| Скачать .docx | Скачать .pdf |
Реферат: Статистическое изучение динамики общественных явлений
министерство образования и науки республики казахстан
РГП карагандинский государственный индустриальный университет
кафедра УЧЁТА И АУДИТА
Реферат
По дисциплине: Статистика
Тема: Статистическое изучение динамики общественных явлений
Выполнил: ст. гр. Э-09 Першина Н.
Проверил:
Асс.Лежнева В.М.
Темиртау,2010
Развитие общественных явлений во времени называется динамикой. Ряд статистических показателей, характеризующих развитие общественных явлений во времени, называется рядами динамики. Значение рядов динамики состоит в том, что они дают возможность выявить закономерности развития явлений, облегчают их анализа. Каждый ряд состоит из 2-х граф: в одной указываются периоды или даты времени, во второй – числовая характеристика изучаемого явления в эти периоды, называемая уровнем ряда. Уровни ряда могут выражаться абсолютными, средними и относительными величинами. Временные ряды, состоящие из абсолютных величин, могут быть двух видов: интервальные и моментные. В интервальном ряду приводятся данные, характеризующие состояние явления за данный период времени.
Особенностью интервальных рядов динамики является то, что данные этих рядов можно суммировать и получать новые численные значения, относящиеся к более длительным периодам времени.
Моментный ряд динамики состоит из показателей, характеризующих состояние явления на определенные моменты времени.
Уровни моментных рядов складывать нельзя, так как слагающие явления единицы последовательно повторяются в различных уровнях ряда, поэтому их сумма не имеет смысла.
К суммированию показателей интервального ряда часто прибегают для построения рядов динамики с нарастающими итогами.
Нарастающие итоги часто приводятся в отчетах предприятий.
Если ряд динамики состоит из относительных или средних величин, то суммировать их нельзя, но разность их имеет реальный смысл.
Для правильного построения рядов динамики необходимо соблюдать ряд требований:
1) Все показатели ряда динамики должны быть достоверными, точными, научно обоснованными.
2) Все показатели ряда должны быть сопоставимы. Основным условием сопоставимости статистических показателей является одинаковая методология их определения.
3) Показатели ряда динамики должны быть сопоставимы по территории, к которой они относятся.
4) Показатели ряда динамики должны быть сопоставимы во времени, т.е. они должны быть исчислены за одни и те же периоды времени или же на одну и ту же дату.
5) Все показатели ряда должны быть приведены в одних и тех же единицах измерения.
6) Должна соблюдаться сопоставимость цен.
При изучении рядов динамики статистика решает ряд задач:
1) измеряет абсолютную и относительную скорость роста либо снижения уровня за отдельные промежутки времени:
2) дает обобщающие характеристики уровня и скорости его изменения за тот или иной период;
3) выявляет и численно характеризует основные тенденции развития явления на отдельных этапах;
4) дает сравнительную числовую характеристику развития данного явления в разных регионах или на разных этапах;
5) выявляет факторы, обусловливающие изменение изучаемого явления во времени;
6) делает прогнозы развития явления в будущем.
Для сравнения между собой отдельных уровней ряда динамики рассчитываются следующие показатели: абсолютные приросты, темпы роста (коэффициенты роста), темпы прироста и абсолютное значение одного процента прироста. Расчет этих показателей основан на сравнении между собой уровней ряда динамики. При этом уровень, с которым производится сравнение, может быть базисным или цепным.
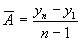
Абсолютный прирост показывает, насколько в абсолютном выражении уровень отчетного периода больше или меньше уровня базисного периода. Абсолютный прирост рассчитывается как с постоянной, так и переменной базой сравнения. Абсолютный прирост за единицу времени измеряет абсолютную скорость роста или снижения уровня.
![]()
(переменная база сравнения)
![]()
(постоянная база сравнения)
- уровень ряда, принятого за базу сравнения.
Коэффициент роста, темп прироста и абсолютное значение 1% прироста характеризуют интенсивность процесса роста.
Коэффициент роста показывает, во сколько раз уровень отчетного периода больше или меньше уровня базисного и рассчитывается как с переменной, так и с постоянной базой сравнения.
С переменной базой сравнения
, с постоянной базой сравнения
. Коэффициент роста может быть больше единицы, меньше единицы, равен единице. Коэффициенты роста, выраженные в процентах, носят название темпов роста.
,
.
Ели коэффициенты роста, рассчитанные с переменной базой сравнения, характеризуют изменение явления от периода к периоду, то коэффициенты роста с постоянной базой – непрерывную линию развития.
Темп прироста показывает, на сколько процентов уровень отчетного периода больше или меньше уровня базисного.
При переменной базе сравнения:
или
.
При постоянной базе сравнения:
или
.
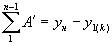
Абсолютное значение 1% прироста (А1%):
или
.
