| Скачать .docx | Скачать .pdf |
Реферат: Исследование жизненного цикла товара
Исследование жизненного цикла товара
Барахов В.И.
,
к.т.н., начальник отдела АК "Туламашзавод"
Самочкин В.Н.
,
д.э.н., проф., директор по экономике АК "Туламашзавод"
Опубликовано в номере: Маркетинг в России и за рубежом №3 / 2002
В настоящее время предприятия, действующие в конкурентной среде, при изменчивых внешних воздействиях все большее значение придают проведению маркетинговых исследований своих товаров . Немаловажным является и то обстоятельство, что информация, приобретаемая в процессе таких исследований , используется при многовариантном анализе и обосновании управленческих решений по номенклатуре выпускаемых изделий, их количеству, ценам, потребительским свойствам и т. п. При недооценке значения результатов деятельности маркетинговой системы на предприятии становятся невостребованными его производственные мощности, интеллектуальный и кадровый потенциал. Динамика воздействия рыночного спроса на производимые товары должна отслеживаться службой маркетинга на всех этапах их жизненного цикла и учитываться в системах, отвечающих за качество и количество выпускаемых изделий, их цену, внедрение инноваций, освоение новых видов продукции.
В соответствии с теорией гибкости предприятия, обладая определенными способностью к обновлению и устойчивостью для обновления, оно должно постоянно осваивать известное количество новых изделий, чтобы присутствовать на рынке c необходимой долей востребованных товаров [1]. Одним из элементов практического применения этой теории является изучение жизненных циклов номенклатуры производимых товаров , поскольку их анализ определяет коэффициент обновления, требуемое количество изделий в освоении, моменты начала освоения новых изделий.
Рассмотрим жизненный цикл товара, основываясь на матрице Бостонской консультационной группы (БКГ) [2]. Матрица "скорость роста рынка - рыночная доля" классифицирует товары производителей с помощью двух параметров: относительной рыночной доли, характеризующей силу позиции предприятия на рынке, и скорости роста рынка, характеризующей его привлекательность (рис. 1).

Рис. 1. Матрица Бостонской консультационной группы
Идентификация товаров с помощью рассматриваемой матрицы подробно описана в [2].


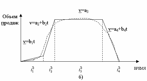
Рис.2.
Изменение объема продаж товара во времени:
а - кривая изменения; б - аппроксимация этой кривой.
Попытаемся решить первую задачу нашего исследования: обоснованно разбить жизненный цикл товара на отдельные этапы, соответствующие матрице БКГ. Можно изобразить изменение объема продаж во времени в виде кривой, приведенной на рисунке 2а. Эту кривую можно аппроксимировать полиномом n- й степени, где n определяется требуемой точностью аппроксимации:
(1)
Данные для аппроксимации могут быть или спрогнозированы или взяты с товаров - аналогов. Коэффициент уровня (1) определяют по стандартным программам методом наименованием квадратов. Аппроксимация кривой изменения объема продаж товара во времени, приведенная на рис. 2б, в виде отрезков прямых на каждом из этапов жизненного цикла позволяет обоснованно разбить его на 4-ре составляющие:
. Первому этапу "трудные дети" соответствует прямая
; при условии
; второму этапу "звезда" -
при условии
; третьему этапу "дойная корова"
при условии
- из описания этапов жизненного цикла можно заключить, что на этом его этапе объем продаж практически не изменяется; четвертому этапу "собака " -
при условии
. Точки оси времени, определяющие границы этапов:
Тц
, соответствуют пересечением отрезков прямых на каждом из них. Первая точка -
- граница между этапом "трудные дети" и "звезда" может быть определена из условия равенства нулю второй производной функции (1)
. Коэффициент в1
прямой V=в1
t можно найти из условия равенства интегралов
. (2).
