| Скачать .docx | Скачать .pdf |
Дипломная работа: Розрахунок конкурентоспроможності серверів компанії "Квазар-Мікро"
Реферат
Об’єктом дослідження дипломної роботи є діяльність компанії «КВАЗАР-МІКРО».
Предметом дослідження є забезпечення міжнародної конкурентоспроможності товару.
Метою даної дипломної роботи є розрахунок конкурентоспроможності серверів компанії «КВАЗА-МІКРО» та аналіз ефективності дій компанії, які направлені на забезпечення міжнародної конкурентоспроможності товару.
В ході виконання дипломної роботи розглянуті теоретичні аспекти конкурентоспроможності, розглянута загальна схема оцінки конкурентоспроможності та порядок оцінки конкурентоспроможності продукції існуючими методами,
Після цього розглянуто практичне застосування розрахунків конкурентоспроможності для забезпечення конкурентоспроможності товару та проаналізовані результати розрахунків конкурентоспроможності серверів компанії «КВАЗАР-МІКРО» у порівнянні з серверами всесвітньо відомого бренду. Це дозволило визначити рівень конкурентоспроможності серверів компанії «КВАЗАР-МІКРО», основні напрямки подальшого вдосконалення системи забезпечення конкурентоспроможності, а також деякі недоліки, усунення яких дасть змогу компанії зміцнити свої позиції на ринку інформаційних технологій.
Реферат
Объектом исследования дипломной работы является деятельность компании «КВАЗАР-МИКРО».
Предметом исследования является обеспечение международной конкурентоспособности товара.
Целью дипломной работы является расчет конкурентоспособности серверов компании «КВАЗАР-МИКРО» и анализ эффективности действий компании, которые направлены на обеспечение международной конкурентоспособности товара.
В ходе выполнения дипломной работы рассмотрены теоретические аспекты конкурентоспособности, рассмотрена общая схема оценки конкурентоспособности и порядок оценки конкурентоспособности продукции существующими методами.
После этого рассмотрено практическое применение расчетов конкурентоспособности для обеспечения конкурентоспособности товара и проанализированы результаты расчетов конкурентоспособности серверов компании «КВАЗАР-МИКРО» в сравнении с серверами всемирно известного бренда. Это дало возможность определить уровень конкурентоспособности серверов компании «КВАЗАР-МИКРО», основные направления дальнейшего усовершенствования системы обеспечения конкурентоспособности, а также некоторые недостатки, устранения которых даст возможность компании укрепить свои позиции на рынке информационных технологий.
The abstract
Object of diploma work research is activity of company "KVAZAR-MIKRO".
Subject of diploma work research is maintenance of the international competitiveness of the goods.
The purpose of degree work is calculations of competitiveness servers of company "KVAZAR-MIKRO" and the analysis of actions of the company which are directed on maintenance of the international competitiveness of the goods.
During performance of degree work theoretical aspects of competitiveness are examined, the general scheme of an estimation of competitiveness and an order of an estimation of competitiveness of production is examined by existing methods.
After that practical application of calculations of competitiveness for maintenance of competitiveness of the goods is examined and results of calculations of competitiveness of servers of company "KVAZAR-MIKRO " in comparison with servers of a world famous brand are analyzed. It has given the chance to define level of competitiveness of servers of company "KVAZAR-MIKRO", the basic directions of the further improvement of system of maintenance of competitiveness, and also some lacks which elimination will give the chance to the company to strengthen the positions in the market of information technologies.
Вступ
Розвиток ринково-економічних відносин призвів до лібералізації зовнішньоекономічної діяльності, зняттю багатьох бар'єрів проникнення імпортних товарів на внутрішній ринок України. Падіння промислового виробництва, важке фінансове становище підприємства, низький рівень платоспроможності населення стимулюють вітчизняного виробника переключатися на зовнішні ринки збуту. У результаті українські товари зіткнулися із жорсткою конкуренцією як усередині країни, так і на зарубіжних ринках, які найчастіше перенасичені аналогічною продукцією високої якості.
У цих умовах, забезпечення конкурентоспроможності продукції стає найважливішим плановим завданням підприємств, оскільки в цій комплексній категорії сполучаються й фокусуються основні технологічні, соціально-економічні й фінансові результати господарчої діяльності підприємства. Вирішення цієї проблеми припускає необхідність, у першу чергу, одержання об'єктивної оцінки рівня конкурентоспроможності відповідної продукції українського виробництва і її зарубіжних аналогів.
Теоретичні основи конкурентоспроможності продукції розглянуті в роботах Ф. Котлера, Ж.-Ж. Ламбена, М.Портера, В.Благоєва, Г.Л. Багиєва, В.М.Тарасевича, X. Анн, Г.Л. Азоєва, А.П. Челенкова, Р.А. Фатхутдинова, А.Ю. Юданова, Т.Д. Масловой, С.Г.Божук, Л.Н.Ковалик, И.М.Лифица, В.В.Тіхоненко, Ю.І. Продіуса та інших маркетологів.
Метою даної дипломної роботи є розрахунок конкурентоспроможності серверів компанії «КВАЗА-МІКРО» та аналіз ефективності дій компанії, які направлені на забезпечення міжнародної конкурентоспроможності товару.
У ході дослідження було поставлено наступні задачі:
1) розглянути теоретичні аспекти конкурентоспроможності;
2) розглянути загальну схему оцінки конкурентоспроможності та порядок оцінки конкурентоспроможності продукції існуючими методами;
3) розрахувати показники конкурентоспроможності серверів компанії «КВАЗАР-МІКРО»;
4) проаналізувати розрахунки конкурентоспроможності та розробити пропозицій з удосконалення системи забезпечення конкурентоспроможності на підприємстві.
Об’єктом дослідження дипломної роботи є діяльність компанії «КВАЗАР-МІКРО».
Предметом дослідження є забезпечення міжнародної конкурентоспроможності товару.
Методи дослідження – метод логічної дедукції, аналіз техніко-економічних показників і статистичних даних, кількісний і якісний аналіз.
Інформаційним забезпеченням для виконання дипломної роботи були: науково-технічна література, інформація з періодичних видань, внутрішні дані компанії «КВАЗАР-МІКРО» та дані мережі Internet.
Практична значимість цієї дипломної роботи полягає в тому, що ґрунтуючись на аналізі техніко-економічних показників компанії «КВАЗАР-МІКРО» автор виявив рівень конкурентоспроможності продукції підприємства. Це дозволило визначити основні напрямки подальшого вдосконалення системи забезпечення конкурентоспроможності.
1 .Конкурентоспроможність на етапах життєвого циклу товару
1.1 Характеристика основних етапів життєвого циклу товару
При активному формуванні асортиментів товару досить корисним може стати досвід маркетингової діяльності по дослідженню життєвого циклу виробів [1].
Життєвий цикл товару - період, протягом якого товар купується на ринку. Ця концепція використовується для створення й збуту продукції, розробки стратегії маркетингу з моменту надходження товару на ринок до його зняття з ринку. Життєвий цикл товару може бути представлений як певна послідовність стадій існування його на ринку, що має часові рамки. Динаміка життя товару показує обсяг можливих (фактичних) продажів у кожний певний час існування попиту на нього. При всій розмаїтості життєвих циклів товарів можна виділити наступні основні фази (стадії) життєвого циклу як концепції товару: розробку, впровадження, зріст, попиту, зрілість (або стабілізацію) і спад. (Рисунок 1.1)
Впровадження – фаза появи нового товару на ринку (спочатку у вигляді пробних продажів). Ціль маркетингу – створити ринок нового товару. На цій стадії товар ще є новинкою. Щоб товар був визнаний і прийнятий споживачами в комерційному значенні й довів свої достоїнства в розумінні технічному, потрібне значний час і великі витрати коштів. При цьому обсяг реалізації малий і збільшується дуже повільно.
Якщо впровадження пройшло успішно, товар вступає у фазу росту. Зростання попиту – фаза визнання покупцем товару й швидкого збільшення попиту на нього. У цей період ціль маркетингу – розширити збут і сукупність модифікацій продукту. Зростає число й обсяг повторних і багаторазових покупок, репутація й популярність товару підвищуються в результаті обміну думками між покупцями. Часто конкуруючі фірми звертають увагу на цей потенційний ринок, починають пропонувати аналогічні або подібні товари й, проводячи власні рекламні заходи, тим самим прискорюють збільшення місткості ринку.
Зрілість (стабілізація) – фаза поступового задоволення попиту на даний товар. Головне завдання маркетингової діяльності в цих умовах – зберегти переважне положення товару на ринку як можна довше. Знижуються темпи росту попиту й стабілізуються обсяги продажів. У цій фазі стає необхідним збільшення витрат на маркетинг – рекламу, підвищення якості товару, поліпшення сервісу; можливе зниження цін для підтримки обсягів продажу. Прибутковість торгівлі може бути забезпечена в цій фазі тільки на основі зменшення виробничих витрат. Наприкінці цієї фази повинні прийматися тактичні й стратегічні рішення по продукту – його подальша модифікація або перехід на нову модель.
Нарешті товар вступає у фазу спаду. Спад – фаза різкого зниження обсягів продажів, а потім і прибутку. Для виграшу часу в здійсненні змін в асортиментній політиці фірма може підсилити маркетингові заходи (реклама, пакування, методи збуту й т.д.) або ж взагалі відмовитися від виробництва товару, що втратив популярність. Обсяг реалізації починає зменшуватися. Розглянутий товар завершує свій життєвий цикл. Він витісняється з ринку черговим поколінням нових і перспективних товарів.
Характеристика основних етапів життєвого циклу товару [2]:
Розробка. Це аналіз можливостей виробництва продукції. Дослідження й дослідно-конструкторські розробки, маркетингові дослідження. Ринкові випробування.
Виведення на ринок. Це надходження товару в продаж. Нова марка товару має короткочасні (монополістичні) переваги.
Зростання. Це відповідна реакція конкурентів. Швидко зростаючий ринок. Марка товару збільшує або скорочує свою частку. Зростання споживання на душу населення. Мінливий, нестабільний характер.
Зрілість. Це стабілізація. Зростання продажів, але усе більш повільними темпами, потім припинення й зрештою скорочення. Значне число покупців вибирають марку товару, тобто перевага марці стає істотним фактором, споживання на душу населення падає.
Насичення ринку й занепад. Весь ринок скорочується. Виникає надлишок потужностей. Можливі злиття фірм. З’являються товари-замінники.
Фаза впровадження:
Товар і його зміни. Ключове значення для успіху мають конструкція (дизайн), споживчі властивості товару, а також зворотний зв'язок зі споживачами. На ринку безліч різних товарів.
Маркетинг. Дуже високі витрати на рекламу стосовно обсягу реалізації товару. Максимальне використання можливостей цін. Більші витрати на заходи щодо маркетингу.
Виробництво й розподіл. Надлишок і не завантаженість виробничих потужностей. Випуск товарів малими й середніми партіями. Висока собівартість. Спеціально виділені канали товаророзподілу.
Конкуренція. Лише деякі фірми є конкурентами.
Частка роздробу в ціні товару й прибутку. Високі ціни, висока частка роздробу. Низька прибутковість. Еластичність цін, доступна окремій роздрібній фірмі, не настільки велика, як у фазі зрілості.
Покупець і його поведінка. Покупець інертний. Покупця необхідно переконати спробувати випробувати товар.
Фаза зростання:
Товар і його зміни. Товари мають технічні й функціональні розходження. Якість товарів висока. З'являються конкуруючі товари.
Маркетинг. Високі витрати на рекламу, але все ж, таки складають меншу частку обороту, чим у фазі впровадження. Для товарів, що не мають технічного характеру, ключовими завданнями є реклама й товаророзподіл.
Виробництвой розподіл. Виробничих потужностей не вистачає. Зрушення убік масового виробництва. Товаророзподіл здійснюється по каналах масового збуту.
Конкуренція. Багато фірм вступають у конкурентну боротьбу. Чисельність конкурентів стає значною.
Частка роздробу в ціні товару й прибутку. Високі прибутки. Досить високі ціни, однак, нижче, ніж у фазі впровадження. Частка роздробу в ціні й прибутку стійка до впливу економічного спаду.
Покупець і його поводження. Контингенти покупців розширюються. Споживачі приймають товари навіть нестабільної й неоднакової якості.
