| Скачать .docx | Скачать .pdf |
Реферат: Шпаргалки по Логистика
Вопрос 1. Понятие, цель, предмет, объект и задачи логистики.
Логистика – наука о планировании, контроле, управлении операциями, транспортировании, складировании и другими материальными и нематериальными операциями, совершаемыми в процессе доведения сырья и материалов до производственного предприятия, внутризаводской переработки и далее доведения готовой продукции до конечного потребителя в соответствии с интересами и требованиями последнего, а также передачи, хранения и обработки соответствующей информации.
Сущность логистики состоит в комплексном управлении товародвижением на стадиях снабжения, производства и сбыта готового продукта.
Цель логистики – оптимизация цикла воспроизводства путем комплексного ориентированного на потребность формирования потока материалов и информации в производстве и распределении продукции.
Объектом логистики являются сложные динамические производственно-коммерческие комплексы, включающие организационно-экономическую и производственно-технологическую деятельность в области снабжения основного производства, транспортных и сбытовых операций.
Предметом исследования логистики являются материальные и сопутствующие им финансовые и информационные потоки, а также любой экономический поток (например, поток трудовых ресурсов, сервисный поток, рисковый поток и т.д.).
Задачи логистики:
1 .разработка обоснованных предложений, способствующих достижению наибольшей эффективности работы предприятия;2 .достижение с наименьшими затратами максимальной приспособленности фирм к изменяющейся рыночной обстановке, получение конкурентных преимуществ, повышение рыночной доли и прибыли;3 .разработка принципов оптимального управления потоками;4 .оптимизация хозяйственных связей.
Логистическая миссия фирмы формируется, как правило, на правиле семи Rs или семи Н (русский вариант):rightquantity (количество);rightcondition (качество);rightplace (место);righttime (время);rightproduct (продукт);rightcosts (затраты);right customer (потребитель) или :
Обеспечение наличия нужного продукта в нужном количестве и в нужном качестве в нужном месте в нужное время для нужного потребителя с наилучшими затратами.
Принципы логистики
1 .саморегулирование – достижение сбалансированности между производством, сбытом, снабжением;2 .гибкость;3 .соответствие объема заказов материалов объемам продаж;4 .минимизация объемов запасов;5 .интеграция процессов материально-технического обеспечения, производства, транспорта, сбыта и передачи информации в единый орган;
6 .моделирование товародвижения;7 .автоматизация управления материальными потоками;
8 .надежность в обеспечении материальными ресурсами;9 .экономичность.
2/ Парадигмы логистики
Парадигмы логистики связаны с этапами развития, выделяют следующие виды парадигм:
Технологическая;
Аналитическая;
Интегральная;
Маркетинговая.
На основании этих парадигм образованы многие сообщества на Западе.
Технологическая или информационная парадигма появилась в 1960 году, её появление было вызвано развитием компьютерных технологий. Принцип парадигмы состоит в формировании общей проблемы управления материальными потоками, и синтезировать программное обеспечение.
Теоретическая основа данной парадигмы заключается в системном подходе, применяемый для моделирования логистических объектов, а также для синтезирования систем информационно-компьютерной поддержки. Стратегия заключается в применении нового программного обеспечения с целью решения сложных логистических задач. При этом не важна полная автоматизация всех процессов, происходящих в материальных потоках. Примером систем, которые применяют для технологической парадигмы, это MRP/DRP, такая система используется для планирования, управления покупками и запасами. Логистические системы, построенные на такой парадигме, отличаются низкой степенью гибкости и динамичности.
Аналитическая парадигма выражает классический подход, который занимается проблемами управления материальными потоками. Пример таких парадигм, институты, в которых преподают логистику. Аналитическая парадигма строится на твердых теоретических основах, которые используются для моделирования методов управления. Особенностью данного типа парадигмы является сложная экономико-математическая модель, которая является отражением логистической проблемы. Такая модель требует большого количества информации, сложных алгоритмов решения, поэтому аналитическая парадигма не очень удобна на практике.
С 1980 года появилась маркетинговая парадигма. Модель такой парадигмы применяется с целью описания отношений между возможностями фирмы и логистической системой.
Стратегическую цель фирмы (конкуренция на рынке сбыта готовой продукции) реализует синтезируемая логистическая модель. Данная модель решает вопросы маркетинговых задач такие, как анализирование рынка, определение занимаемо места на рынке, прогнозирование спроса и т.п. Научную основу данной парадигмы составляют экономические и социальные науки. Математическую основу составляют математическая статистика, теория вероятности и т.п. Модели маркетинговой парадигмы, как правило, нося абстрактный характер, многие переменные качественного характера, что затрудняет аналитические решения.
На сегодняшний день организации используют комбинации из нескольких парадигм. Но наиболее популярной является четвертая парадигма, получившая большее распространение. Она учитывает:
Внедрение новых механизмов на рынке;
Новые перспективы в отношениях между логистическими партнерами;
Развитие технологических возможностей.
Примером могут быть интегрированные системы дистрибьюции. На интегральной парадигме базируется система ISCIS, которая реализует координацию логистических систем по всем потокам в режиме онлайн по сообщениям через телекоммуникационные сети.
Интегральные парадигмы используют при синтезировании макрологистических структур, примером которых могут быть мировые сети центров торговли, программы по повышению эффективной торговли.
3/ Логистические операции и их видыУправление материальными потоками осуществляется с помощью логистических операций. Логистические операции – самостоятельная часть логистического процесса, выполняемая на одном рабочем месте и/или с помощью одного технического устройства; обособленная совокупность действий, направленных на преобразование материального и/или информационного потоков. К ЛО с МП относят расфасовку, погрузку, транспортировку, разгрузку, распаковку, комплектацию, сортировку, складирование, упаковку и др.
Материальным потокам сопутствуют информационные потоки. Логистические операции с информационными потоками - это сбор, обработка и передача информации.
Логистические операции можно классифицировать следующим образом:
1) по переходу права собственности на товар:
- односторонние (внутри системы);
- двусторонние (материальный поток входит в систему или покидает её);
2) по изменению потребительских свойств:
- без добавления стоимости (погрузка);
- с добавлением стоимости (расфасовка);
3) по природе потока:
- с материальным потоком;
- с информационным потоком
- с финансовым потоком;
- с сервисным потоком.
При управлении материальными и информационными потоками решаются следующие вопросы:
- объём;
- сроки;
- средства;
- пункты и пути транспортировки.
4/ Логист. системы и их виды.
Логистическая система – это сложная организационно-завершенная (структурированная) экономическая система, состоящая из взаимосвязанных в едином процессе управления материального и сопутствующих им потоков элементов (звеньев), совокупность которых, границы и задачи функционирования объединены внутренними целями организации бизнеса и внешними целями.
Различают:
Микрологистическую систему :
внутрилогистическая система , в состав которой входят технологически связанные производства, объединенные единой инфраструктурой;
внешние логистические системы решают задачи, связанные с управлением и оптимизацией материальных и сопутствующих потоков от источников к пунктам назначения конечного потребления внепроизводственного технологического цикла.
Звеньями внешней логистической цепи являются помимо предприятия это элементы снабженческих и дистрибутивных сетей.
Макрологистическая система – это крупная система управления материальным потоком, охватывающая предприятия и организации промышленности, посреднические, торговые, транспортные организации различных ведомств, расположенных в различных регионах страны или в различных странах:
логистические системы с прямыми связями – без участия посредников;
эшелонированные (многоуровневые) логистические системы – материальный поток проходит хотя бы через одного посредника;
гибкая логистическая система – доведение материального потока до потребителя осуществляется как по прямым связям, так и через посредника.
В качестве звеньев логистической системы могут выступать предприятия-поставщики материальных ресурсов, производственные предприятия и их подразделения, сбытовые, торговые, посреднические организации, экспедиционные предприятия, биржи, банки.
5. Моделирование в логистике.
Наиболее часто в логистике применяется имитационное моделирование.
Имитационное моделирование — в нем закономерности, определяющие характер количественных отношений остаются
непознанными, логистический процесс остается «черным ящиком». Например, мы нажимаем на кнопки телевизора, получая результат, не знаем, какие именно процессы происходят внутри него.
Основные процессы имитационного моделирования.
1. Конструирование модели реальной системы.
2. Постановка экспериментов на этой модели.
Цели: понять поведение логистической системы; выбрать стратегию, обеспечивающую наиболее эффективное функционирование логистической системы.
Как правило, имитационное моделирование осуществляется с помощью компьютеров.
Основные условия, при которых рекомендуется применять имитационное моделирование.
1. Не существует законченной постановки данной задачи, либо еще не разработаны аналитические методы решения сформулированной математической модели.
2. Аналитические модели имеются, но процедурой столь сложны и трудоемки, что имитационное моделирование дает более простой способ решения задач.
3. Аналитические решения существуют, но их реализация не возможна вследствие недостаточной математической подготовки персонала.
Достоинства имитационного моделирования.
1. Этим методом можно решать более сложные задачи.
2. Данные модели позволяют достаточно просто учитывать случайные воздействия и другие факторы, которые создают трудности при аналитическом исследовании.
3. При имитационном моделировании воспроизводится процесс функционирования системы во времени.
4. Сохраняется логическая структура.
Недостатки имитационного моделирования.
1. Исследования с помощью этого метода обходятся дорого.
1.1. Необходим высококвалифицированный специалист-
программист.
1.2. Необходимо большое количество машинного времени.
1.3. Модели разрабатываются для конкретных условий и не могут применяться для других похожих моделей.
2. Велика возможность ложной имитации. Это может произойти даже при незначительных изменениях в реальных условиях.
Описание имитационной модели можно завершить словами Р.
Шеннона: «Разработка и применение имитационных моделей в большей степени искусство, чем наука. Следовательно, успех или неудача в большей степени зависит не от метода, а от того, как он применяется»
7.Функции логистики
В процессе управления материальным потоком логистика решат такие задачи, как:
1. прогнозирование объемов перевозок;
2. определение оптимальных объемов и направлений материальных потоков;
3. организация складирования;
4. организация упаковки, транспортировки.
Логистическая функция — это укрупненная группа логистических операций, направленных на реализацию целей
логистической системы.
Функции логистики
1. Формирование хозяйственных связей по поставкам товаров или оказанию услуг, их развитие, корректировка и рационализация.
2. Определение объемов и направлений материальных потоков.
3. Прогнозные оценки потребности в перевозках.
4. Определение последовательности движения товаров через места складирования, определение оптимального коэффициента складской звенности при организации товародвижения.
5. Развитие, размещение и организация складского хозяйства.
6. Управление запасами в сфере обращения.
7. Осуществление перевозок, а также всех необходимых операций в пути следования грузов к пунктам назначения.
8. Выполнение операций, непосредственно предшествующих и завершающих перевозку товаров (упаковка, маркировка, подготовка к погрузке, погрузка).
9. Управление складскими операциями
Две характерные особенности всех функций заключаются в том, что:
• весь их комплекс подчинен единой цели;
• носителями перечисленных функций выступают субъекты, участвующие в логистическом процессе.
Предприятия и организации, решающие логистические функции
Управление, организацию и контроль материальных потоков реализуют следующие предприятия и организации:
1) предприятия готовой продукции, чьи склады выполняют разнообразные логистические операции;
2) транспортные предприятия;
3) экспедиционные фирмы;
4) предприятия оптовой торговли;
5) посреднические организации.
8.Функциональная взаимосвязь логистики с маркетингом, финансами и планированием производства
Логистика и маркетинг. Поскольку одна из основных функций логистики заключается в координации спроса и предложения, маркетинг и логистика тесно взаимосвязаны, что подтверждается определением: « Маркетинг формирует спрос, а логистика его реализует». Таким образом, логистика отражает интеграцию двух сфер: предъявляемого рынком спроса и выдвигаемого компанией предложения. По мнению иностранных специалистов в области логистики, логистика представляет собой более широкую категорию, чем маркетинг, поскольку она охватывает исследование и прогнозирование рынка, планирование производства, закупку материалов, сырья и оборудования, включает контроль за запасами и ряд последовательных товародвиженческих операций, изучение обслуживания потребителей. К настоящему времени сложилась определённая модель отношений между маркетингом и логистикой в управлении всей хозяйственной деятельностью фирмы: 1. анализ окружающей среды и рыночное исследование; 2. анализ потребителей; 3. планирование товара, определение ассортиментной специализации производства; 4. планирование услуг, оптимизация рыночного поведения по эффективному сбыту. Первые 2 маркетинговые задачи могут решаться без участия логистики, но 3я и 4я задачи должны решаться совместно. Например, служба маркетинга обосновала необходимость выпуска нового вида продукции. Тогда задачей службы логистики будет обеспечение производства сырьём, управления запасами и транспортировка. Решая 4ю задачу, маркетинг определяет для физического распределения строгие рамки требований логистического сервиса. А вот выполняются эти требования системой логистики. Т. о., логистику можно рассматривать как инструмент реализации маркетинговых стратегий. Логистика в маркетинге изучает только потоковые процессы. Маркетинг в рамках формирования и реализации своей программы принимает на себя достижение стратегических и тактических целей фирмы, а логистика – оперативное управление (координацию и оптимизацию) всеми потоковыми процессами фирмы. Логистика и планирование производства. Производство зависит от своевременной доставки сырья, материалов, комплектующих частей в определённом количестве и определённого качества. Следовательно, служба логистики предприятия должна участвовать в принятии решений о закупке продукции в производство. Также, логистика взаимодействует с производством в процессе организации сбыта готовых изделий. Управляя материальными потоками в процессе реализации и имея исчерпывающую информацию о рынках сбыта, служба логистики должна участвовать в формировании графиков выпуска готовой продукции. Задачей службы логистики является доставка сырья и комплектующих в цеха и перемещение готовой продукции в места хранения. Слабая взаимосвязь производства с логистикой приводит к увеличению запасов на разных участках, созданию дополнительной нагрузки на производство. Контроль за уровнем качества является совместной задачей службы логистики и планирования производства.
Логистика и финансы . Деятельность по управлению материальными потоками на предприятии, как правило, связанна с большими расходами. Определяя оптимальные объёмы запасов, служба логистики будет исходить из реальных возможностей предприятия. Совместные решения служб логистики и финансов принимаются при закупках оборудования. Совместно осуществляется контроль и управление транспортными, а также складскими затратами.
9. Посредничество в логистике.