Временные координаты точек пересечения прямых
и
и
, характеризующих границы этапов "звезда", "дойная корова" и "собаки " определяются аналогичным образом из условия равенства соответствующих площадей рис. 2б. Подобное разбиение жизненного цикла товара описано в [3]. Здесь он разбивается на 4-ре фазы: 1-я - внедрение; 2-я - рост; 3-я - зрелость; 4-я - падение. Каждая фаза имеет определенную длительность: 1-я - от начала производства до границы безубыточности; 2-я - от границы безубыточности до середины жизненного цикла; 3-я - от середины жизненного цикла до начала освоения нового изделия (аналога); 4-я - от начала освоения нового изделия до конца производства данного товара. Такое разбиение увязывает объем продаж товара с затратами на освоение, циклом освоения и производства изделий и поэтому может с успехом применяется для конкретного класса задач теории гибкого развития предприятия.
Вторая задача нашего исследования формулируется следующим образом. Жизненный цикл товара - это случайный процесс, подверженный воздействию множества случайных факторов рынка. Одни из них пытаются продвинуть товар на рынке, другие - вытеснить его с рынка. В результате товар случайным образом движется по этапам жизненного цикла, меняя их в случайные моменты времени. Попытаемся разработать модель жизненного цикла товара, с помощью которой найдем изменение неопределенности его состояния во времени при различных воздействиях рынка. Анализ полученных результатов позволит увидеть самые непредсказуемые, подверженные максимальным рискам временные интервалы жизненного цикла товара, на которые необходимо обратить повышенное внимание при принятии управленческих решений.
Исследуемый случайный процесс можно разбить на четыре состояния, применяя один из двух предложенных выше методов деления жизненного цикла на отдельные этапы. Назовем этапы состояниями. Анализируя "движение" товара по этапам жизненного цикла, можно сделать два важных вывода:
1. Состояния, в которых пребывает товар в процессе "движения" по рынку, являются дискретными и соответствуют матрице БКГ. Каждое из них харак теризуется определенными параметрами относительной рыночной доли и относительной скоростью роста объема продаж.
Поэтому последовательность состояний "движения" товара по рынку отвечает условию ординарности потока случайных событий, сопутствующих процессу, а вероятность его перехода из одного состояния в другое за малое время
t равно
ij
t, где
ij
- интенсивность перехода системы из состояния Si
в состояние Sj
. Таким образом, рассматриваемое " движение " товара может быть сведено к марковскому случайному процессу с дискретными состояниями и непрерывным временем.
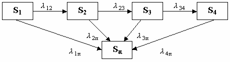
Граф состояний товара с указанными на нем плотностями вероятностей перехода из состояния в состояние (интенсивностями перехода) представлен на рис.2.

Рис. 3. Граф состояний товара
На рисунке 3 приняты следующие обозначения:
S 1 - состояние "трудные дети";
S 2 - состояние "звезды";
S 3 - состояние "дойные коровы";
S 4 - состояние "неудачники";
S п - состояние "небытия" - товар вытеснен с рынка.
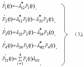
Как известно, процесс, описанный схемой марковского случайного процесса с дискретными состояниями и непрерывным временем, характеризуется вероятностью Рк (t) и среднем временем пребывания товара в каждом из его состояний. Вероятности пребывания товара в состояниях графа рис.2. описываются следующей системой Колмогорова:

где
.
При этом в любой момент времени t справедливо нормирующее условие:
, ( 4 )
а начальные условия запишутся в виде: при t=0
Р1 (0) = 1 , Р2 (0) = Р3 (0) = Р4 (0) = Рп (0) = 0 . ( 5 )
Решения системы (3) для вероятностей Рп (t) с учетом условий (4) и (5) приведены в [1].
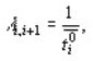
Средние времена пребывания товара в каждом из состояний Si графа на рисунке 3 определяются выражением
. (6)
Формула (6) с учетом выражений для Pi (t) конкретизируется следующим образом:
(7)
С целью выявления физической сути рассмотрим "движение" товара по жизненному циклу без возможности вытеснения его с рынка, т.е. при = 0. Подставив в формулы (7) = 0, после преобразований получим
(8)
где
- среднее время пребывания товара в i
-м состоянии графа на рисунке 3 без возможности вытеснения его с рынка.
Из формулы (8) следует, что плотность вероятности перехода товара из состояния Si
в состояние Si
+1
представляет собой величину, обратную среднему времени его пребывания в предшествующем состоянии. Эти времена являются как бы нормативными, желаемыми для рассматриваемого товара:
- среднее нормативное время пребывания товара в состоянии "трудный ребенок";
- среднее нормативное время пребывания товара в состоянии "звезда";
- среднее нормативное время пребывания товара в состоянии "дойная корова";
- среднее нормативное время пребывания товара в состоянии "неудачник".