Фаза зрілості:
Товар і його зміни. Чудова якість. Уповільнення змін товарів.
Маркетинг. Сегментація ринку: його поділ на окремі сегменти. Зусилля, спрямовані на продовження життєвого циклу. Поглиблення асортиментів. Конкуренція рекламних кампаній.
Виробництво й розподіл. Деякий надлишок виробничих потужностей. Застосовуються стабільні, відпрацьовані технології. Товар випускається великими партіями. Високі витрати на фізичний розподіл внаслідок поглиблення асортиментів.
Конкуренція. Конкуренція цін. Збільшення кількості фірмових торгових марок.
Частка роздробу в ціні товару й прибутку. Ціни падають. Частка роздробу в ціні товару й прибутку зменшується. Структура цін і розподіл часток ринку між конкуруючими фірмами встоялися.
Покупець і його поведінка. Масовий ринок. Насичення. Повторні й багаторазові покупки. Як правило, покупець вибирає з декількох фірмових марок товару.
Фаза спаду:
Товар і його зміни. Мала диференціація між товарами. Якість товару нестабільна.
Маркетинг. Низьке відношення витрат не рекламу до обсягу й реалізації. Малі інші витрати по маркетингу.
Виробництво й розподіл. Значний надлишок виробничих потужностей. Використання лише деяких каналів товаророзподілу.
Конкуренція. Фірми починають виходити з конкурентної боротьби, кількість конкурентів зменшується.
Частка роздробу в ціні товару й прибутку. Низька ціна, низька частка роздробу в цій ціні. У самому кінці фази ціни можуть підвищитися.
Покупець і його поводження. Покупці досвідчені, добре знають товар [2].
Обрана тема актуальна для даного дипломного проектування, тому що необхідно аналізувати конкурентоспроможність на кожному етапі життєвого циклу товару для організації ефективного збуту продукції, що користується попитом на ринку.
1.2 Поняття конкурентоспроможності та фактори, що її визначають
У нових умовах господарювання, підвищення конкурентоспроможності продукції стає найважливішим плановим завданням підприємств, оскільки в цій комплексній категорії сполучаються й фокусуються основні технологічні, соціально-економічні й фінансові результати господарчої діяльності підприємства, якість праці [3].
Під конкурентоспроможністю продукції розуміється комплекс споживчих і вартісних характеристик товарів, що визначають їхню перевагу для споживача (внутрішнього й зовнішнього ринків) у порівнянні з аналогічними виробами інших зарубіжних і вітчизняних підприємств [4].
Існують такі форми конкуренції, предметна (міжфірмова, внутрішньогалузева) і функціональна (міжгалузева).
Предметна форма конкурентної боротьби припускає конкуренцію між товарами-аналогами, призначену для задоволення однієї й тієї ж потреби, але реалізується за ціною, рівню якості. В основі цієї форми лежить явище диференціації продукції, що знайшло широке поширення на ринку високорозвинених країн. Фірми-виготовлювачі прагнуть кожний із предметів споживання, що випускають, поставити на ринок у різних варіантах виконання, ґрунтуючись на смаках, запитах і фінансових можливостях споживачів.
При функціональній формі конкуренції в конкурентну боротьбу включаються товари різних галузей, що задовольняють різні потреби населення й виробництва.
По методах здійснення конкуренцію підрозділяють на цінову й нецінову. Цінова конкуренція припускає продаж товарів по більш низьких цінах, чим конкуренти. Нецінова конкуренція базується на відмінних рисах товарів у порівнянні з конкурентами, рівні якості продукції.
В умовах сучасного виробництва центр конкурентної боротьби усе більше зміщається в область якості товарів [5]. Розширення ринку й збільшення збуту досягається не стільки за рахунок зниження цін, скільки за рахунок підвищення якості, забезпечення ринкової новизни товарів, надання покупцеві великого обсягу високоякісних послуг, що супроводжують реалізацію й експлуатацію виробів.
Економічний успіх фірм у значній мірі залежить від інноваційної діяльності, спрямованої на створення товарів ринкової новизни. По оцінках економістів, товари ринкової новизни забезпечують прибуток, більший на 28% у порівнянні з товарами, що традиційно випускаються та реалізовуються.
До товарів ринкової новизни відносяться:
1) товари, що повністю задовольняють нову потребу;
2) товари, що забезпечують більш високий ступінь задоволення потреби;
3) товари, що істотно розширюють коло своїх споживачів.
Фірмами-виробниками застосовуються два основних підходи для забезпечення ринкової новизни товарів [6]:
- модернізація продукції, що випускається, тобто внесення в конструкцію часткових змін з метою підвищення рівня конкурентоспроможності товару;
- пошук нових конструкторських рішень.
Реалізація цих підходів дає можливість отримати новий продукт, що може бути представлений як:
- модернізований виріб;
- виріб, що містить незначне нововведення, тобто даний виріб раніше вироблявся іншими фірмами;
- виріб, що містить значне нововведення, тобто виріб ніким раніше не вироблявся.
Разом з тим створення й реалізація товару ринкової новизни містить значні елементи ризику. Комерційні невдачі товарів ринкової новизни пояснюються наступними основними причинами:
1) невірна оцінка вимог ринку (32%);
2) неправильна політика збуту (13%);
3) висока ціна (14%);
4) несвоєчасний початок продажу (10%);
5) жорстка конкуренція (8%);
6) технічна недосконалість виробів (23%).
Таким чином, ринкова новизна є одним з найважливіших факторів конкурентоспроможності товару. Разом з тією важливою умовою, що визначає можливість випуску конкурентоздатної продукції, представляється конкурентоспроможність підприємства.
1.3 Складові елементи конкурентоспроможності продукції
1.3.1 Якість як стратегічний потенціал успіху підприємства
Конкурентоспроможність продукції є складною категорією, що складається з ряду елементів. Найважливішим елементом конкурентоспроможності продукції на світовому ринку є якість і ціна. Крім того, велике значення мають комерційні й організаційні умови забезпечення конкурентоспроможності продукції.
Фахівці з управління вважають, що конкурентоспроможність продукції на 70-80% залежить від її якості. На сучасному етапі більшість учених, що займаються проблемами управління якістю продукції, розуміють під якістю ступінь відповідності вимогам споживача.
Таким чином основним законом бізнесу відносно якості є наступне ствердження: “ Якщо споживач вважає, що даний продукт поганої якості, виходить, він дійсно поганої якості, навіть якщо він відповідає кресленням і специфікаціям і це підтверджується інспекцією” [7].
Дотримуючись цього закону, фірми намагаються забезпечити рівень якості продукції відповідно до інтересів споживача.
Говорячи про якість як про складовий елемент конкурентоспроможності продукції, слід зазначити, що якість, в остаточному підсумку, повинне оцінюватися з погляду покупця. Однак в умовах ринкової економіки покупець зацікавлений не тільки в якості самого продукту, але й у наявності і якості додаткового обслуговування (технічного обслуговування, оформленні замовлень і т.п.) У зв'язку цим якість для покупця може бути виражена наступною формулою:
| Якість для покупця | = а * | Якість продукту | + в * | Якість доставки | + с * | Якість додаткового обслуговування |
Параметри а, в, с виражають коректувальні коефіцієнти, які визначаються на основі ступеня значимості для покупця того або іншого фактору.
У ролі обмеження у формулі виступає ціна, яку покупець може й готовий заплатити
В останні роки все більше число компаній, розглядаючи якість як стратегічний потенціал успіху, будують свою діяльність із використанням базових принципів управління якістю [5]:
1) Робота, спрямована на підвищення якості, повинна виступати обов'язковою складовою частиною стратегії компанії.
2) Необхідно проводити постійні маркетингові дослідження з вивчення ринку.
3) Доцільно в плані скорочення витрат орієнтуватися на вдосконалювання продуктивного процесу.
4) Для рішення виробничо-збутових проблем необхідно проводити постійну цілеспрямовану роботу, а не чекати виникнення кризової ситуації.
5) Постачальники повинні стати партнерами, а не супротивниками, яких можна обвинувачувати у всіх невдачах.
6) Кожний працівник компанії повинен постійно підвищувати кваліфікацію.
7) Необхідно пам'ятати, що кожний працівник обслуговує свого споживача як усередині компанії, так і поза нею.
8) Виробити стратегію якості як основу діяльності, базуючись на реальних можливостях підприємства.
У циклі планування беруть участь всі співробітники фірми - від керівників до виконавців. Розробка всього циклу планування завершується єдиним узгодженням.
Щорічно фірми складають поточні (короткострокові) плани підвищення якості продукції, що випускається. Такий план включає виробничий графік, програму капітальних вкладень, ринкову стратегію, планові витрати, можливе використання трудових ресурсів і плани виробництва нової продукції. Поточний план аналізується всіма підрозділами, вносяться корективи, після цього затверджується всіма підрозділами.
Середня й нижча ланка керування підприємства повинна поставляти інформацію для розробки стратегічних планів і відповідати за розробку й виконання поточних планів.
При плануванні якості продукції для забезпечення відповідності техніко-експлуатаційних властивостей запитам споживачів доцільно:
- формування НДВКР, планів виробництва, ґрунтуючись на сегментації ринків, передбачаючи при цьому для кожної групи споживачів розробку окремого плану створення, виробництва й збуту продукції, виходячи з оцінки споживачів і платоспроможного попиту;
- установлення господарчих зв'язків зі споживачами на основі прямих довгострокових договорів;
- випробування дослідних зразків нової продукції на підприємствах-споживачах з докладним вивченням зауважень споживачів;
- стажування розроблювачів на підприємствах-споживачах для вивчення вимог замовників;
- встановлення постійних контактів зі споживачами через фірмові системи обслуговування продукції в процесі її експлуатації.
1.3.2 Методологічні основи встановлення цін на товари в умовах ринку
Ціна є важливим складовим елементом конкурентоспроможності товару. У зв'язку з цим представляється необхідним розгляд методологічних основ установлення цін на товари в умовах ринкової економіки. Методологія ціноутворення базується на маркетингових дослідженнях [8].
Фірми-виробники промислової продукції здійснюють розробку й реалізацію політики цін, що являє собою загальне керівництво діяльністю по встановленню цін. Загальна політика ціноутворення припускає визначення вихідної ціни товару й подальше її коректування з обліком зовнішніх і внутрішніх факторів. Методика розрахунку вихідних цін може складатися з наступних етапів:
1) постановка завдань ціноутворення;
2) визначення попиту;
3) оцінка витрат;
4) аналіз цін і товарів конкурентів;
5) вибір методу ціноутворення;
6) установлення остаточної ціни.
Розглянемо етапи методики більш докладно.
Постановка завдань ціноутворення визначається цілями, які хоче досягти фірма за допомогою товару. Причому завдання ціноутворення повинні бути пов'язані із загальними цілями компанії й відображати їх. Можна виділити наступні основні завдання, які визначають загальну політику фірми в області ціноутворення [8]:
1) забезпечення виживаності. Застосовується у випадку, якщо на ринку багато виробників аналогічної продукції, гостра конкурентна боротьба або вимоги споживачів часто міняються;
2) максимізація поточного прибутку. Використовується, якщо поточні фінансові показники для фірми важливіше довгострокових показників;
3) завоювання лідерства по показниках частки ринку. Фірма може вибирати подібні цілі, ґрунтуючись на ряді причин, до яких можна віднести зацікавленість у збільшенні обсягу збуту, забезпеченні стабільних доходів, посиленні свого впливу на ринці й т.п.
Визначення попиту. Спостерігається тісна залежність між цінами й ринковим попитом на товари, що визначається кривою ринкового попиту, що показана на рисунку 1.2.
![]() |
Рисунок 1.2 - Крива попиту для більшості товарів
Крива ринкового попиту показує, яка кількість товару буде продана за певний період часу за різними цінами [9]. Для більшості товарів попит і ціна перебувають в зворотно пропорційній залежності, тобто при підвищенні ціни знижується попит (якщо Ц2 > Ц1, то K2 < K1.) Однак ця загальна тенденція для конкретних товарів у ринкових умовах може значно змінюватися. Так, наприклад, для престижних товарів крива ринкового попиту може здобувати іншу конфігурацію, показану на рисунку 1.3

Рисунок 1.3 - Крива попиту для престижних товарів
У цьому випадку, якщо Ц2 > Ц1 те K2> K1. Пояснюється таке положення тим, що споживачі престижних товарів відносять підвищення в ціні на показники підвищеної якості товарів. Проте й для цієї групи товарів підвищення в ціні не може бути безмежно, тому що при дуже значному збільшенні цін попит на товари може бути знижений (якщо Ц3 > Ц2, то K3 < K2).