Логистические посредники, прежде всего становятся эффективным инструментом экономии финансовых и материальных ресурсов в процессе товародвижения. Специализация торговых посредников на логистических услугах способствует развитию комплексного характера их деятельности, значительному повышению их общей роли в сфере товарообращения. Имея собственные склады, предоставляя их в использование промышленным предприятиям на арендных или кооперационных началах, координируя эксплуатацию собственных, производственных и транспортных складов, посреднические предприятия могут быть инициаторами в проведении инвестиционной политики развития складского хозяйства, комбинированного и комплексного использования действующих складских объектов. Дилеры – это оптовые, реже розничные посредники, которые ведут операции от своего имени и за свой счет. Товар приобретается ими по договору поставки. Таким образом, дилер становится собственником продукции после полной оплаты поставки. Отношения между производителем и дилером прекращаются после выполнения всех условий по договору поставки В логистической цепи дилеры занимают положение наиболее близкое к конечным потребителям. Дистрибьюторы – оптовые и розничные посредники. Производитель предоставляет дистрибьютору право торговать своей продукцией на определенной территории и в течении определенного срока. По договору им приобретается право продажи продукции. В логистической цепи дистрибьюторы обычно занимают положение между производителем и дилерами. Комиссионеры - оптовые и розничные посредники. Они не являются собственниками продаваемой продукции. Производитель остается собственником продукции до ее передачи и оплаты конечным потребителем. Договор о поставке продукции заключается от имени комиссионера. Агенты – посредники, выступающие в качестве представителя или помощника другого основного по отношению к нему лицу. Как правило, агенты являются юридическими лицами. Брокеры – посредники при заключении сделок, сводящие контрагентов. Они не состоят в договорных отношениях ни с одной из сторон заключающейся сделки и действуют лишь на основе отдельных поручений. Брокеры вознаграждаются только за проданную продукцию.
10. Задача «купить или сделать» Задача «что закупить» заключается в принятии одного из двух альтернативных решений — делать комплектующее изделие самим (если это в принципе возможно) или же покупать у другого производителя. В англоязычной литературе эта задача встречается под названием Make-or-BuyProblem (задача «сделать или купить»), или сокращенно - задача MOB.(В более широком плане задача MOB — это обоснование решения вопроса о степени использования в производственном процессе собственных средств производства). Решение этой задачи зависит от ряда внешних факторов, а также от условий на самом предприятии.Решения принимаются как по использованию собственных средств труда (собственный транспорт, склады, техника, оборудование), так и по использованию собственных предметов труда, то есть изготовленных своими силами заготовок, полуфабрикатов, комплектующих изделий. Альтернативные решения — наемный транспорт, лизинг оборудования, аренда складов, а также закупка полуфабрикатов или комплектующих изделий.
Значимым внешним фактором является степень развития логистики в экономике. Самостоятельное производство комплектующих снижает зависимость предприятия от колебаний рыночной конъюнктуры. Предприятие может устойчиво функционировать вне зависимости от складывающейся на рынке ситуации (естественно, в известных пределах). В то же время, высокое качество и низкую себестоимость комплектующих скорее обеспечит производитель, который специализируется на их выпуске. Поэтому, отказываясь от собственного производства и принимая решение о закупке комплектующих у специализированного поставщика, предприятие получает возможность поднять качество и снизить себестоимость, однако попадает при этом в зависимость от окружающей экономической среды. Риск потерь, обусловленный ростом зависимости, будет тем ниже, чем выше надежность поставок и чем более развиты в экономике логистические связи. Таким образом, чем выше степень развития логистики в обществе, тем «спокойнее» предприятие отказывается от собственного производства комплектующих и перекладывает эту задачу на специализированного производителя.
Вне зависимости от ситуации во внешней среде, на самих предприятиях могут действовать факторы, обусловливающие отказ от собственного производства. Решение в пользу закупок комплектующих и соответственно против собственного производства должно быть принято в случае, если:
— потребность в комплектующем изделии невелика;
— отсутствуют необходимые для производства комплектующих мощности;
— отсутствуют кадры необходимой квалификации.
Решение против закупок и в пользу собственного производства принимается в том случае, когда:
— потребность в комплектующих изделиях стабильна, и достаточно велика;
— комплектующее изделие может быть изготовлено на имеющемся оборудовании
11. Задачи и содержание закупочной логистики.Закупочная логистика — это управление материальными потоками в процессе обеспечения предприятия материальными ресурсами.
Основными функциями снабженческой логистики являются:
1 .планирование;2 .регулирование;3 .контроль;
4 .обеспечение основного производства необходимыми материально-техническими ресурсами
в установленном временном режиме с минимальными затратами.
Основные критерии : mix.
В условиях рыночной экономики основной целью закупочной логистики является удовлетворение производства в материальных ресурсах с максимально возможной экономической эффективностью за счет:
1 .выдерживание обоснованных сроков закупок;
2 .обеспечение точного соответствия между объемом и количеством поставок и потребностью в материальных ресурсах;
3. соблюдение требований производства по качеству сырья, материалов и комплектующих изделий;
4 .направленная работа с поставщиками по ориентации их технических разработок, исходя из интересов компании-потребителя материальных ресурсов.
Задачи:
1) Исследование и прогноз покупательского спроса.
2) Определение потребностей в материальных ресурсах.
3) Получение и оценка предложений о поставке продукции.
4) Выбор поставщиков.
5) Согласование цены и заключение договоров.
6) Оформление заказов.
7) Закупка материальных ресурсов.
8) Входной контроль и размещение ресурсов на складах предприятия.
9) Хранение и содержание материальных ресурсов.
10) Отпуск материальных ресурсов в цех.
11) Выполнение всех складских операций.
12) Организация учета и контроля за ходом выполнения договорных обязательств.
13) Оптимизация запасов по номенклатуре и ассортименту.
14) Учет затрат по управлению запасами
12. Система оптовых поставок «точно в срок Наиболее широко распространенной в мире является концепция just-in-time , время появления относится к 1950 г., когда японские компании (Toyota Motor и др.) стали активно внедрять микрологистическую систему "Канбан " (в пер. с японского – карточка). Внедрение концепции позволяет значительно сократить сроки поставки (с 6 мес. до 1 мес. и меньше). При такой постановке страховые запасы, которые связывают деятельность компании, будут минимальны. Работа идет под конкретный заказ.Потоки материальных ресурсов тщательно синхронизировались с потребностью в них, задаваемой в производственном расписании выпуска готовой продукции. Подобная синхронизация есть объединение функций производственного менеджмента и логистики закупок.Just-in-time – своевременная концепция построения логистической системы в производстве (операционном менеджменте), снабжении, дистрибьюции, основанная на синхронизации процессов доставки материальных ресурсов и готового продукта в необходимом количестве к тому времени, когда звенья логистической системы нуждаются в них с целью минимизации затрат, связанных с созданием запасов.
Основные черты :
-минимальные запасы материальных ресурсов, незавершенного производства и готовой продукции;
-страховые запасы отсутствуют;
-короткие производственные (логистические) циклы;
-небольшой объем производства готовой продукции и пополнения запасов;
-взаимоотношения по закупкам материальных ресурсов с небольшим числом надежных поставщиков и перевозчиков;
-нулевые дефекты и философия всеобщего управления качеством;
-высокое качество готовой продукции и логистического сервиса;
-эффективная информационная поддержка синхронизации всех этапов закупки, производства и сбыта готовой продукции.
Другие особенности :
-Сбыт имеет приоритетное значение (для своевременного реагирования нужно отслеживать спрос).
-Отличие от традиционного подхода: нет бесконечного наращивания производства, только с опорой на спрос (конкретный заказ).
13.Проблемы, стоящие на пути внедрения систем "точно в срок":
-требования потребителя к качеству, которые приводят к увеличению затрат поставщика и могут восприниматься последним как завышены;
-сокращение степени диверсификации, что создает проблему, обусловленную возрастанием коммерческого риска от ориентации на одного контрагента;
-удаленность потребителя может сделать частые поставки небольших партий экономически невыгодным для поставщика;
-расписание поставок, которое используется в системах "точно в срок" должно позволять получать товары по мере надобности, в то время как для поставщика более приемлемо расписание, характеризующееся стабильностью поставок по размеру и во времени;
-размер партии и периодичность поставок
14. Понятие, цель и задачи производственной логистики. Традиционная и логистическая концепции организации производстваПроизводственная логистика — обеспечение качественного, своевременного и комплектного производства продукции в соответствии с хозяйственными договорами, сокращение производственного цикла и оптимизация затрат на производство.
Целью производственной логистики является оптимизация материальных потоков внутри предприятий, создающих материальные блага или оказывающих такие материальные услуги, как хранение, фасовка, развеска, укладка и др. Характерная черта объектов изучения в производственной логистике – их территориальная компактность.
Участников логистического процесса в рамках производственной логистики связывают внутрипроизводственные отношения (в отличие от участников логистического процесса на макроуровне, связанных товарно-денежными отношениями).
Логистические системы, рассматриваемые производственной логистикой, носят название внутрипроизводственных логистических систем. К ним можно отнести: промышленное предприятие; оптовое предприятие, имеющее складские сооружения; узловую грузовую станцию; узловой морской порт и др. Внутрипроизводственные логистические системы можно рассматривать на макро- и микроуровнях.
Логистическая концепция организации производства включает в себя следующие основные положения:
-отказ от избыточных запасов;
-отказ от завышенного времени на выполнение основных и транспортно-складских операций;
-отказ от изготовления серий деталей, на которые нет заказа покупателей;
-устранение простоев оборудования;
-обязательное устранение брака;
-устранение нерациональных внутризаводских перевозок;
-превращение поставщиков из противостоящей стороны в доброжелательных партнеров.
В отличие от логистической традиционная концепция организации производства предполагает:
-никогда не останавливать основное оборудование и поддерживать во что бы то ни стало высокий коэффициент его использования;
-изготавливать продукцию как можно более крупными партиями;
-иметь максимально большой запас материальных ресурсов "на всякий случай".
Содержание концептуальных положений свидетельствует о том, что традиционная концепция организации производства наиболее приемлема для условий "рынка продавца", в то время как логистическая концепция – для условий "рынка покупателя".
В интегрированном виде задачи (функции) производственной логистики могут быть сформулированы следующим образом:
-планирование и диспетчирование производства на основе прогноза потребностей в готовой продукции и заказов потребителей;
-разработка планов-графиков производственных заданий цехам и другим производственным подразделениям предприятия;
-разработка, графиков запуска-выпуска: продукции, согласованных со службами, снабжения и сбыта;
-установление нормативов незавершенного производства и контроль за их соблюдением;
-оперативное управление производством и организация выполнения производственных заданий;
-контроль за количеством и качеством готовой продукции;
-участие в разработке и реализации производственных нововведений;
-контроль за себестоимостью производства готовой продукции.
15. Толкающие системы управления материальными потоками в логистике
1)"Толкающая" система представляет собой систему организации производства, в которой предметы труда, поступающие на производственный участок, непосредственно этим участком у предыдущего технологического звена не заказываются. Материальный поток "выталкивается" получателю по команде, поступающей из центральной системы управления производством.
Эта система характерна для традиционной организации производства. Она не приспособлена к гибкой перестройке в соответствии с колебаниями спроса.
Первой системой, оставшейся по своей сути "толкающей", но уже использующей принципы логистики, была система MRP – планирование потребности в материалах.
Система MRP характеризуется высоким уровнем автоматизации управления, позволяющим реализовать следующие основные функции :
обеспечить текущее регулирование и контроль производственных запасов;
в реальном масштабе времени согласовывать и оперативно корректировать планы и действияразличных служб предприятия (снабженческих, сбытовых и т.д.).
Б.16"Тянущая" система – система организации производства, в которой детали и полуфабрикаты подаются на последующую технологическую операцию с предыдущей по мере необходимости, центральная система управления не вмешивается в обмен материальными потоками между различными участками предприятия, не устанавливает для них текущих производственных заданий. Производственная программа отдельного технологического звена определяется размером заказа последующего звена. Центральная система управления ставит задачу лишь перед конечным звеном производственной технологической цепи.
Эта система работает при наличии спроса
17/ Распределение лог.
Распределительная логистика — процесс управления материальными потоками в момент реализации готовой продукции. Данным видом логистики занимаются как предприятия, так и торгово-посреднические фирмы. Решаются такие вопросы, как: вид упаковки; размер партии; время, к которому эта партия должна быть изготовлена.
Распределительная логистика представляет собой ту часть логистики, которая интегрирована в сферу распределения. Иначе ее называют маркетинговой логистикой. Это словосочетание очень точно отражает особенности логистики на послепроизводственном этапе в современных условиях. Маркетинг и логистика не просто дополняют друг друга, в тесно взаимосвязаны и взаимозависимы. Логистика в сфере распределения представляет собой комплекс стратегических, организационных, финансовых и других мер, тесно связанных между собой в гибкую систему управления материальными, информационными и другими потоками в послепроизводственный период. В сфере сбыта логистика является эффективным инструментом реализации стратегии и тактики маркетинга. Одновременно в сфере распределения (физического) маркетинг является инструментом реализации логистической стратегии и тактики. Процессы распределения можно рассматривать с позиций микро- и макрологистики. Макрологистика является важнейшей составной частью макроэкономической проблематики. На данном уровне требуется решить множество задач.Предназначение микрологистики в сфере распределения состоит в обеспечении на локальном уровне планирования, организации, управления и контроля процессов перемещения готовой продукции, информации (денежной наличности и т. д.). Логистика на данном уровне означает применение наиболее эффективных способов работы по физическому перемещению, основанных на достоверной, полной и актуальной информации, отражающей требования заказчиков. Важнейшие функции распределительной логистики:-планирование, организация и управление транспортно-перемещающими процессами в логистической системе в послепроизводственный период;-управление товарными запасами; -получение и эффективная обработка заказов; -комплектация, упаковка и выполнение ряда других логистических операций по подготовке товарных потоков к генерации; -организация рациональной отгрузки; -управление доставкой и контроль над выполнением транспортно-перемещающих операций в логистических цепях; -планирование, организация и управление логистическим сервисом. Основная функция инфраструктуры товарного рынка заключается в том, чтобы связать все сферы общего производства которые обеспечивают движение товарных потоков в отраслевом и региональных направлениях, организуют заключение контрактов на поставку товаров, а так же сбыт продукции и обслуживание потребителя.
18/ Логистические каналы и логистические цепи. Выбор каналов распределения.
Материальный поток исходит либо из источника сырья, либо из производства, либо из распределительного центра. Поступает либо на производство, либо в распределительный центр, либо конечному потребителю (рис. 7).

