| Скачать .docx | Скачать .pdf |
Реферат: Практическое применение законов распределения при изучении уровня жизни населения
Оглавление
1. Понятие о закономерностях статического распределения . 5
1.1.Закон распределения и его виды.. 5
1.2.Статистическая оценка законов распределения. 10
2.Уровень жизни населения и его показатели . 14
2.1.Оценка и виды уровня жизни населения. 14
2.2. Методы изучения динамики реальных доходов населения. 17
2.3. Потребление населением материальных благ и услуг. 18
2.4. Показатели социальной дифференциации и бедности населения. 21
3.Практическое применение законов распределения при изучении уровня жизни населения . 25
3.1. Расчет статистических характеристик величин с использованием пакета MINITAB.25
3.2. Дисперсионный анализ показателей уровня жизни населения. 31
Данная работа рассматривает проблему применения законов распределения при изучении показателей уровня жизни населения, которая носит актуальный характер в современных условиях. Актуальность настоящей работы обусловлена большим интересом к теме в современной науке. А высокая значимость и недостаточная практическая разработанность определяют ее несомненную новизну.
Достижение максимально высокого качества жизни населения является приоритетной целью социальной рыночной экономики. Одной из важнейших предпосылок, обеспечивающих реализацию этой задачи, является проведение эффективной политики благосостояния населения. Центральное место в политике благосостояния занимает постоянный рост уровня жизни граждан. Статистическое изучение уровня жизни позволяет расширить возможности развития экономики страны.
Предметом исследования являются показатели уровня жизни населения, которые зависят от законов распределения в экономической статистике. Объектом изучения является анализ условий уровня жизни населения.
Теоретическое значение изучения проблемы заключается в том, что избранная для рассмотрения проблематика находится на стыке сразу нескольких научных дисциплин, экономики и математической статистики.
Изучив теоретические аспекты законов распределения, и рассмотрев уровень жизни как предмет статистического изучения, мы сможем практически изучить показатели уровня жизни населения, используя законы распределения.
Целью исследования является изучение реального состояния уровня жизни населения.
Для достижения данной цели были поставлены следующие задачи:
1. Изучить законы распределения в математической статистике.
2. Рассмотреть уровень жизни как предмет статистического изучения.
3. Показать на практике, как применяются законы распределения при изучении показателей уровня жизни населения.
4. Сделать сравнительный анализ уровня жизни населения в РФ.
Работа имеет традиционную структуру и включает в себя введение, основную часть, состоящую из 3 глав, заключение и список используемой литературы.
1. Понятие о закономерностях статического распределения
1.1.Закон распределения и его виды
Случайное событие — событие, которое при наличии совокупности условий F может либо произойти, либо не произойти. Достоверное событие — событие, которое обязательно произойдет при наличии условий F. Вероятностью события А называют отношение числа благоприятствующих ему случаев (исходов) т к общему числу исключающих друг друга случаев п: Р(А) == т/п. Вероятность достоверного события равна единице, невозможного события — нулю, а случайного события — числу, заключенному между нулем и единицей (0 < Р(А) < 1). Таким образом, для произвольного случайного события справедливо неравенство 0£Р(А)£1. Случайная величина Х — величина, наблюдаемое значение которой зависит от случайных причин и поэтому наперед неизвестно. Случайные величины могут быть дискретными (например, число бракованных деталей в партии и др.) или непрерывными (например, отклонение размера детали от номинала, высота микропрофиля в данной точке и др.). Полный набор всех возможных значений случайной величины Х называется генеральной совокупностью.
Закон распределения случайной величиныХ — всякое соотношение, устанавливающее связь между возможными значениями xi случайной величины Х и соответствующими им вероятностями pi . Его можно задать таблично, аналитически (формулами) или графически. В наиболее обобщенной форме закон распределения описывается с помощью интегральной функции распределения или дифференциальной функцией распределения.
Интегральная функция распределения (функция распределения) F ( x ) — это функция, определяющая вероятность того, что случайная величина Х примет значение меньше данного значения x : F ( x )= P ( X ).
Пусть некоторая СВ является дискретной, т.е. может принимать лишь фиксированные (на некоторой шкале) значения X i. В этом случае ряд значений вероятностей P(X i )для всех (i=1…n) допустимых значений этой величины называют её законом распределения. В самом деле, - такой ряд содержит всю информацию о СВ, это максимум наших знаний о ней. Другое дело, - откуда мы можем получить эту информацию, как найти закон распределения? Попытаемся ответить на этот принципиально важный вопрос, используя уже рассмотренное понятие вероятности. Для вероятности случайного события, для закона распределения СВ есть путь его отыскания. Мы строим схему случайного события и находим аналитическое выражение (формулу) вычисления вероятности.
Продемонстрируем первый путь отыскания закона распределения.
Пусть важной для нас случайной величиной является целое число, образуемое по следующему правилу: мы трижды бросаем симметричную монетку, выпадение герба считаем числом 1 (в противном случае 0) и после трех бросаний определяем сумму S. Ясно, что эта сумма может принимать любое значение в диапазоне 0…3, но всё же - каковы вероятности P(S=0), P(S=1), P(S=2), P(S=3); что можно о них сказать, кроме очевидного вывода - их сумма равна 1?
Попробуем построить схему интересующих нас событий. Обозначим через p вероятность получить 1 в любом бросании, а через q=(1–p) вероятность получить 0. Сообразим, что всего комбинаций ровно 8 (или 23 ), а поскольку монетка симметрична, то вероятность получить любую комбинацию трех независимых событий (000,001,010…111) одна и та же: q3 = q2 *p=…= p3 = 0.125. Но если p принадлежит q , то варианты все тех же восьми комбинаций будут разными (см. приложение 1).
