| Скачать .docx | Скачать .pdf |
Курсовая работа: Соляная кислота
КУРСОВАЯ РАБОТА
СОЛЯНАЯ КИСЛОТА. ТОВАРОВЕДЕНИЕ
СОДЕРЖАНИЕ:
Введение
1. Применение СОЛЯНОЙ КИСЛОТЫ в сфере производства или потребления
2. Классификационные признаки СОЛЯНОЙ КИСЛОТЫ
3. Технология производства СОЛЯНОЙ КИСЛОТЫ и ее технико-экономическая оценка
4. Стандарты на СОЛЯНУЮ КИСЛОТУ, нормируемые показатели качества в соответствии с требованиями стандартов
5. Контроль качества товара. Стандарты на правила приемки, испытания, хранения и эксплуатации товара
5.1 Теоретические основы качества и стандартизации продукции
5.2 Контроль качества соляной кислоты. Технические требования
5.2.1 Маркировка
5.2.2 Упаковка
5.2.3 Требования безопасности
5.2.4 Приемка
5.2.5 Методы анализа
5.2.6 Определение массовой доли свободного хлора
5.3 Транспортировка и хранение
Заключение
Список ИСПОЛЬЗУЕМЫХ ИСТОЧНИКОВ
Введение
Объем производства продукции на предприятиях химической и нефтехимической промышленности Беларуси в январе-июле текущего года увеличился в сопоставимых ценах на 5,4% по сравнению с соответствующим периодом прошлого года и составил около Br3,7 трлн.
Для успешной работы на этом поприще необходимым является постоянный контроль качества продукции, а также улучшение ее качественных характеристик.
Соляная кислота является важнейшим продуктом химической промышленности и представляет собой бесцветную жидкость с острым запахом хлористого водорода.
Целью курсовой работы является анализ потребительских свойств и областей применения соляной кислоты.
В ходе работы следует выполнить ряд задач
- рассмотреть применение соляной кислоты в области производства и потребления;
- определить классификационные признаки соляной кислоты;
- проанализировать технологию производства соляной кислоты;
- рассмотреть показатели качества;
- выявить стандарты на правила приемки, испытания, хранения соляной кислоты.
Объектом курсовой работы является кислота соляная.
В ходе работы были использованы учебные пособия по товароведению непродовольственных товаров таких авторов как Епифанцевой В.В., Сыцко В.Е., Карольковой Р.В. и других авторов, а также учебные пособия по химической промышленности, а также средства массовой информации.
Курсовая работа состоит из пяти глав, заключения-вывода, а так же списка используемых источников.
1. Применение СОЛЯНОЙ КИСЛОТЫ в сфере производства или потребления
Соляная кислота – это прозрачная бесцветная или желтоватая жидкость без взвешенных или эмульгированных частиц
Соляная кислота применяется в химической, медицинской, пищевой промышленности, цветной и черной металлургии.
Отгрузка производится железнодорожными цистернами, в полиэтиленовых бочках емкостью 20-45 3, в полиэтиленовых канистрах емкостью 20, 40 и 50 дм3.
Кстати, известный факт, что соляная кислота содержится в желудочном соке (около 0,3 %) и играет важную роль, так как способствует перевариванию пищи и убивает различные болезнетворные бактерии (холеры, тифа и др.). Если последние попадают в желудок вместе с большим количеством воды, то вследствие разбавления раствора НСl они выживают и вызывают заболевание организма. Поэтому во время эпидемий особенно опасна сырая вода. При повышении концентрации НСl в желудке ощущается «изжога», которую устраняют, принимая внутрь небольшое количество NаНСО3 или МgО. Наоборот, при недостаточной кислотности желудочного сока соляная кислота прописывается для приема внутрь (по 5-15 капель 8,3 %-ной НСl на 1/2 стакана воды до или во время еды).
Производство кислоты соляной синтетической освоено в 1962 году. За период эксплуатации производился ремонт, усовершенствовалось технологическое оборудование. Высокое качество сырья позволяет получать кислоту высокого качества. Кислота соляная также применяется в производстве пластмасс, ядохимикатов, полупродуктов и красителей для очистки поверхности металлов от окислов, карбонатов, в электротехнической, текстильной промышленности.
Кислота соляная ингибированная Марка А – применяется для кислотной обработки скважин в нефтяной промышленности с целью улучшения сообщаемоести скважин с пластом (для расширения и очистки пор и трещин, снятия фильтрационного сопротивления коллектора, сложенного карбонатными породами-доломитами и известняками, или загрязненного карбонатными отложениями).[6, c.49]
Кислота соляная марки Б – применяется для травления черных и некоторых цветных металлов и изделий из них, для химической очистки котлов и аппаратов от неорганических отложений.
Соляную кислоту применяют для получения хлоридов Zn, Ba. Mg, Са, Fe, A1 и т. д., для травления при пайке и лужении, и цветной металлургии (извлечение Pt, An), при гидролизе древесины, в производстве красителей, для гидрохлорировании органических соединении и т. д.
2. Классификационные признаки СОЛЯНОЙ КИСЛОТЫ
Соляную кислоту изготовляют двух марок: А и Б.
По физико-химическим показателям техническая синтетическая соляная кислота должна соответствовать нормам, указанным в таблице 2. 1.