Рис. 7. Варианты поступления материального потока в систему потребления
Во всех случаях материальный поток поступает в потребление, которое может быть производственным или непроизводственным.
Потребление производственное – это текущее использование общественного продукта на производственные нужды в качестве средств труда и предметов труда. Потребление непроизводственное – это текущее использование общественного продукта на личное потребление и потребление населения в учреждениях и предприятиях непроизводственной сферы.
Поставщик и потребитель материального потока в общем случае представляют собой две микрологистические системы, связанные так называемым логистическим каналом, или иначе – каналом распределения. Логистический канал – это частично упорядоченное множество различных посредников, осуществляющих доведение материального потока от конкретного производителя до его потребителей.
Множество является частично упорядоченным до тех пор, пока не сделан выбор конкретных участников процесса продвижения материального потока от поставщика к потребителю. После этого логистический канал преобразуется в логистическую цепь.
Логистическая цепь – это линейно упорядоченное множество участников логистического процесса, осуществляющих логистические операции по доведению внешнего материального потока от одной логистический системы до другой.
При выборе канала распределения происходит выбор формы товародвижения – транзитной или складской. При выборе логистической цепи – выбор конкретного дистрибьютора, перевозчика, страховщика, экспедитора, банкира и т.д. При этом могут использоваться различные методы экспертных оценок, методы исследования операций и др.
Использование каналов распределения приносит производителям определенные выгоды:
экономию финансовых средств на распределение продукции;
возможность вложения сэкономленных средств в основное производство;
продажу продукции более эффективными способами;
высокую эффективность обеспечения широкой доступности товара и доведения его до целевых рынков;
сокращение объема работ по распределению продукции.
Таким образом, решение о выборе каналов распределения – одно из важнейших, которое необходимо принять руководству организации.
Каналы распределения товаров можно охарактеризовать по числу составляющих их уровней. Уровень канала – это посредник, который выполняет работу по приближению товара и права собственности на него к конечному потребителю. Протяженность канала определяется по числу промежуточных уровней между производителем и потребителем, которые, как и уровни канала, являются членами канала распределения. Примеры каналов распределения различной протяженности приведены на рис. 8. Каналы распределения, показанные на рисунке, представляют собой традиционные каналы. Они состоят из независимого производителя и одного или нескольких независимых посредников.