По аналогии, каждое из плотностей вероятностей перехода
графа на рисунке 3. есть величина, обратная среднему времени, необходимому "конкурентам" для вытеснения рассматриваемого товара с рынка из состояния Si
в состояние Sп
-небытия (
).
(9)
Задавая различные
, их комбинации, можно моделировать практически любую ситуацию досрочного ухода товара с рынка, оценивать интенсивность воз действия конкурентов и любые другие составляющие рынка, способствующие вытеснению с него товара. Интенсивности
являются интегральными характеристиками воздействия рынка на товар с целью его вытеснения. Это показатель совокупного действия всех факторов рынка, стремящихся свести к минимуму продолжительность жизненного цикла товара за счет сокращения времени его пребывания в состояниях "движения" по рынку (графа на рисунке 3).
Имея изменения вероятностей пребывания товара в состояниях жизненного цикла во времени, можно найти функции изменения неопределенности системы "товар-рынок" H(x) = f(t). В качестве меры априорной неопределенности системы в теории информации применяется характеристика, называемая энтропией. Это есть сумма произведений вероятностей различных состояний системы на логарифмы этих вероятностей, взятая с обратным знаком [4]:
(10)
Логарифм в выражении (10) может быть взят при любом основании a >1. Перемена основания равносильна умножению энтропии на постоянное число. Будем использовать при проведении исследования натуральные логарифмы. Согласно одному из свойств энтропии максимальной неопределенностью обладает система в момент, когда вероятности ее пребывания во всех возможных состояниях равны. В нашем случае мы будем иметь максимальную неопределенность системы "товар-рынок", когда вероятности ее пребывания в состояниях S 1 , S 2 , S 3 , S 4 , S п имеют минимальную дисперсию, т. е. когда их значения наиболее близки друг другу.
Для проведения количественных исследований, анализа результатов теоретических проработок, проверки работоспособности марковской модели жизненного цикла товара рассмотрим условный пример "прохождения" товара на рынке, близкий к действительности. За основу взяты данные по реализации мотороллеров АК "Туламашзавод", выпускаемых в 1970-1980-х годах. Значения временных параметров состояния жизненного цикла одного из типов мотороллеров приведены в таблице 1.
Проведем исследование изменений энтропии системы "товар-рынок" для прогнозируемых исходных данных жизненного цикла товара, приведенных в таблице 1.
Таблица 1
Временные параметры состояний жизненного цикла товара для рассматриваемого примера
| Состояния товара | S1 | S2 | S3 | S4 | - | Sп |
| Среднее время пребывания в состоянии | ||||||
| Значение, лет | 2.00 | 1.33 | 5.00 | 2.00 | 10.33 | 3.33;..,30 |
Данные таблицы 1 будем считать номинальными значениями временных параметров состояний жизненного цикла товара. Воздействие рынка задано интенсивностями перехода
. Кривые изменения вероятностей пребывания рассматриваемой системы в состояниях графа на рисунке 3 во времени для исходных данных таблицы 1 приведены на рисунке 4.

Рис. 4. Кривые изменения вероятностей пребывания системы в состояниях жизненного цикла товара во времени
Кривые на рисунке 4 дают возможность оценить изменение неопределенности системы во времени. Оно приведено на рисунке 5 в виде кривой Н(х) = f(t), полученной с применением выражения (10).

Рис. 5. Изменение энтропии системы во времени
Результаты расчетов изменения энтропии системы "товар-рынок" во времени в виде их максимальных значений H(x) max и временной отметки оси жизненного цикла, соответствующей этому значению tH max , сведены в таблице 2.