Для визначення залежності між ціною й попитом, криві ринкового попиту вимагають ретельних вимірів. Застосовуються наступні основні методи виміру кривих попиту:
1) проведення опитування споживачів;
2) прямий ринковий експеримент, тобто пробний продаж на ринку за зміненими цінами;
3) статистичні методи, що оцінюють криві попиту на основі динаміки зміни цін і обсягу продажів товарів по роках.
Для визначення міри чутливості попиту на товари до змін у ціні використовується поняття еластичності попиту від цін [10].
На рівень еластичності попиту від цін впливає ряд факторів:
1) кількість і близькість доступних замінників товару. Так, якщо товар має багато близьких замінників, то попит на нього, імовірно, буде високоеластичним за ціною. Це означає, що в разі підвищення цін на товар покупці звернуться до більш доступних за ціною замінників цього товару;
2) створення до товару необхідних для його використання доповнень. Наприклад: джин і тонік, тенісні ракетки й м'ячі. Зменшення ціни на один вид товару може підвищити попит на товар-доповнення;
3) кількість товару, споживається;
4) важливість товару для "споживчого кошика" покупця;
5) рівень грошових доходів і витрат споживачів;
6) споживчий стереотип покупців;
7) наявність конкурентів;
8) використання фірмою заходів щодо стимулювання збуту (реклама пробних продажів, виставок і т.д.).
Оцінка витрат. Попит, як правило, визначає максимальну ціну, що може запросити фірма за свою продукцію. Мінімальна ціна визначається витратами виробництва, обслуговування, збуту.
Аналіз цін і товарів конкурентів. Для встановлення цін у відповідності з конкретними ринковими умовами фірмі необхідно проаналізувати цінуй і товари своїх конкурентів. При цьому фірма може зробити порівняльні покупки товарів конкуруючих цін, опитати покупців про ціни й товари конкурентів, досліджувати прейскурант конкуруючих фірм і т.п.
Вибір методу ціноутворення. Для встановлення ціни є необхідним вибір методу ціноутворення. Розрізняють наступні методи ціноутворення:
1) "середні витрати плюс прибуток". В основі цього методу лежить визначення ціни шляхом нарахування певної націнки на собівартість товару;
2) забезпечення цільового прибутку. Цей метод ґрунтується на одержанні певного обсягу прибутку;
3) установлення цін на основі відчуття цінності товару . Основним фактором при цьому методі ціноутворення виступає купівельне сприйняття товару;
4) визначення цін на основі рівня поточних ринкових цін;
5) встановлення цін на основі закритих торгів. Розрахунок здійснюється виходячи з очікуваних цінових пропозицій конкурентів. Застосовується для завоювання вигідного для фірми контракту.
Встановлення остаточної ціни проводиться з урахуванням ряду факторів, що здійснюють вплив на ціну. Одним з таких важливих факторів є стадія "життєвого циклу" товару. [8]
Значний вплив на рівень цін також оказує цінова конкуренція [11]. Цінова конкуренція має багатоцільове призначення:
- по-перше, низька ціна може служити інструментом проникнення на нові ринки;
- по-друге, низька ціна використовується фірмою як бар'єр проти виходу на ринок нових конкурентів;
- по-третє, у ряді випадків фірми проводять зниження цін у відповідь на дії конкурентів;
- по-четверте, зниження цін може використовуватися як спосіб підвищення конкурентоспроможності товару.
В умовах цінової конкуренції для підвищення конкурентоспроможності товару фірма використовують знижки на ціни [12]. Найбільш характерними видами знижок є:
- сезонні знижки;
- знижки за платіж готівкою. Застосовуються для покупців, що оперативно сплачують рахунки;
- знижки за оптовий характер продажів;
- знижки спеціальним покупцям, до яких фірми виявляють особливу зацікавленість;
- бонусні знижки, які надаються за умови, якщо обсяг закупівель за певний проміжок часу досягне встановленого розміру;
- знижки за порушення умов контракту відносно якості.
2 . Методи оцінки конкурентоспроможності
2.1 Загальна схема оцінки конкурентоспроможності
Товар являє собою свого роду живий організм, що розвивається, як відомо в наступному порядку: зачаття - народження - зрілість - старіння й смерть [1].
За аналогією ми розрізняємо наступні етапи типового життєвого циклу товарів: етап розробки товару, етап виведення на ринок, етап зростання, етап зрілості, етап насичення ринку, етап занепаду.
Характеристика основних етапів життєвого циклу товару.
Розробка. Це аналіз можливостей виробництва продукції. Дослідження й дослідно-конструкторські розробки, маркетингові дослідження. Ринкові випробування.
Виведення на ринок. Це надходження товару в продаж. Нова марка товару має короткочасні (монополістичні) переваги.
Зростання. Це відповідна реакція конкурентів. Швидко зростаючий ринок. Марка товару збільшує або скорочує свою частку. Зростання споживання на душу населення. Мінливий, нестабільний характер.
Зрілість. Це стабілізація. Зростання продажів, але усе більш повільними темпами, потім припинення й, зрештою, скорочення. Значне число покупців вибирають марку товару, тобто перевага марці стає істотним фактором, споживання на душу населення падає.
Насичення ринку й занепад. Весь ринок скорочується. Виникає надлишок потужностей. Можливі злиття фірм. З'являються товари-замінники.
Завдання маркетингу на основних етапах життєвого циклу.
Розробка. Маркетингові дослідження. Випробування.
Виведення на ринок. Створення поінформованості про товар. Робота з його прийняття споживачем, створення переваги до марки. Максимізація монополістичної переваги.
Зростання. Проникнення в глиб ринку. Зміцнення прихильності.
Максимізація вигоди від початкового просування товару. Розподіл. “Усна” реклама.
Зрілість. Відстоювання своєї частки ринку. Захоплення частки ринку в слабких конкурентів.
Насичення ринку й занепад. Апробація можливості відмови від виробництва товару. Пошук нового використання наявного іміджу.
Переважні типи споживачів на окремих етапах життєвого циклу товару.
Розробка. Визначаються в результаті маркетингового дослідження.
Виведення на ринок. Новатори, молоді багаті, освічені, законодавці мод, що не бояться ризикувати.
Зростання. Особи, які приймають нове, молоді/середнього віку, багаті/із середніми доходами.
Зрілість. “Рання” більшість.
Насичення. “Пізня” більшість (“рання” більшість плюс повільні люди, особи середнього віку, літні із середнім рівнем доходу/з низькими доходами, обережні, консервативні).
Занепад. Більшість споживачів відмовляються від придбання товару, новатори починають купувати марки-субститути.
Фінансові цілі на окремих етапах життєвого циклу.
Розробка. Беззбитковість.
Виведення на ринок. Прибуток за рахунок продажів.
Зростання. Максимальний об'єм прибутку.
Зрілість. Прибуток за рахунок скорочення витрат.
Насичення й занепад. Скорочення витрат при зменшенні обсягу продажів товарів.
Теорія життєвого циклу товару справедлива для описової моделі, але не у випадку складання прогнозної моделі [2]. Тому, незважаючи на те, що деякі товари й/або марки товару, як можна бачити ідуть своїм життєвим циклом, маркетинг, що має силу уяви, дозволяє іншим товарам/маркам товару надати новий і досить прибутковий строк життя, у той час як суворе проходження нашої теорії «пророкує» занепад.
За допомогою теорії життєвого циклу можна автоматично прогнозувати ситуацію. Якщо управління компанії повністю довіриться цієї теорії, то на етапі зрілості товар може бути позбавлений маркетингової підтримки, щоб кошти, що звільнилися, направити на розробку товару-субституту. Без підтримки маркетингу обсяг продажів товару неминуче скоротиться й виникне необхідність форсувати просування на ринок товару-субституту без належної його технічної перевірки й ринкових випробувань, що в цілому поставить компанію перед двома невдачами замість одного успіху [2].
Конкурентоспроможність - це характеристика товару, що відображає його відмінність від товару - конкурента як по ступеню відповідності конкретної суспільної потреби, так і по витратах на її задоволення [13].
Показник, що виражає таку відмінність, визначає конкурентоспроможність аналізованого товару стосовно товару - конкуренту.
Базою оцінки конкурентоспроможності є дослідження потреб покупця, вимог ринку.
При здійсненні покупки споживач здійснює процес вибору необхідного йому виробу серед цілого ряду аналогічних, пропонованих на ринку, і купує те з них, що найбільшою мірою задовольняє його потреба. При цьому покупець ураховує їхні споживчі властивості, з'ясовує ступінь відповідності власної потреби.
Кожна потреба має властивості і їхні параметри, що характеризують, які визначають її сутність, необхідний споживачеві корисний ефект і конкретні умови процесу споживання. При збігу параметрів потреби з параметрами, що характеризують сам виріб і відбувається покупка.
Для того щоб товар був придбаний конкретним покупцем, він повинен відповідати потребам по технічних параметрах і фінансових можливостях споживача (ціна споживання товару), при цьому споживач прагне витратити мінімум коштів для придбання й споживання товару, тобто оптимізувати свої повні витрати.
Оскільки потреби кожного складаються по впливах великого комплексу факторів і носять індивідуальний характер, оцінки того самого товару різними споживачами можуть не збігатися. Відповідно до неоднаковим і буде їхня перевага, вибір з маси аналогічних товарів, пропонованих на ринку. Отже, стосовно конкретного споживача конкурентоспроможність даного товару також буде індивідуальною.
Найбільше визнання серед товарів, призначених для задоволення даної суспільної потреби, отримує той, котрий більш повно їй відповідає. Це й виділяє його із загальної товарної маси, забезпечує успіх у конкурентній боротьбі [14].
Таким чином, конкурентоспроможність будь-якого товару може бути визначена тільки в результаті порівняння, і тому є відносним показником. Вона являє собою характеристику товару, що відображає його відмінність від товару - конкурента по ступені задоволення конкурентної суспільної потреби.
Конкурентоспроможність визначається сукупністю властивостей цієї продукції, що входять до складу її якості й важливих для споживача, що визначають витрати споживача по придбанню, споживанню (експлуатації) і утилізації продукції. Загальна схема оцінки конкурентоспроможності представлена на рисунку 2.1
- якщо необхідно визначити положення даного товару в ряді аналогічних, то досить провести їхнє пряме порівняння по найважливіших параметрах;
- якщо метою дослідження є оцінка перспектив збуту товару на конкретному ринку, то в аналізі повинна використатися інформація, що включає відомості про вироби, які вийдуть на ринок у перспективі, а також відомості про зміну діючих у країні стандартів і законодавства, динаміки споживчого попиту.
Незалежно від цілей дослідження, основою оцінки конкурентоспроможності є вивчення ринкових умов, що повинне проводитися постійно, як до початку розробки нової продукції, так і в ході її реалізації. Завдання стоїть у виділенні тієї групи факторів, які впливають на формування попиту в певному секторі ринку [16]:
- розглядаються зміни у вимогах постійних замовників продукції;
- аналізуються напрямки розвитку аналогічних розробок;
- розглядаються сфери можливого використання продукції;
- аналізується коло постійних покупців.
Вищевикладене має на увазі комплексне дослідження ринку. Особливе місце у вивченні ринку займає довгострокове прогнозування його розвитку, пов'язане із тривалістю здійснення розробки й виробництва багатьох видів комп'ютерної техніки.
На основі вивчення ринку й вимог покупців вибирається продукція, по якій буде проводитися аналіз або формулюються вимоги до майбутнього виробу, а далі визначається номенклатура параметрів, що беруть участь в оцінці.
При аналізі повинні використатися ті ж критерії, якими оперує споживач, вибираючи товар.
По кожній із груп параметрів проводиться порівняння, що показує наскільки ці параметри близькі до відповідного параметра потреби.
Аналіз конкурентоспроможності починається з оцінки нормативних параметрів. Якщо хоча б один з них не відповідає рівню, що запропонований діючими нормами й стандартами, то подальша оцінка конкурентоспроможності продукції недоцільна, незалежно від результату порівняння по інших параметрах. У той же час, перевищення норм і стандартів і законодавства не може розглядатися як перевага продукції, оскільки з погляду споживача воно часто є марним і споживчої вартості не збільшує.
