от рисков, возникающих в связи с проникновением, закреплением или распространением вредных организмов, заболеваний, переносчиков болезней или болезнетворных организмов, в том числе в случае переноса или распространения их животными и (или) растениями, с продукцией, грузами, материалами, транспортными средствами, с наличием добавок, загрязняющих веществ, токсинов, вредителей, сорных растений, болезнетворных организмов, в том числе с пищевыми продуктами или кормами, а также обязательные для исполнения требования и процедуры, устанавливаемые в целях предотвращения иного связанного с распространением вредных организмов ущерба;
декларирование соответствия - форма подтверждения соответствия продукции требованиям технических регламентов;
декларация о соответствии - документ, удостоверяющий соответствие выпускаемой в обращение продукции требованиям технических регламентов;
заявитель - физическое или юридическое лицо, которое для подтверждения соответствия принимает декларацию о соответствии или обращается за получением сертификата соответствия, получает сертификат соответствия;
знак обращения на рынке - обозначение, служащее для информирования приобретателей о соответствии выпускаемой в обращение продукции требованиям технических регламентов;
знак соответствия - обозначение, служащее для информирования приобретателей о соответствии объекта сертификации требованиям системы добровольной сертификации или национальному стандарту;
идентификация продукции - установление тождественности характеристик продукции ее существенным признакам;
контроль (надзор) за соблюдением требований технических регламентов - проверка выполнения юридическим лицом или индивидуальным предпринимателем требований технических регламентов к продукции или к связанным с ними процессам проектирования (включая изыскания), производства, строительства, монтажа, наладки, эксплуатации, хранения, перевозки, реализации и утилизации и принятие мер по результатам проверки;
международный стандарт - стандарт, принятый международной организацией;
национальный стандарт - стандарт, утвержденный национальным органом Российской Федерации по стандартизации;
орган по сертификации - юридическое лицо или индивидуальный предприниматель, аккредитованные в установленном порядке для выполнения работ по сертификации;
оценка соответствия - прямое или косвенное определение соблюдения требований, предъявляемых к объекту;
подтверждение соответствия - документальное удостоверение соответствия продукции или иных объектов, процессов проектирования (включая изыскания), производства, строительства, монтажа, наладки, эксплуатации, хранения, перевозки, реализации и утилизации, выполнения работ или оказания услуг требованиям технических регламентов, положениям стандартов, сводов правил или условиям договоров;
продукци я - результат деятельности, представленный в материально-вещественной форме и предназначенный для дальнейшего использования в хозяйственных и иных целях;
риск - вероятность причинения вреда жизни или здоровью граждан, имуществу физических или юридических лиц, государственному или муниципальному имуществу, окружающей среде, жизни или здоровью животных и растений с учетом тяжести этого вреда;
сертификация - форма осуществляемого органом по сертификации подтверждения соответствия объектов требованиям технических регламентов, положениям стандартов, сводов правил или условиям договоров;
сертификат соответствия - документ, удостоверяющий соответствие объекта требованиям технических регламентов, положениям стандартов, сводов правил или условиям договоров;
система сертификации - совокупность правил выполнения работ по сертификации, ее участников и правил функционирования системы сертификации в целом;
стандарт - документ, в котором в целях добровольного многократного использования устанавливаются характеристики продукции, правила осуществления и характеристики процессов проектирования (включая изыскания), производства, строительства, монтажа, наладки, эксплуатации, хранения, перевозки, реализации и утилизации, выполнения работ или оказания услуг. Стандарт также может содержать правила и методы исследований (испытаний) и измерений, правила отбора образцов, требования к терминологии, символике, упаковке, маркировке или этикеткам и правилам их нанесения;
стандартизация - деятельность по установлению правил и характеристик в целях их добровольного многократного использования, направленная на достижение упорядоченности в сферах производства и обращения продукции и повышение конкурентоспособности продукции, работ или услуг;