Таблиц 2.1 Нормы для соляной кислоты.
| Наименование государства | Норма для марки | Методы анализа | ||
| АОКП 21 2211 0100 | БОКП21 2211 0200 | |||
| высшего сорта ОКП 21 2211 0220 | первого сорта ОКП 21 2211 0230 | |||
| 1. Внешний вид | Прозрачная бесцветная или желтоватая жидкость | Прозрачная желтая жидкость | По 6.4 | |
| 2. Массовая доля хлористого водорода, %,не менее | 35 | 33 | 31,5 | По 6.5 |
| 3. Массовая доля железа (Fe), %, не более | 0,001 | 0,002 | 0,015 | По 6.6 |
| 4. Массовая доля остатка после прокаливания, %, не более | 0,010 | 0,015 | 0,100 | По 6.7 |
| 5. Массовая доля свободного хлора, %, не более | 0,002 | 0,002 | 0,008 | По 6.8 |
| 6. Массовая доля мышьяка (As), %, не более | 0,0001 | 0,0001 | 0,0002 | По 6.9 |
| 7. Массовая доля ртути (Hg), % не более | 0,0003 | 0,0004 | 0,0005 | По 6.10 |
Массовую долю ртути нормируют в кислоте, получаемой из водорода и хлора ртутного электролиза. Допускается для пищевой промышленности по согласованию с потребителем изготовление кислоты с массовой долей хлористого водорода не более 26%.
В кислоте, поставляемой для травления металлов, массовая доля железа и остатка после прокаливания не нормируется.
По согласованию с потребителем допускается в кислоте обеих марок массовая доля хлористого водорода не менее 30%.
Соляная кислота выпускается следующих сортов: техническая (27,5% НС1); синтетическая (31% НС1), ингибиторная (20% НС1) и реактивная (35-38% НС1, плотность при 20°С равняется 1,17- 1,19 г/см3).
3. Технология производства СОЛЯНОЙ КИСЛОТЫ и ее технико-экономическая оценка
Соляная кислота (хлороводородная кислота), по химическому составу отвечающая хлориду водорода находит широкое применение в ряде отраслей народного хозяйства.
В промышленности соляную кислоту получают следующими способами:
- сульфатным;
- синтетическим,
- из абгазов (побочных газов) ряда процессов.
Однако следует отметить, что первые два метода теряют свое промышленное значение.
Производство соляной кислоты (реактивной, полученной сульфатным способом, синтетической абгазной) заключается в получении HCI с последующей его абсорбции водой. В зависимости от способа отвода теплоты абсорбции, которая достигает 72,8 кДж/моль процессы разделяются на изотермические (при постоянной температуре), адиабатические (без теплообмена с окружающей средой) и комбинированные.
1. Сульфатные метод основан на взаимодействии хлорида натрия NaCl с концентрированной серной кислотой H2SO4 при 500-550*С. Реакционные газы отходящие от муфельных печей содержат 50-65% хлороводорода, а газы от реакторов с кипящим слоем до 5% HCI. В настоящее время предложено заменить серную кислоту на смесь SO2 и О2 с использованием в качестве катализатора Fe2O3 и проведением процесса при температуре 540*.
2. В основе прямого синтеза соляной кислоты лежит цепная реакция горения:
Р2-CI2+2HCI +184,7кДж (3.1)
Реакция инициируется светом, влагой, твердыми пористыми веществами (древесный уголь, пористая платина) и некоторыми минеральными веществами (кварц, глина). Синтез в камерах сжигания ведут с избытком в 5-10% Н2. Камеры выполнены из стали, графита, кварца, огнеупорного кирпича. Наиболее современным материалом, предотвращающий загрязнение продукта является графит, импрегнированный фенолоформальдегидными смолами. Для предотвращения взрывного характера горения реагенты смешивают непосредственно в факеле пламени горелки. В верхней зоне камер сжигания устанавливают теплообменники для охлаждения реакционных газов до 150-160*С. Мощность современных графитовых печей достигает 65т/сут (в пересчете на соляную кислоту содержащую 35% HCI). В случае дефицита водорода применяют различные модификации процесса. Например, пропускают смесь CI2 c водяным паром через слой пористого раскаленного угля:
CO+H2O+CI2=2HCI+CO2 (3.2)
Более 90% соляной кислоты в СНГ в настоящее время получают их абгазного хлороводорода HCI, образующегося при хлорировании и дегидрохлорировании органических соединений, пиролизе хлорорганических отходов, хлоридов металлов, получении калийных нехлорированных удобрений и др.
Абгазные газы содержат различные количества хлороводорода, инертные примеси (N2H2CH4), малорастворимые в воде органические вещества (хлорбензол, хлорметаны), водорастворимые вещества (уксусная кислота, хлораль), кислые примеси и воду.
При содержании инертных примесей менее 40%, является целесообразным применение изотермической абсорбции:
HCI в абгазных газах. Наиболее перспективными являются абсорберы, позволяющие извлекать из исходного абгаза от 65-85% HCI.
В промышленности для получения соляной кислоты наиболее широко применяют схемы адиабатической абсорбции. Абгазные газы вводят в нижнюю часть абсорбера, а воду (или разбавленную соляную кислоту – противотоком в верхнюю.
Соляная кислота нагревается до температуры кипения благодаря температуре растворения HCI. Зависимость изменения температуры абсорбции и концентрации HCI показана на рис. 3.1
![]() |
Рис . 3.1 Схема распределения температур (кривая 1) и концентрации (кривая 2) HCI при высоте адиаботического абсорбера
Температура абсорбции определяется температурой кипения кислоты соответствующей концентрации, максимальная температура кипения азеотропной смеси находится около 110*.
Типовая схема адиабатической абсорбции HCI из абгазов, образующихся при хлорировании, представлена на рисунке 4.2. Хлороводород поглощается в абсорбере 1, а остатки малорастворимых в воде органических веществ отделяют от воды после конденсации в аппарате 2, дочищают в хвостовой колонне 4 и сепараторах 3,5 и получают товарную соляную кислоту.