Запишем то, что уже знаем - сумма вероятностей последней строки должна быть равна единице:
p3 +3*q*p2 + 3*q2 *p + q3 = (p + q)3 = 1. (1)
Перед нами обычный бином Ньютона 3-й степени, но оказывается - его слагаемые четко определяют вероятности значений случайной величины S !
Мы записали закон распределения СВ, образуемой суммированием результатов n последовательных наблюдений, в каждом из которых может появиться либо 1 (с вероятностью p), либо 0 (с вероятностью 1– p).
В общем случае биномиальный закон распределения позволяет найти вероятность события S = k в виде
P(S=k)=
*pk
*(1– p)n-k
, (2)
- т.н. биномиальные коэффициенты, отыскиваемые из известного “треугольника Паскаля” или по правилам комбинаторики - как число возможных сочетаний из n элементов по k штук в каждом:
= n*(n –1)* ...*(n – k + 1)/ (1*2* .... * k). (3)
Многие дискретные СВ позволяют построить схему событий для вычисления вероятности каждого из допустимых для данной случайной величины значений.
Конечно же, для каждого из таких, часто называемых "классическими", распределений уже давно эта работа проделана – широко известными и очень часто используемыми в прикладной статистике являются биномиальное и полиномиальное распределения, геометрическое и гипергеометрическое, распределение Паскаля и Пуассона и многие другие.
Для почти всех классических распределений немедленно строились и публиковались специальные статистические таблицы, уточняемые по мере увеличения точности расчетов. Без использования многих томов этих таблиц, без обучения правилам пользования ими последние два столетия практическое использование статистики было невозможно.
Сегодня положение изменилось – нет нужды хранить данные расчетов по формулам, время на использование закона распределения для практики сведено к минутам, а то и секундам.
Приведем примеры нескольких распределений для дискретных СВ с описанием схемы событий и формулами вычисления вероятностей. Для удобства и наглядности будем полагать, что нам известна величина p – вероятность того, что вошедший в магазин посетитель окажется покупателем и обозначая (1– p) = q.
· Биномиальное распределение
Если X – число покупателей из общего числа n посетителей, то вероятность P(X= k) =
*pk
*qn-k
. (4)
· Отрицательное биномиальное распределение (распределение Паскаля )
Пусть Y – число посетителей, достаточное для того, чтобы k из них оказались покупателями. Тогда вероятность того, что n–й посетитель окажется k–м покупателем составит P(Y=n) =
*pk
*qn–k
. (5)
· Геометрическое распределение
Если Y – число посетителей, достаточное для того, чтобы один из них оказался
покупателем, то P(Y=1) = p*qn–1 . (6)
· Распределение Пуассона
Закон распределения вероятностей дискретной СВ несет в себе всю информацию о ней и большего желать не приходится.
Не будет лишним помнить, что этот закон (или просто – распределение случайной величины) можно задать тремя способами:
· в виде формулы: например, для биномиального распределения при n=3 и p=0.5 вероятность значения суммы S=2 составляет 0.375;
· в виде таблицы значений величины и соответствующих им вероятностей:
· в виде диаграммы или, как ее иногда называют, гистограммы распределения.
Если нам известен закон распределения, то, просуммировав произведения значений суммы S на соответствующие каждому значению вероятности, мы найдем математическое ожидание этой суммы как дискретной случайной величины –
M(S) = SSi *P(Si ). (7)
Математического ожидания – является “центром” распределения. Правда, речь идет вовсе не о делении оси допустимых значений самой СВ на две равные части. Поистине – первый показатель закона распределения “самый главный” или, на языке статистики, – центральный.
Итак, для СВ с числовым описанием математическое ожидание имеет достаточно простой смысл и легко вычисляется по законам распределения. Заметим также, что математическое ожидание – просто числовая величина (в общем случае не дискретная, а непрерывная) и никак нельзя считать ее случайной.
Другое дело, что эта величина зависит от внутренних параметров распределения (например, – значения вероятности р числа испытаний n биномиальном законе).
Так для приведенных выше примеров дискретных распределений математическое ожидание составляет (см. приложение 1).
Приходится признать, что математическое ожидание является удобным, легко вычислимым, но весьма неполным способом описания закона распределения. И поэтому требуется еще как–то использовать полную информацию о случайной величине, свернуть эту информацию каким–то иным способом.
D(X) = S (X i – M(X))2 * P(X i ); (8) принято называть дисперсией распределения дискретной СВ.
Ясно, что для величин, имеющих единицу измерения, размерность математического ожидания и дисперсии оказываются разными. Поэтому намного удобнее оценивать отклонения СВ от центра распределения не дисперсией, а квадратным корнем из нее – так называемым среднеквадратичным отклонением s, т.е. полагать
s2 = D(X). (9)
Теперь оба параметра распределения (его центр и мера разброса) имеют одну размерность, что весьма удобно для анализа.
Отметим также, что формулу (7) часто заменяют более удобной
D(X) = S (Xi )2 *P(Xi ) – M(X)2 . (10)
Дисперсия, как и среднеквадратичное отклонение для конкретного закона распределения являются просто числами, в полном смысле показателями этого закона.
Полезно познакомиться с соотношениями математических ожиданий и дисперсий для упомянутых ранее стандартных распределений (см. приложение 1).
Математическое ожидание и дисперсию чаще всего называют моментами распределения. Это связано со способами вычисления этих параметров по известному закону распределения – через усреднение значений самой СВ или усреднение квадратов ее значений.
Иногда используют еще один показатель степени разброса СВ – коэффициент вариации V= s/ M(X), имеющий смысл при ненулевом значении математического ожидания.
