| Скачать .docx | Скачать .pdf |
Реферат: Тенденции в рядах динамики
Введение
Объектом исследования данной работы являются тенденции ряда динамики и основные методы ее выявления.
Целью написания данного реферата является изучение методов выявления основной тенденции (тренда) в рядах динамики.
Данная работа выполнена в связи с изучением курса статистики.
Глава 1
Важное место в статистике занимает описание изменений показателей во времени или динамике. Ряд динамики образуется в результате сводки и обработки показателей периодического статистического наблюдения.
Ряд динамики - это числовые значения статистических показателей, изменяющихся во времени и расположенных в хронологической последовательности.
Одна из важнейших задач статистики- определение в рядах динамики общей тенденции развития.
Основной тенденцией развития называется плавное и устойчивое изменение уровня во времени, свободное от случайных колебаний. Задача состоит в выявлении общей тенденции в изменении уровней ряда, освобожденной от действия различных факторов.
Изучение тренда включает два основных этапа:
· ряд динамики проверяется на наличие тренда;
· производится выравнивание временного ряда и непосредственно выделение тренда с экстраполяцией полученных результатов.
С этой целью ряды динамики подвергаются обработке следующими методами:
1. Метод сглаживания путем укрупнения интервалов во времени.
2. Выравнивание рядов динамики методом скользящей средней.
3. Метод аналитичного выравнивания.
I метод . Первоначальный ряд динамики преобразуется и заменяется другим рядом, в котором показатели относятся к большим по продолжительности периодам времени, т.е. интервал укрупнен. Этот прием используется только для интервальных рядов динамики. Укрупнение производится до тех пор, пока не будет выявлена четкая тенденция развития явления, а уровни ряда охватывать большие периоды времени. Посмотрим на примере: имеются данные о производстве обуви за ряд лет (табл. 5.8), выявить тенденцию роста или снижения производства обуви методом укрепнения интервалов.
Таблица 5.8
Данные о производстве обуви
| Годы | Производство обуви, млн. пар. |
| 1995 | 680 |
| 1996 | 683 |
| 1997 | 550 |
| 1998 | 670 |
| 1999 | 685 |
| 2000 | 690 |
В данном РД нечетко обозначена тенденция выпуска обуви.
Для выявления тенденции укрупним интервалы до 3-х лет и рассчитаем общий и средний выпуск обуви, используя среднюю арифметическую
.
Таблица 5.9
Укрупненный ряд динамики
| Годы | Производство обуви | |
| Всего | Среднегодовое | |
1995–1997 1997–2000 |
1913 2045 |
637,6 681,6 |
В этом ряду четко прослеживается тенденция роста выпуска обуви.
Недостатки:
При его использовании не прослеживается процесс изменения явления внутри укрупненных интервалов.
II метод. Метод скользящей средней заключается в следующем: формируются укрупненные интервалы, состоящие из одинакового числа уровней. Каждый последующий интервал получаем, постепенно сдвигаясь от начального уровня ряда на один уровень. По укрупненным интервалам определяем среднюю из уровней, входящих в каждый интервал.
Известны следующие данные о рабочих днях и производстве продукции (табл. 5.10).
Для четкого проявления тенденции производства продукции необходимо укрупнить ряды динамики с интервалом в пять дней. Рассчитаем скользящую среднюю с интервалом в пять дней. Решение в табл. 5.10.
Таблица 5.10
Ряд динамики
| Рабочие дни |
Произведено продукции, в тыс. руб. | Скользящая производства, продукции (интервал 5 дн.) |
Скользящая средняя из 5 уровней |
| 1 2 3 4 5 6 7 8 9 10 11 12 |
37 42 33 45 58 55 56 70 69 74 71 86 |
37+42+33+45+58=215 42+33+45+58+55=233 247 284 308 324 339 340 370 |
215: 5=43,0 233: 5=46,6 49,4 56,8 61,6 67,8 68 74 |
Получили новый РД, где четко прослеживается тенденция роста производства продукции.
Недостатки:
1. Невозможность получения всех уровней для сглаженного ряда. Число уровней в сглаженном РД меньше, чем в исходном, на (к – 1), где к – число периодов в укрупненном интервале (5 – 1) = 4, т. е. на 4.
2. Произвольность выбора интервала для определения скользящей средней.
III метод . Аналитическое выравнивание. При исчислении этого метода фактические уровни РД заменяются теоретическими, вычисленными на основе уравнения определенной кривой, отражающей общую тенденцию развития явления.
Тенденцию развития социально-экономических явлений обычно изображают кривой, параболой, гиперболой и прямой линией.
Если РД выравнивают по прямой, то уравнение прямой имеет следующий вид:
,
где у – фактические уровни;
уt – теоретическое значение уровня;
t – периоды времени – фактор времени.