Между показателями динамики, вычисленными с постоянной и переменной базой, существует определенная связь. Так, сумма абсолютных приростов с переменной базой
дает общий прирост за исследуемый период.
,
где n – число уровней динамики ряда.
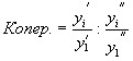
При сопоставлении динамики развития двух явлений можно использовать показатель, предоставляющий собой отношение темпов роста за одинаковые отрезки времени по двум динамическим рядам. Этот показатель называют коэффициентом опережения.

![]()
где
,
– соответствующие уровни сравниваемых динамических рядов. С помощью этого коэффициента могут сравниваться динамические ряда одинакового содержания, но относящиеся к разным территориям или к различным организациями или ряда разного содержания, характеризующие один и тот же объект.
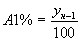
Для получения обобщающей характеристики интенсивности развития явления за длительный период исчисляют средние показатели динамики.
Средний уровень ряда динамики исчисляется различно в зависимости от вида ряда. Для интервального ряда он рассчитывается по формуле средней арифметической простой:
,
где
– число уровней ряда.
Для моментного ряда с равными интервалами по формуле средней хронологической простой:
.
Для моментного ряда с неравными интервалами по формуле средней хронологической взвешенной:
,
где t – промежутки времени.
Все остальные средние показатели для интервальных и моментных рядов динамики исчисляются одинаково.
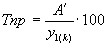
Средний абсолютный прирост (
) определяется по формуле средней арифметической из абсолютных приростов, исчисленных с переменной базой.
или
,
где
,
– конечный и начальный уровни динамического ряда.
Средний коэффициент роста определяется по формуле средней геометрической из коэффициента роста за отдельные периоды:
![]()
где n – число ур.ряда.
или
.
Средний темп роста представляет собой средний коэффициент роста, выраженный в процентах:
.
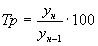
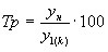
Средний темп прироста определяется исходя из темпа роста:
или
.
В практике статистики нередко возникает необходимость сравнения между собой рядов динамики двух или более родственных или взаимосвязанных явлений (уголь и нефть, шерсть и шелк). Для этого нужно преобразовывать абсолютные показатели сравниваемых рядов динамики в относительные, приняв показатели какого-либо одного года за 1 или 100. Такое преобразование рядов динамики, состоящее из абсолютных величин, в сопоставимые между собой ряда относительных величин, называется приведением их к общему основанию.
Иногда уровни явления за одни годы несопоставимы с уровнями за другие годы из-за территориальных, ведомственных или иных изменений. В данном случае используют в статистике прием, называемый смыканием рядов динамики.
Пусть в 1990 г. произошло изменение границ области, в связи с чем, данные за 1988-1989 гг. оказались несопоставимы с данными 1992-1992гг.
Чтобы сомкнуть эти ряды, примем в каждом из них базу сравнения уровень 1990 г., за который есть данные как в прежних, так и в новых границах района. Затем эти два ряда с одинаковой базой сравнения можно заменить одним сомкнутым рядом динамики. Однако можно рассчитать и абсолютные уровни ряда в новых границах. Далее полученный коэффициент умножаем на уровень ряда в старых границах (2100 · 1,03 и 2100 · 1,01). Нужно иметь в виду, что результаты, полученные путем смыкания рядов динамики, содержат в себе некоторую погрешность.
Графически динамика явлений наиболее часто изображается в виде столбиковых и линейных диаграмм. Линейные диаграммы наиболее соответствуют характеру моментных наблюдений. Интервальные показатели лучше изображать столбиками только в том случае, если число уровней невелико. Применяются также и секторные диаграммы.
Одна из важнейших задач анализа динамики – выявление и количественная характеристика основной тенденции развития явления. Под тенденцией понимается общее направление к росту, снижению или стабилизации уровня явления с течением времени. Однако рост и снижение уровня могут происходит либо равномерно, либо ускоренно, либо замедленно.
Под равномерным ростом или снижением здесь понимается рост (снижение) с постоянной абсолютной скоростью, когда цепные абсолютные приросты одинаковы. При ускоренном росте цепные приросты систематические увеличиваются по абсолютной величине, а при замедленном росте или снижении – уменьшаются. Однако практически уровни ряда динамики очень редко растут или снижаются строго равномерно. Поэтому при анализе динамики идет речь не просто о тенденции развития, а об основной тенденции достаточно стабильной и устойчивой на протяжении данного этапа развития.
Основной тенденцией (трендом) называется достаточно плавное и устойчивое изменение уровня явления во времени, более или менее свободное от случайных колебаний. Основную тенденцию можно представить либо аналитические – в виде управления (модели) тренда, либо графически. В тех случаях, когда уровень ряда динамики то повышается, то понижается или же изменяется в одном направлении, но очень неравномерно, целесообразно сравнивать и использовать при расчете показателей динамики не годовые, а более типичные среднегодовые уровни, изменение которых лучше отражает основную тенденцию развития. Возможны и другие способы и приемы выявления и характеристики основной тенденции.