Рис. 8. Каналы распределения товаров разных уровней
Вертикальные каналы распределения – это каналы, состоящие из производителя и одного или нескольких посредников, действующих как одна единая система (рис. 9). Один из членов канала, как правило, либо является собственником остальных компаний-участниц, либо предоставляет им определенные привилегии.

Рис. 9. Вертикальный канал распределения
19/ Понятие логистического сервиса и его роль в повышении конкурентоспособности торгового предприятия.
Работа по оказанию услуг, т.е. по удовлетворению чьих-либо нужд, называется сервисом. Лог.сервис неразрывно связан с процессом распределения и представляет собой комплекс услуг, оказываемых в процессе поставки товаров потребителю. Объектом лог.сервиса являются предприятия производственной и непроизводственной сферы, население. Лог.сервис осуществляется либо самим поставщиком, либо экспедиторской фирмой, специализирующейся в области послепродажного обслуживания. Все работы в области лог.сервиса можно разделить на три основные группы: -предпродажные, т.е. работы по определению политики предприятия в сфере оказания услуг и формированию системы логистического обслуживания; -работы по оказанию логистических услуг, осуществляемые в процессе продажи товаров, например предоставление информации о прохождении грузов; подбор ассортимента, упаковка, формирование грузов единиц и т.п.; -послепродажный логистический сервис, включающий в себя гарантийное обслуживание, обязательства по рассмотрению претензий покупателей, обмен и т.п. Основным критерием, позволяющим оценить систему сервиса, как с позиции поставщика, так и с позиции получателя услуг, является уровень логистического обслуживания.
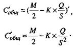
Уровень логистического обслуживания – это количественная характеристика соответствия фактических значений показателей качества и количества логистических услуг оптимальным или теоретически возможным значениям этих показателей. Расчет уровня логистического обслуживания выполняется по следующей формуле:
где Y
– уровень логистического обслуживания; m
– количественная оценка фактически оказываемого объема логистических услуг; М
– количественная оценка теоретически возможного объема логистического сервиса. Уровень обслуживания можно оценивать также, сопоставляя время на выполнение фактически оказываемых в процессе поставки логистических услуг со временем, которое необходимо было бы затратить в случае оказания всего комплекса возможных услуг в процессе той же поставки. Расчет выполняется по следующей формуле:
где n
и N
– соответственно фактическое и теоретически возможное количество оказываемых услуг; ti
– время на оказание i-й услуги
20. Уровень логистического сервиса: понятие, методы расчета
Важным критерием, позволяющим оценить систему сервиса, как с позиции поставщика, так и с позиции получателя услуг, является уровень логистического обслуживания.
Расчет данного показателя выполняют по следующей формуле:
? = m Х 100%
M
где ? - уровень логистического обслуживания;
M - количественная оценка теоретически возможного объема логистического сервиса;
m - количественная оценка фактически оказываемого объема логистического сервиса.
Для оценки уровня логистического обслуживания выбираются наиболее значимые виды услуг, то есть услуги, оказание которых сопряжено со значительными затратами, а неоказание - с существенными потерями на рынке. Приведем два варианта расчета величины данного показателя.
21/Место транспорта в общественном производстве. Понятие и задачи транспортной логистики
Транспортная логистика определяется как сфера деятельности, охватывающая три области: 1процесс планирования, организации и осуществления рациональной и недорогой доставки (перевозки) грузов (товаров) от мест их производства и до мест потребления; 2контроль за всеми транспортными и другими операциями, возникающими в пути следования грузов с использованием современных средств телекоммуникации, информатики и других информационных технологий; 3предоставление соответствующей информации грузовладельцам. К задачам транспортной логистики относят: создание транспортных систем, в том числе создание транспортных коридоров и транспортных цепей. Транспортный коридор - это часть национальной или международной транспортной системы, которая обеспечивает значительные грузовые перевозки между отдельными географическими районами. Транспортная цепь - этапы перевозок груза на определенные расстояния, в течение определенного периода времени, с использованием транспортных средств одного или нескольких видов транспорта. Все это время грузы остаются в неизменном виде: -обеспечение технологического единства транспортно-складского процесса; -совместное планирование транспортного процесса со складским и производственным; -выбор вида транспортного средства; -выбор типа транспортного средства; -определение рациональных маршрутов доставки; -обеспечение технической и технологической сопряженности участников транспортного процесса, согласование их экономических интересов, а также использование единых систем планирования.
22/ Критерии и методы выбора перевозчиков
Задача выбора вида транспорта решается во взаимной связи с другими задачами логистики, такими, как создание и поддержание оптимального уровня запасов, выбор вида упаковки и др. Основой выбора вида транспорта, оптимального для конкретной перевозки, служит информация о характерных особенностях различных видов транспорта. Основные преимущества и недостатки автомобильного, железнодорожного, водного и воздушного транспорта, существенные с точки зрения логистики.Автомобильный транспорт. Одно из основных преимуществ - высокая маневренность. С помощью автомобильного транспорта груз может доставляться «от дверей до дверей» с необходимой степенью срочности. Этот вид транспорта обеспечивает регулярность поставки. Здесь, по сравнению с другими видами, предъявляются менее жесткие требования к упаковке товара.Основным недостатком автомобильного транспорта является сравнительно высокая себестоимость перевозок, плата за которые обычно взимается по максимальной грузоподъемности автомобиля. К другим недостаткам этого вида транспорта относят также срочность разгрузки, возможность хищения груза и угона автотранспорта, сравнительно малую грузоподъемность.Железнодорожный транспорт. Этот вил транспорта хорошо приспособлен для перевозки различных партий грузов при любых погодных условиях. Железнодорожный транспорт обеспечивает возможность доставки груза на большие расстояния, регулярность перевозок. Здесь можно эффективно организовать выполнение погрузочно-разгрузочных работ.Существенным преимуществом железнодорожного транспорта является сравнительно невысокая себестоимость перевозки грузов.Морской транспорт. Является самым крупным перевозчиком в международных перевозках. Его основные преимущества низкие грузовые тарифы и высокая провозная способность. К недостаткам морского транспорта относят его низкую скорость, жесткие требования к упаковке и креплению грузов, малую частоту отправокВнутренний водный транспорт. Здесь низкие грузовые тарифы. При перевозках грузов весом более 100 тонн на расстояние более 250 км э т о т в и д т р а н с п о р т а с а м ы й де ш е в ы й .
К недостаткам внутреннего водного транспорта, кроме малой скорости доставки, относят также низкую доступность в географическом плане. Это обусловлено ограничениями, которые накладывает конфигурация водных путей.Воздушный транспорт. Основные преимущества - скорость и возможность достижения отдаленных районов. К недостаткам относят высокие грузовые тарифы и зависимость от метеоусловий, которая снижает надежность соблюдения графика поставки. Осн.преимущества и недостатки созд-я и сод-я парка трансп.ср-в: преимущ-ва: 1сниж-ся зав-ть от колеб-й трансп.тарифов; недостатки;2сокращ.перем.затраты св.с исп. автотрансп.; 3налич собств.транспр.ср-в обесп.возм.точного планир-я их исп-я;4обесп.более высокие возм. оказ. усл. клиентам в процессе доставки т-в:1сложность орг. трансп. хоз-я св-го с реш-м множ-ва спец-х юрид-х орг-х техн-х инф-х фин-х проблем. 2знач-е затр.св-е с эксплуатации охраной,хр-м трансп.ср.их кач-м 3возн. проблемы холостых пробегов подвижного состава 4треб.
24. Понятия и виды материальных запасов.Общепризнанными формами произв-ых запасов являются предметы труда, сырье, мат-лы, инструменты, инвентарь. Товарные или бытовые запасы - конечная продукция предназначенная для продажи конечным покуп-лям или перепродажи.
Существует 3 вида товарно-матер-х запасов:
1) сырьевые мат-лы (комплектующие, топливо);
2) товары, находящиеся на стадии изготовления;
3) грузовые потоки.
В зависимости от их целевого назначения запасы подразделяются на:
–технологич-ие (переходные) запасы - движущиеся из одной части Л системы в другую;
-текущие (циклические) запасы, создаваемые в течении среднестатистического производ-го периода, или запасы объемом в одну партию товаров;
-резервные (страховые) запасы, создаваемые на случай ожидаемых изменений спроса или предлож-я на прод-ию.
Причиной для создания товарно-матер-ых запасов является стремление субъектов производ-ой деят-сти к экон-ой безопасности. Но увеличение ст-ти создания запасов при неопред-ых условий сбыта не способствуют возрастанию безопасности.
Одним из сильнейших стимулов к созданию запасов является ст-ть их отрицательного уровня (дефицита). При дефиците запасов существует 3 вида возможных издержек:
-издержки в связи с невыполнением заказа;
- издержки в связи с потерей сбыта;
-издержки в связи с потерей заказов
Система с фиксированным размером заказа при периодической проверке фактического уровня запаса (с пороговым уровнем запаса). Фактический уровень запасов проверяется через равные промежутки времени. Решение о заказе постоянного объема товара принимается при условии, что товарный запас на момент проверки оказывается меньше или равен установленному пороговому уровню товарных запасов. В противном случае принимается решение «не заказывать».
Период, через который предприятие направляет заказ поставщику, не меняется. Например, каждый понедельник менеджер фирмы просматривает остатки товаров и дозаказывает их до заранее определенной максимальной нормы.
Размер заказываемой партии товара определяется разностью предусмотренного нормой максимального товарного запаса и фактического запаса на момент проверки. Поскольку для исполнения заказа требуется определенный период времени, то величина заказываемой партии увеличивается на размер ожидаемого расхода за этот период. Размер закупаемой партии определяется по следующей формуле:
Р = Змакс - (Зф - Звз),
где,
Змакс -- предусмотренный нормой максимальный запас,
Зф -- фактический запас на момент проверки,
Звз -- запас, который будет израсходован в течение размещения и выполнения заказа. Естественно, применять эту систему можно тогда, когда есть возможность заказывать партии, различные по величине. Например, в случае применения контейнерной доставки заказываемого товара, эта система неприемлема. Кроме того, систему не применяют, если доставка или размещение заказа обходится дорого. Например, если спрос за прошедший период был незначителен, то заказ также будет незначителен, что допустимо лишь при условии не существенности транспортно -- заготовительных расходов, связанных с выполнением заказа. На практике по данной системе можно заказывать:
один из многих товаров, закупаемых у одного и того же поставщика;
товары, на которые уровень спроса относительно постоянен;
малоценные товары и др.
25/Система с фиксированным размером заказов при непрерывной проверке фактического уровня запасов (с пороговым уровнем запаса). -- В момент достижения запасов порогового значения заказывается партия постоянного объема. Как только запас какого-либо товара достигает заранее определенного минимального значения, этот товар заказывается. При этом размер заказываемой партии все время один и тот же (система с фиксированным размером заказа). В этой системе контроля состояния запасов размер заказа на пополнение запаса является величиной постоянной. Интервалы времени, через которые производятся размещение заказа, в этом случае могут быть разные. Постоянными величинами в этой системе являются объем заказа, который определяется размером запаса в момент размещения заказа (пороговый уровень запаса или так называемая точка заказа) и величиной страхового запаса. Заказ на поставку размещается при уменьшении наличного запаса до точки заказа. После размещения заказа запас продолжает уменьшаться, так как заказанный товар привозят не сразу, а через какой-то промежуток времени. Величина запаса в точке заказа выбирается такая, чтобы в нормальной, рабочей ситуации за время доставки товара, запас не опустился ниже страхового. В случае непредвиденного увеличения спроса или нарушения сроков поставки начнет работать страховой запас. Коммерческая служба предприятия в этом случае должна принять меры, обеспечивающие дополнительную поставку. Как видим, данная система контроля предусматривает защиту предприятия от образования дефицита.
Система с фиксированным размером заказа при непрерывной проверке фактического уровня запаса (с пороговым уровнем запаса).
В момент достижения запасом порогового значения заказывается партия постоянного объема (рис. 90).