Анализ рисунка 5 и таблицы 2 показывает:
· энтропия рассматриваемой системы имеет максимум;
· интенсивность ее изменения от 0 до точки, соответствующей максимуму, значительно больше интенсивности изменения после этой точки;
· если наложить на этот график данные временных параметров таблицы 1, то можно видеть, что система обладает наибольшей неопределенностью в первых двух состояниях, достигая максимума в состоянии "звезда" и, значительно реже, в состоянии "трудный ребенок";
· максимальные значения энтропии для всех рассматриваемых вариантов отличаются друг от друга на
H(x)
max = 17%;
· наибольшая средняя энтропия для всех рассмотренных вариантов наблюдается у системы с временами
=1.33 года,
= 5 лет,
= 2 года;
· минимальную дисперсию энтропии при различных воздействиях рынка имеют системы:
= 2 года,
= 1.33 года,
= 5 лет и
= 2 года,
= 5 лет,
= 1.33 года - т.е. различные воздействия рынка мало изменяют неопределенности этих систем;
· отметка времени жизненного цикла, при которой энтропия достигает максимума, изменяется для различных вариантов системы от 2 до 6 лет - у систем, не подверженных воздействию рынка;
· cамый быстрый набор максимума энтропии имеет место у системы "товар- рынок", подверженной наибольшему воздействию конкурентов в первом состоянии S 1 - "трудный ребенок";
· для рассмотренных вариантов воздействие рынка приводит систему "товар - рынок" к наибольшей энтропии при
2п
= 0.3 1/год ,
1п
=
2п
= 0 и к наименьшей энтропии при
1п
= 0.3 1/г ,
3п
=
2п
= 0;
· у систем, выделенных в таблице 2, кривая изменения энтропии как функция времени имеет характерный вид, приведенный на рисунке 6.
Таблица 2
Результаты расчетов H(x) max/tH max для различных вариантов системы "товар-рынок"
| 0 | 0.3 | 0 | 0 | 0.1 | 0.1 | 0.2 | 0.2 | 0 | 0 | 0.1 | |||
| 0 | 0 | 0.3 | 0 | 0.2 | 0 | 0.1 | 0 | 0.1 | 0.2 | 0.1 | |||
| 0 | 0 | 0 | 0.3 | 0 | 0.2 | 0 | 0.1 | 0.2 | 0.1 | 0.1 | |||
| 2.78 | 2.78 | 2.78 | 1.57 | 1.42 | 1.53 | 1.54 | 1.54 | 1.53 | 1.49 | 1.45 | 1.51 | 1.47 | 1.50 |
| 6.0 | 2.5 | 4.0 | 4.8 | 4.5 | 4.0 | 3.3 | 3.0 | 3.7 | 3.2 | 3.5 | |||
| 5.00 | 2.00 | 1.33 | 1.56 | 1.33 | 1.44 | 1.51 | 1.41 | 1.46 | 1.37 | 1.39 | 1.48 | 1.46 | 1.43 |
| 6.0 | 2.5 | 4.6 | 5.5 | 3.5 | 4.0 | 3.0 | 3.2 | 4.75 | 4.1 | 4.5 | |||
| 1.33 | 2.00 | 5.00 | 1.33 | 1.43 | 1.49 | 1.46 | 1.47 | 1.45 | 1.45 | 1.44 | 1.47 | 1.48 | 1.46 |
| 4.5 | 2.0 | 2.5 | 3.25 | 2.20 | 2.7 | 2.0 | 2.25 | 3.0 | 2.75 | 2.50 | |||
| 5.00 | 1.33 | 2.0 | 1.56 | 1.34 | 1.46 | 1.49 | 1.43 | 1.46 | 1.38 | 1.40 | 1.48 | 1.47 | 1.44 |
| 6.0 | 2.5 | 5.0 | 5.25 | 3.75 | 3.75 | 3.0 | 3.0 | 5.0 | 4.8 | 3.75 | |||
| 2.00 | 1.33 | 5.00 | 1.40 | 1.47 | 1.51 | 1.53 | 1.50 | 1.51 | 1.49 | 1.50 | 1.53 | 1.52 | 1.51 |
| 4.0 | 2.0 | 3.0 | 3.5 | 2.5 | 2.5 | 2.25 | 2.30 | 3.2 | 3.1 | 2.5 | |||
| 1.33 | 5.00 | 2.00 | 1.37 | 1.31 | 1.41 | 1.30 | 1.38 | 1.31 | 1.34 | 1.31 | 1.36 | 1.39 | 1.35 |
| 6.25 | 3.0 | 2.7 | 5.0 | 2.7 | 4.0 | 2.5 | 3.5 | 3.5 | 3.0 | 3.0 | |||
| 2.00 | 5.00 | 1.33 | 1.46 | 1.35 | 1.44 | 1.37 | 1.41 | 1.38 | 1.38 | 1.37 | 1.42 | 1.44 | 1.41 |
| 5.75 | 2.5 | 3.2 | 5.0 | 2.85 | 2.95 | 2.65 | 3.15 | 4.0 | 3.5 | 3.2 |
Для практического применения из полученных результатов можно заключить следующее:
1. Имеется этап жизненного цикла товара (для рассматриваемого случая - "звезда"), на который необходимо обращать особое внимание при принятии управленческих решений, поскольку здесь максимальная энтропия и, следовательно максимальные риски. Этому этапу соответствует конкретная временная отметка.