техническое регулирование - правовое регулирование отношений в области установления, применения и исполнения обязательных требований к продукции или к связанным с ними процессами проектирование, включая изыскания П(И), производство (П), строительство (С), монтажа (М), наладки (Н), эксплуатации (Э), хранения (Х), перевозку, реализацию и утилизацию. П(И) ПСМН ЭХПРУ, а также в области установления и применения на добровольной основе требований к продукции, процессов, работ и оказания услуг и правового регулирования отношений в области оценки соответствиятехнический регламент - документ, который принят международным договором Российской Федерации, ратифицированным в порядке, установленном законодательством Российской Федерации, или межправительственным соглашением, заключенным в порядке, установленном законодательством Российской Федерации, или федеральным законом, или указом Президента Российской Федерации, или постановлением Правительства Российской Федерации, или нормативным правовым актом федерального органа исполнительной власти по техническому регулированию и устанавливает обязательные для применения и исполнения требования к объектам технического регулирования (продукции, в том числе зданиям, строениям и сооружениям или к связанным с требованиями к продукции процессам проектирования (включая изыскания), производства, строительства, монтажа, наладки, эксплуатации, хранения, перевозки, реализации и утилизации);
форма подтверждения соответствия - определенный порядок документального удостоверения соответствия продукции или иных объектов, процессов проектирования (включая изыскания), производства, строительства, монтажа, наладки, эксплуатации, хранения, перевозки, реализации и утилизации, выполнения работ или оказания услуг требованиям технических регламентов, положениям стандартов или условиям договоров;
схема подтверждения соответствия - перечень действий участников подтверждения соответствия, результаты которых рассматриваются ими в качестве доказательств соответствия продукции и иных объектов установленным требованиям;
свод правил - документ в области стандартизации, в котором содержатся технические правила и (или) описание процессов проектирования (включая изыскания), производства, строительства, монтажа, наладки, эксплуатации, хранения, перевозки, реализации и утилизации продукции и который применяется на добровольной основе в целях соблюдения требований технических регламентов;
региональная организация по стандартизации - организация, членами (участниками) которой являются национальные органы (организации) по стандартизации государств, входящих в один географический регион мира и (или) группу стран, находящихся в соответствии с международными договорами в процессе экономической интеграции;
стандарт иностранного государства - стандарт, принятый национальным (компетентным) органом (организацией) по стандартизации иностранного государства;
региональный стандарт - стандарт, принятый региональной организацией по стандартизации;
свод правил иностранного государства - свод правил, принятый компетентным органом иностранного государства;
региональный свод правил - свод правил, принятый региональной организацией по стандартизации.
4.Диаграмма Исикавы пример
Диаграмма Исикавы (причинно-следственная диаграмма, «рыбий скелет») – инструмент качества, служащий для наглядного представления причинно-следственных связей между объектом анализа и влияющими на него факторами.Также используется для первоначального ранжирования (определения значимости, силы влияния) факторов, воздействующих на исследуемый объект и выбора приоритетов для устранения проблемы или улучшения показателя.
Порядок построения диаграммы «п-с» можно представить в виде следующего алгоритма:
- определение и формулировка проблемы, которая подлежит изучению и анализу;
- определение главных причин, влияющих на проблему;
- определение дополнительных причин, влияющих на проблему;
- оценка и анализ главных и дополнительных причин, влияющих на проблему при помощи - сбора дополнительных данных для более полного исследования;
- анализ технологического процесса.
При построении диаграммы Исикавы откладывается центральная ось, которая носит название показателя качества. Затем строятся большие оси, которые называют как группы факторов, влияющих на качество показателя. Далее строят оси, на которых раскрываются факторы по каждой группе и их причины. Количество уровней рассмотрения причин дефекта зависит от сложности первоначального показателя
Билет 24
1.Конкуренотоспособность фирмы
Конкурентоспособность предприятия - это способность фирмы, компании конкурировать на рынках с производителями и продавцами аналогичных товаров посредством обеспечения более высокого качества, доступных цен, создания удобства для покупателей, потребителей. Конкурентоспособность предприятия характеризует возможности и динамику его приспособления к условиям рыночной конкуренции.
Конкурентоспособность зависит от различных факторов, в т.ч. таких как: конкурентоспособность товаров предприятия на внешнем и внутреннем рынках; вид производимого товара; ёмкость рынка (количество ежегодных продаж); лёгкость доступа на рынок; однородность рынка; конкурентные позиции предприятий, уже работающих на данном рынке; конкурентоспособность отрасли; возможность технических новшеств в отрасли; конкурентоспособность региона и страны. Как показывает мировая практика рыночных отношений, взаимосвязанное решение этих проблем гарантирует повышение конкурентоспособности предприятия.