Система с двумя уровнями при периодической проверке фактического уровня запаса (с пороговым уровнем запаса). Фактический уровень товарных запасов проверяется через равные промежутки времени. Если он оказывается меньше минимального или равен ему, то принимается решение заказывать партию, равную разности максимального товарного запаса и фактического запаса на момент проверки с увеличением на ожидаемую реализацию за время выполнения заказа. Если фактический товарный запас больше минимального, то принимается решение "не заказывать" (рис. 91).

Система с двумя уровнями при непрерывной проверке фактического уровня запаса (с пороговым уровнем запаса). Решение заказать партию принимается при достижении порогового запаса. Размер заказываемой партии принимается равным разности максимального товарного запаса и порогового уровня, с увеличением на ожидаемую реализацию за время выполнения заказа (рис. 92).

26/ Система пополнения запаса до максимального уровня. При этом через равные промежутки времени заказывается партия, объем которой, т. е. число единиц товара, равен разности установленного максимального уровня запасов и фактического уровня запасов на момент проверки. Размер заказа увеличивается на величину запаса, который будет реализован за период выполнения заказа (рис. 88).

27. Управл-е запасами с примен-ем м-да АВС-анализа и XYZ-анализа запасов.
Метод ABC (Закон Парето)
Обычно из общего числа наименований наибольшая стоимость запаса или основная доля затрат на управление падает на относительно небольшое их количество. Эито связано с широко распространенным законом Парето (1897 г.), который утверждает, что в подавляющем большинстве случаев ограниченное число элементов (20%), составляющих явление, на 80% обуславливает его возникновение.Целесооб. разбить ном-у на 3 группы :
А :Наиболее ценные изделия, на долю которых приходится около 80% общей стоимости изделия – составляют около 15-20% всего выпуска продукции, поступившей на склад готового продукта. В :Средние по стоимости изделия – 10-15% от общей стоимости выпуска, до 30% общего выпуска. С :Самые дешевые изделия – 5-10% от общей стоимости, самые массовые – более 50% от общего выпуска. |
Анализ кривой AВC показывает, что группа изделий А находится под строгим учетом и контролем. Эти изделия – основные. Группе изделий В требуется обычный контроль, налаженный учет и постоянное внимание. Изделие С нуждается в самом обыкновенном контроле, периодической проверке уровня запасов.
Анализ XYZ
С помощью этого анализа ассортимент распределяется в зависимости от частоты потребления
Отслеживается, как часто деталь нужна в производстве. Здесь определяется коэффициент вариации V
– мера относительного разброса относительно среднего значения прогнозируемой величины:
Группы изделий
:
Изделия группы Xхарактеризуются постоянной величиной их потребности и небольшими колебаниями в их расходе и высокой точностью предсказаний.Изделия группы Y характеризуются заранее известными тенденциями определения потребности в них; возможны сезонные колебания. Изделия группы Z потребляются нерегулярно, прогнозирование их потребности неточно. |
Анализ XYZ :1.Определение коэффициент вариации.2.Сортировка и суммирование изделий в соответствии с возрастанием коэффициентов вариации.3.Графическое представление (распределение по областям XYZ).
На основании АВС и XYZ анализа получаем 9 гр запасов, для каждой из к-ых фирма должна разраб-ть свой вариант управ-ия.Для гр А X, А Y, А Z необх-мо тща-тельное планир-ие потреб-тей, еже-дневный учет и контроль нормирова-ния запаса. Для ресурсов гр С X, С Y, С Z прим-ют укрупненные м-ды пла-нир-ия, а контроль за величиной запа-сов делегируется низшим звеньям управ-ия.
28/ Взаимосвязь управления запасами с другими функциями логистики
Большое влияние на результаты бизнеса оказывает распределение ассортимента и ассортиментного состояния запасов в различных логистических системах.

рис. 1.1 Матрица спроса.
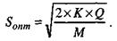
Сегмент I – товар пользуется высоким спросом и имеет высокую долю в прибыли п/п, необходимо размещать склады максимально близко к клиенту и следует иметь глубокий внутригрупповой ассортимент, создавать страховые запасы. Товар пользуется низким спросом (II, III), размещают выше по цепи товародвижения, т.е. в центральных складах (центры распространения) при этом чем ниже значение коэффициента вариации спроса по отдельному товару, тем спокойнее можно передавать его хранение в центр. склад. Поставка той части тов-в этой группы, кот. приносят высокую прибыль при низком спросе (II) должна осуществляться по принципу точно-в-срок. Работу с тов-м, польз-ся высоким спросом но приносящим небольшую прибыль (IV) необх. критически анализировать и реорганизовывать с целью сокращения затрат и соответствующего увеличения прибыли. Больш. влияние на совокупные издержки системы распред-я имеет кол-во складов. Ожидаемая экономия за счет снижения кол-ва складов м/б рассчитана с пом. правила известн. как закон квадратного корня.
Размер страхового запаса след-но сумма издержек по его содержанию растет пропорц-но квадратному корню из числа складов.

где
- размер страх. запаса
- начальное и конечное число складов в сист. распределения.
29/ Определение оптимального размера запасов
После того как сделан выбор системы пополнения запасов, необходимо количественно определить величину заказываемой партии, а также интервал времени, через который повторяется заказ.
Оптимальный размер партии поставляемых товаров и, соответственно, оптимальная частота завоза зависят от следующих факторов:
♦ объем спроса (оборота);
♦ расходы транспортно – заготовительные;
♦ расходы по хранению запаса.
В качестве критерия оптимальности выбирают минимум суммы транспортно – заготовительных расходов и расходов на хранение.
И транспортно – заготовительные расходы, и расходы по хранению зависят от размера заказа, однако характер зависимости каждой из этих статей расходов от объема заказа разный.
Транспортно – заготовительные расходы при увеличении размера заказа, очевидно, уменьшаются, так как закупки и перевозки товаров осуществляются более крупными партиями и, следовательно, реже. График этой зависимости представлен на рис. 82.

Расходы по хранению растут прямо пропорционально размеру заказа. Эта зависимость графически представлена на рис. 83.

Сложив оба графика, получим кривую, отражающую характер зависимости суммы транспортно – заготовительных расходов и расходов на хранение от размера заказываемой партии (рис. 84). Как видим, кривая суммарных издержек имеет точку минимума, в которой суммарные расходы будут минимальны. Абсцисса этой точки SonT дает значение оптимального размера заказа.

Задача определения оптимального размера заказа наряду с графическим методом может быть решена и аналитически. Для этого необходимо минимизировать функцию, представляющую сумму транспортно – заготовительных расходов и расходов на хранение от размера заказа, т. е. определить условия, при которых:
![]()
где Со6 – общие затраты на транспортировку и хранение запаса;
Сх ан – затраты на хранение запаса;
Ст ансп – транспортно – заготовительные расходы.
Предположим, что за определенный период времени величина оборота составляет Q. Размер одной заказываемой и доставляемой партии S. Допустим, что новая партия завозится после того, как предыдущая полностью закончилась. Тогда средняя величина запаса составит S / 2.
Введем размер тарифа (М) за хранение запаса. Тариф М измеряется долей, которую составляют издержки по хранению за период Т в стоимости среднего запаса за этот же период. Например, если М = 0,1, то это означает, что издержки по хранению запаса за период составили 10 % от стоимости среднего запаса за этот же период. Можно сказать также, что издержки по хранению единицы товара в течение периода составили 10 % от ее стоимости.
Теперь можно рассчитать, во что обойдется хранение товаров за период Т:
![]()
Размер транспортно – заготовительных расходов за период Т определится умножением количества заказов за этот период на величину расходов, связанных с размещением и доставкой одного заказа:
![]()
где К – транспортно – заготовительные расходы, связан – ' ные с размещением и доставкой одного заказа;
Q / S – количество завозов за период времени. Выполнив ряд преобразований, найдем оптимальный размер единовременно доставляемой партии (Smm), при котором величина суммарных затрат на хранение и завоз будет минимальной.
![]()
или
![]()
Минимум Со6 имеет в точке, в которой ее первая производная по S равна нулю, а вторая производная больше нуля. Найдем первую производную:

Найдем значение S, обращающее производную целевой функции в ноль:

откуда![]()
Проверка показывает, что вторая производная больше нуля, следовательно, полученное значение S обеспечивает минимум совокупных расходов на доставку и хранение.
Полученная формула, позволяющая рассчитать оптимальный размер заказа, в теории управления запасами известна как формула Уилсона.
30/ Складs
Склады – это здания, сооружения и разнообразные устройства, предназначенные для приемки, размещения и хранения поступивших на них товаров, подготовки их к потреблению и отпуску потребителю.
Изготовителю продукции необходимы склады сырья и исходных материалов, с помощью которых обеспечивается непрерывность производственного процесса. Склады готовой продукции позволяют содержать запас, обеспечивающий непрерывность сбыта. На складах торговли накапливаются и ожидают своего потребителя готовые изделия.
Гармония в логистике достигается правильным сочетанием складского и транзитного способов продвижения вещественной субстанции от первичного источника сырья вплоть до конечного потребителя.
Склад в логистике используется только тогда, когда это позволяет улучшить показатели сквозного процесса. Таким образом, роль склада заключается в создании условий для оптимизации материального потока.