1 – абиабатический абсорбер; 2 – конденсатор; 3, 5 – сепараторы; 4 – хвостовая колонна; 6 – сборник органической фазы; сборник водной фазы; 8,12 – насосы; 9 – отдувочная колонна; 10- теплообменник, 11 – сборник товарной кислоты.
Рис.3.2 Схема типовой адиабатический абсорбции соляной кислоты из абгазов
Получение соляной кислоты из абгазных газов с использованием комбинированной схемы абсорбции представлено в виде типовой схемы на рис.3.3.
В колонне адиабатической абсорбции получают соляную кислоту пониженной концентрации, но свободную от органических примесей. Кислоту с повышенной концентрацией HCI производят в колонне изотермической абсорбции при пониженной температуре. Степень извлечения HCI из абгазов при использовании в качестве абсорбентов разбавленных кислот составляет 90-95%. При использовании в качестве абсорбента чистой воды степень извлечения почти полная.

Рис.3.3 Схема типовой комбинированной абсорбции соляной кислоты из абгазных газов
Хлористый водород используют для производства хлорорганических продуктов путем гидрохлорировании органических соединений, например этилена, ацетилена.
4. Стандарты на СОЛЯНУЮ КИСЛОТУ, нормируемые показатели качества в соответствии с требованиями стандартов
Гост – это государственный стандарт качества.
Кислота соляная должна соответствовать следующим ГОСТам:
ГОСТ. 14261-77 . Кислота соляная особой чистоты. Технические условия. Дата введения 01-07-1978. Дата изменения – 01.12.1987.
Стандарт распространяется на соляную кислоту особой чистоты, которая представляет собой бесцветную прозрачную жидкость, дымящуюся на воздухе.
ГОСТ 30553-98. Кислота соляная техническая. Определение общей кислотности титриметрическим методом. Код МКС 71.060.30 Дата введения 01.01.2001. Устанавливает титриметрический метод определения общей кислотности (содержание хлористого водорода) в технической соляной кислоте.
ГОСТ 30554-98 Кислота соляная техническая. Определение сульфатной золы весовым методом. Дата введения 01-07-2003.
ГОСТ 30582-98. Кислота соляная техническая. Определение содержания железа спектрометрическим методом с применением 2,2'-бипиридила. Дата введения 01-07-2003.
ГОСТ 30621-98. Кислота соляная техническая. Определение содержания мышьяка фотометрическим методом с применением диэтилдитиокарбамата серебра. Дата введения 01-07-2003.
ГОСТ 3118-77 Реактивы. Кислота соляная. Технические условия. Стандарт распространяется на соляную кислоту (водный раствор хлористого водорода), представляющую собой бесцветную жидкость с резким запахом, дымящую на воздухе; смешивается с водой, бензолом и с эфиром.
ГОСТ 857-95. Кислота соляная синтетическая техническая. Технические условия. Стандарт распространяется на техническую синтетическую соляную кислоту, получаемую абсорбцией водой хлористого водорода, образующегося при взаимодействии испаренного, электролитического хлора, абгазов сжижения хлора с водородом.
5. Контроль качества товара. Стандарты на правила приемки, испытания, хранения и эксплуатации товара
5.1 Теоретические основы качества и стандартизации продукции
СТАНДАРТ (от англ. standard - норма, образец), в широком смысле слова - образец, эталон, модель, принимаемые за исходные для сопоставления с ними др. подобных объектов. Стандарт как нормативно-технический документ устанавливает комплекс норм, правил, требований к объекту стандартизации. Стандарт может быть разработан как на материальные предметы (продукцию, эталоны, образцы веществ), так и на нормы, правила, требования в различных областях.
ТЕХНИЧЕСКИЕ УСЛОВИЯ (ТУ) - это нормативно-технический документ, устанавливающий комплекс требований к продукции конкретных типов, марок, артикулов. Разрабатываются на основе соответствующих стандартов.
ТЕХНОЛОГИЧЕСКАЯ КАРТА - это форма технологической документации, в которой записан весь процесс обработки изделия, указаны операции и их составные части, материалы, производственное оборудование и технологические режимы, необходимое для изготовления изделия время, квалификация работников и т. п.
МАРШРУТНЫЙ ЛИСТ (карта) – это документ по учету выработки продукции и движения партии обрабатываемых деталей по операциям.
ТЕХНИЧЕСКИЙ РЕГЛАМЕНТ - документ, содержащий обязательные для соблюдения требования общества, утвержденный компетентным правительственным органом. Для лесоматериалов к техническим регламентам относятся документы, содержащие требования по радиационной и фитосанитарной безопасности, а также безопасности транспортирования и обработки.
Качество товара (работы, услуги) - совокупность характеристик товара (работы, услуги), относящихся к его способности удовлетворить установленные и (или) предполагаемые потребности потребителя (безопасность, функциональная пригодность, эксплуатационные характеристики, надежность, экономические, информационные и эстетические требования и др.
Комплекс реализуемых мер в области качества включает освоение и выпуск новой продукции, внедрение ресурсосберегающих технологий, а также реконструкцию и техническое перевооружение производств.
Сертификат качества - письменный документ или клеймо признанного аффинажера, которое свидетельствует о названии драгоценного металла, его пробе, серийном номере и о названии компании производителя
Технический кодекс устанавливает правила разработки, включая утверждение, государственную регистрацию технических регламентов, а также правила их проверки, пересмотра, изменения, отмены, применения, официального издания, уведомления о ходе разработки и опубликования информации о технических регламентах.