2.Эластичность предложения
Эластичность предложения — степень изменения в количестве предлагаемых товаров и услуг в ответ на изменения в их цене. Процесс возрастания эластичности предложения в долгосрочном и краткосрочном периодах раскрывается через понятия мгновенного, краткосрочного и долгосрочного равновесия.
Коэффициент эластичности предложения — числовой показатель, отражающий степень изменения количества предлагаемых товаров и услуг в ответ на изменения в их цене.
Эластичность предложения зависит от:
· особенности производственного процесса (позволяет производителю расширить производство товара при повышении цены на него или переключиться на выпуск другого товара при снижении цен);
· временной фактор (производитель не в состоянии быстро реагировать на изменения цен на рынке);
· зависит и от (не)способности данного товара к длительному хранению.
Когда мы говорим о формировании кривой предложения, то рассматривали ее в трех периодах - краткосрочном, среднесрочном, долгосрочном.
Если мы изучаем предложение в краткосрочной перспективе, то оно будет совершенно неэластично (Esp = 0). Изменение спроса вызывает изменение (повышение или понижение) цен, но в краткосрочном периоде это никак не влияет на величину предложения. Производители просто не успевают отреагировать за короткий временной отрезок.
В среднесрочной перспективе предложение будет более эластичным. Повышение спроса при среднесрочном периоде вызовет не только рост цен, но и увеличение объема производства. Производители при среднесрочной перспективе успеют отреагировать на изменение спроса, а значит, успевают изменить количество предлагаемого товара, и кривая предложения имеет совсем другой вид.
В долгосрочной перспективе предложение наиболее эластично. Увеличение спроса приводит к значительному росту предложения при постоянных ценах или несущественном повышении цен. При длительном периоде на рынке производитель успевает отреагировать на любые изменения рыночного спроса.
Эластичность предложения по цене - это показатель, который позволяет определить степень реакции производителя на ситуацию на рынке.
3. Схемы декларирования соответствия.
Декларирование соответствия:
1) на основе собственных доказательств. Обязательное подтверждение соответствия проводится в случаях, установленных тех.регламентом и исключительно на соответствие требованиям тех.регламента. Объектом обяз.подтв.соотв-я м/б только продукция, выпускаемая в обращение только для России. Доказательные материалы включают в себя техническую документацию, рез-ты собственных исследований, испытаний и измерений и др.документы, кот-е предусмотрены тех.регламентом.
2) при декларировании с участием третьего лица + док-ва органов сертификации в доказательную базу вкл-ся: протоколы исследований, испытаний, измерений, проведенных в аккредитованной испытательной лаборатории, снртификат системы качества, в отношении кот-го производится контроль органов по сертификации, выдавшего этот сертификат.
Декларация о соот-ии оформляется на русском языке и содержит: наименование и место нахождения заявителя; наименование и место нахождения изготовителя; информацию об объекте подтв.соотв-я; наименование тех.регламента; указания на схемах декларирования заявителя о без-ти продукции при ее использовании; сведения о проведенных исследованиях. Срок действия декларации устанавливается в тех.регламенте. Оформленная заявителем декларация регистрируется в реестре в ФОИВ в течение 3х дней.
| Обозначение схемы | Содержание схемы и ее исполнители | Обозначение европейского модуля, близкого к схеме |
| 1д | Заявитель. Приводит собств.док-ва соотв-я в тех.файле. Принимает декларацию о соотв-ии | A |
| 2д | Аккредитованная испытательная лаборатория. Проводит испытания типового образца продукции. Заявитель. Принимает декларацию о соотв-ии. |
C |
| 3д | Орган по сертиф. Сертифицирует систему кач-ва на стадии пр-ва. Аккр.испыт.лаб. Проводит испытания типового образца продукции. Заявитель. Принимает декларацию о соотв-ии Орган по сертиф. Осущ-ет инспекционный контроль за системой кач-ва. |
D |
| 4д | Орган по сертиф. Сертифицирует систему кач-ва на этапах контроля и испытаний. Аккр.испыт.лаб-я. Проводит испытания типового образца продукции. Заявитель. Принимает декларацию о соотв-ии Орган по сертиф. Осущ-ет инспекционный контроль за системой кач-ва. |
E |
| 5д | Аккр.испыт.лаб-я. Проводит выборочные испытания партии выпускаемой продукции. Заявитель. Принимает декларацию о соотв-ии. |
F |
| 6д | Аккр.испыт.лаб-я. Проводит испытания каждой единицы продукции. Заявитель. Принимает декларацию о соотв-ии. | G |
| 7д | Орган по сертиф. Сертифицирует систему кач-ва на стадиях проектирования и пр-ва. Заявитель. Проводит испытания образца продукции. принимает декларацию о соотв-ии. Орган по сертиф. Осущ-ет инспекционный контроль за системой кач-ва. |
H |
4. Диаграмма рассеивания.