функции:
♦ временное размещение и хранение материальных запасов;
♦ преобразования материальных потоков;
♦ обеспечение логистического сервиса в системе обслуживания.
31.Выбор месторасположения склада. Гл фактором при выборе местораспол-ия складов явл суммарные з-ты на строит-во и эксплуатацию складов, на выпол-ия запасов и трансп-ые расходы по доставке и отправке грузов.
Малые и сред фирмы огранич-щие сбыт прод-ии одним или неск-ми близ лежащими регионами имеют 1 склад. Крупные фирмы имеющие дело с нац-ым и межнац-ым р-ом создаюи сеть складов. При этом решение по кол-ву складов зависит от : 1 сокращ издержек обращ-я; 2 достаточности уровня сервисного обслуж-я (трансп-ое обслуж-е, доп логистич услуги, размер партий)
Территор-ое размещ-е складов и их кол-во опред-ся мощностью матер-х потоков, спросом на р-ке сбыта, размерами региона сбыта, располож-ем поставщиков и покуп-лей.
Две осн-х альтерн-вы размещ-я складов: - централизов-ая с-ма , т.е один крупный централизов-ый склад, где накаплив-ся осн-ые запасы и фирменные склады располож-е в регионах сбыта; -децентрализ-ая с-ма – основ-ая часть запасов рассредотач-ся в регион-х складах в непосред-ой близости от потреб-ля. С-ма эф-на, если в регионах поддерж-ся высокий ур продажи и предъявл-ся повыш треб-ия к обслуж-ю
32/Определение количества складов в распределительной сетиВажнейшим элементов логистической системы (ЛС) является складская сеть, через которую осуществляется распределение МП. Построение этой сети оказывает существенное влияние на издержки, возникающие в процессе доведения товара до потребителя, а значит, и на конечную стоимость реализуемого товара. Так, при наличии единственного склада транспортные расходы по доставке товара потребителям будут весьма высоки.
В случае пяти складов транспортные расходы по товароснабжению будут минимальны, но увеличатся другие виды затрат, а именно: затраты на доставку товаров на склады; на управление всей этой распределительной системой. Существует возможность того, что дополнительные затраты в этом случае превысят выигрыш, полученный от сокращения пробега транспорта, доставляющего товар потребителям.
Транспортные работы и транспортные расходы по доставке товаров потребителям делят на 2 группы:
1) дальние перевозки и расходы, связанные с доставкой товаров на склады системы распределения, ;
2) ближние перевозки и расходы по доставке товаров со складов потребителям, .
Но при этом пробег транспорта от склада к потребителям резко снижается При этом суммарные транспортные расходы, как правило, убывают, хотя и не так резко как расходы на ближние перевозки
Зависимость затрат на содержание запасов от количества складов
· увеличение числа складов приводит к уменьшению зоны обслуживания каждого склада, что ведет к сокращению уровня запасов на каждом складе;
· увеличение числа складов приводит к необходимости иметь несколько страховых запасов, что может привести к увеличению суммарного запаса на всех складах по сравнению со случаем одного РЦ;
· потребность некоторых складов может оказать меньше минимальной нормы, по которой склад получает товар, что повлечет рост размера запаса.
Зависимость затрат на эксплуатацию складского хозяйства от количества складов
При увеличении количества складов в системе распределения затраты, связанные с эксплуатацией одного склада, снижаются, но совокупные затраты распределительной системы на содержание всего складского хозяйства увеличиваются. Это связано с эффектом масштаба: при уменьшении площади склада эксплуатационные затраты, приходящиеся на 1 кв.м, увеличиваются.
В частности, в процессе принятия решений необходимо проанализировать следующие факторы выбора участка под РЦ:
1) размер и конфигурация участка. Большое количество транспортных средств, обслуживающих входные и выходные потоки, требует достаточную площадь для парковки, маневрирования, проезда. Их отсутствие может привести к заторам, потере времени и клиентов. Кроме того, на территории РЦ должны разместиться офис, санитарно-бытовые помещения, пост охраны, устройства для сбора и обработки отходов и т.д.;
2) транспортная доступность местности. Предпочтение следует отдавать участкам, расположенным на главных (магистральных) трассах. Следует анализировать оснащенность территории другими видами транспорта, в том числе и общественного, от которого зависит доступность РЦ как для собственного персонала, так и для клиентов;
3) планы местных властей. Знакомясь с планами местных властей убедиться в отсутствии факторов, которые впоследствии могли бы оказать сдерживающее влияние на развитие РЦ. Кроме того, необходимо изучить с особенностями местного законодательства, учесть возможность привлечения местных инвестиций, ознакомиться с ситуацией на местном рынке рабочей силы.
Необходимо учитывать требования, предъявляемые к условиям и срокам хранения конкретного вида сырья, материалов, готовой продукции и т.д. При выборе места расположения склада из числа возможных вариантов, как правило, оптимальным считается тот, который обеспечивает минимум суммарных затрат на строительство и дальнейшую эксплуатацию склада и транспортных расходов по доставке и отправке грузов.
33. Принципы логистической организации складских процессов.
Складское хозяйство в очень многих компаниях, будучи логистическим элементом, сохраняет разнообразную подчиненность: отделам продажи, производству, технической службе и т.п.. Главная задача для логистов, насколько это целесообразно, с точки зрения управляемости и экономического смысла, подчинить склады и базы своему руководству, объединив всю склад- скую структуру. Но, еще важнее, чтобы все склады, даже, если они сохранили свою подчиненность другим подразделам, были объединенными в единую цепь снабжения материалов и готовой продукции.
Логистика на складе охватывает все основные функциональные области, которые рассматриваются на микроуровне. Поэтому логистический процесс на складе является намного более широким, чем обычные технологические процессы и обеспечивает:
- снабжение запасами;
- контроль за поставками;
- розгрузку и прием грузов;
- внутрискладское транспортирование и перевалку грузив;
- складирование и хранение грузив;
- комплектацию (комиссионирование) заказав клиентов и отгрузку;
- транспортирование и экспедирование заказав;
- сбор и доставку пустых товароносителей;
- контроль за выполнением заказов;
- информационное обслуживание складов и баз;
- обслуживание клиентов (предоставление услуг).
Условно весь процесс можно поделить на три части:
1) операции, направленные на координацию службы закупки;
2) операции, непосредственно связанные с переработкой груза и его документацией;
3) операции, направленные на координацию службы продаж. Гордон М. П., Карнаухов С. Б. Логистика товародвижения.
34/Грузовая единица: понятие, роль в логистике, основные характеристики. Пакетирование грузовых единиц.
Грузовая единица – это тот элемент логистики, который своими параметрами связывает технологические процессы участников логистического процесса в единое целое. Формироваться грузовая единица может как на производственных участках, так и на складах.
Верное решение по выбору грузовой единицы при проектировании логистического процесса обеспечивает:
♦ единовременное транспортирование большего количества товара;
♦ эффективное использование площади и объема склада;
♦ возможность использования стандартного оборудования при погрузочно – разгрузочных и транспортно – складских (ПРТС) работах;
♦ ускорение ПРТС работ;
♦ минимизацию риска повреждения товара;
♦ повышение безопасности логистических процессов. Существенными характеристиками грузовой единицы являются следующие:
♦ размеры грузовой единицы;
♦ способность к сохранению целостности, а также первоначальной геометрической формы в процессе разнообразных логистических операций. Рассмотрим грузовые единицы в разрезе их основных характеристик.
Пакетирование – это операция формирования на поддоне грузовой единицы и последующее связывание груза и поддона в единое целое. Пакетирование обеспечивает:
♦ сохранность продукта на пути движения к потребителю;
♦ возможность достижения высоких показателей эффективности при выполнении погрузочно – разгрузочных и транспортно – складских работ за счет их комплексной механизации и автоматизации;
♦ максимальное использование грузоподъемности и вместимости подвижного состава на всех видах транспорта;
♦ возможность перегрузки без переформирования;
♦ безопасность выполнения погрузочно – разгрузочных и транспортно – складских работ.
На практике применяют различные методы пакетирования грузовых единиц, такие как обандероливание стальными или полиэтиленовыми лентами, веревками, резиновыми сцепками, клейкой лентой и др.
35 /Современные складские технологии работы с материальными и информационными потоками
Информационный поток - это совокупность циркулирующих в логистической системе, между логистической системой и внешней средой сообщений, необходимых для управления, анализа и контроля логистических операций. Информационный поток может существовать в виде бумажных и электронных документов (носителей).
Главным условием процесса управления материальными потоками является обработка информации, циркулирующей в логистических системах. Между информационным и материальным потоком отсутствует изоморфность (т. е. однозначное соответствие, синхронность во времени возникновения). Как правило, информационный поток либо опережает материальный, либо отстает от него. В частности, само зарождение материального потока обычно является следствием информационных потоков в ходе, например, переговоров по сделкам купли-продажи товаров, составления контрактов и т. д. Типичным является наличие нескольких информационных потоков, сопровождающих материальный поток.
Также информационный поток может двигаться в противоположную сторону относительно материального. Информационный поток, двигающийся навстречу материальному, может быть не только предваряющим, но и отстающим. Например, поток информации, образованный документами о результатах приемки или отказе в приемке груза, различными претензиями, гарантийными документами и др
Информационные потоки могут опережать, отставать или быть синхронными с соответствующими материальными потоками. Каждый из этих типов информационных потоков может двигаться в том же направлении, что и соответствующий материальный поток, быть встречным ему или же двигаться в не совпадающем с ним направлении.
Каждый тип информационного потока характеризуется своим F сочетанием этих двух качеств. Соответственно можно назвать следующие разновидности информационных потоков:
· опережающие с совпадающим направлением;
· опережающие встречные;
· опережающие, различающиеся по направлению;
· синхронные с совпадающим направлением;
· синхронные встречные;
· синхронные, различающиеся по направлению;
· отстающие с совпадающим направлением;
· отстающие встречные;
· отстающие, различающиеся по направлению.
Путь, по которому движется информационный поток, в общем случае, может не совпадать с маршрутом движения материального потока. Информационный поток характеризуется следующими показателями:
· источник возникновения;
· направление движения потока;
· скорость передачи и приема;
· интенсивность потока и др.
Движущийся информационный поток во встречном направлении содержит, как правило, сведения о заказе. Опережающий информационный поток в прямом направлении - это предварительные сообщения о предстоящем прибытии груза. Одновременно с материальным потоком идет информация в прямом направлении о количественных и качественных параметрах материального потока. Вслед за материальным потоком во встречном направлении может проходить информация о результатах приемки груза по количеству, разнообразные претензии, подтверждения.