Изучив сущность закона распределения и его виды, какие статистические оценки его существует, мы рассмотрим в следующем пункте.
1.2.Статистическая оценка законов распределения
Когда приходится изучать не единичные, а массовые случайные явления, необходимо прибегать к статистической оценке законов распределения. Этот метод предназначен для выявления закономерностей там, где на первый взгляд нет ничего, кроме совокупности отдельных фактов, наблюдений, измерений.
Если выборка объёма n из генеральной совокупности представительна, то элементы с одинаковыми значениями варианты будут приблизительно одинаково часто встречаться как в выборке, так и в генеральной совокупности. В этом случае естественно принять распределение X в выборке за приближенное распределение ее в генеральной совокупности, то есть считать дискретное распределение выборки Fn (x) приближением к теоретической функции распределения F(x). Пример приближения показан на рис.1.

Рис.1.Приближение к теоретической функции распределения F(x)
Основанием для такого приближения является так называемая основная теорема математической статистики, доказанная В.И. Гливенко
(11)
Из этой теоремы следует, что при n→∞ с вероятностью, равной единице, верхняя граница отклонения |F(x)−F(x)| на всей оси x стремится к нулю. Тем самым гарантируется равномерное приближение Fn (x) к F(x) на всей оси x. Таким образом, исследуя функцию Fn (x), мы можем по ней приближено оценить теоретическую функцию распределения случайной величины.
Основные свойства точечных оценок
Для того чтобы оценка
имела практическую ценность, она должна обладать следующими свойствами:
1. Оценка
параметра q называется несмещенной
, если ее математическое ожидание равно оцениваемому параметру q , т.е.
М
=
q . (12)
Если равенство (12) не выполняется, то оценка
может либо завышать значение q (М
>
q ), либо занижать его (М
<
q ) . Естественно в качестве приближенного неизвестного параметра брать несмещенные оценки для того, чтобы не делать систематической ошибки в сторону завышения или занижения.
2. Оценка
параметра q называется состоятельной
, если она подчиняется закону больших чисел, т.е. сходится по вероятности
к оцениваемому параметру при неограниченном возрастании числа опытов (наблюдений) и, следовательно, выполняется следующее равенство:
, (13)
где e > 0 сколько угодно малое число.
Для выполнения (13) достаточно, чтобы дисперсия оценки стремилась к нулю при
, т.е.
(14)
И кроме того, чтобы оценка была несмещенной. От формулы (14) легко перейти к (13) , если воспользоваться неравенством Чебышева.
Итак, состоятельность оценки означает, что при достаточно большом количестве опытов и со сколько угодно большой достоверностью отклонение оценки от истинного значения параметра меньше любой наперед заданной величины. Этим оправдано увеличение объема выборки.
Так как
- случайная величина, значение которой изменяется от выборки к выборке, то меру ее рассеивания около математического ожидания q будем характеризовать дисперсией D
. Пусть
и
- две несмещенные оценки параметра q, т.е. M
= q и M
= q , соответственно D
и D
и, если D
< D
, то в качестве оценки принимают
.
3. Несмещенная оценка
, которая имеет наименьшую дисперсию среди всех возможных несмещенных оценок параметра q, вычисленных по выборкам одного и того же объема, называется эффективной
оценкой.
На практике при оценке параметров не всегда удается удовлетворить одновременно требованиям 1, 2, 3. Однако выбору оценки всегда должно предшествовать ее критическое рассмотрение со всех точек зрения. При выборке практических методов обработки опытных данных необходимо руководствоваться сформулированными свойствами оценок.
В статистике законы распределения так же применяются и для изучения показателей уровня жизни населения. С ними мы познакомимся в следующей главе.
2.Уровень жизни населения и его показатели
2.1.Оценка и виды уровня жизни населения
Главной целью общественного развития является повышение уровня жизни населения.
Термин «уровень жизни» был введен ООН в 1961 году. Его количественная характеристика до сих пор точного определения не имеет.
Уровень жизни – комплексный показатель, характеризующий благосостояние и качество жизни граждан или социальных групп отдельной страны или территории. УЖ представляет собой уровень потребления этих благ, отражает благосостояние населения и характеризуется системой следующих показателей:
· объем реальных доходов на душу населения;
· структура потребления продовольствия, непродовольственных товаров, услуг;
· уровень и динамика цен на основные товары народного потребления;
· ставки квартирной платы, жилищных услуг;
· объем выплат и льгот из общественных фондов потребления;
· уровень образования, медобслуживания.
Национальное богатство является той средой, где создаются необходимые условия для благополучной в материальном отношении жизни людей, где формируется и поддерживается уровень жизни населения (благосостояние). Под уровнем жизни населения в статистике понимается обеспеченность населения теми благами и услугами, которые необходимы и достаточны для удовлетворения как жизненно важных материальных потребностей людей (питание, одежда, жилище, предметы культуры и быта), так и социально-культурных (труд, занятость, досуг, здоровье, образование, природная среда обитания и т.д.).
В денежном выражении вся данная совокупность благ и услуг, фактически потребляемых в течение данного времени в домохозяйстве, представляет собой стоимость жизни.
В статистике выделяют следующие виды уровня жизни:
· достаток (пользование благами и услугами, которые обеспечивают всестороннее развитие человека);
· нормальный уровень (потребление благ и услуг по научно обоснованным нормам, которые достаточны для полноценного восстановления физических и интеллектуальных сил человека);
· бедность (потребление благ и услуг на уровне возможности сохранения работоспособности человека);
· нищета (минимальное потребление благ и услуг на уровне биологического выживания человека).