Государственный стандарт - одна из основных категорий стандартов в РБ.
Интеграция Республики Беларусь в мировую экономику, активизация внешнеэкономической деятельности, продвижение белорусской продукции на международные рынки, а также задачи социально-экономического развития страны обусловили необходимость реформирования технического законодательства.
В 2004 году был принят и вступил в действие Закон Республики Беларусь "О техническом нормировании и стандартизации" который основан на положениях Соглашений Всемирной торговой организации, учитывает аспекты систем технического регулирования и стандартизации России, Украины и других стран, а также Европейского Союза.
5.2 Контроль качества соляной кислоты. Технические требования
Техническая синтетическая соляная кислота должна изготовляться в соответствии с требованиями стандартов по технологическому регламенту, утвержденному в установленном порядке.
Соляную кислоту изготовляют двух марок: А и Б. По физико-химическим показателям техническая синтетическая соляная кислота должна соответствовать нормам, указанным в таблице 5.1.
Таблица 5.1 Нормы соляной кислоты
| Наименование государства | Норма для марки | Методы анализа | ||
| АОКП 21 2211 0100 | БОКП21 2211 0200 | |||
| высшего сорта ОКП 21 2211 0220 | первого сорта ОКП 21 2211 0230 | |||
| 1. Внешний вид | Прозрачная бесцветная или желтоватая жидкость | Прозрачная желтая жидкость | По 6.4 | |
| 2. Массовая доля хлористого водорода, %,не менее | 35 | 33 | 31,5 | По 6.5 |
| 3. Массовая доля железа (Fe), %, не более | 0,001 | 0,002 | 0,015 | По 6.6 |
| 4. Массовая доля остатка после прокаливания, %, не более | 0,010 | 0,015 | 0,100 | По 6.7 |
| 5. Массовая доля свободного хлора, %, не более | 0,002 | 0,002 | 0,008 | По 6.8 |
| 6. Массовая доля мышьяка (As), %, не более | 0,0001 | 0,0001 | 0,0002 | По 6.9 |
| 7. Массовая доля ртути (Hg), % не более | 0,0003 | 0,0004 | 0,0005 | По 6.10 |
Примечание.[11, c.48]
5.2.1 Маркировка
Транспортная маркировка бочек и бутылей - по ГОСТ 14192 с нанесением манипуляционного знака «Герметичная упаковка».
Маркировка, характеризующая транспортную опасность груза, - по ГОСТ 19433 (класс 8, подкласс 8Л, классификационный номер 8172, черт. 8/6 а), серийный номер ООН 1789.
С 1 июля 2002 г. введен в действие ГОСТ 24104-2001.
Массовую долю ртути нормируют в кислоте, получаемой из водорода и хлора ртутного электролиза.
Допускается для пищевой промышленности по согласованию с потребителем изготовление кислоты с массовой долей хлористого водорода не более 26%.
В кислоте, поставляемой для травления металлов, массовая доля железа и остатка после прокаливания не нормируется.
По согласованию с потребителем допускается в кислоте обеих марок массовая доля хлористого водорода не менее 30%.
К каждой бочке или бутыли прикрепляют ярлык из фанеры или плотного картона, защищенный кислотостойкой и влагонепроницаемой оболочкой, на который наносят данные, характеризующие упакованный продукт:
- наименование предприятия и (или) его товарный знак;
- наименование продукта, его марку, сорт;
- обозначение настоящего стандарта;
- номер партии, дату изготовления;
- массу брутто и нетто;
- номер бочки или бутыли и общее количество их в партии.
Знаки и надписи на цистернах и контейнерах наносятся в соответствии с требованиями "Правил перевозки опасных грузов"
5.2.2 Упаковка
Техническую синтетическую соляную кислоту наливают в специальные гуммированные цистерны отправителя или получателя, гуммированные контейнеры, полиэтиленовые бочки вместимостью 50 дм3 и стеклянные бутыли вместимостью 20 дм3 согласно действующей нормативной документации.
Стеклянные бутыли упаковывают в ящики типа V-1, номер 3-2 по ГОСТ 18573. Упаковка должна соответствовать ГОСТ 26319.
Допускается заливать продукт в цистерны и контейнеры с остатком соляной кислоты, если анализ остатка подтверждает соответствие его качества требованиям настоящего стандарта, В противном случае остаток соляной кислоты удаляют, а цистерну или контейнер промывают.
Бочки и бутыли должны быть сухими и чистыми.
Наливные люки цистерн, контейнеров и пробки бочек должны быть герметизированы резиновыми или полиэтиленовыми прокладками, как при отправке потребителям (заполненных кислотой), так и при возврате поставщику порожней тары.
Горловины бутылей, укупоренные притертыми стеклянными пробками или завинчивающимися крышками, должны быть обернуты полиэтиленовой пленкой и завязаны шпагатом.
Уровень (степень) заполнения цистерн, контейнеров, бочек и бутылей вычисляют с учетом максимального использования грузоподъемности (вместимости) и объемного расширения продукта при возможном перепаде температуры в пути следования.
5.2.3 Требования безопасности
Техническая синтетическая соляная кислота - едкая жидкость, стабильная в химическом отношении.
На воздухе «дымит» в результате выделения хлористого водорода и притяжения им влаги воздуха с образованием кислотного тумана.
Металлы, расположенные в ряду напряжений левее водорода (Al, Zn, Fe, Со, Ni, Pb и др), вытесняют его из соляной кислоты, что может привести к образованию взрывоопасных водородо-воздушных смесей.
Меры безопасности - исключение контакта соляной кислоты с этими металлами за счет антикоррозионных покрытий, продувки азотом и проверки газовой фазы из оборудования и трубопроводов на взрываемость перед проведением огневых работ.