Способ укрупнения интервалов. Этот способ заключается в переходе от интервалов менее продолжительных к более продолжительным (переход от суток – к неделям, от месяцев – к кварталам или годам, от годовых интервалов – к многолетним). Если уровни ряда динамики колеблются с более или менее определенной периодичностью, волнообразно, то укрупненный интервал целесообразно взять равным периоду колебаний (длине волны цикла). Если же такая периодичность отсутствует, то укрупнение производят постепенно от малых интервалов ко все более крупным, пока общее направление тренда не станет явным.
Метод скользящей средней. Он заключается в том, что вычисляется средний уровень из определенного числа первых по порядку уровней ряда, затем – средний уровень из такого же числа уровней начиная со второго и т.д. Полученная средняя относится к середине укрупненного интервала.
;
;
.
Скользящая средняя имеет недостатки:
1) невозможность получения уровней для концов сглаживаемого ряда;
2) произвольность выбора интервала сглаживания.
Выравнивание ряда по прямой.
,
где t – время (порядковый номер интервала или момент времени).
Расчет параметров значительно упрощается, если
.
min
![]()
, следовательно
– средний уровень ряда;
, следовательно
– средний абсолютный прирост.
При нечетном числе уровней ряда, уровень, находящийся в середине ряда, принимается равным нулю. Даты времени, стоящие выше этого времени, будут обозначаться натуральными числами со знаком « – »: – 1; – 2; – 3; ниже со знаком « + »: +1; +2; +3. Сумма t должна быть равна нулю.
После нахождения параметров уравнения составляется уравнение прямой ряда динамики. По нему рассчитываются уровни выравненного ряда динамики. Правильность расчета уровней выравненного ряда динамики может быть проверена следующим образом: сумма значений эмпирического ряда должна совпадать с суммой вычисленных значений уровней выравненного ряда
. Затем графически изображают уровни эмпирического ряда и выравненного.
Прогнозирование – это определение ориентировочных размеров явлений в будущем. Продление тенденции в будущем, наблюдавшейся в прошлом, называется экстраполяцией. Возможность экстраполяции обеспечивается двумя обстоятельствами:
1) общие условия, определяющие тенденцию развития в прошлом, не претерпевают существенных изменений в будущем;
2) тенденция развития явления характеризуется тем или иным аналитическим уравнением.
Интерполяция – приближенный расчет уровней, лежащих внутри ряда динамики, но почему-то неизвестных. При изменении уровней ряда в арифметической прогрессии
,
где
,
– рядом лежащие уровни.
Если уровни изменяются в геометрической прогрессии
.
Возможна также следующая формула:
,
где Т – темп роста;
t – длина промежутка между годом, для которого делается интерполяция и базисным годом.
Сезонные колебания – это сравнительно устойчивые внутригодичные колебания явления. Они вызываются рядом объективных причин (природно-климатическими) и ведут к ухудшению показателей работы предприятий. Анализ сезонных колебаний необходим для улучшения оперативного планирования и разработки мероприятий для уменьшения их отрицательных воздействий.
При изучении сезонной неравномерности перед статистикой ставятся две задачи:
выявить сезонную неравномерность;
определить ее размеры (рассчитать сезонную волну).
Наличие сезонной неравномерности выявляется при помощи графического метода. Для этого используются линейные диаграммы, на которые наносят данные о среднесуточном производстве товара по месяцам, но не менее чем за 3 года. На графике будут построены несколько ломанных линий. Среднесуточное производство из года в год может увеличиваться, однако если максимальный и минимальный объемы для всех трех лет приходятся на одинаковые месяцы, то можно говорить о наличии сезонной неравномерности.
Для измерения сезонных колебаний предложены следующие методы:
метод абсолютных разностей;
метод относительных разностей;
построение индексов сезонности.
При использовании метода абсолютных разностей вначале определяют средний уровень явления за каждый месяц по 3-х летним данным, затем определяют среднюю за весь рассматриваемый период.
Далее определяется абсолютное отклонение средних за каждый месяц от общей средней.
Метод относительных разностей является развитием метода абсолютных разностей. Для нахождения относительных разностей абсолютные отклонения делят на общую среднюю и выражают в процентах.
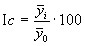
Глубину сезонных колебаний измеряют индексами сезонности.
,
где
– средняя из фактических средних уровней одноимен- ных месяцев;
– общая средняя за исследуемый период.
Индекс сезонности показывает, на сколько среднемесячное потребление каждого месяца отличается от общего среднего за весь период.