36/Сущность и задачи информационной логистики. Достижение целей логистики требует постоянного наблюдения и воздействия на логистические процессы посредством управления. Управление в этом случае направлено на координацию деятельности всех под разделений, занятых работой по производству и реализации продукции. Инструментом подобного объединения служит информационное обеспечение. Потоки информации являются теми связующими «нитями», которые соединяют все элементы логистической системы. Информация возникает при выполнении различных логистических операций и сопровождает материальный поток на всех этапах его продвижения. Информация используется при выработке и принятии управленческих решений в логистической системе. Информационная логистика организует поток данных, сопровождающих материальный поток и является тем существенным для предприятия звеном, которое связывает снабжение, производство и сбыт.
Задачей информационной логистики является обеспечение высокой степени наполнения информацией системы управления, а. также предоставление каждому уровню иерархии управления логистической системы необходимой ему информации должного качества и в необходимые сроки.
Задачи информационной логистики:
1. Организация и структуризация потоков данных сопровождающих материальный поток
2. Доставка их в требуемое место в требуемое время и в требуемом объеме
3. Накопление структурированных данных - формирование информационного поля для проведения полномасштабного анализа
4. Обеспечение проведения анализа и принятия решений (расчеты, визуализация анализа и результатов, экспертные рекомендации)
5. Доведение решений до исполнителей и контроль исполнения.
Основные функции информационного процесса в логистике: Информационная логистика организует информационные потоки и реализует информационные процессы, протекающие в логистической системе. Информационный поток это информация, находящаяся в упорядоченном движении по заданным направлениям с фиксированными начальными, промежуточными и конечными точками.Информационный процесс — это процесс, в котором информация рассматривается в качестве основного объекта с определен ной последовательностью изменений. При этом имеет место сбор, анализ, преобразование, хранение, поиск и распространение ин формации. В ходе информационного процесса, протекающего в логистической системе, реализуются следующие функции:
• сбор информации в местах ее возникновения;
• анализ информации и ее преобразование;
• накопление информации и ее хранение;
• транспортировка информации;
• фильтрация потока информации, т.е. отбор необходимых для того или иного уровня управления данных и документов
37. Информационые системы в логистике: понятия и виды, принципы построения.
Информационная система - это определенным образом организованная совокупность взаимосвязанных средств вычислительной техники, различных справочников и необходимых средств программирования, обеспечивающая решение тех или иных функциональных задач (в логистике – задач по управлению МП).
Информационные системы в логистике могут создаваться с целью управления материальными потоками на уровне отдельного предприятия, а могут способствовать организации логистических процессов на территории регионов, стран и даже группы стран.
На уровне отдельного предприятия информационные системы, в свою очередь, подразделяют на три группы:
1) плановые;
2) диспозитивные (или диспетчерские);
3) исполнительные (или оперативные).
Логистические информационные системы, входящие в разные группы, отличаются как своими функциональными, так и обеспечивающими подсистемами. Функциональные подсистемы отличаются составом решаемых задач. Обеспечивающие подсистемы могут отличаться всеми своими элементами, т.е. техническим, информационным и математическим обеспечением. Плановые информационные системы. Эти системы создаются на административном уровне управления и служат для принятия долгосрочных решений стратегического характера. Среди решаемых задач могут быть следующие:
1) создание и оптимизация звеньев логистической цепи;
2) управление условно-постоянными, т. е. малоизменяющимися, данными;
3) планирование производства;
4) общее управление запасами;
5) управление резервами и другие задачи.
Диспозитивные информационные системы. Эти системы создаются на уровне управления складом или цехом и служат для обеспечения отлаженной работы логистических систем. Здесь могут решаться следующие задачи:
1) детальное управление запасами (местами складирования);
2) распоряжение внутрискладским (или внутризаводским) транспортом;
3) отбор грузов по заказам и их комплектование, учет отправляемых грузов и другие задачи.
Исполнительные информационные системы создаются на уровне административного или оперативного управления. Обработка информации в этих системах производится в темпе, определяемом скоростью ее поступления в ЭВМ. Это так называемый режим работы в реальном масштабе времени, который позволяет получать необходимую информацию о движении грузов в текущий момент времени и своевременно выдавать соответствующие административные и управляющие воздействия на объект управления. Этими системами могут решаться разнообразные задачи, связанные с контролем материальных потоков, оперативным управлением обслуживания производства, управлением перемещениями и т. п.
Принципы построения
В соответствии с принципами системного подхода любая система сначала должна исследоваться во взаимоотношении с внешней средой, а уже затем внутри своей структуры. Этот принцип — последовательного продвижения по этапам издания системы — должен соблюдаться и при проектировании логистических информационных систем.
С позиций системного подхода в процессах логистики выделяют три уровня.
Первый уровень — рабочее место, на котором осуществляется логистическая операция с материальным потоком, т. е. передвигается, разгружается, упаковывается грузовая единица, деталь или любой другой элемент материального потока. Второй уровень — участок, цех, склад, где происходят процессы транспортировки грузов, размещаются рабочие места. Третий уровень — система транспортирования и перемещения в целом, охватывающая цепь событий, за начало которой можно принять момент отгрузки сырья поставщиком. Оканчивается эта цепь при поступлении готовых изделий в конечное потребление.
В плановых информационных системах решаются задачи, связывающие логистическую систему с совокупным материальным потоком. При этом осуществляется сквозное планирование в цепи “сбыт—производство—снабжение”, что позволяет создать эффективную систему организации производства, построенную на требованиях рынка, с выдачей необходимых требований в систему материально-технического обеспечения предприятия. Этим плановые системы как бы “ввязывают” логистическую систему во внешнюю среду, в совокупный материальный поток.
Диспозитивные и исполнительные системы детализируют намеченные планы и обеспечивают их выполнение на отдельных производственных участках, в складах, а также на конкретных рабочих местах.
В соответствии с концепцией логистики информационные системы, относящиеся к различным группам, интегрируются в единую информационную систему. Различают вертикальную и горизонтальную интеграцию.
Вертикальной интеграцией считается связь между плановой, диспозитивной и исполнительной системами, осуществляемая посредством вертикальных информационных потоков. Горизонтальной интеграцией считается связь между отдельными комплексами задач в диспозитивных и исполнительных системах посредством горизонтальных информационных потоков.
В целом преимущества интегрированных информационных систем заключаются в следующем:
1. возрастает скорость обмена информацией;
2. уменьшается количество ошибок в учете;
3. уменьшается объем непроизводительной, “бумажной” работы;
4. совмещаются ранее разрозненные информационные блоки.
При построении логистических информационных систем на базе ЭВМ необходимо соблюдать определенные принципы.
1. Принцип использования аппаратных и программных модулей.
Под аппаратным модулем понимается унифицированный функциональный узел радиоэлектронной аппаратуры, выполненный в виде самостоятельного изделия. Модулем программного обеспечения можно считать унифицированный, в определенной степени самостоятельный, программный элемент, выполняющий определенную функцию в общем программном обеспечении. Соблюдение принципа использования программных и аппаратных модулей поз-
волит:
обеспечить совместимость вычислительной техники и программного обеспечения на разных уровнях управления;
повысить эффективность функционирования логистических информационных систем;
снизить их стоимость;
ускорить их построение.
2. Принцип возможности поэтапного создания системы. Логистические информационные системы, построенные на базе ЭВМ, как и другие автоматизированные системы управления, являются постоянно развиваемыми системами. Это означает, что при их проектировании необходимо предусмотреть возможность постоянного увеличения числа объектов автоматизации, расширения состава реализуемых информационной системой функций и количества решаемых задач. При этом следует иметь в виду, что определение этапов создания системы, т. е. выбор первоочередных задач, оказывает большое влияние на последующее развитие логистической информационной системы и на эффективность ее функционирования.
3. Принцип четкого установления мест стыка. “В местах стыка материальный и информационный поток переходит через границы правомочия и ответственности отдельных подразделений предприятия или через границы самостоятельных организаций. Обеспечение плавного преодоления мест стыка является одной из важных задач логистики”.
4. Принцип гибкости системы с точки зрения специфических требований конкретного применения.
5. Принцип приемлемости системы для пользователя диалога “человек — машина”.
38/Логистическая служба в орг. структуре предприятия, основные функции.
Наличие службы логистики особенно актуально для сетевых структур. Однако в России такие структуры широкого развития пока не получили. Поэтому сегодня можно говорить о выделение функции логистики в отдельном торговом предприятии.
Логист на предприятии торговли – это в первую очередь системщик. Основная цель его деятельности – гармонизация товародвижения как посредством всестороннего ввязывания предприятия во внешнюю среду, так и за счет адекватной организации торгово – технологических процессов внутри предприятия.
В оперативном плане логистика на предприятии торговли призвана разгрузить работников коммерческих служб, освободить их от ряда административных функций, а также от обязанностей управления транспортно – складскими процессами. Специалисты по логистике, как правило, способны на высоком уровне выполнять необходимые для принятия коммерческих решений технологические и технико – экономические расчеты, переводя эти решения из области интуиции в область точного расчета.
На предприятиях торговли на логистику возлагают непосредственную ответственность за размещение заказов и резервные запасы.
В области закупок целью логистики является:
♦ укрепление закупочной позиции предприятия;
♦ снижение затрат за счет улучшения условий закупки и сокращения транспортно – заготовительных расходов.
В области продаж логистика отвечает за товарный запас в торговых отделах и должна добиваться:
♦ усиления конкурентоспособности и повышения оборота за счет улучшенной презентации товаров (широкий ассортимент, своевременное восполнение и др.);
♦ уменьшения затрат за счет сокращения складских площадей и товарного запаса на складах.
Развитая логистика может выходить за пределы материальных потоков и в рамках реинжиниринга бизнес – процессов решать вопросы системной организации потоковых процессов всей бизнес – деятельности торгового предприятия.