Чтобы получить всю совокупность характеристик по уровню жизни, исследуются все статистические совокупности:
· население в целом;
· отдельные социальные и профессиональные группы;
· домохозяйства с различным доходом.
В мировой практике накоплен определенный опыт по комплексному исследованию уровня жизни населения по основным социально-экономическим показателям, из которых можно выделить следующие:
· показатели прожиточного минимума;
· показатели дифференциации населения;
· показатели денежных доходов (в среднем на душу населения в месяц);
· средний размер пенсий;
· показатели расходов и потребления населения;
· показатели покупательной способности населения;
· достигнутый уровень образования;
· показатели расходов в социальной сфере;
· продолжительность жизни и уровень рождаемости и т.д.
Информационными источниками для построения системы показателей по уровню жизни населения являются данные из материалов различных разделов государственной статистики (демографической, статистики труда, статистики цен, социальной статистики), материалы выборочных обследований бюджетов домохозяйств, материалы переписи населения.
Одним из важнейших обобщающих показателей уровня жизни являются доходы населения. Одним из показателей доходов является объем личных доходов населения (ЛДН) – все виды доходов населения, полученные в денежной форме или натуре.
Совокупные (общие) доходы населения (СДН) определяются суммированием личных доходов и стоимости бесплатных или льготных услуг, оказываемых населению за счет социальных фондов.
Изменение состава и использования денежных доходов населения России приведено в табл. 4(см. приложение2).
Анализ данных таблицы показывает снижение доли социальных выплат в денежных доходах при одновременном увеличении доходов от собственности. В расходах отмечается снижение покупательной способности и увеличение расходов на оплату услуг.
Номинальные показатели доходов – показатели, рассчитанные в ценах текущего периода (оплата труда, соц. трансферты, доходы от собственности и др.). Они не определяют реального содержания доходов, не показывают, какое количество материальных благ и услуг доступно населению при сложившемся уровне доходов.
Вычитая из личных номинальных доходов населения (ЛДН) налоги, обязательные платежи и взносы в общественные организации (НП), находят личные располагаемые доходы
(ЛРД) населения – часть личных доходов, которую их владельцы направляют на потребление и сбережение: ![]()
ЛРД = ЛДН – НП. (15)
Доля этой части в общем объеме составит:
d =
=
. (16)
Среднедушевые денежные доходы населения (или средние по домашним хозяйствам) исчисляют делением общей суммы денежного дохода за год на среднегодовую численность населения (или число домашних хозяйств). Таблицу среднедушевых доходов населения представлена в таблице 5 (приложение 3).
2.2. Методы изучения динамики реальных доходов населения
При наличии инфляции на всякий темп роста денежных доходов может свидетельствовать об ухудшении уровня жизни населения.
С целью устранения фактора изменения цен, приводящего к изменению покупательной способности денег, номинальные и располагаемые денежные расходы (доходы) населения рассчитываются в реальном выражении с корректировкой на индексы потребительских цен (сводный и субиндексы на отдельные товарные группы).
Расчет показателей в реальном выражении осуществляется делением соответствующих показателей текущего периода на индекс потребительских цен (ИПЦ рубля), или умножением на индекс покупательной способности денег (ИПЦ).
Реальные располагаемые доходы населения рассчитываются по формуле:
РРД = (ЛДН - НП) * Iп.с.р. , (17)
где Iп.с.р.
=
.
Аналогично рассчитываются реальные общие доходы (РОД) населения – как совокупные доходы (СДН) с поправкой на покупательную способность денег:
РОД =
. (18)
Динамика реальных денежных доходов населения представлена в таблице 6 (приложение 4).
2.3. Потребление населением материальных благ и услуг
Важными характеристиками уровня жизни населения являются уровень и структура потребления материальных благ и услуг, где объектами статистического наблюдения являются потребительские единицы (условная единица). Они дают возможность сопоставить между собой по уровню потребления домашние хозяйства с различными по возрасту и полу потребительскими единицами (по шкале коэффициентов приведения за условную потребительскую единицу принимается, например, мужчина в возрасте 18-59 лет). Используя потребительскую единицу, можно рассчитать показатель среднедушевого потребления как отношение количества потребленного продукта питания к числу условных потребителей.
Важнейшей реальной величиной конечного потребления является объем фактического потребления домашних хозяйств, которое обеспечивается не только за счет реального дохода, но и за счет социальных трансфертов.
Объем фактического потребления включает потребление товаров и услуг. Все товары, потребляемые населением, имеют следующую структуру:
· товары первой необходимости (продукты питания, повседневная одежда, жилье и т.д.);
· товары отложенной необходимости (книги, бытовая техника, теле- и радиоаппаратура, машины и т.д.);
· предметы роскоши (дорогая одежда, дорогая мебель, ювелирные изделия, деликатесные продукты питания и т.д.).
В объеме услуг принято выделять:
· услуги производственные (ремонт бытовой техники, ремонт предметов повседневного потребления и т.п.);
· услуги хозяйственного назначения (внутренний ремонт жилья, наружный ремонт жилья и т.п.);
Все услуги могут быть предоставлены либо на бесплатной основе, либо на платной (рыночные услуги).
Часть денежных затрат на покупку потребительских товаров и личных услуг текущего потребления есть потребительские расходы населения. Почти половину всех расходов в бюджете домашних хозяйств составляют затраты на питание. Расходы на питание представлены в таблице 7 (приложение 5).
Чем выше абсолютная величина затрат на питание в среднем на одного члена домохозяйства, тем ниже уровень жизни данного домохозяйства, и наоборот.