2. Для любого товара можно определить экстремальные соотношения временных параметров жизненного цикла, наиболее и наименее чувствительных к различным воздействиям рынка.
3. Наибольшее воздействие рынка на продолжительность жизненного цикла товара (на неопределенность системы "товар-рынок") появляется в случае, когда максимальная интенсивность этого воздействия соответствует этапу с максимальной энтропией (для нашего примера - этапу "звезда"). Наименьшее воздействие - когда максимальная интенсивность воздействия рынка соответствует этапу "трудный ребенок".

Рис. 6. Изменение энтропии H(x)=f(x) для систем "товар-рынок", выделенных в таблице 2
4. Имеются нежелательные сочетания длительности этапов жизненного цикла товара с характерным сдвигом максимальных неопределенностей рассматриваемой системы во времени. Для таких систем риски принятия управленческих решений максимальны.
Третью задачу
рассмотрим применительно к исходным данным того же примера, что и во второй задаче (табл. 1). Ее в рамках проводимого исследования можно сформулировать следующим образом. Стремление конкурентов вытеснить товар с рынка приводит к сокращению длительности его жизненного цикла. Требуется оценить это сокращение при различных воздействиях рынка. В разработанной модели эти воздействия задаются интенсивностями перехода системы из состояния жизненного цикла в состояние "небытия" -
1п
.
Длительность жизненного цикла товара является одним из важнейших параметров способности предприятий к обновлению - составной части теории гибкости предприятия [1]. Основная гипотеза способности к обновлению устанавливает взаимосвязь количества изделий, которое предприятию необходимо осваивать (N
), с временными характеристиками освоения новых изделий (
) и жизненного цикла товара на рынке, который мы и исследуем.
N
=
, (11)
где n - номенклатура производимых предприятием изделий.
Как видно из формулы (11), при сокращении жизненного цикла товара - Тц за счет воздействия рынка должно увеличиваться количество изделий, находящихся в освоении на предприятии. Иными словами, рыночные воздействия, к примеру конкуренты, стараются вытеснить товар с рынка, сокращая его жизненный цикл, что вынуждает предприятия осваивать дополнительное к номиналу количество изделий.
Результаты расчетов сокращений длительностей жизненного цикла товара
Тц
по формуле (7) для различных сочетаний его временных параметров и различных комбинаций воздействий рынка сведены в таблице 3.