Туман соляной кислоты раздражает верхние дыхательные пути и слизистые оболочки глаз. При попадании на кожу - вызывает ожоги.
Согласно ГОСТ 12Л.005 предельно допустимая концентрация (ПДК) паров соляной кислоты в воздухе рабочей зоны - 5 мг/м3 , класс опасности - 2 (вещества высокоопасные);
ПДК хлора в воздухе рабочей зоны - 1 мг/м3 , класс опасности - 2 (вещества высокоопасные).
Хлор и соляная кислота обладают остронаправленным механизмом действия. При работе с ними необходима специальная защита кожи и глаз,
определение хлористого водорода, хлора - согласно действующей нормативной документации.
Точки отбора проб должны быть согласованы с местными органами санэпидслужбы. Оценка состояния воздушной среды при одновременном присутствии хлора и хлористого водорода - согласно ГОСТ 12.1.005.
Технологические процессы получения и применения соляной кислоты и используемое производственное оборудование должны соответствовать требованиям санитарных правил № 1042-73.
Производственные помещения должны быть оборудованы вентиляцией согласно ГОСТ 12.4.021 и СНиП 2.04.05-91 и подводом воды, отвечающей требованиям ГОСТ 2874.
Все работы с соляной кислотой должны проводиться в спецодежде типа К50 по ГОСТ 12.4.103 и в защитных очках типа Г по ГОСТ 12.4.013.
Все работающие должны быть обеспечены промышленными фильтрующими противогазами марки В (СИЗОД ФГП, ФГ-130) по ГОСТ 12.4.12L
В случае разлива соляную кислоту смывают с поверхностей пола и оборудования большим количеством воды или щелочного раствора. Кислые сточные воды перед поступлением в систему общезаводской канализации должны нейтрализоваться на локальных очистных установках.
Тушение пожара производится с помощью распыленной воды и воздушно-механической пены.
Некондиционный продукт нейтрализуют раствором щелочи. Газовые выбросы улавливаюти нейтрализуют.
5.2.4 Приемка
Техническая синтетическая соляная кислота должна предъявляться к приемке партиями.
Партией считают любое количество соляной кислоты, однородной по своему качественному составу, оформленное одним документом о качестве.
Документ о качестве должен содержать следующие данные:
- наименование и (или) товарный знак предприятия-изготовителя;
наименование продукта и его марку, сорт, обозначение стандарта;
- номер партии, дату изготовления;
- номер цистерны, количество контейнеров, бочек, бутылей;
- массу нетто;
- классификационный шифр по ГОСТ 19433;
- результаты проведенного анализа или подтверждение соответствия качества требованиям настоящего стандарта.
Для проверки качества соляной кислоты проводят приемосдаточные и периодические испытания.
Массовую долю мышьяка изготовитель определяет периодически один раз в квартал.
При приемосдаточных испытаниях у изготовителя пробы отбирают из товарного резервуара, предназначенного для заполнения тары.
Для проверки качества соляной кислоты у потребителя пробы отбирают:
- от каждой цистерны и контейнера;
- от 10% бочек, бутылей, но не менее чем трех при партиях менее 10 бочек, бутылей.
При получении неудовлетворительных результатов анализа хотя бы по одному из показателей проводят повторный анализ на удвоенной выборке или вновь отобранной пробе из цистерны, контейнера, бочек, бутылей.
Результаты повторного анализа распространяются на всю партию.
5.2.5 Методы анализа
Точечные пробы из резервуара и цистерны отбирают медленным погружением пробоотборника любой конструкции, изготовленного из кислотостойких материалов, до дна резервуара, цистерны.
Точечные пробы из бочек, бутылей и контейнеров отбирают при помощи стеклянной или полиэтиленовой трубки диаметром 10-15 мм с оттянутым концом.
Объединенную пробу получают смешиванием равных по объему количеств точечных проб.
Из тщательно перемешанной объединенной пробы отбирают пробу для анализа объемом не менее 1 дм3 , которую помещают в сухую чистую склянку с притертой пробкой или полиэтиленовую банку с навинчивающейся крышкой. На склянку или полиэтиленовую банку наклеивают этикетку с указанием:
- наименования изготовителя и продукта;
- обозначения настоящего стандарта, марки и сорта;
- даты и места отбора пробы;
- номера партии и даты изготовления:
- фамилии лица, отобравшего пробу,
При проведении анализа температура воздуха должна составлять (20±5) °С.
Допускается определение плотности соляной кислоты по приложению Б.
Внешний вид определяют визуально в проходящем свете столба жидкости, налитой в цилиндр 1,2-100 по ГОСТ 1770.
Метод определения основан на реакции нейтрализации ионов водорода гидроокисью натрия:
(5.1)
В качестве индикатора применяют метиловый оранжевый.
Аппаратура, реактивы, растворы:
- бюретка 1, 25 3-25-0,1 по ГОСТ 29251;
- колба Кн- 1,2- 100, 250-1 по ГОСТ 25336;
- колба 2-250, 1000 по ГОСТ 1770;
- пипетка 2-20 по ГОСТ 29169;
- цилиндр 1,2-25 по ГОСТ 1770;
- натрия гидроокись по ГОСТ 4328, х.ч., раствор концентрации c(NaON) = 0,1 моль/дм3 , готовят по ГОСТ 25794.1;
- метиловый оранжевый (индикатор), раствор с массовой долей 0,1%; водный раствор готовят по ГОСТ 4919,1;
- вода дистиллированная по ГОСТ 6709 и не содержащая углекислоты, готовят по ГОСТ 4517.