«а» и «в» – параметры уравнения.
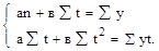
Так как «t» известно, то для нахождения «уt» необходимо определить параметры «а» и «в». Их находят способом отклонений наименьших квадратов, смысл которых заключается в следующем. Исчисленные теоретические уровни должны быть максимально близки к фактическим уровням, т.е. S квадратов отклонений теоретических уровней от фактических должно быть
Этому требованию удовлетворяет следующая система нормальных уравнений:
n – количество уровней РД.
Эту систему уровней можно упростить, если взять t (период времени) таким, чтобы сумма периодов равнялась нулю: Σt = 0.
Для этого необходимо периоды РД пронумеровать так, чтобы перенести в середину ряда начало отчета времени. В РД с нечетным числом периодов времени нумерация начинается с середины ряда и с нуля «0», а с четным числом периодов с «-1» и «+1». Тогда уравнения примут следующий вид:
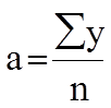
an = Σу, отсюда получим «а»
;
.
Пример: по следующим данным провести анализ основной тенденции развития явления.
Таблица 5.11
| Годы | Объем т/оборота, млн. руб. (у) |
t | yt | t2 | yt | Значение теоретических уравнений |
| 1995 1996 1997 1998 1999 2000 2001 |
480 500 540 570 580 590 610 |
-3 -2 -1 0 1 2 3 |
-1440 -1000 -540 0 580 1180 1830 |
9 4 1 0 1 4 9 |
487,4 509,2 531,0 552,8 574,6 596,4 618,2 |
552,8 + 21,8 × (-3) = 487,4 552,8 + 21,8 × (-2) = 509,2 552,8 + 21,8 × (-1) = 531,0 552,8 + 21,8 × 0 = 552,8 |
| Σ 610 | 28 | Σуi =3869,6 |
Итого: у = 3820.
Решение задачи рассмотрим подробно:
1. Находим значение «а».
Σу = an
.
2. Для нахождения «в»:
2.1. Находим середину интервального ряда и нумеруем периоды, определяем, начиная с «0» графа 3: в = Σуt: Σуt2 .
2.2. Определяем произведение уt и Σyt = 610.
2.3. Затем t2 , отсюда в = 610: 28 = 21,8.
Теперь по уравнению определяем теоретические уровни (уt ):
552,8 +
=487,4.
упракт. = 3870 ; уt = 3869,6 расхож. мin.
Суммы теоретических и фактических уровней равны, т.е. уравнения прямой, выбранные (точно) для аналитического выравнивания, в полной степени выражают тенденцию развития изучаемого явления.
Параметры искомых уровней при аналитическом выравнивании могут быть определены по-разному. Чаще всего их определяют, решая систему нормальных уровней, полученных методом наименьших квадратов.
Аналитическое выравнивание позволяет не только определить общую тенденцию изменения явления в изучаемый период времени, но и произвести расчеты недостающих уровней рядов динамики.
Выводы:
1. Изучены тенденции ряда динамики и основные методы ее выявления.
2. Рассмотрен пример, в ходе расчета которого было получено, что суммы теоретических и фактических уровней равны, т.е. уравнения прямой, выбранные (точно) для аналитического выравнивания, в полной степени выражают тенденцию развития изучаемого явления.
В заключении необходимо отметить, что выполнив данную работу, я закрепила теоретические знания, полученные мною в процессе изучения данного курса, а так же получила навыки самостоятельного решения конкретных вопросов.
МИНИСТЕРСТВО СЕЛЬСКОГО ХОЗЯЙСТВА И ПРОДОВОЛЬСТВИЯ РЕСПУБЛИКИ БЕЛАРУСЬ
БЕЛОРУССКИЙ ГОСУДАРСТВЕННЫЙ АГРАРНЫЙ ТЕХНИЧЕСКИЙ УНИВЕРСИТЕТ
РЕФЕРАТ ПО КУРСУ «СТАТИСТИКА»
« ПОНЯТИЯ ТЕНДЕНЦИИ РЯДА ДИНАМИКИ И ОСНОВНЫЕ МЕТОДЫ ЕЕ ВЫЯВЛЕНИЯ»
Студентки 2-го курса, 68 им группы
Тишкевич Татьяны Юрьевны
2010
СОДЕРЖАНИЕ
1. Введение
2. Глава 1 (основные определения, термины понятия)
3. Пример
4. Вывод
Список использованной литературы:
1. Ефимова М.Р., Петрова Е.В. Общая теория статистики: учебник. 2004г.
2. Сергеева И.И., Тимофеева С.А., Чекулина Т.А. Статистика: учебник. 2008г.
3. Шмойлова Р. А. Теория статистики: учебник. 2002г.