Виняток можуть скласти випадки, коли покупець зацікавлений у деякому перевищенні діючих норм і стандартів розраховуючи на жорсткість їх у майбутньому.
Проводиться підрахунок групових показників, які в кількісній формі виражають розходження між аналізованою продукцією й потребою по даній групі параметрів, і дозволяє судити про ступінь задоволення потреби по цій групі.
Розраховується інтегральний показник, що використовується для оцінки конкурентоспроможності аналізованої продукції по всіх розглянутих групах параметрів у цілому.
Результати оцінки конкурентоспроможності використовуються для вироблення висновку про неї, а також - для вибору шляхів оптимального підвищення конкурентоспроможності продукції для вирішення ринкових завдань.
Однак факт високої конкурентоспроможності самого виробу є лише необхідною умовою реалізації цього виробу на ринку в заданих обсягах. Варто також ураховувати форми й методи технічного обслуговування, наявність реклами, торгово-політичні відносини між країнами й т.д.
У результаті оцінки конкурентоспроможності продукції можуть бути прийняті наступні рішення [2]:
1) зміна складу, структури застосовуваних матеріалів (сировини, напівфабрикатів), що комплектують виробів або конструкції продукції;
2) зміна порядку проектування продукції;
3) зміна технології виготовлення продукції, методів випробувань, системи контролю якості виготовлення, зберігання, пакування, транспортування, монтажу;
4) зміна цін на продукцію, цін на послуги, по обслуговуванню й ремонту, цін на запасні частини;
5) зміна порядку реалізації продукції на ринку;
6) зміна структури й розміру інвестицій у розробку, виробництво й збут продукції;
7) зміна структури й обсягів коопераційних поставок при виробництві продукції й цін на комплектуючі вироби й складу обраних постачальників;
8) зміна системи стимулювання постачальників;
9) зміна структури імпорту й видів імпортованої продукції.
Принципи й методи оцінки конкурентоспроможності можуть бути використані для обґрунтування прийнятих рішень при [18]:
1) комплексному вивченні ринку й виборі напрямків комерційної діяльності підприємства;
2) розробці заходів щодо підвищення конкурентоспроможності продукції;
3) оцінці перспектив продажу конкретних виробів і формуванні структури продажів;
4) розробці пропозицій по розвитку виробничого потенціалу підприємства;
5) контролі якості продукції;
6) установленні цін на продукцію;
7) відборі продукції при покупці через тендери й торги;
8) атестації продукції;
9) підготовці технічних завдань по створенню нових зразків продукції;
10) рішенні питання про включення в експортну програму й знятті продукції з експорту, або її модернізації;
11) підготовка інформації для реклами продукції;
12) рішенні питання про доцільність патентування й підтримки патенту в дії;
13) розробці заходів щодо стимулювання розроблювачів і постачальників.
2.2 Вибір параметрів, що використовуються при оцінці конкурентоспроможності
Оцінка конкурентоспроможності ґрунтується на порівнянні характеристик аналізованої продукції з конкретною потребою й виявленні їхньої відповідності один одному [19] . Для об'єктивної оцінки необхідно використати ті ж критерії, якими оперує споживач, вибираючи товар на ринку. Отже, повинна бути вирішена задача визначення номенклатури параметрів, що підлягають аналізу та істотних з погляду споживача.
Номенклатура параметрів, що використовуються при оцінці конкурентоспроможності, включає дві узагальнюючі групи:
- параметрів якості (технічних);
- економічних параметрів.
До групи технічних відносяться параметри потреби, які характеризують зміст цієї потреби й умови її задоволення. До них ставляться:
- параметри призначення;
- ергономічні параметри;
- естетичні параметри;
- нормативні параметри.
Параметри призначення характеризують галузі застосування продукції й функції, які вона призначена виконувати. По них можна судити про зміст корисного ефекту, що досягає за допомогою застосування даної продукції в конкретних умовах споживання.
Параметри призначення підрозділяються:
1) на класифікаційні параметри, що характеризують належність продукції до певного класу й використовувані при оцінці тільки на етапі вибору галузі застосування продукції й товарів - конкурентів, вони служать базою для наступного аналізу й у подальших розрахунках не беруть участь (приклад: пасажировмісність, швидкість обертання);
2) параметри технічної ефективності, що характеризують прогресивність технічних рішень, використовуваних при розробці й виготовленні продукції (наприклад, продуктивність верстата, точність і швидкість спрацьовування вимірювальних приладів, об'єм пам'яті для ЕОМ), вони можуть бути й одночасно й класифікаційними;
3) конструктивні параметри, що характеризують основні проектно-конструкторські рішення, використані при розробці й виробництві виробу (склад виробу, його структура, розміри, вага), окремі параметри також можуть служити цілям класифікації;
4) ергономічні параметри, що характеризують продукцію з погляду її відповідності властивостям людського організму при виконанні трудових операцій або споживанні (гігієнічної, антропометричні, фізіологічні, властивості людини, що проявляються у виробничих і побутових процесах);
5) естетичні параметри, що характеризують інформаційну виразність (раціональність форми, цілісність композиції, досконалість виробничого виконання продукції й стабільність товарного виду), вони моделюють зовнішнє сприйняття продукції й відображають саме такі її зовнішні властивості, які є для споживача найбільш важливими, вони розташовуються по ступені значимості для конкретного виду продукції;
6) нормативні параметри, що характеризують властивості продукції, які регламентуються обов'язковими нормами, стандартами й законодавством на ринку, де цю продукцію передбачається збувати (параметри патентної чистоти, що характеризують ступінь втілення в продукції технічних рішень і не патентів, що підпадають під дію, виданих у країнах передбачуваного збуту, екологічні параметри, параметри безпеки, по яких для даного ринку встановлені обов'язкові діючі вимоги міжнародних, національних стандартів, технічних регламентів, норм, законодавства).
До групи економічних параметрів відносяться повні витрати споживача (ціна споживання) по придбанню й споживанню продукції, а також умовами її придбання й використання на конкретному ринку [20].
Повні витрати споживача в загальному випадку включають одноразові й поточні витрати.
Одноразові витрати являють собою витрати по придбанню продукції (ціна продукції), транспортування, митні збори й витрати, витрати на налагодження, пробний пуск, якщо вони не включені в ціну продукції. Іноді це витрати на споруди, необхідність у яких обумовлена вимогами експлуатації або споживання продукції.
Витрати на транспортування складаються з витрат на завантаження й розвантаження, доставку, страхування в дорозі, зберігання, обслуговування продукції при доставці.
Витрати на придбання продукції визначаються ціною, що сплачується фактично покупцем відповідно до договору купівлі - продажу або інших договірних документів. При зіставленні цін на оцінювану продукцію й товари - конкуренти враховуються розходження в комерційних умовах відповідних угод.
Поточні витрати включають:
1) витрати на оплату праці обслуговуючого персоналу, які визначаються нормами й місцевими тарифами в конкретних умовах використання (експлуатації) продукції;
2) витрати на паливо й енергію, які включають їхня вартість відповідно до норм і цінам, що діють на конкретному ринку, а також додаткові витрати, пов'язані з доставкою, навантаженням і розвантаженням палива;
3) витрати на сировину, основні й допоміжні матеріали, споживані при використанні продукції, обумовлені відповідно до норм їхньої витрати для експлуатації або споживання оцінюваної продукції й цінами конкретного ринку;
4) витрати на ремонт, запасні частини та інші статті витрат для конкретного покупця, обумовлені виходячи з умов експлуатації (споживання) продукції в цього покупця, а також нормами, ставками й цінами на послуги й частини на конкретному ринку (у випадку відсутності конкретної інформації для конкретного покупця, зазначені витрати визначаються з використанням даних, середніх для галузі або країни, до яких ставиться споживач продукції.
Остаточне рішення на вибір номенклатури параметрів, використовуваних при оцінці конкурентоспроможності продукції, приймається експертною комісією з урахуванням конкретних умов використання цієї продукції й цілей оцінки [18].
Оцінка проводиться шляхом порівняння параметрів аналізованої продукції з параметрами бази порівняння.
Порівняння проводиться по групах технічних і економічних параметрів.
При оцінці використовуються диференціальний і комплексний методи оцінки.
2.3 Оцінка конкурентоспроможності продукції існуючими методами
Диференціальний метод оцінки конкурентоспроможності, заснований на використанні одиничних параметрів аналізованої продукції й бази порівняння та їхньому порівнянні [18] .
Результат оцінки:
- чи досягнутий рівень у цілому;
- по яких параметрах він не досягнутий;
- які з параметрів найбільше сильно відрізняються від базових.
Якщо за базу оцінки приймається потреба, розрахунок одиничного показника конкурентоспроможності проводиться по формулі:
, (2.1)
де qi - одиничний параметричний показник конкурентоспроможності по i-му параметру;
Pi - величина i-го параметра для аналізованої продукції;
Piо - величина i-го параметра, при якому потреба задовольняється повністю;
n - кількість параметрів;
i = 1,2, 3,...,n.
Аналіз результатів оцінки:
- при оцінці по нормативних параметрах одиничний показник може приймати тільки два значення - 1 або 0. Якщо аналізована продукція відповідає обов'язковим нормам і стандартам, показник дорівнює 1, якщо параметр продукції в норми й стандарти не укладається, то показник дорівнює 0;
- при оцінці по технічних і економічних параметрах одиничний показник може бути більше або дорівнює одиниці, якщо базові значення параметрів установлені нормативно-технічною документацією, спеціальними умовами, замовленнями, договорами;
- якщо аналізована продукція має параметр, значення якого перевищує потреби покупця, обумовлені характером використання (експлуатації) цієї продукції, соціальними умовами, традиціями, фізіологічними особливостями, то зазначене підвищення не буде оцінюватися споживачем як перевага й одиничний показник по даному параметрі не може мати значення більше 100% і при розрахунках повинна використатися мінімальна із двох величин - 100% або фактично значення цього показника.
Якщо за базу оцінки приймається зразок, розрахунок одиничного показника конкурентоспроможності проводиться по формулі:
, (2.2)
, (2.3)
де qi `, qi - одиничний показник конкурентоспроможності по i-му технічному параметрі;
Pi - величина i-го параметра для аналізованої продукції;
Pi 0 - величина i-го параметра для виробу, прийнятого за зразок.
i = 1,2,3,...,n
Аналіз результатів оцінки:
- з формул (2.2) і (2.3) вибирають ту, у якій росту одиничного показника відповідають підвищення конкурентоспроможності (наприклад, для оцінки продуктивності - формула (2.2), а для питомої витрати палива - формула (2.3);
- якщо технічні параметри продукції не мають фізичної міри (наприклад: комфортність, зовнішній вигляд, відповідність моді), для додання цим параметрам кількісних характеристик необхідно використати експертні методи оцінки в балах.
Диференціальний метод дозволяє лише констатувати факт конкурентоспроможності аналізованої продукції або наявності в неї недоліків у порівнянні з товаром - аналогом. Він може використатися на всіх етапах життєвого циклу продукції, особливо при її порівнянні з гіпотетичним зразком. Він не враховує вплив на перевагу споживача при виборі товару вагомості кожного параметра.
Комплексний метод оцінки конкурентоспроможності. Ґрунтується на застосуванні комплексних (групових, узагальнених і інтегральних) показників або порівнянні питомих корисних ефектів аналізованої продукції й зразка [15].
Розрахунок групового показника по нормативних параметрах проводиться по формулі:
, (2.4)
де Iнп - груповий показник конкурентоспроможності по нормативних параметрах;
qнi - одиничний показник конкурентоспроможності по i-му нормативному параметрі, розраховується по формулі (2.1);
n - число нормативних параметрів, що підлягають оцінці.
Аналіз результатів:
якщо хоча б один з одиничних показників дорівнює 0 (тобто продукція по якому-небудь параметрі не відповідає обов'язковій нормі), то груповий показник також дорівнює 0, що говорить про не конкурентоздатність даного товару на розглянутому ринку.