Широко используемым статистическим показателем потребления является уровень личного потребления (индивидуального потребления). Он исчисляется как отношение объема товаров и услуг, потребленных населением за год, к среднегодовой численности населения, как в целом, так и по групповым показателям. Статистические данные личного потребления характеризуют не только благосостояние населения, но и важны для определения многих макроэкономических показателей.
В статистике потребления используются различные коэффициенты и индексы.
Динамика общего потребления изучается с помощью агрегатного индекса объема потребления Iоп , который рассчитывается следующим образом:
(19)
где Iоп - агрегатный индекс объема потребления;
a1 , a0 - количество потребленных товаров в отчетном и базисном периодах;
b1 , b0 - количество потребленных услуг в отчетном и базисном периодах;
p0 , r0 - цена товара и тариф за определенную услугу в базисном периоде.
При статистическом исследовании зависимости объема потребления от дохода используется коэффициент эластичности Кэ , который характеризует величину возрастания или снижения потребления товаров и услуг при росте дохода на 1% (в теории статистики это формула А. Маршалла):
(20)
где Кэ - коэффициент эластичности;
х, у - начальные доход и потребление;
x, y – их приращения за некоторый период (или при переходе от одной группы к другой).
Если Кэ > 1, то потребление растет быстрее, чем доходы.
Если Кэ = 1, то между доходом и потреблением имеет место пропорциональная зависимость.
Если Кэ < 1, то доход растет быстрее, чем потребление.
2.4. Показатели социальной дифференциации и бедности населения
Уровень жизни характеризуется показателями дифференциации материальной обеспеченности населения (дифференциации населения по уровню дохода), среди которых можно выделить:
· распределение населения по уровню среднедушевых денежных доходов;
· коэффициент дифференциации доходов;
· индекс концентрации доходов (коэффициент Джини);
· коэффициент бедности.
Важнейшим методом исследования дифференциации доходов населения является распределение населения по уровню среднедушевых денежных доходов на основе построения вариационных рядов. Эмпирические данные выборочного обследования бюджетов домашних хозяйств ранжируются и группируются в определенных интервалах по величине дохода. Для статистических характеристик здесь используются: среднее значение душевого дохода; модальный доход (чаще всего встречающийся уровень дохода населения); медианный доход (показатель дохода, расположенный в середине ранжированного ряда распределения); средний доход (общий средний уровень дохода всего населения).
Данные о распределении населения России по размеру среднедушевых денежных доходов с 2000 по 2006 г. Приведены в таблице 5(см. приложение 3).
Модальный и медианный доходы - это важные структурные показатели, которые характеризуют отклонение среднедушевого дохода от среднего значения для каждой группы. Как правило, результаты исследований свидетельствуют, что одна половина населения имеет доход ниже среднего, а вторая половина - выше среднего.
Широко распространен в статистических исследованиях по неравенству в распределении доходов децильный коэффициент дифференциации доходов , который исчисляется как отношение минимального дохода у 10% наиболее обеспеченных граждан к максимальному доходу 10% наименее обеспеченных граждан. Коэффициент дифференциации доходов Кd рассчитывается путем сопоставления девятого (d9 ) и первого (d1 ) децилей:
. (21)
где Кd - коэффициент дифференциации доходов;
d9 - девятый дециль;
d1 - первый дециль.
Нижний дециль (d1 ) – самые низкие доходы, определяется по формуле:
. (22)
Верхний предел (d9 ) – самые высокие доходы, определяется по формуле:
=
. (23)
Функционально очень близким к децильному коэффициенту дифференциации доходов является коэффициент фондов Кф , с помощью которого измеряют различие между суммарными (средними) значениями доходов 10% наиболее обеспеченной (Ч10 ) и 10% наименее обеспеченной (Ч1 ) части населения.
(24)
где Кф - коэффициент фондов;
Ч10 - наиболее обеспеченная часть населения;
Ч1 - наименее обеспеченная часть населения.
Индекс концентрации доходов (коэффициент Джини) КG служит для измерения отличия фактического распределения доходов по численно равным группам населения от их равномерного распределения (степень неравенства в распределении доходов населения). Данный индекс исчисляется по формуле:
. (25)
где КG - индекс концентрации доходов (коэффициент Джини);
xi – доля населения принадлежащая к (i-1) социальной группе в общей численности населения;
yi – доля доходов, сосредоточенная у i-той социальной группы населения;
n – число социальных групп;
cumyi - кумулятивная (исчисленная нарастающим итогом) доля дохода.
Коэффициент Джини изменяется в пределах от 0 (совершенное равенство) до 1 (совершенное неравенство), т.е. чем ближе индекс к 1, тем выше поляризация доходов в обществе. В России максимальная дифференциация доходов населения достигла в 2006 г., когда коэффициент Джини имел значение 0,410 (для сравнения в 2000 г. – 0,395).
Для статистических характеристик уровня жизни важно установление границ дохода, обеспечивающих минимально допустимый уровень, т.е. определение прожиточного минимума (стоимостная оценка минимального набора продовольственных и непродовольственных товаров, а также обязательные платежи и сборы). Прожиточный минимум позволяет установить границы бедности. Данные Приведены в таблице 8 (Приложение 6).
Коэффициент бедности - относительный показатель, который рассчитывается как процентное отношение численности граждан, чьи доходы ниже прожиточного минимума, к общей численности населения страны. В настоящее время (с 1990 г.) в мире установлен порог бедности, равный 1 доллару США в день.
Теперь рассмотрим практическое применение законов распределения при изучении показателей уровня жизни населения. При изучении и решении задач по теории вероятностей и математической статистике, статистике, многомерным статистическим методам, эконометрике студенты сталкиваются с трудностями, вызванными громоздкостью и сложностью вычислительных процедур, что в конечном итоге приводит к большим интеллектуальным усилиям и неоправданным временным затратам. Чтобы улучшить содержательную часть решаемых задач; повысить эффективность учебного процесса за счет сокращения рутинных процедур, эффективного поиска правильного решения за счет быстрой, программной реализации большого количества альтернативных способов решения применяются статистические пакеты прикладных программ. C одним из них мы познакомимся в следующей главе.