В предварительно взвешенную колбу с притертой пробкой вместимостью 100 см3 и содержащую 20 см3 воды помещают 3 см3 анализируемой кислоты и снова взвешивают (результат взвешивания записывают с точностью до четвертого десятичного знака). Раствор количественно переносят в мерную колбу вместимостью 250 см3 , многократно ополаскивают дистиллированной водой, сливая в мерную колбу, доводят объем водой до метки и перемешивают. Пипеткой отбирают 20 см3 полученного раствора соляной кислоты в коническую колбу вместимостью 250 см3 , добавляют 25 см3 воды, 2-3 капли метилового оранжевого индикатора и титруют раствором гидроокиси натрия до перехода красной окраски в желтую.
Массовую долю хлористого водорода X , %, вычисляют по формуле:
(5.2)
где V - объем раствора гидроокиси натрия концентрации точно с (NaOH) = 0,1 моль/дм3 , пошедший на титрование, см3 ;
V1 - объем раствора анализируемой соляной кислоты, взятый для выполнения анализа, см3 ;
m - масса колбы с водой, г;
m1
- масса колбы с водой и анализируемой кислотой, г;
0,003646 - масса хлористого водорода, соответствующая 1 см3
раствора гидроокиси натрия, концентрации точно с (NaOH) = 0,1 моль/дм3
, г/см3
.
За результат анализа принимают среднеарифметическое результатов двух параллельных измерений, допускаемые расхождения между которыми не должны превышать 0,3 % при доверительной вероятности Р = 0,95 .
Допускаемые расхождения между результатами, полученными в двух лабораториях, не должны превышать 0,6 %. Относительная суммарная погрешность определения ±2 % при доверительной вероятности Р= 0,95 .
Массовую долю железа определяют в соляной кислоте после разбавления пробы без ее предварительной нейтрализации. Нейтрализацию проводят после введения сульфосалицшювой кислоты, то есть одновременно проходят нейтрализация и образование сульфосалицилатного комплекса железа [Fe (Sal)]3, окрашенного в слабощелочной среде (рН8,0- 11,5) в желтый цвет. Интенсивность светопоглощения образовавшегося комплекса измеряют на фотоэлектроколориметре. Диапазон измерения 5·10-4 - 2,0·10-2 %.
Аппаратура, растворы, реактивы:
- колориметр фотоэлектрический лабораторный ФЭК-56М, КФК или другого типа, обеспечивающий заданную чувствительность и точность;
- секундомер механической любой марки;
- стаканчик СЗ-14/8 по ГОСТ 25336;
- колбы 1,2-50, 100, 250 и 1000 см3 по ГОСТ 1770;
- пипетки 1, 2, 5, 7-1, 25, 2, 5, 10 по ГОСТ 29169;
- кислота соляная по ГОСТ 3118, х.ч., водный раствор (1:1);
- аммиак водный по ГОСТ 3760, ч.д.а., раствор с массовой долей 25 %;
- кислота сульфосалициловая по ГОСТ 4478, ч.д.а., раствор концентрации 100 г/дм3 ;
- квасцы железоаммонийные согласно действующей нормативной документации;
- раствор железа концентрации 1 мг/см3 готовят по ГОСТ 4212, разбавлением готовят раствор концентрации 10 мкг/см3 , свежеприготовленный;
- вода дистиллированная по ГОСТ 6709.
Подготовка к анализу
Приготовление раствора сульфосалицшювой кислоты 10 г сульфосалицшювой кислоты переносят в мерную колбу вместимостью 100 см3 , растворяют, доводят объем водой до метки, перемешивают. Результаты взвешивания записывают с точностью до второго десятичного знака.
Приготовление градуировочных растворов и градуировка фотоэлектроколориметра.
Градуировку и определение проводят по ГОСТ 10555 сульфосалициловым методом.
В мерные колбы вместимостью 50 см3 вводят 30 см3 дистиллированной воды, пипеткой прибавляют по 1 см3 раствора соляной кислоты, 1,0; 2,0; 3,0; 4,0; 6,0 см3 раствора железа концентрации 10 мкг/см3 , по 2 см3 раствора сульфосалицшювой кислоты и по 5 см3 раствора аммиака. После прибавления каждого реактива раствор перемешивают. Объем раствора доводят водой до метки и перемешивают. Одновременно готовят контрольный раствор: в мерную колбу вместимостью 50 см3 вводят 30 см3 воды, 1 см3 соляной кислоты, прибавляют 2 см3 раствора сульфосалициловой кислоты и далее поступают, как описано выше.
Оптическую плотность градуировочных растворов измеряют через (10±1) мин в кюветах с толщиной поглощающего свет слоя раствора 50 мм при длине волны 434 нм по отношению к контрольному раствору. Градуировку прибора допускается проводить по методу наименьших квадратов.
По полученным результатам строят градуировочный график, откладывая по оси абсцисс введенную в градуировочные растворы массу железа в микрограммах, на оси ординат - соответствующие значения оптических плотностей. Градуировочный график проверяют 1 раз в квартал, а также при замене реактивов или приборов.
Проведение анализа
Навеску анализируемой соляной кислоты массой (20±1) г количественно переносят в мерную колбу вместимостью 250 см3 , споласкивая стаканчик несколько раз водой, доводят объем раствора водой до метки и перемешивают. Результаты взвешивания записывают с точностью до второго десятичного знака.
Пипеткой отбирают для марок А и Б высшего сорта по 25 см3 , а для марки Б 1-го сорта - 2,5 см3 приготовленного раствора, переносят в мерную колбу вместимостью 50 см3 добавляют 2 см3 раствора сульфосалициловой кислоты и перемешивают. Затем прибавляют 10 см3 раствора аммиака, доводят объем водой до метки и перемешивают.