Розрахунок групового показника по технічних параметрах (крім нормативних) проводиться по формулі:
, (2.5)
де Iтп - груповий показник конкурентоспроможності по технічних параметрах;
qi - одиничний показник конкурентоспроможності по i-му технічному параметрі, розраховується по формулах (2.1), (2.2), (2.3);
ai - вагомість i-го параметра в загальному наборі з n технічних параметрів, що характеризують потребу;
n - число параметрів, що беруть участь в оцінці.
Аналіз результатів:
- отриманий груповий показник Iтп характеризує ступінь відповідності даного товару існуючої потреби по всьому наборі технічних параметрів, чим він вище, тим у цілому повніше задовольняються запити споживачів;
- основою для визначення вагомості кожного технічного параметра в загальному наборі є експертні оцінки, засновані на результатах ринкових досліджень, попитів споживачів, семінарів, виставок зразків;
- у випадку труднощів, що виникають при проведенні ринкових досліджень, а також з метою спрощення розрахунків і проведення орієнтовних оцінок з технічних параметрів може бути обрана найбільш вагома група або застосована комплексний параметр - корисний ефект, що надалі бере участь у порівнянні (для підвищення точності оцінки необхідно врахувати вплив на його величину ергономічних, естетичних і екологічних параметрів).
Розрахунок групового показника по економічних параметрах проводиться на основі визначення повних витрат споживача на придбання й споживання (експлуатацію) продукції.
Повні витрати споживача визначаються по формулі:
, (2.6)
де З - повні витрати споживача на придбання й споживання (експлуатацію) продукції;
Зс - одноразові витрати на придбання продукції;
Сi - середні сумарні витрати на експлуатацію продукції, що відносяться до i-го року її служби;
Т - термін служби;
i - рік за порядком.
При цьому,
, (2.7)
де Сj - експлуатаційні витрати по j-ої статті;
n - кількість статей експлуатаційних витрат.
У тому випадку, якщо продукція може бути продана після експлуатації, повні витрати повинні бути зменшені на величину виручки за неї (відповідно показник для даної статті вводиться у формулу зі знаком мінус).
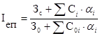
Розрахунок групового показника по економічних параметрах проводиться по формулі:
, (2.8)
де Iеп - груповий показник по економічних параметрах;
З, Зо - повні витрати споживача відповідно по оцінюваній продукції й зразку.
Формули (2.6) і (2.8) не враховують коефіцієнта приведення експлуатаційних витрат до розрахункового року, тому що відносини повних витрат деякою мірою компенсує вплив коефіцієнта приведення на величину Iэп .
В випадку необхідності обліку коефіцієнта приведення експлуатаційних витрат формули (2.6) і (2.8) приймають вид:
(2.9)
Відповідно підрахунок групового показника по економічних параметрах проводиться по формулі:
, (2.10)
де Iеп - груповий показник по економічних параметрах;
З, З0 - одноразові витрати на придбання відповідно до аналізованій продукції й зразка;
Сi , З0i - сумарні витрати на експлуатацію або споживання відповідно до аналізованій продукції й зразка в i-ом року;
Т - термін служби товару;
ai - коефіцієнт приведення експлуатаційних витрат до розрахункового року.
Величина терміну служби для виробів промислового призначення приймається рівної амортизаційному періоду. Для продукції споживчого призначення оцінка терміну служби повинна проводиться на основі відомостей про фактичні терміни служби аналогійних виробів, а також швидкості морального старіння товарів даного класу.
Розрахунок інтегрального показника конкурентоспроможності проводиться по формулі:
(2.11)
де К - інтегральний показник конкурентоспроможності аналізованої продукції стосовно виробу-зразка;
Аналіз результатів. За змістом показник К відображає розходження між порівнюваною продукцією в споживчому ефекті, що припадає на одиницю витрат покупця по придбанню й споживанню виробу.
Якщо К<1, то розглянутий товар уступає зразку по конкурентоспроможності, а якщо К>1, то перевершує, при рівній конкурентоспроможності К=1.
Якщо аналіз проводиться по декількох зразках, інтегральний показник конкурентоспроможності продукції по обраній групі аналогів може бути розрахований як сума середньозважених показників по кожному окремому зразку:
(2.12)
де Кср - інтегральний показник конкурентоспроможності продукції щодо групи зразків;
Кi - показник конкурентоспроможності відносно i-го зразка;
Ri - вагомість i-го зразка в групі аналогів;
N - кількість аналогів.
Змішаний метод оцінки являє собою сполучення диференціального й комплексного методів. При змішаному методі оцінки конкурентоспроможності використовується частина параметрів розрахованих диференціальним методом і частина параметрів розрахованих комплексним методом [18] .
3 .Забезпечення конкурентоспроможності серверів компанії «Квазар-мікро»
3.1 Розрахунок конкурентоспроможності серверів компанії «Квазар-мікро» диференціальним методом
На прикладі компанії «КВАЗАР-МІКРО» розглянемо питання забезпечення міжнародної конкурентоспроможності її товарів, для чого зробимо оцінку конкурентоспроможності її продукції, що дасть змогу проаналізувати ефективність роботи в цьому напрямку.
Вихідні дані представлені в таблиці 3.1. Дані вироби пройшли повні випробування в незалежній лабораторії споживчого товариства. Оцінки в балах по якості обслуговування в межах від 1 до 5 установлені експертами на підставі технічних параметрів виробу. За зразок прийнята модель сервера фірми Hewlett-Packard HP ML350G5 5405 (470064-631) QC 2.0/ 1333-12MB/ 1P 2GB 2x72GB 10k SFF-SAS E200i-128M BBWC DVD-RW Twr. Експертна комісія підприємства також установила пріоритетність технічних параметрів і встановила на них відповідні коефіцієнти вагомості, які представлені в таблиці 3.1
Таблиця 3.1 - Вихідні дані
Моделі серверів |
Технічні параметри | Економічні параметри | |||
| Швидкодія, ГГц, (Р1 ) | Об'єм пам'яті, Гб, (Р2 ) | Якість обслуговування, (Р3 ) | Ціна, тис. грн. | Витрати на експлуатацію в рік, тис. грн. | |
| 1 | 2*2,0 | 1 | 3,8 | 13,85 | 1,81 |
| 2 | 2*2,2 | 1 | 4,5 | 18,1 | 1,94 |
| 3 | 4*2,0 | 2 | 4,8 | 18,6 | 2,11 |
| Зразок | 4*2,0 | 2 | 5 | 20,4 | 2,38 |
| Коефіцієнт вагомості | 50% | 30% | 20% | ||
Використовувана в таблиці група параметрів, характеризує виконання основних функцій виробу й деякі його технічні характеристики.
По технічних параметрах:
Щоб розподілити наведені в таблиці 3.1. моделі комп'ютерів за рівнем конкурентоспроможності (диференціальним методом), потрібно виконати наступні пункти:
розрахувати одиничні параметри по кожній моделі комп'ютерів по технічних і економічних параметрах;
зробити висновки про рівень конкурентоспроможності серверів компанії «КВАЗАР-МІКРО».
Розрахунок одиничного показника конкурентоспроможності проводиться по формулі (2.1):
,
тому розрахунок одиничного показника для першої моделі:
,
, ![]()
розрахунок одиничного показника для другої моделі:
,
, ![]()
розрахунок одиничного показника для третьої моделі:
,
, ![]()
По економічних параметрах:
розрахунок одиничного показника для першої моделі:
![]()
розрахунок одиничного показника для другої моделі:
![]()
розрахунок одиничного показника для третьої моделі:
![]()
У цілому рівень конкурентоспроможності не досягнутий, по технічних параметрах сервери поки що не конкурентоздатні, хоча третя модель по технічних характеристиках є ідентичною моделі - зразку. По якості обслуговування компанія «КВАЗАР-МІКРО» поки що відстає від своїх західних конкурентів. Хоч сервери збираються з тих же комплектуючих, що й імпортні, вони мають більше низьку ціну в порівнянні з імпортними, тому що зборка відбувається на вітчизняному підприємстві. Таким чином по економічних параметрах сервери компанії «КВАЗАР-МІКРО» цілком конкурентоздатні.
3.2 Розрахунок конкурентоспроможності серверів компанії «КВАЗАР-МІКРО» комплексним методом
Щоб розподілити наведені в таблиці 3.1 моделі серверів за рівнем конкурентоспроможності (комплексним методом), потрібно виконати наступні пункти:
- розрахувати груповий показник по технічних параметрах;
- розрахувати груповий показник по економічних параметрах шляхом підсумовування одноразових і експлуатаційних витрат;
- розрахувати інтегральний показник конкурентоспроможності;
- зробити відповідні висновки про конкурентоздатність аналізованих моделей стосовно зразка.
Розрахунок групових показників по технічних параметрах.
Груповий показник розраховується по формулі (2.5):

для конкретної моделі:
Iтп = q1 ·a1 + q2 ·a2 + q3 ·a3
Звідси, показник по технічних параметрах для першої моделі дорівнює:
Iтп = 0,5·50% + 0,5·30% + 0,76·20% = 0,25 + 0,15 + 0,152 = 0,552
для другої моделі:
Iтп = 0,55·50% + 0,5·30% + 0,9·20% = 0,275 + 0,15 + 0,18 = 0,605
для третьої моделі:
Iтп = 1·50% + 1·30% + 0,96·20% = 0,5 + 0,3 + 0,192 = 0,992
Розрахунок групових показників по економічних параметрах.
Груповий показник по економічних параметрах розраховується по формулі (2.10):
,
де ai наведена в таблиці 3.2
Таблиця 3.2 - Коефіцієнти приведення експлуатаційних витрат до розрахункового року
| Т, років | 8% | 9% | 10% | 11% | 12% | 13% | 14% |
| 1 | 1,0 | 1,0 | 1,0 | 1,0 | 1,0 | 1,0 | 1,0 |
| 2 | 0,926 | 0,917 | 0,909 | 0,901 | 0,893 | 0,885 | 0,877 |
| 3 | 0,857 | 0,842 | 0,826 | 0,812 | 0,797 | 0,783 | 0,77 |
| 4 | 0,794 | 0,772 | 0,751 | 0,731 | 0,712 | 0,693 | 0,675 |
| 5 | 0,735 | 0,708 | 0,683 | 0,659 | 0,636 | 0,613 | 0,592 |
| 6 | 0,681 | 0,650 | 0,621 | 0,594 | 0,576 | 0,543 | 0,519 |
| 7 | 0,630 | 0,596 | 0,565 | 0,535 | 0,507 | 0,480 | 0,456 |
| 8 | 0,584 | 0,547 | 0,513 | 0,482 | 0,452 | 0,425 | 0,4 |
| 9 | 0,54 | 0,502 | 0,467 | 0,434 | 0,404 | 0,376 | 0,351 |
| 10 | 0,5 | 0,46 | 0,424 | 0,391 | 0,361 | 0,333 | 0,308 |
Отже, груповий показник по економічних параметрах для першої моделі дорівнює:
,
У зв’язку з тим що протягом Т = 4 роки, Е = 14%, С0 , С1 завжди були постійні й дорівнювали відповідно С0 = 2,38, а С1 = 1,81, то С0 і С1 можна винести за знак суми й тоді груповий показник по економічних параметрах буде розраховуватися по формулі:

![]()
для другої моделі:
![]()
для третьої моделі:
![]()
Розрахунок інтегрального показника.
Інтегральний показник конкурентоспроможності розраховується по формулі (2.11):
,
але тому що груповий показник по нормативних параметрах не зазначений, то в розрахунку інтегрального показника він не буде враховуватися й формула прийме вид:
,
Тоді для першої моделі:
![]()
для другої моделі:
![]()
для третьої моделі:
![]()
Для більш зручного порівняння розрахунків відобразимо їх у вигляді діаграми (рисунок 3.1).

Рисунок 3.1 - Показники конкурентоспроможності моделей серверів
У результаті отриманих групових показників по технічних параметрах третя модель серверів найбільш конкурентоздатна, тобто в цілому третя модель серверів повніше задовольняє запити споживача, чим всі інші моделі серверів. Тому що груповий показник характеризує ступінь відповідності досліджуваного виробу відповідним потребам по всіх технічних параметрах (для даного випадку: швидкодія, обсяг пам'яті, якість обслуговування).