Таблица 3
Результаты расчета
Тц
| 0 | 0.3 | 0 | 0 | 0.1 | 0.2 | 0.1 | 0 | 0 | 0.1 | 0.2 | |||
| 0 | 0 | 0.3 | 0 | 0.1 | 0.1 | 0.2 | 0.2 | 0.1 | 0 | 0 | |||
| 0 | 0 | 0 | 0.3 | 0.1 | 0 | 0 | 0.1 | 0.2 | 0.2 | 0.1 | |||
| 2.78 | 2.78 | 2.78 | 0 | 3.80 | 3.90 | 2.40 | 4.25 | 4.65 | 4.21 | 4.38 | 3.07 | 3.54 | 4.22 |
| 5.00 | 2.00 | 1.33 | 0 | 6.20 | 2.0 | 0.95 | 4.26 | 5.61 | 4.46 | 1.80 | 1.47 | 3.97 | 5.36 |
| 1.33 | 2.00 | 5.00 | 0 | 2.95 | 3.37 | 4.20 | 4.26 | 3.36 | 3.48 | 4.24 | 4.42 | 4.30 | 4.02 |
| 5.00 | 1.33 | 2.0 | 0 | 6.20 | 1.52 | 1.5 | 4.26 | 5.48 | 4.19 | 1.65 | 1.64 | 4.20 | 5.50 |
| 2.00 | 1.33 | 5.00 | 0 | 3.87 | 2.38 | 4.20 | 4.25 | 3.65 | 3.17 | 3.60 | 4.06 | 4.64 | 4.62 |
| 1.33 | 5.00 | 2.00 | 0 | 2.95 | 5.40 | 1.50 | 4.25 | 4.54 | 5.18 | 4.83 | 3.76 | 2.22 | 2.70 |
| 2.00 | 5.00 | 1.33 | 0 | 3.87 | 5.00 | 0.95 | 4.26 | 4.93 | 5.19 | 4.36 | 3.24 | 2.30 | 3.23 |
Наглядная картина изменения
Тц
, полученная с помощью обработки данных таблицы 3, представлена на рисунке 7.

Рис. 7. Диапазоны изменения для различных вариантов системы "товар-рынок" при Тц = const
Анализ таблицы 3 и рисунка 7 показывает следующее:
· максимальный диапазон изменения
Тц
имеет место у системы "товар-рынок" с возрастающими временами этапов жизненного цикла:
= 2 года,
= 1.33 года,
= 5 лет; максимальный диапазон - с убывающими временами:
= 5 лет;
= 2 года;
= 1,33 года; т.е. более предсказуемы жизненные циклы товаров с убывающими временами этапов;
· если рынок воздействует с равными интенсивностями
iп
для всех состояний S
1
, S
2
, S
3
, то изменение
Тц
остается постоянным при любых сочетаниях
,
,
т.е. сокращение длительности жизненного цикла товара остается стабильным при условии неизменного воздействия рынка на всех его этапах для любых состояний продолжительности этих этапов;
· самое благоприятное для системы воздействие рынка из всех рассмотренных:
т.е. когда рынок воздействует только на последний этап жизненного цикла;
· принятая за номинальную система "товар-рынок":
= 2 года,
= 1.33 года,
= 5 лет обладает "средними" показателями
Тц
из всех рассмотренных.
Зная сокращения длительности жизненного цикла товара для различных вариантов временных параметров его этапов и воздействий рынка, можно перейти к оценке количества изделий в освоении у предприятия на текущий момент. Такая оценка может быть сделана с помощью формулы (11). В теории гибкости предприятия вся номенклатура изделий делиться на группы. Рассмотрим одну из них. Пусть номенклатура изделий в группе составляет 10 ед. и средний период освоения изделий для нее равен
=2 года. Тогда в соответствии с формулой (11) для нашего случая
у предприятия должно быть в освоении номинально
изд.
Самое щадящее воздействие рынка из всех рассмотренных
требует
дополнительно осваивать
N = 19 изд
. и самое мощное
изд. Предложенная номинальная система "товар-рынок" требует освоения Nmax = 3,73
изд., т.е. рынок требует дополнительного освоения 0,68изд
<
N< 1,79изд
.
Таким образом, если предприятие способно учесть воздействие рынка на свои товары исходя из своей экономической устойчивости, сложившейся практики принятия управленческих решений, у него есть возможность использовать методические результаты проведенного в работе исследования для своей совокупности исходных данных, предпосылок и допущений.
Полученные результаты позволяют предприятиям обоснованно выбирать модели рыночного воздействия на производимые товары и оценивать по ним сокращение длительности их жизненных циклов, прогнозируя возможный досрочный уход с рынка, и на основе этого принимать оптимальные решения по освоению новых изделий с заданными рисками.
Литература
1. Самочкин В.Н. Гибкое развитие предприятия. Анализ и планирование. - М.: Дело, 1998. - 336 с.
2. Голубков Е.П. Основы маркетинга. - М.: Дело и Сервис, 1999.
3. Самочкин В.Н. Фазы жизненного цикла изделий и планирование гибкого развития предприятия // Маркетинг в России и за рубежом. - 1998. - № 5. - С. 3-9.
4. Вентцель Е.С. Исследование операций, 1972.