3.Практическое применение законов распределения при изучении уровня жизни населения
3.1. Расчет статистических характеристик величин с использованием пакета MINITAB.
Статистический пакет MINITAB был разработан в Пенсильванском государственном университете для облегчения изучения различных статистических дисциплин. Сейчас MINITAB используется более чем в 2000 учебных заведений во всем мире. Более 75 % компаний, входящих в, так называемые Top 50 (по данным журнала Fortune), используют данный пакет в своей работе.
Статистический пакет MINITAB состоит из следующих основных окон:
- окно данных (Data Window);
- окно результатов (Session Window);
- информационное окно (Info Window);
- окно записи использованных команд (History Window);
- графическое окно (Graph Window);
- окно для помощи (Help Window).
Пример 1. По данным таблицы 10 (приложение 7) провести расчет статистических характеристик величин.
В колонках С1, С2 отражены следующие данные:
С1 – валовая доход, в среднем на человека домохозяйства;
С2 – расходы на продукты, в среднем на человека домохозяйства.
Если необходимо получить новый столбец, каждый элемент которого содержал бы сумму (разницу, произведение) двух других, то Осуществление арифметических операций над данными в колонках.
Для этого необходимо выполнить следующие действия: Calc > Calculator На экране появится следующее диалоговое окно:

Рис.1. Внешнийвидокна Mathematical Expressions.
Для получение описательной статистики данных, находящихся в одной колонке необходимо выполнить следующие действия: Stat > Basic Statistics > Descriptive Statistics. На экране появится следующее диалоговое окно, которое изображено на рис 2. Необходимо указать название колонки с данными, например, колонка С1-(SALARY).
![]() |
Рис. 2. Внешнийвидокна Descriptive Statistics.
В результате выполнение данной операции (см. рисунок 3) в окне результатов (Session Window) появится следующие данные:
Рис. 3. Окно результатов (Session Window).
где N – количество данных в столбце SALARY
MEAN – среднее значение;
MEDIAN – значение медианы;
STDEV – среднеквадратическое отклонение;
MIN и MAX – минимальное и максимальное значение валового дохода.
Для расчета коэффициента корелляции необходимо выполнить следующие действия: Stat > Basic Statistics > Correlation.
На экране появится следующее диалоговое окно:
Рис. 4. Внешний вид окна Correlation.
Для получения коэффициента корреляции между валовым доходом и расходом на продукты необходимо указать в окне «Переменные» (Variables) колонки С1 и С2.
В результате выполнение данной операции в окне результатов (Session Window) появится следующие данные:
Pearson correlation of Salary and Расход на продукту = 0,975.
Мы можем сделать вывод, что между этими показателями присутствует прямая связь, и что показатель расходы на продукцию зависит от валового дохода.
Для получения суммарного показателя по столбцу (суммы, среднего) и т.д. необходимо зайти Calc > Column statistics и заполнить диалоговое окно, как это показано на рисунке 5.

Рис. 5. Диалоговое окно статистики по столбцам.
Ранжирование данных осуществляется следующим образом: Manip > Rank. На экране появится окно, которое показано на рис. 6.

Рис. 6. Внешний вид окна Rank.
Для ранжирования данных необходимо указать следующие характеристики: название колонки, которая будет ранжирована (для этого необходимо дважды щелкнуть мышкой по названию колонки, расположенной на экране с левой стороны) и название колонки, в которой будут храниться ранги колонки.
Для построения графиков необходимо выполнить следующие действия: Graph > (Plot, Chart, Histogram, Boxplot, Time Series Plot). После выбора команды Graph необходимо выбрать один из типов графиков, которые перечислены в скобках. Если выбрали Plot , то в результате на экране появится диалоговое окно, которое показано на рисунке 7.

Рис. 7. Внешний вид диалогового окна Plot.
Необходимо указать какая из колонок будет являться X, а какая Y. После этого нажать OK или клавишу «Enter». На экране появится график, изображенный на рисунке 8.

Рис. 8. График, полученный при построении в режиме Plot.
3.2. Дисперсионный анализ показателей уровня жизни населения
Дисперсионный анализ применяется во всех областях научных исследований, где необходимо проанализировать влияние различных факторов на исследуемую переменную. Применим дисперсионный анализ при изучении показателей уровня жизни в следующем пункте.
Дисперсионный анализ – анализ изменчивости признака под влиянием каких-либо контролируемых переменных факторов. С помощью дисперсионного анализа изучим показатели уровня жизни населения, представленные в таблице 13 (см. приложение 8).
Дисперсионный анализ применяется во всех областях научных исследований, где необходимо проанализировать влияние различных факторов на исследуемую переменную. Применим дисперсионный анализ при изучении показателей уровня жизни в следующем пункте.
При исследовании зависимости средней оценки Y по математической статистике в группе от показателей уровня жизни (В1 — расходы на здравоохранение на душу населения, В2— количество больничных коек на 10000 человек, В3— количество человек на 1 врача, В4 — обеспеченность водой на душу населения, В5—протяженность автомобильных дорог,В6—количество человек на 1 транспортное средство), стран (А1—Россия, А2—Азербайджан, А3—Белоруссия, А4—Грузия, А5—Казахстан, А6—Молдавия, А7—Таджикистан, А8—Узбекистан) и их взаимодействия было выделено случайным образом 48 групп, которые приписывались в равных количествах. Данные необходимые для проведения двухфакторного дисперсионного анализа приведены в табл.13(см. приложение8).