Контрольный раствор готовят, как описано в 6.6.3.2. Через (10±1) мин измеряют оптическую плотность и, пользуясь градуировочным графиком, находят массу железа в анализируемом растворе в микрограммах.
Обработка результатов
Массовую долю железа Х1 %, вычисляют по формуле:

(5.3)
где m1 - масса железа в анализируемом растворе, найденная по градуировочному графику, мкг;
m - масса навески соляной кислоты, взятая для выполнения анализа, г;
V - объем раствора соляной кислоты, полученный после разбавления массы соляной кислоты, см3 ;
V1 - объем разбавленного раствора соляной кислоты, взятый для выполнения анализа, см3 .
За результат анализа принимают среднеарифметическое результатов двух параллельных измерений, расхождения между которыми не должны превышать 0,0005 %. Результаты определения округляют до четвертого десятичного знака.
Допускаемые расхождения между результатами, полученными в двух лабораториях, не должны превышать 0,0005 %. Абсолютная суммарная погрешность определения ±0,2 А, где А - результат определения при доверительной вероятности Р = 0,95 .
Определение массовой доли остатка после прокаливания
Массовая доля остатка после прокаливания при 600 °С измеряется весовым методом. Диапазон определения от 0,005 % до 0,100 %.
Аппаратура, растворы и реактивы:
- цилиндр 2-100 по ГОСТ 1770;
- чашка кварцевая типа КП вместимостью 100 см3 по ГОСТ 1990S, платиновая или фарфоровая;
- эксикатор 2-190 мм, 250 мм по ГОСТ 25336;
- муфельная печь с термопарой, обеспечивающая поддержание температуры (600±10) °С;
- кислота серная по ГОСТ 4204, хл.;
- кальций хлористый, прокаленный при 250-300 °С;
- вода дистиллированная по ГОСТ 6709;
- часы песочные на 5 мин.
Подготовка к анализу
Чашку прокаливают в муфельной печи при температуре (600±10) °С в течение (5±1) мин. Затем чашку помещают в эксикатор с хлористым кальцием и вьщерживают в течение (30±5) мин. Охлажденную чашку взвешивают. Результаты взвешивания записывают с точностью до четвертого десятичного знака.
Проведение анализа
Цилиндром отбирают 85 см3 анализируемой соляной кислоты и помещают в кварцевую чашку, добавляют 1 каплю серной кислоты и выпаривают на водяной бане почти досуха. Чашку с остатком нагревают на электроплитке до прекращения выделения паров серной кислоты. Выпаривание анализируемой кислоты и разложение серной кислоты можно проводить под инфракрасной лампой.
После этого чашку с остатком переносят в муфельную печь, предварительно нагретую до (600±10) °С, и прокаливают в течение (5±1) мин. Переносят чашку в эксикатор, выдерживают (30±5) мин и взвешивают.
Обработка результатов
Массовую долю остатка после прокаливания Х2 %, вычисляют по формуле:
(5.4)
где m1 - масса чашки с остатком после прокаливания, г;
m - масса пустой чашки, г;
V - объем пробы соляной кислоты, взятой для анализа, см3 ;
p - плотность соляной кислоты, г/см3 .
За результат анализа принимают среднеарифметическое результатов двух параллельных измерений, допускаемые расхождения между которыми не должны превышать 0,0006 %. Результаты параллельных определений округляют до 0,0001 %, результат определения - 0,001 %. Допускаемые расхождения между результатами, полученными в двух лабораториях, не должны превышать 0,0008 %. Абсолютная суммарная погрешность определения ± 0,0005 % при доверитель- ной вероятности Р = 0,95 .
5.2.6 Определение массовой доли свободного хлора
Метод основан на реакции окисления метилового оранжевого хлором:
![]() |
(6.5)
В результате окисления метилового оранжевого окраска его растворов становится менее интенсивной. Интенсивность окраски зависит от порядка смешивания растворов, поэтому анализируемую соляную кислоту добавляют последней при перемешивании. Метод отличается избирательностью, железо (III) мешает определению. Диапазон измерения 5·10-4 - 8·10-3 %.
Аппаратура, реактивы и растворы:
- колориметр фотоэлектрический лабораторный КФК или другого типа, обеспечивающий заданную чувствительность и точность;
- колбы мерные 2-25, 1000 по ГОСТ 1770;
- пипетки 1,5-1,2 по ГОСТ 29169;
- кислота соляная по ГОСТ 3118, х.ч., раствор (1:2);
- метиловый оранжевый (индикатор), раствор концентрации 0,1 г/дм3 , готовят следующим образом: 0,1 г метилового оранжевого переносят в мерную колбу вместимостью 1000 см3 , доводят объем раствора водой до метки и перемешивают. Результаты взвешивания записывают с точностью до второго десятичного знака.
Приготовление градуировочных растворов и градуировка фотоэлектроколориметра
В мерные колбы вместимостью 25 см3 вводят 15 см3 воды, пипеткой прибавляют 2,0; 1,6; 1,2; 0,8; 0,4 см3 раствора метилового оранжевого, что соответствует 0; 10; 20; 30; 40 мкг хлора, добавляют по 1 см3 раствора соляной кислоты, доводят объем раствора водой до метки и перемешивают.
Оптическую плотность полученных растворов измеряют на фотоэлектроколори-метре при толщине поглощающего свет слоя раствора 10 мм и при длине волны 490-505 нм. Раствор сравнения - дистиллированная вода.