З отриманих розрахунків по економічних параметрах видно, що перша модель серверів більше конкурентоздатна по економічних параметрах у порівнянні з іншими моделями серверів, тому що має самий малий груповий показник, що у першої моделі дорівнює 0,69. А це значить, що покупець буде з більшим бажанням купувати першу модель серверів, чим всі інші. Але у зв’язку з тим що строк морального старіння в комп'ютерів дуже малий, то вигідніше купувати третю модель. Хоч вона й дорожче, але по технічних параметрах вона цілком конкурентоздатна.
З розрахунків інтегрального показника конкурентоспроможності видно, що перша й друга моделі серверів уступають зразку по конкурентоспроможності в цілому, тому що в них інтегральний показник менше одиниці. А третя модель перевершує зразок по конкурентоспроможності в цілому, тому що в неї інтегральний показник більше одиниці й дорівнює 1,09. Це говорить про те, що для покупців вигідніше купувати третю модель, тому що вона по технічних параметрах не уступає зразку, а її вартість значно менша.
3.3 Розрахунок інтегрального показника конкурентоспроможності по роках та індексу конкурентоспроможності серверів компанії «КВАЗАР-МІКРО»
У зв’язку з тим що у світі постійно з'являється щось нове й ніщо не стоїть на місці, так за певний час відбулися деякі зміни й у комп'ютерних технологіях. Тому необхідно проаналізувати зміни рівня конкурентоспроможності серверів. Це можна з'ясувати, розрахувавши індекс конкурентоспроможності по роках:
(3.1)
Таблиця 3.3 - Основні характеристики порівнюваних серверів першої моделі
| Найменування параметра | Величини параметрів. | |||
| За 2008 рік | За 2009 рік | |||
| Зразок | 1 модель | Зразок | 1 модель | |
| Швидкодія, ГГц (Р1 ) | 4*2,0 | 2*2,0 | 4*2,0 | 2*2,0 |
| Об’єм пам'яті, Гб (Р2 ) | 2 | 1 | 2 | 1 |
| Якість обслуговування (Р3 ) | 5 | 3,5 | 5 | 3,8 |
| Ціна, тис. грн. | 18,8 | 14,1 | 20,4 | 13,85 |
| Витрати на експлуатацію за рік, тис. грн. | 1,98 |
1,27 |
2,38 |
1,81 |
Розрахуємо для першої моделі комп'ютерів 2008 і 2009 років випуску груповий показник по технічних параметрах, що розраховується по формулі (2.5):
.
Для даного випадку формула (2.5) приймає вид:
Iтп = q1 ·a1 + q2 ·a2 + q3 ·a3 ,
де q1 , q2 , q3 , розраховуються по формулі (2.1):
.
Значить для першої моделі 2008 року випуску:
,
,
,
Iтп = 0,5·0,5 + 0,5·0,3 + 0,7·0,20 = 0,54;
для першої моделі 2009 року випуску:
,
,
,
Iтп = 0,5·0,5 + 0,5·0,3 + 0,76·0,20 = 0,552.
З розрахунків видно, що груповий показник по технічних параметрах зменшився за рік.
Тепер розрахуємо груповий показник по економічних параметрах, що розраховується по формулі (2.10):
,
тому що Сi і З постійні, то формула приймає вид:
,
де ai наведені в таблиці 2.3. (для Т = 4 роки, Е = 14%).
Звідси груповий показник по економічних параметрах для першої моделі 2008 року випуску дорівнює:
;
для першої моделі 2009 року випуску:
.
З розрахунків видно, що груповий показник по економічних параметрах зменшився за рік.
Зробимо останній розрахунок перед розрахунком індексу конкурентоспроможності. Розрахуємо інтегральний показник конкурентоспроможності по формулі (2.11):
,
по тому що груповий показник по нормативних параметрах не зазначений, те отже:
.
Тому для першої моделі 2008 року випуску:
;
а для першої моделі 2009 року:
![]()
Тепер розрахуємо індекс конкурентоспроможності по формулі (3.1):
,
.
З розрахунків видно, що індекс конкурентоспроможності дорівнює 108% - це говорить про те, що за один рік перша модель 2009 року стала більше конкурентоздатна, з погляду збільшення подальшого збуту продукції, чим перша модель 2008 року на 8%. Також це говорить про те що компанією «КВАЗАР-МІКРО» правильно вибрані шляхи забезпечення конкурентоспроможності її продукції на українському ринку.
4 . Охорона праці та навколишнього середовища
4.1 Загальні питання охорони праці
Охорона праці - це система правових, соціально-економічних, санітарно-гігієнічних, лікувально-профілактичних, організаційно-технічних заходів і засобів, що направлені на збереження життя, здоров'я та працездатності людини в процесі праці.
Повністю безпечних виробництв не буває, тому задача охорони праці полягає в тому, щоб звести до мінімуму вірогідність захворювання або поразки працюючого з одночасним забезпеченням комфорту при максимальній продуктивності праці. Реальні умови праці характеризуються, як правило, наявністю деяких небезпечних та, шкідливих виробничих факторів [33]. Існує два напрями підвищення безпеки праці:
а) зниження виробничої небезпеки шляхом створення досконаліших засобів захисту;
б) підвищення індивідуальної захищеності працюючих шляхом організації більш безпечної поведінки.
4.2 Управління охороною праці компанії «КВАЗАР-МІКРО»
Управління охорони праці ґрунтується на Законі України «Про охорону праці» [33] і включає застосування ряду способів і форм юридичної дії на органи і об'єкти управління охороною праці - зокрема, підприємства регіону, вдосконалення технологічних процесів і виробничого устаткування.
В компанії «КВАЗАР-МІКРО» питаннями охорони праці займається відділ охорони праці. Схема відділу охорони праці компанії представлена на рис. 4.1, яка вирішує наступні задачі:
а) забезпечення безпеки виробничого процесу;
б) забезпечення працюючих засобами індивідуального і колективного захисту;
в) підвищення кваліфікації працівників з питань охорони праці;
г) вибір оптимальних режимів праці і відпочинку працюючих;
д) пропаганда безпечних методів роботи.
На підприємстві з кількістю працюючих більше 50 чоловік, працедавець створює службу охорони праці. Якщо менше 50 чоловік, то функції служби охорони праці можуть виконувати у порядку сумісниці особи, що мають відповідну підготовку. Якщо менше 20 чоловік, то для виконання функції охорони праці можуть притягуватися сторонні фахівці (або керівник). Служба охорони праці підпорядкована директору підприємства [33].
В компанії «КВАЗАР-МІКРО» працює 650 чоловік.
Схема управління охороною праці компанії приведена на рисунку 4.1.

Рисунок 4.1 Схема управління охороною праці компанії «КВАЗАР-МІКРО».
4.3 Виробнича санітарія
В процесі трудової діяльності людина піддається дії цілого ряду чинників: мікроклімату, умов середовища, інтенсивності праці і т.д. З метою досягнення безпечних умов праці необхідно обґрунтувати, підтримувати і контролювати дотримання параметрів,цих чинників.
Розділ складений стосовно робочого місця фінансово-економічного відділу. Робота відділу пов'язана із застосуванням ПЕОМ. Тому для неї характерний вплив наступних небезпечних та шкідливих виробничих факторів: для нервово - емоційної напруги, напруга зорового аналізатора, монотонність, дія неякісного виробничого освітлення і незадовільних параметрів мікроклімату [34].
4.3.1 Мікроклімат
Мікроклімат робочої зони - це умови теплового і газового обміну людини з навколишнім середовищем на робочому місці при трудовій діяльності. Мікроклімат характеризується температурою навколишнього середовища, показником відносної вологості, швидкістю руху повітря, інтенсивністю теплового випромінювання ДСН 3.3.6.042 - 99 [35]. Ці параметри окремо і в комплексі впливають на організм людини, визначаючи його самопочуття і працездатність.
Витрати енергії складають не більше 120 ккал/год, що у відповідності з ГОСТ 12.1.005 - 88 [36] відноситься до легкої 1а категорії важкості робіт характеризується оптимальними параметрами мікроклімату, які представлені в таблиці 4.1.
Таблиця 4.1 Оптимальні норми параметрів мікроклімату
| Період року | Категорія робіт | Температура t°С |
Відносна вологість, % | Швидкість руху повітря, м/с (не більше) |
| Холодний | Легка 1а | 22-24 | 40-60 | 0,1 |
| Теплий | 23-25 | 40-60 | 0,1 |
4.3.2 Вентиляція і опалювання
Для забезпечення оптимальних параметрів мікроклімату у фінансово-економічному відділі компанії передбачається система вентиляції, спроектована згідно СНиП 2.04.05 – 91* [37] і здійснюється застосуванням кондиціювання із зволоженням (при необхідності) повітря, що регулюється автоматично за заданою програмою, а в холодну пору року - опалювання, теплоносієм є вода.
4.3.3 Виробниче освітлення
Для забезпечення параметрів освітлення, необхідних для плідної роботи, застосовується сполучене освітлення, яке складається з природного і штучного і нормується ДБН В 2.5-28-2006 [38].
В приміщенні фінансово-економічного відділу передбачена наявність природного бічного освітлення, здійснювана через світлові отвори в зовнішніх стінах, а також система штучного рівномірного загального і комбінованого освітлення. Природне освітлення нормується коефіцієнтом природної освітленості КПО (ен ІІІ ). Для зорових робіт, що виконується економістом, середньої точності з якнайменшим об'єктом розрізнення 0,5 - 1 мм (розряд IV, підрозряд б) ен ІІІ = 1,5%. Значення КПО (ен ІV ) для будівель розташованих в IV поясі клімату, визначається по формулі:
ен ІV = ен ііі х m х c; (4.1)
де: ен ііі - значення КПО для III пояса світлового клімату, складає 1,5%;
m - коефіцієнт світлового клімату, m = 0,9%;
c - коефіцієнт сонячності клімату, с = 0,8%.
Значення ен ІV = 1,5 х 0,9 х 0,8 = 1,08%.
Штучне освітлення виконано за системою загального освітлення, коли освітлюється рівномірно все приміщення, і за системою комбінованого освітлення, коли, окрім загального освітлення, на робочих місцях встановлюються світильники місцевого освітлення, що створюють підвищену освітленість робочих місць. Штучне освітлення нормується мінімальною освітленістю Еmin = 200лк. Характеристика освітлення представлена в таблиці 4.2.
Таблиця 4.2 - Характеристика освітлення приміщення фінансово-економічного відділу
| Найменування основних виробничих приміщень | Площа підлоги м 2 |
Розряд зорової роботи | Освітлення | ||
| Природне | Природне | ||||
| Вид освітлення | КПО ен ІІІ ,% | Нормована освітленість, Еmin , лк |
|||
| Фінансово-економічний відділ | 32 | IV "б" | Бічне, однобічне | 1,5 | 200 |
Для штучного освітлення застосовуються відкриті світильники типу ЛСП з люмінесцентними газорозрядними лампами ЛД40 - 4. Лампи економічні і мають склад спектру, близький до сонячного. В компанії «КВАЗАР-МІКРО» в приміщеннях, де безпосередньо працюють фахівці, застосовуються світильники прямого світла, а в коридорах, побутових і санітарних приміщеннях - світильники розсіяного світла.
4.3.4 Шум
Шум і вібрація, як доводять дослідження, погіршують умови праці, надають шкідливу дію на організм людини.
Допустимий рівень шуму в приміщені, де працюють з ПЕОМ встановлює ГОСТ 12.1.003-83* [39]. Джерелами шуму для працівників є джерела живлення, пристрої вентиляції, принтери та ін. Рівень звуку в приміщені на робочому місці, де розв'язуються задачі, що вимагають концентрації уваги, не перевищують 50дБ (А).
Заходи по зниженню рівня звукового тиску наступні:
- звукоізоляція виробничих приміщень;
- заміна матричних принтерів на лазерні; згідно ДСаНПіН 3.3.2.007 - 98 [40].
4.3.5 Електромагнітні випромінювання
Електромагнітні випромінюванні, впливаючи на організм людини в дозах, що перевищують допустимі, можуть з'явитися причиною професійних захворювань,, джерелом випромінювання в ПЕОМ є електронна променева трубка дисплею. Враховуючи, що на підприємстві робочі місця оснащені ПЕОМ нового покоління, напруженість електромагнітного поля не перевищує 5В/м [40], а напруженість електростатичного поля - не більше 20Вт/м 2 [41].
4.4 Міри безпеки
Особливе значення в компанії «КВАЗАР-МІКРО» надають електробезпеці.