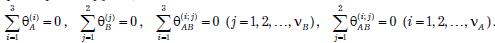
1. Детерминированная модель двухфакторного дисперсионного анализа (с повторениями) средней оценки по математической статистике в группе имеет следующий вид:
![]()
=1,2,3,4,5,6;
=1,2,3,4,5,6,7
где
— неслучайные эффекты влияния на наблюдение
уровней
факторов A
и B
и взаимодействия этих уровней,
— случайный эффект влияния прочих неконтролируемых факторов.
К этой модели предъявляются следующие требования:
· Все n = 6*7=42 случайных величин
или, иначе все 36 наблюдений
должны быть независимыми;
·
или, иначе,
, т.е при каждой комбинации уровней факторов наблюдения должны проводиться в одинаковых (нормальных) вероятностных условиях с дисперсией, не изменяющейся при переходе от одной комбинации уровней факторов к другой;
· ![]()
2. Введем исходные данные в рабочий лист Microsoft Excel (рис.9).
Для исследования модели воспользуемся программой «Двухфакторный
дисперсионный анализ с повторениями», выбрав соответствующий пункт меню надстройки «Анализ данных».
В появившемся окне ввода данных (рис. 10) укажем входной интервал
A1:G8, в который мы ввели исходные данные (с заголовками групп строк и столбцов — обозначениями уровней факторов), число строк для выборки
(число наблюдений при каждой комбинации уровней факторов), уровень значимости Альфа (по условию α = 0,05). Укажем, что результаты работы программы необходимо вывести на новый рабочий лист.
Результаты работы программы представлены на рис. 9.

Рис. 9. Числовые данные для программы
«Двухфакторный дисперсионный анализ с повторениями»

Рис.10. Окно ввода данных программы
«Двухфакторный дисперсионный анализ»
Рис.11. Результаты работы программы
«Двухфакторный дисперсионный анализ»
Таблица «Дисперсионный анализ», полученная в результате работы программы (рис. 11), представляет собой дисперсионную таблицу.
В этой таблице «Выборка» — это фактор A, «Столбцы» — это фактор В, «Взаимодействие» — это взаимодействие факторов Aи B, «Внутри» — это неконтролируемые факторы, «SS» — сумма квадратов, «df» — число степеней свободы, «MS» – средняя сумма квадратов, равная отношению SS к df, «F» — числовое значение статистики F , соответствующей проверяемой гипотезе, «P-
значение» — это рассчитанный уровень значимости, «F критическое» —
100α%-ная критическая точка распределения Фишера — Снедекора с соответствующими числами степеней свободы.
| Источник вариации величины Y | Показатель вариации (SS) | Число степеней свободы(df) | Оценка дисперсии
|
| Фактор А(выборка) | |||
| Фактор В(столбцы) |
=30922890603 |
||
| Взаимодействие факторов А и В |
=65535 |
||
| Остаточные факторы(внутри) |
=623834941 |
||
| Общая вариация |
Рассмотрим дисперсионную таблицу ниже:
В условиях задачи
=7,
=6,
=6.
;
;
.
Проверим на 5%-ном уровне значимости гипотезу
об отсутствии влияния на среднюю оценку Y
фактора A
— метода обучения.
Наблюдаемое значение статистики
![]()
равно 65535/623834941=0,00010505.
Если гипотеза
верна, то статистика
имеет распределение
Фишера — Снедекора с
=6 и
=0 степенями свободы. При проверке гипотезы
Р-значение (которое приводится в результатах работы программы в таблице «Дисперсионный анализ» на рис. 9) равно вероятности Р={
>65535}=0,001554348 (т. е. рассчитанному уровню значимости гипотезы
), и гипотеза
, поскольку отвергается, поскольку P
< α.
Другой способ получить тот же вывод — сравнить наблюдаемое значение статистики
(«F» из таблицы на рис.9) с соответствующей критической точкой
(«F критическое» из таблицы на рис.9):гипотеза HA
отвергается на 5%-ном уровне значимости, так как наблюдаемое значение статистики (в данном случае 65535) больше критической точки; 2; 12 (в данном случае 1,56781203).
Аналогичным образом отвергаются гипотезы
об отсутствии влияния на среднюю оценку Y
по математической статистике фактора B
— будущей специальности) и
(об отсутствии влияния на среднюю
оценку Y взаимодействия метода обучения и будущей специальности). Таким образом, метод обучения, будущая специальность и их взаимодействие
влияют на среднюю оценку по математической статистике в группе. Оценим силу этого влияния, вычислив соответствующие коэффициенты детерминации.
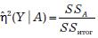
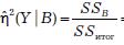
3. Поскольку коэффициент детерминации
=0/27967435937=0, то 0% общей вариации средней оценки Y обусловлено неизменчивостью фактора А.
Так как
=12371562412/27967435937=0,44, то 44% общей вариации средней оценки Y обусловлено изменчивостью фактора В. Ввиду того, что
=0/27967435937=0, 0% общей вариации средней оценки Y обусловлено взаимодействием А и В.
Влиянием неконтролируемых факторов обусловлен 100 – 0 – 44 – 0 =66 % вариации средней оценки по математической статистике.
3.3 Практическое применение средних величин показателей вариации при изучении уровня жизни населения
По данным таблицы 10 (см. приложение 7) имеются данные по домашним хозяйствам населения района в тыс.руб.
Построим статистический ряд распределения по признаку валовый доход в среднем на одного члена домохозяйства в год, образовав 5 групп с равными интервалами.