По полученным данным строят градуировочной график, откладывая на оси абсцисс массу хлора в микрограммах, на оси ординат - соответствующее значение оптических плотностей.
Градуировочный график проверяют один раз в квартал, а также при замене реактивов или приборов.
Градуировку прибора допускается проводить по методу наименьших квадратов.
Проведение анализа
В мерную колбу вместимостью 25 см3 помещают 15 см3 дистиллированной воды, энергично перемешивая, пипеткой вводят 2 см3 раствора метилового оранжевого, (0,5-2) см3 анализируемой соляной кислоты, доводят объем раствора водой до метки и перемешивают. Оптическую плотность полученного раствора измеряют на фотоэлектроколориметре при толщине поглощающего свет слоя раствора 10 мм и длине волны 490-505 нм. Раствор сравнения - дистиллированная вода.
Массу хлора в микрограммах в кислоте находят по градуировочному графику.
Обработка результатов
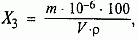
Массовую долю свободного хлора Х3 , %, вычисляют по формуле:
![]()
(5.6)
где m - масса хлора в анализируемой соляной кислоте, найденная по градуировочному графику, мкт;
V - объем соляной кислоты, взятый для выполнения анализа, см3 ;
p - плотность анализируемой соляной кислоты, г/см3 .
За результат анализа принимают среднеарифметическое результатов трех параллельных измерений, расхождения между которыми не должны превышать 0,0003 %, Результаты определения округляют до 0,0001 %.
Допускаемые расхождения между результатами, полученными в двух лабораториях, не должны превышать 0,0005 %.
Абсолютная суммарная погрешность определения находится в диапазоне ±0,2 А, где А - результат определения при доверительной вероятности Р = 0,95
.
5.3 Транспортировка и хранение
Техническую синтетическую соляную кислоту в соответствии с правилами перевозки опасных грузов транспортируют:
- наливом в железнодорожных цистернах ("Правила перевозки опасных грузов № 340", ч. 2, раздел 41);
- упакованную в бочки и бутыли в ящиках - железнодорожным транспортом в крытых вагонах повагонными отправками ("Правила перевозки опасных грузов № 340", ч. 2, раздел 42);
- упакованную в контейнеры, бочки, бутыли - автомобильным и водным транспортом.
Бочки и бутыли при отгрузке пакетами формируют на плоских деревянных поддонах по ГОСТ 9557-87 в соответствии с требованиями ГОСТ 21650, ГОСТ 24597 и ГОСТ 26663.
Масса пакета не должна превышать грузоподъемность поддона.
В железнодорожном вагоне пакеты устанавливают так, чтобы вместимость (грузоподъемность) вагона была использована полностью.
Техническую синтетическую соляную кислоту хранят в герметичных резервуарах изготовителя и потребителя, изготовленных из материалов, стойких к соляной кислоте.
Срок хранения продукта неограничен.[7]
Заключение
В заключение курсовой работы можно сделать некоторые выводы.
Соляная кислота – это прозрачная бесцветная или желтоватая жидкость без взвешенных или эмульгированных частиц
Соляная кислота применяется в химической, медицинской, пищевой промышленности, цветной и черной металлургии.
Соляная кислота (хлороводородная кислота), по химическому составу отвечающая хлориду водорода находит широкое применение в ряде отраслей народного хозяйства.
В промышленности соляную кислоту получают следующими способами:
- сульфатным;
- синтетическим,
- из абгазов (побочных газов) ряда процессов.
Техническая синтетическая соляная кислота должна изготовляться в соответствии с требованиями стандартов по технологическому регламенту, утвержденному в установленном порядке.
Техническую синтетическую соляную кислоту в соответствии с правилами перевозки опасных грузов транспортируют:
- наливом в железнодорожных цистернах ("Правила перевозки опасных грузов № 340", ч. 2, раздел 41);
- упакованную в бочки и бутыли в ящиках - железнодорожным транспортом в крытых вагонах повагонными отправками ("Правила перевозки опасных грузов № 340", ч. 2, раздел 42);
- упакованную в контейнеры, бочки, бутыли - автомобильным и водным транспортом.
Бочки и бутыли при отгрузке пакетами формируют на плоских деревянных поддонах по ГОСТ 9557-87 в соответствии с требованиями ГОСТ 21650, ГОСТ 24597 и ГОСТ 26663.
Список ИСПОЛЬЗУЕМЫХ ИСТОЧНИКОВ
1. Асатурьян Н.Г., Голь В.Н. Справочник товароведа непродовольственных товаров.М.: Экономика, 1990. - 349 с.
2. Брозовский Д.И. Товароведение непродовольственных товаров. М.: ЮНИТИ, 1990. - 398 с.
3. Демидова Г.А. и др. «Товароведение непродовольственных товаров», Т. 4, М. 1987г.
4. Демидова Г.А. Товароведение непродовольственных товаров. М.:Луч, 2000.- 487 с
5. Епифанцева В.В. Химическая промышленность Беларуси, - Мн.: Вышэйшая школа, 2005. – 274с.
6. Каролькова Р.В. Химическая промышленность, - СПб.:Питер, 2005. – 285с.
7. Лифиц И.М. Основы стандартизации, метрологии, сертификации: Учебник. – М.: Юрайт, 1999. – 252 с.
8. Постановление Комитета по стандартизации, метрологии и сертификации при Совете Министров Республики Беларусь № 35 от 30.06.2004 года
9. Сыцко В.Е., Дрозд М.И. Товароведение непродовольственных товаров.Мн.: Вышэйшая школа, 2005. - 663 с.
10. Экономическая газета - №12 - 2005г