Диаграмма рассеивания (разброса, поле корреляции) – инструмент позволяющий выявить вид и степень зависимости (корреляцию) между парами переменных x , y , которые могут представлять:
· характеристику качества и воздействующий на нее фактор;
· две характеристики качества;
· два фактора, воздействующие на одну и ту же характеристику качества.
Сама диаграмма представляет собой множество (совокупность) точек, координаты которых равны значениям параметров x и y .
Методика построения:
13. Сведите полученные значения пар данных x , y в таблицу для удобства дальнейшего использования.
14. Постройте горизонтальную и вертикальную оси.
15. Нанесите точки полученных пар значений x, y на график.
16. Вычислите коэффициент корреляции (он позволяет количественно определить силу линейной связи между x и y ) по формуле:
![]()
где
![]()
![]()
![]()
n – количество пар данных,
– среднее арифметическое значение параметра x,
– среднее арифметическое значение параметра y.
5. Определите вид связи между x и y, проведя анализ формы построенного графика и вычисленного коэффициента корреляции.
Билет 25
1.Факторы, определяющие конкурентоспособность товара, фирмы.
рынке предприятиями в целях обеспечения лучших возможностей сбыта своей продукции, удовлетворения разнообразных потребностей покупателей.
Конкурентоспособность предприятия - это способность фирмы, компании конкурировать на рынках с производителями и продавцами аналогичных товаров посредством обеспечения более высокого качества, доступных цен, создания удобства для покупателей, потребителей. Конкурентоспособность предприятия характеризует возможности и динамику его приспособления к условиям рыночной конкуренции.
Конкурентоспособность зависит от различных факторов, в т.ч. таких как: конкурентоспособность товаров предприятия на внешнем и внутреннем рынках; вид производимого товара; ёмкость рынка (количество ежегодных продаж); лёгкость доступа на рынок; однородность рынка; конкурентные позиции предприятий, уже работающих на данном рынке; конкурентоспособность отрасли; возможность технических новшеств в отрасли; конкурентоспособность региона и страны. Как показывает мировая практика рыночных отношений, взаимосвязанное решение этих проблем гарантирует повышение конкурентоспособности предприятия.
Факторы, определяющие конкурентоспособность товаров и услуг:
· Качество товаров и услуг;
· Цена товаров и услуг;
· Уровень квалификации персонала и менеджмента;
· Технологический уровень производства;
· Доступность источников финансирования;
2.Факторы, влияющие на рыночное равновесие
Рыночное равновесие - ситуация на рынке, при которой нет тенденции к изменению рыночной цены или объема продаваемых благ. Рыночное равновесие устанавливается, когда цена приводится к уровню, который уравнивает объем спроса и объем предложения. Рыночное равновесие цены и объем продаваемого блага могут изменяться в ответ на изменения спроса и предложения.
Когда "потолок цен" устанавливается ниже равновесной цены, образуется дефицит и объем спроса превышает объем предложения. Такое положение приведет к конкуренции между покупателями за возможность купить данное благо. Конкурирующие покупатели начинают предлагать более высокие цены. В ответ на это продавцы начинают повышать цены. По мере того как цены растут, объем спроса сокращается, а объем предложения увеличивается. Это продолжается до тех пор, пока цена не достигнет своего равновесного уровня.
Когда минимальные уровни цен устанавливаются выше равновесной цены, объем предложения превышает объем спроса и образуется избыток благ.
Выделяют четыре варианта влияния сдвигов кривых спроса и предложения на цену и объем благ. Увеличение спроса на благо вызывает сдвиг кривой спроса вправо, в результате чего увеличиваются и равновесная цена, и равновесный объем блага.