Приступаем к расчетам: х –валовой доход, у – расходы, n = 5, N = 30. Находим величину интервалов (i) по формуле:
,
.
И так величина нашего интервала = 12, приступаем к группировке.
1 Группа – 22,1 – 34,1.
2 Группа – 34,1 – 46,1.
3 Группа – 46,1 – 58,1.
4 Группа – 58,1 – 70,1.
5 Группа – 70,1 – 82,1.
Строим график полученного ряда распределения.

Рис. 12. График ряда распределения по полученным 5 группам.
По графику определяем моду и медиану, в нашем случае они совпадают – это самая верхняя точка графика, она принадлежит 3 группе (46,1 – 58,1) и имеет частоту в 11 домохозяйств.
Построив итоговую таблицу (графа w – доля домохозяйств с частотой f;
), мы можем приступить к расчетам характеристик интервального ряда распределения (см. таблица 11, приложение 7): средней арифметической -
,
(тыс.руб.); среднего квадратического отклонения –
,
; коэффициента вариации –
,
.
Вычисляем среднюю арифметическую по исходным данным: для этого складываем все значения валового дохода на 1 члена домохозяйства в год и делим на количество всех домохозяйств
,
(тыс. руб).
Средние арифметические отличаются, так как в первом случае мы находили взвешенную среднюю (в качестве веса выступало число домохозяйств в данной группе), а во втором простую среднюю по несгруппированным данным.
Таким образом, в данной курсовой работе были рассмотрены такие вопросы, как сущность закона распределения и его виды; статистическая оценка законов распределения; понятие «уровень жизни населения и его показатели», практическое применение законов распределения при изучении уровня жизни населения. По первому вопросу можно сделать следующие выводы. Уровень жизни является одной из важнейших социальных категорий, которая характеризует потребности человека и возможности их удовлетворения. Важнейшими составляющими уровня жизни выступают доходы населения и его социальное обеспечение, потребление им материальных благ и услуг, условия жизни.
Важнейшая задача статистики уровня жизни – выявление закономерностей изменения благосостояния населения. Для этого проводятся исследования, охватывающие как всю страну, так и ее регионы, социально-демографические группы населения и различные типы домашних хозяйств. Это позволит проследить различия в уровне жизни в зависимости от экономических, национальных, природно-климатических и других особенностей, а также от доходов населения. Результаты исследования могут носить либо общий характер, либо частный, связанные, например, с оценкой потребления населением конкретных благ и обеспеченности его различными услугами. Повышение уровня жизни – это не только результат экономического роста, но и его условие. Законы распределения представляют собой один из наиболее важных элементов статистического исследования.
Законы распределения являются базисным методом для любого статистического анализа.
Изучив основные приемы исследования и практики применения законов распределения, а также методику вычисления наиболее важных статистических величин, необходимо отметить, что конечная цель изучения статистики в целом - анализ изучаемого явления, который крайне важен для всех сфер человеческой жизни. Анализ отображает явления в целом и вместе с этим учитывает влияние каждого фактора в отдельности. На основании проведенного анализа можно учитывать и прогнозировать факторы, негативно влияющие на развитие событий.
Социально-экономическая статистика обеспечивает предоставление важной цифровой информации об уровне и возможностях развития страны: ее экономическом положении, уровне жизни населения, его составе и численности, рентабельности предприятий, динамике безработице и т.д. Статистическая информация является одним из решающих ориентиров государственной экономической политики.
Статистические методы используют комплексно (системно). Выделяют три основные стадии экономико-статистического исследования: сбор первичной статистической информации, статистическая сводка и обработка первичной информации, обобщение и интепретация статистической информации.
Качество, достоверность статистической информации определяют эффективность использования статистики на любом уровне и в любой сфере.
В настоящее время ведется работа по совершенствованию статистической методологии и завершению перехода Российской Федерации на принятую в международной практике систему учета и статистики.
1. Ефимова М.Р., Бычкова С.Г. Практикум по социальной статистике:
Учеб. пособие / Под ред. М.Р. Ефимовой. – М.: Финансы и статистика, 2005. - 448с.
2. Ефимова М.Р., Бычкова С.Г. Социальная статистика: Учеб. пособие / Под ред. М.Р. Ефимовой. – М.: Финансы и статистика, 2005. – 560с.
3. Заварина Е.С. Основы региональной статистики: учебник / Е.С. Заварина, К.Г. Чобану; под ред. Е.С. Завариной. – М.: Финансы и статистика, 2006. – 416с.
4. Октябрьский П.Я. Статистика: Учебник. – М.: ТК Велби, Изд-во Проспект, 2003. – 328с.
5. Переяслова И.Г., Колбачев Е.Б., Переяслова О.Г. Статистика. Серия «Высшее образование». – Ростов н/Д: «Феникс», 2003. – 288с.
6. Практикум по социальной статистике: Учеб. пособие / Под ред. И.И. Елисеевой. – М.: Финансы и статистика, 2002. – 368с.
7. Статистика: Учеб. пособие / А.В. Багат, М.М. Конкина,В.М. Симчера и др.; Под ред. В.М. Симчеры. – М.: Финансы и статистика, 2005. – 368с.
8. Статистика: Учеб. пособие / Харченко Л.П., Ионин В.Г. и др.; Под ред. канд. экон. наук В.Г. Ионина.–Изд. 2-е перераб. и доп. - М.: ИНФРА-М, 2005. – 384с.
9. Журнал «Вопросы статистики»: 4 / 2007, с. 10-11, 29-31.
10. Российский статистический ежегодник. Официальное издание Росстата.
11. Социальное положение и уровень жизни населения России. Статистический сборник. Официальное издание Росстата.