Електробезпека - це система організаційних і технічних заходів і засобів, що забезпечують захист людей від небезпечних і шкідливих дій електричного струму і електромагнітного поля згідно ПУЭ - 87 [42]. По небезпеці враження людей електричним струмом приміщення відділів є приміщення з підвищеної небезпеки.
Передбачено дві групи заходів захисту від поразки електричним струмом: ГОСТ 12. 1.019- 79* [43] та ГОСТ 12. 1. 030 - 81* [44].
1) Технічні заходи захисту:
- конструктивні заходи - для захисту від дотику до напругопровідних елементів;
- захисні кожухи;
2) Забезпечення неприступності напругопровідних частин.
- схемно-конструктивні - для запобігання небезпеки поразки електричним струмом при замиканні на корпус або пробої ізоляції, які у свою чергу досягаються шляхом;
- застосування малих напруг (42В, 12В);
- застосуванням захисного заземлення електроустановок;
- занулення;
- застосування захисного відключення;
- застосування електротехнічних захисних засобів і запобіжних пристосувань (ізолюючі, захищаючі, запобіжні);
3) Організаційні заходи захисту:
- проведення інструктажу робочого персоналу по техніці безпеки при експлуатації електроустановок;
- забезпечення правильного використовування засобів захисту, контроль стану засобів, наявність знаків і плакатів безпеки та ін.
4.5 Пожежна безпека
Пожежна безпека - це стан об'єкту при яком зі встановленою вірогідністю виключається можливість виникнення і розвитку пожежі.
Категорія приміщення фінансово-економічного відділу згідно НАПБ Б 07.005–86 [45] з вибухо- та пожежонебезпекою відноситься до категорії - В, а ступінь вогнестійкості будівлі - II згідно ДБН В 1.1-7-2002 [46].
Аналіз робочого місця показує, що спалах може виникнути в разі дії електричного струму при порушенні електричного ланцюга схеми:
- недотримання протипожежних норм в процесі експлуатації засобів;
- опалювання і вентиляції;
- порушення протипожежних інструкцій;
- перевантаження провідників струму і їх неправильної експлуатації;
- проведення ремонтних робіт без дотримання правил.
Пожежна безпека забезпечується наступними заходами ГОСТ12.1.004-91*[47]:
1. Системою запобігання пожежі:
- контроль і виміри ізоляції;
- наявність плавких вставок і запобіжників в електричній мережі;
- використання захисного заземлення і занулення;
2. Системою пожежного захисту:
- аварійне виключення і перемикання апаратури;
- наявність первинних засобів пожежогасіння;
- система сповіщення – звукова сигналізація.
3. Організаційними заходами щодо пожежної безпеки:
- навчання персоналу протипожежним правилам;
- видання необхідних інструкцій, плакатів, засобів наглядної агітації;
- план евакуації.
Відповідно до вимог до системи пожежного захисту в будівлі передбачений водопровід з внутрішніми пожежними кранами. В приміщенні передбачено використовувати вуглекислотні вогнегасники ВВК-5 місткістю 5 літрів. Для даного приміщення достатньою є наявність одного вогнегасника, який знаходиться на видному і досяжному місці.
4.6 Ергономічні вимоги до комплектації робочого місця
При комплектації робочого місця важливо дотримуватися ергономічних вимог. Забезпечення організації робочого місця оператора за дисплеєм передбачає організацію робочого місця відповідно до антропометричних характеристик, виконання ергономічних вимог до розміщення технічних засобів на робочому місці, до кольоро- і світлотехнічним характеристикам дисплеїв, до буквено-цифрової інформації дисплеїв, клавіатури [40].
Фізіологічна раціональна робоча поза досягає виконанням наступних умов:
а) відстань від очей оператора до дисплею - 500 - 700 мм;
б) природний нахил корпусу вперед на 5 - 10°;
в) кут згинання між стегном і голінню 95-13.
г) ступні на підлозі;
д) стегно горизонтально;
є) оператор максимальних розмірів не повинен упиратися ступнею в стійку столу або підставки;
ж) оператор має нагоду спиратися ліктем на робочу поверхню;
з) можливість роботи з документами;
й) відстань від сидіння стільця до нижнього краю робочої поверхні - не менше 150 мм.
На робочому місці, що вивчається, використовуються наступні технічні засоби: монітор, клавіатура, системний блок, ПЕОМ, принтер, маніпулятор «миша», телефон.
4.7 Охорона навколишнього середовища
В Україні охороні навколишнього середовища надається останнім часом значна увага: розроблений і прийнятий до дій: Закон України «Про охорону навколишнього природного середовища», Закон «Про охорону атмосферного повітря», Земельний кодекс України, Закон України «Про тваринний світ», Кодекс України про надра, Водний кодекс України тощо.
В процесі роботи з'являються паперові і дрібні канцелярські відходи, які необхідно утилізувати. Для цього організація має працівників, які щодня в кінці робочого дня проводять вологе прибирання і виносять відходи що нагромадилися. Надалі ці відходи вивозяться спеціальними машинами міських очисних служб і таким же чином утилізувати.
На підприємстві вода використовується в санітарно-гігієнічних цілях. Для спуску виробничих і господарських вод передбачають каналізаційні пристрої. Каналізація складається з внутрішніх каналізаційних пристроїв, розташованих в будівлі зовнішній каналізаційній мережі (підземних труб, каналів, оглядових колодязів); насосних станцій напірних і самотічних колекторів, споруд для очищення, знешкодження і утилізації стічних вод; пристрої їх випуску у водоймище.
В 2003 році виконаний ряд заходів щодо досягнення встановлених нормативів безпеки, гігієна праці, попередження випадків виробничого травматизму, професійних захворювань і аварій.
Джерелом водопостачання є міський водопровід. Господарсько-побутові зливи відводяться в міську каналізацію. Тверді виробничі відходи - папір, люмінесцентні лампи, пари ртуті, що містять, складають окремо і направляють спеціалізованим організаціям на переробку. Тверді побутові відходи за договором з комунальними службами міста вивозяться і складують на полігоні в спеціально відведеному місці.
4.8 Індивідуальне завдання
Вцьому розділі розраховане штучне освітлення кабінету фінансово-економічного відділу. Проведено розрахунок кількості світильників необхідних для забезпечення Еmin і потужності освітлювальної установки, необхідної для забезпечення у відділі нормального освітлення ДБН В 2.5-28-2006 [38].
Необхідний потік однієї лампи розраховується за формулою:
(4.2)
Кількість світильників розраховується:
(4.3)
де Еmin - задана мінімальна освітленість, лк;
К - коефіцієнт запасу;
S - освітлювана площа;
Z - коефіцієнт мінімальної освітленості;
N - число світильників;
n - число ламп у світильнику;
η - коефіцієнт використання світлового потоку в долях одиниці.
Для ІVб - го розряду виконаних робіт Еmin = 200лк.
Коефіцієнт запасу К = 1,2; освітлювальна площа S = 32м2 , висота Н = 6м, коефіцієнт мінімальної освітленості (коефіцієнт нерівномірності освітлення) Z = 1,1.
У фінансово-економічному відділі використовують світильники ЛСП 40x4 з лампами ЛД (люмінесцентні денного світла). Необхідний потік однієї лампи Фл = 2225лм. Число ламп в світильнику n = 4шт. Коефіцієнт використання світового потоку в долях одиниці 0,49.
Маючи вищенаведені данні, розрахуємо кількість світильників в
приміщенні відділу організації праці та заробітної плати:
![]()
Потужність світильників установок Р розраховується за формулою:
, (4.4)
де Р1 — використовувана потужність однієї лампи, кВт.
В даному випадку Р1 = 40Вт, звідси
Р = 4 х 2 х 40 = 320Вт.
Отже для приміщення відділу організації праці та заробітної плати площею 32м2 необхідно користуватися 2-ма світильником марки ЛСП 40x4 з лампами ЛД. При цьому потужність освітлювальної установки буде складати 320Вт.
5. Цивільна оборона
Цивільна оборона – це державна система органів керування, сил і засобів, які створюються для організації й забезпечення захисту населення від наслідків надзвичайних ситуацій техногенного, екологічного, природного та воєнного характеру [48].
У даному розділі дипломної роботи розглядається питання захисту населення від негативного впливу електромагнітних випромінювань (ЕМВ).
Застосування радіотехнічних приладів і систем, нових технологічних процесів, використання яких приводить до випромінювання електромагнітної енергії в навколишнє середовище створює ряд труднощів, пов'язаних з негативним впливом електромагнітних випромінювань на організм людини. Під впливом електромагнітних полів (ЕМП) відбувається перегрів організму людини, спостерігається негативний вплив ЕМВ на центральну нервову, ендокринну, серцево-судинну системи, на обмін речовин, зір.
Під впливом електромагнітних випромінювань у людини спостерігаються: загальна слабість, підвищена втома, пітливість, сонливість, а також розлад сну, головний біль, біль серця. З'являється роздратованість, втрата уваги, росте тривалість моворухливої і зоровомоторної реакцій. Виникає ряд симптомів, які є свідченням порушення роботи окремих органів - шлунка, печінки, селезінки, підшлункової й іншої залоз. Пригнічуються харчовий і статевий рефлекси.
Фіксуються зміни показників білкового й вуглеводного обміну, збільшується вміст азоту в крові й сечі, знижується концентрація альбуміну й росте вміст глобуліну, збільшується кількість лейкоцитів, тромбоцитів, виникають і інші зміни складу крові [49].
Одним із серйозних змін, обумовлених надвисокочастотним опроміненням, є ушкодження органів зору. На низьких частотах такі зміни не спостерігаються й тому їх потрібно вважати специфічними для НВЧ діапазону.
Ступінь ураження залежить в основному від інтенсивності й тривалості опромінення. З ростом частоти, напруженості ЕМП, що викликає ушкодження зору, ступінь ураження зменшується.
Гостре НВЧ опромінення викликає сльозотечу, подразнення, звуження зіниць. Потім після короткого (1-2 доби) періоду спостерігається погіршення зору, що росте під час повторного опромінення, що свідчить про кумулятивний характер ураження.
При впливі випромінювання спостерігається ушкодження роговиці ока. Але серед всіх тканин ока найбільшу чутливість в діапазоні 1-10 Ггц має кришталик.
Для зменшення впливу ЕМП на персонал і населення, що перебуває в зоні дії радіоелектронних засобів, варто застосовувати ряд захисних заходів. До них слід віднести організаційні, інженерно-технічні й лікарсько-профілактичні заходи.
Здійснення організаційних і інженерно-технічних заходів покладено насамперед на органи санітарного нагляду. Разом із санітарними лабораторіями підприємств і установ, які використають джерела електромагнітного випромінювання, вони повинні вживати заходів по гігієнічній оцінці нового будівництва й реконструкції об'єктів, які виробляють і використовують радіозасоби, а також нових технологічних процесів і обладнання з використанням ЕМП, проводити поточний санітарний нагляд за об'єктами, які використовують джерела випромінювання, здійснювати організаційно-методичну роботу по підготовці фахівців і інженерно-технічний нагляд.
Ще на стадії проектування повинне бути забезпечене таке взаємне розташування об'єктів що опромінюють та опромінюються, яке б зводило до мінімуму інтенсивність опромінення людей. Оскільки повністю уникнути опромінення неможливо, варто зменшити ймовірність проникнення людей у зони з високою інтенсивністю ЕМП, скоротити час їхнього знаходження під опроміненням. Потужність джерел випромінювання повинна бути мінімально необхідною.
Винятково важливе значення мають інженерно-технічні методи й засоби захисту: колективний (група будинків, район, населений пункт), локальний (окремі будинки, приміщення) і індивідуальний. Колективний захист опирається на розрахунок поширення радіохвиль в умовах конкретного рельєфу місцевості. Економічно доцільніше використовувати природні екрани - складки місцевості, лісонасадження, нежилі будинки. Установивши антену на горі, можна зменшити інтенсивність поля, що опромінює населений пункт, у багато разів. Аналогічний результат дає відповідна орієнтація діаграми спрямованості шляхом збільшення висоти антени. Але висока антена більш складна, більш дорога, менш стійка. Крім того, ефективність такого захисту зменшується з відстанню.