Уменьшение спроса на благо смещает кривую спроса влево, в результате чего снижаются равновесная цена и равновесный объем блага. Увеличение предложения блага сдвигает кривую предложения вправо, в результате чего снижается равновесная цена и увеличивается равновесный объем блага. Уменьшение предложения блага сдвигает кривую предложения влево, в результате чего повышается равновесная цена и сокращается равновесный объем блага.
Используя указанные четыре варианта изменения спроса и предложения и сдвига их кривых, можно определить равновесную точку в случае любых колебаний спроса и предложения. Однако не всегда "срабатывают" названные выше "четыре правила" спроса и предложения, ибо часто одновременно происходит сдвиг и кривой спроса, и кривой предложения, что значительно усложняет анализ реальных экономических явлений и процессов.
. 3.Схемы обязательной сертификации
В системе сертификации ГОСТ Р схемы сертификации — это определенный порядок действий по сертификации продукции в зависимости от вида продукции, целей сертификации и объема продукции (товара), который определяется органом по сертификации.
| Обозначение схемы | Содержание схемы и ее исполнители | Обознач. прежней схемы сертиф. |
| 1с | Аккр.испыт.лаб. проводит испытания типового образца продукции. Аккр.орган по сертиф. выдает заявителю сертификат соотв-я | 1 |
| 2с | Аккр.испыт.лаб. проводит испытания типового образца продукции. Аккр.орган по сертиф. проводит анализ состояния пр-ва. Выдает заявителю сертификат соотв-я | 1а |
| 3с | Аккр.испыт.лаб. проводит испытания типового образца продукции. Аккр.орган по сертиф. выдает заявителю сертификат соотв-я. Осущ-ет инспекционный контроль за сертифиц-ой продукцией (испытания образцов продукции). | 2,3,4 |
| 4с | Аккр.испыт.лаб. проводит испытания типового образца продукции. Аккр.орган по сертиф. проводит анализ состояния пр-ва. Выдает заявителю сертификат соотв-я. Осущ-ет инспекционный контроль за сертифиц-ой продукцией (испытания образцов продукции и анализ состояния пр-ва). | 2а, 3а, 4а |
| 5с | Аккр.испыт.лаб. проводит испытания типового образца продукции. Аккр.орган по сертиф. проводит сертификацию системы кач-ва или пр-ва. Выдает заявителю сертификат соотв-я. Осущ-ет инспекц.контроль за сертифицированной продукцией (контроль системы кач-ва (пр-ва), испытания образцов продукции, взятых у изготовителя или продавца). | 5 |
| 6с | Аккр.испыт.лаб. проводит испытания партии продукции. Аккр.орган по сертиф. выдает заявителю сертификат соотв-я | 7 |
| 7с | Аккр.испыт.лаб. проводит испытания каждой единицы продукции. Аккр.орган по сертиф. выдает заявителю сертификат соотв-я | 8 |
4.Гистограмма
Гистограмма позволяет оценить состояние качества. Гистограмма представляет собой столбчатый график, построенный по полученным за определенный период (час, неделю, месяц) данным, которые разбиваются на несколько интервалов. Число данных, попавших в каждый из интервалов (частота), выражается высотой столбика. Гистограмма применяется главным образом для анализа значений измеренных параметров, но может использоваться и для расчетных значений. Благодаря простоте и наглядности гистограммы нашли применение в различных областях:
- для анализа сроков получения заказа (за контрольный норматив принимается срок поставки согласно договору);
- для анализа времени реагирования группы обслуживания от момента получения заявки от клиента, времени обработки рекламации от момента ее получения и т.д.;
- для анализа значений показателей качества, таких как размеры, масса, механические характеристики, химический состав, выход продукции и т.д. при контроле готовой продукции, при приемочном контроле, при контроле процесса в самых разных сферах деятельнотси;
- для анализа чистого времени операций, времени износа режущей поверхности и т.д.;
- для анализа числа бракованных изделий, числа дефектов, числа поломок и т.д.
Полученная в результате анализа гистограммы информация может быть легко использована для построения и исследования причинно-следственной диаграммы, что повысит обоснованность мер, намеченных для улучшения процесса.