При захисті від випромінювання за допомогою екрана повинне враховуватися загасання хвилі при проходженні через екран (наприклад, через лісосмугу). Для екранування можна використовувати рослинність. Спеціальні екрани у вигляді щитів, що відбивають і радіо поглинають, надто дорогі, малоефективні й використовуються дуже рідко.
Локальний захист більш ефективний і використовується часто. Він базується на використанні радіозахисних матеріалів, які забезпечують високе поглинання енергії випромінювання в матеріалі й відбиття від його поверхні. Для екранування шляхом відбиття використовують металеві листи й сітки з гарною провідністю. Захист приміщень від зовнішніх випромінювань можна здійснити шляхом обклеювання стін металізованими шпалерами; захисту вікон сітками, металізованими шторами. Опромінення в такому приміщенні зводиться до мінімуму, а відбите від екранів випромінювання перерозподіляється в просторі й потрапляє на інші об'єкти.
До інженерно-технічних засобів захисту також належать:
- конструктивна можливість працювати на зниженій потужності в процесі налагодження, регулювання й ремонту;
- дистанційне керування.
Персонал, що обслуговує радіозасоби й перебуває на невеликій відстані, варто надійно захистити шляхом екранування апаратури.
Для цього використовують матеріали, що радіопоглинають, як однорідного складу, так і композиційні, які складаються з різноманітних діелектричних і магнітних речовин. З метою підвищення ефективності поглинання поверхня екрана виготовляється шорсткою, ребристою або у вигляді шипів.
Матеріали, що радіопоглинають, можуть використовуватися для захисту навколишнього середовища від ЕМП, що генерується джерелом, яке перебуває в екранованому об'єкті.
Для захисту тіла використовується одяг з металізованих тканин і матеріалів, що радіопоглинають. Металізована тканина складається з бавовняних або капронових ниток, спірально оповитих металевим дротом. Таким чином, ця тканина, як і металева сітка (при відстані між нитками до 0,5 мм) послабляє випромінювання не менш, ніж на 20-30 дб. При зшиванні деталей захисного одягу варто забезпечити контакт ізольованих провідників. Тому електрогерметизація швів проводиться електропровідними розчинами або клеями.
Очі захищають спеціальними окулярами зі скла з нанесеної на внутрішню сторону провідною плівкою двоокису олова. Гумова оправа окулярів має запресовану металеву сітку або обклеєна металізованою тканиною. Цими окулярами випромінювання НВЧ послабляється на 20-30 дб.
Колективні й індивідуальні засоби захисту можуть забезпечити тривалу безпечну роботу персоналу на радіооб’єктах [50].
Таким чином для зменшення негативного впливу електромагнітних випромінювань на працівників компанії «КВАЗАР-МІКРО» керівництвом прийнятий ряд мір:
- для захисту працівників від впливу електромагнітних випромінювань у будівельних конструкціях у якості захисних екранів застосовується металева сітка;
- у якості матеріалів для захисних халатів і комбінезонів використовується спеціальна тканина, у структурі якої тонкі металеві нитки скручені з бавовняними нитками, що надає тканині щільність, еластичність і теплозахисні властивості;
- всі монітори з електронно-променевою трубкою замінені на рідкокристалічні;
- з метою попередження, ранньої діагностики й лікування порушень стану здоров'я працівники, робота яких пов'язана із впливом ЕМП, повинні проходити попередні при надходженні на роботу й періодичні медичні огляди.
Висновки
В практичній частині дипломної роботи був проведений ряд розрахунків конкурентоспроможності серверів компанії «КВАЗАР-МІКРО».
Розраховані одиночні показники по технічних та економічних параметрах. За результатами цих розрахунку цих показників встановлено, що за технічними показниками сервери компанії «КВАЗАР-МІКРО» поки що не конкурентоздатні, але за економічними показниками, які становлять q1 = 1,47; q2 = 1,12;q3 = 1,09, вони цілком конкурентоспроможні.
Проведені розрахунки конкурентоспроможності серверів комплексним методом, для чого розраховані наступні показники:
- груповий показник по технічних параметрах, що становить Iтп = 0,552; Iтп = 0,605 та Iтп = 0,992 для першої, другої та третьої моделей відповідно;
- груповий показник по економічних параметрах шляхом підсумовування одноразових і експлуатаційних витрат, який склав Iеп = 0,69; Iеп = 0,88 та Iеп = 0,91 для першої, другої та третьої моделей відповідно;
- інтегральний показник конкурентоспроможності, що становить К = 0,8; К = 0,69 та К = 1,09 для першої, другої та третьої моделей відповідно.
В результаті аналізу конкурентоспроможності було виявлено, що перша модель серверів більше конкурентоздатна по економічних параметрах у порівнянні з іншими моделями серверів, за інтегральним показником у третя модель серверів, яка є ідентичною по технічним параметрам становить 1,09 та дозволяє компанії вести конкурентну боротьбу навіть з таким світовим брендом як Hewlett-Packard.
Також проведений розрахунок інтегрального показника конкурентоспроможності по роках та індексу конкурентоспроможності який становить 108%, це говорить про те, що за один рік перша модель 2009 року стала більше конкурентоздатна, з погляду збільшення подальшого збуту продукції, чим перша модель 2008 року на 8%.
Таким чином дані отримані під час розрахунків говорять про те що компанією «КВАЗАР-МІКРО» правильно вибрані шляхи забезпечення конкурентоспроможності її продукції на українському ринку.
Під час аналізу також виявлено й недоліки, які певною мірою не можна віднести до прорахунків компанії. До цих недоліків можна віднести недостатню якість обслуговування, не своєчасність технічного оновлення.
Список джерел інформації
1 Гаркавенко С.С. Маркетинг: Підручник для вузів. – К.: Лібра, 2004.
2 Диксон П. Управление маркетингом: Учебное пособие. – М.: Бином, 2000.
3 Горбашко Е.А. “Конкурентоспособность промышленной продукции” учеб. Пособие /С-П университет экономики и финансов/ 1991.
4 Продіус Ю.І. Забезпечення конкурентоспроможності підприємства// Труды Одесского политехнического университета, 2004, вып. 1 (21).
5 Смольникова Г.Н., Зверев С.М. “Стратегия повышения качества” - 2000 № 4.
6 Материалы семинара “Обновление продукции и конкурентоспособность” М: МДНТП, 1991.
7 Калиновская Т.Н. “Качество продукции” Экон. Словарь – М: Экономика, 1990.
8 Цены и ценообразование: Учебник для вузов/ Под ред. В.Е. Есипова. – 3-е изд., испр. и доп. – СПб. – М. – Х. – Мн.: Питер, 2002.
9 Фатхутдинов Р.А. “Менеджмент конкурентоспособности продукции” - М: ИНФРА – 1998.
10 М. Альберт, М. Хедоури Ф., Основы менеджмента. Пер. с англ. - M.: ДЕЛО, 2003.
11 Юданов А.Ю. Конкуренция: теория и практика: Учебное пособие; 2-е изд., с испр. и доп. — М.: Ассоциация авторов и издателей “Тандем”; Изд-во “ГНОМ-ПРЕСС”, 1998.
12 Фатхутдинов Р.А. “Конкурентоспособность, экономика, стратегия управления” Учебное пособие для ВУЗов по техническим и экономическим спец. – М: ИНФРА – 2000.
13 Кочеткова А.В. “Проблемы управления конкурентоспособностью продукции” НИИПиН 1990.
14 Фатхутдинов Р. Конкурентоспособность и подготовка кадров// Общество и экономика. – 1999.
15 Глухов А. ”Оценка конкурентоспособности товаров и способы ее обеспечения” Маркетинг – 1999. - № 2 с. 56-64.
16 Буркинский Б.В. Стрелец А.А. “Экономическая оценка конкурентоспособности” НАНУ 1998.
17 Лепа Р.Н. “Анализ конкурентоспособности предприятия в условиях внешнеэкономической деятельности” Донецк 1998.
18 Лифиц И. М. Теория и практика оценки конкурентоспособности товаров и услуг. - М: Юрайт-М,2001.
19 Корж М.В. ”Функциональный метод определения уровня конкурентоспособности продукции промышленного назначения” НАН Укр., Институт экономики промышленности. Донецк 1998.
20 Тихонов Р.М. “Конкурентоспособность промышленной продукции” Изд-во стандартов, 1985.
21 Войчак А.В. Маркетингові дослідження: Навч.-метод. посібник для самост. вивч. дисц. – К.: КНЕУ, 2005. – 119 с.
22 Гаркавенко С.С. Маркетинг: Підручник для вузів. – К.: Лібра, 1998 р., 384 с.
23 Голубков Е.П. Маркетинговые исследования: теория, методология и практика. – М.: Издательство “Финпресс”, 1998. – 416 с.
24 Зуйков В.В. “Международная стандартизация и проблемы повышения качества и конкурентоспособности продукции” М. 1990.
25 Маркетинг: Курс лекций/ Л.Е. Басовский – М.: Инфра-М, 2002. – 219с.
26 Портер М. Международная конкуренция: Пер. с англ. / Под ред. и с предисл. В Д. Щетинина. — М.: Международные отношения, 1993.
27 Свиткин М.З. “Организация работ по обеспечению конкурентоспособности продукции” ЛДНТП, 1997.
28 Современный маркетинг/ В.Е. Хруцкий, И.В. Корнеева, Е.Э. Автухова. Под ред. В.Е. Хруцкого. – М.: Финансы и статистика, 1991. – 265 с.
29 Старостіна А.О., Зозульов О.В. Маркетинг: Навч.посіб. – 2-ге вид., перероб. і доп. – К.: Знання-прес, 2003. – 326с.
30 Черчилль Гилберт А. Маркетинговые исследования – СПб.: Питер, 2000. – 752 с.
31 Офіційний сайт компанії «КВАЗАР-МІКРО» - www.kvazar-mikro.com
32 Сайт экономических известий – www.eizvestia.com
33 Закон України «Про охорону праці» від 21.12.2002 р.
34 ДНАОП 0.00 - 1.3.1 - 99. Правила охорони праці при експлуатації електронно-обчислювальних машин. Діє з 01.01.2000р.
35 ДСН 3.3.6.042 - 99. Санітарні норми мікроклімату виробничих приміщень. - К.: 2000.
36 ГОСТ 12.1.005 - 88 ССБТ. Общие санитарно-гигиенические требования к воздуху рабочей зоны. Введ.01.01.89.
37 СНиП 2.04.05 - 91*. Отопление, вентиляция и кондиционирование воздуха. - М.: Стройиздат, 1993 - 110с.
38 ДБН В 2.5-28-2006 – Інженерне обладнання будинків і споруд. Природне і штучне освітлення.
39 ГОСТ 12.1.003 - 83* ССБТ. Шум. Общие требования безопасности. -Введ. 01.07.89 г.
40 ДСанПіН 3.3.2.007 - 98. Державні санітарні правила і норми роботи з візуальними дисплейними терміналами електронно-обчислювальних машин. -К., 1998.
41 ГОСТ 12.1.045 - 84 ССБТ. Электростатические поля. Допустимые уровни на рабочих местах и требования к проведению контроля. - Введ. 01.01.85 г.
42 Правила устройства электроустановок ПУЭ - 87. М.: Энергоатомиздат, 1988.-648с.
43 ГОСТ 12.1.019 - 79* ССБТ. Электробезопасность. Общие требования и номенклатура видов защиты. - Введ. 01.07.80. Изм. 1986.
44 ГОСТ 12.1.030 - 81* ССБТ. Электробезопасность. Защитное заземление. Зануление. - Введ. 01.07.82. Изм. 1987.
45 НАПБ Б 07.005 - 86. Определение категорий помещений и зданий по взрывопожарной и пожарной опасности. - Действ. с 01.01.87.
46 ДБН В 1.1.-7-2002. Державні будівельні норми. Захист від пожежі. Пожежна безпека об'єктів будівництва. - Діє з 01.01.03.
47 ГОСТ 12.1.004 - 91* ССБТ. Пожарная безопасность. Общие требования. - Введ. 01.07.95.
48 Закон України «Про Цивільну оборону». ВРУ. № 2974, ХІІ. – К., 1993.
49 Стеблюк М.І. Цивільна оборона. – К.: Знання-прес, 2003. – 455 с.
50 Кулаков М.А. та ін. Цивільна оборона: Навч.посіб.для студ.вищ.навч.закл./ За ред..проф. В.В. Березуцького. – Х.: Факт, 2008. – 312с.