39/ Логистическая служба в орг. структуре предприятия, основные функции. Логистический подход к функциональному планированию на предприятии предполагает выделение специальной логистической службы, начиная от формирования договорных отношений с поставщиком и кончая доставкой покупателю готовой продукции. Последнее способствует принятию системных решений, например решению задачи MOB: «Makeorbuy" - сделать или купить. В узком смысле - это принятие решения, касающегося самостоятельного выпуска необходимых предприятию комплектующих. В широком — принятие решения относительно использования собственного транспорта или транспорта общего пользования, собственных или общих складов.
Логистической службой решаются такие частные задачи, как контроль за состоянием запасов, управление техническим обслуживанием основных фондов. Последняя система, называемая PRM (PhyzicalResourceManagement), включает сбор и обработку информации, выдачу рекомендаций относительно профилактики и ремонтных работ, контроль за наличием и использованием вспомогательных материалов и запасных частей.
На современном уровне логистический подход привел к созданию системы LRP- (logisticrequirementplanning) - системы планирования и контроля входного, внутреннего и выходного материального потока на уровне предприятия, объединения. Система обеспечивает интегральный подход к:
- управлению запасами в каналах сферы производства и обращения;
- прогнозирование потребности в транспортере;
- определение величины спроса в продукции предприятия;
- составление оптимальных логистических цепей.
40. Логистическая стратегия: понятия, ключевые вопросы. Все долгосрочные решения, связанные с логистикой, определяют логистическую стратегию. Логистическая стратегия организации состоит из всех стратегических решений, приемов, планов и культуры, связанных с управлением цепью поставок и позволяет реализовать уже сформированную стратегию предприятия в целом. Существуют ситуации, когда уровень развития логистики на конкретном предприятии оказывает значительное влияние на формирование общей стратегии предприятия.
Все решения в зависимости от степени их значимости для организации делятся на три типа:
1. Стратегические решения – наиболее важные, задающие общее направление деятельности организации, оказывают долгосрочное влияние, требуют больших ресурсов и считаются наиболее рискованными;
2. Тактические решения связаны с реализацией стратегии в среднесрочном плане, прорабатываются на более детальном уровне, требуют меньших ресурсов и сопряжены с определенным риском;
3. Операционные решения наиболее проработаны и касаются видов деятельности на ближайшее время; для их выполнения требуются достаточно ограниченные ресурсы, а риск небольшой
Типы стратегических решений: Миссия – заявление, в котором указываются общие цели организации в целом. Корпоративная стратегия показывает как корпорация, осуществляющая диверсифицированную деятельность, планирует реализовать свою миссию. Бизнес-стратегия свидетельствует, как каждый вид бизнеса в рамках диверсифицированной деятельности будет вносить свой вклад в корпоративную стратегию. Функциональные стратегии описывают стратегическую направленность каждой функции (в частности, логистической), реализуемой в организации. Таким образом, стратегии более высокого уровня задают цели и общую направленность организации, а функциональные стратегии показывают, как их можно реализовать.
К основным направлениям логистических стратегий относятся следующие:
· минимизация логистических издержек;
· повышение уровня обслуживания потребителей;
· основное внимание – временным параметрам: минимизация времени поставок товаров или доставка точно ко времени, указанному заказчиком;
· основное внимание – предоставлению услуг очень высокого качества;
· гибкость предлагаемой продукции предполагает предоставление специализированных услуг или услуг, с учетом требований конкретных заказчиков;
· гибкость объема предлагаемой продукции предполагает особое внимание уделять оперативному реагированию на изменяющийся спрос;
· технология – стремление к разработке и использованию самых современных технологий в области коммуникаций, отслеживания грузов, сортировки упаковок, идентификации продуктов, учета динамики запасов и др.;
· место расположения – стремление оказывать услуги, располагаясь на самых выгодных местах, например, на автобусных остановках в центрах городов.
Типы логистических стратегий: 1тощая; 2динамичная; 3стратегия основанная на стратегических союзах.
«Тощая» стратегия базируется на принципе управления затратами, т. е. производстве тех же или сопоставимых продуктов, что и у конкурентов, но более дешево. Цель «тощей» логистики – выполнять каждую операцию, используя меньше каждого вида ресурсов: людей, пространства, запасов, оборудования, времени и т.д. Для этого «тощая» стратегия старается отыскать способы устранения непроизводительных расходов ресурсов.
Цель динамичной стратегии – обеспечить высокое качество обслуживания потребителей, оперативно реагируя на появление новых или изменение прежних условий. Выделяют два аспекта динамичности:
· скорость реагирования на внешние условия: динамичные организации внимательно и постоянно отслеживают запросы потребителей и оперативно на них реагируют;
· способность корректировать логистические характеристики с учетом запросов отдельных потребителей.
Стратегические союзы -цель стратегии формирования союзов с поставщиками и заказчиками – добиться увеличения эффективности цепи поставок, когда все ее члены работают совместно и сообща получают выгоды от долгосрочной кооперации.
При проектировании логистической стратегии исходной точкой становится всесторонний анализ, необходимо учитывать среду , в которой ведется бизнес, включающую факторы, влияющие на логистику, но которыми логистика управлять не может; особую компетенцию организации, определяемую факторами, которыми организация может управлять и которые она использует, чтобы отличиться от других. Для получения информации о среде ведения бизнеса и об особых компетенциях применяют так называемый логистический аудит. Его цель состоит в сборе значимой информации о существующих приемах, показателях и условиях проведения логистической деятельности. В соответствии с двумя указанными направлениями поиска информации логистический аудит делится на внешний, который занимается средой действия логистики, и внутренний, анализирующий способ выполнения операций внутри организации и выявляющий участки, требующие усовершенствования. Этот подход аналогичен анализу SWOT, в ходе которого изучаются сильные и слабые стороны организации, т.е. ее внутренние операции и особые компетенции; возможности и угрозы, проявляющиеся в среде, в которой ведется бизнес.
Ключевым фактором среды, в которой ведется бизнес, является тип спроса, который обуславливает выбор «тощей» или «динамичной» стратегий. Так, «тощая» стратегия работает лучше всего в условиях, когда спрос стабилен или, по крайней мере, предсказуем. Динамичная стратегия лучше работает в ситуациях широкого ассортимента продукции, когда сложно точно спрогнозировать спрос, когда он резко меняется, когда операции выполняются на заказ, например, массовое выполнение заказов на модную продукцию и т.п.
Еще одним фактором проектирования логистической стратегии является системность подготовки стратегических решений, т. е. не только на уровне высшего руководства, но с привлечением специалистов, которые будут непосредственно заниматься реализацией стратегии. В течение всего процесса разработки стратегии должны рассматриваться практические последствия и практическая возможность реализации любого из принимаемых решений.
Существуют различные рекомендации по шагам разработки логистической стратегии, например:
1) отдавайте приоритет тем областям логистической деятельности, которые обеспечивают долгосрочное улучшение конкурентной позиции предприятия;
2) часто изменяемая стратегия, направленная на использование краткосрочных рыночных возможностей, приносит мимолетные выгоды;
3) будьте осмотрительны, принимая жесткие, негибкие стратегии, которые могут устареть и при этом лишить предприятие возможности маневра;
4) исключайте стратегии, которые могут привести к успеху только при условии реализации наиболее оптимистичных прогнозов. Исходите из того, что конкуренты предпримут ответные меры и могут наступить времена с неблагоприятными рыночными условиями;
5) атакуйте слабые, а не сильные стороны конкурента и др.
Единого, универсального метода разработки логистической стратегии не существует. Логистическая стратегия состоит из ряда целей, процедур, структур, элементов, систем и т. д., которые представляются в виде стратегического логистического плана, содержащего следующие разделы:
1. Общее резюме, в котором демонстрируется суть логистической стратегии и показывается ее связь с другими частями организации.
2. Цель логистики в организации, требуемые показатели деятельности и способы ее измерения.
3. Описание способа, при помощи которого логистика в целом может добиться поставленных целей, изменений, которые для этого будут осуществлены, и того, как будет осуществляться управление ими.
4. Описание того, как отдельные функции логистики (снабжение, транспорт, контроль над запасами, грузопереработка и т. д.) будут вносить свой вклад в выполнение плана, связанные с этим изменения и процесс интегрирования всех операций.
5. Планы, показывающие ресурсы, необходимые для выполнения стратегии.
6. Планы по затратам и выбранные финансовые показатели.
7. Описание того, как стратегия повлияет на бизнес в целом, особенно с точки зрения целевых показателей этого бизнеса, вклада стратегии в получение ценности для потребителей и удовлетворение их запросов.
- Дифференциация объектов управления в логистике: АВС и
XYZ анализ в логистике
Метод ABC-анализа в логистике
Метод АВС заключается в делении запасов сырья и материалов на три категории по степени важности в зависимости от их удельной стоимости.
Суть метода и цель его применения
Всю номенклатуру закупаемых материально-технических ресурсов располагают в порядке убывания общей суммы закупок (как правило, за год). При этом к группе А относят все наименования продукции начиная с первого, общая стоимость закупок по которым составила 75-80% суммарной стоимости годового объема закупок. В группу В включают позиции, общая сумма закупок по которым составляет 10-15% от общей суммы, соответственно в группу С — номенклатурные позиции, закупки по которым составляют 5-10% от общей суммы годовых закупок.
АВС-анализ в системе снабжения можно использовать для определения подходов к планированию потребности в материально-технических ресурсах, выбору поставщиков, управлению запасами. Приведу пример. Первый вопрос, который встает перед холдингами, объединяющими несколько крупных компаний (например, нефтедобывающих), — это централизация и децентрализация функций, в том числе и закупочных. Какая номенклатура должна закупаться на уровне департаментов материально-технического обеспечения корпоративного центра, какая — на уровне региональных центров материально-технического обеспечения, а какая — просто отделами материально-технического обеспечения добывающих обществ. Когда я работала заместителем директора департамента материально-технического обеспечения ОАО «Тюменская нефтяная компания», мы приняли решение, что наиболее дорогостоящая номенклатура (то есть номенклатура группы А) будет закупаться в корпоративном центре, номенклатура группы В — на уровне региональных центров, а группы С — добывающими обществами. Кроме того, такой принцип разделения товаров позволил правильно распределить человеческие ресурсы. Как правило, группа А включает небольшое количество номенклатурных позиций по сравнению с В и С, поэтому численность дорогостоящих специалистов в управляющей компании меньше, чем в регионах.
При выборе решений по организации управления запасами рекомендуется объединять методологию АВС-анализа с методологией XYZ-анализа.
XYZ-анализ предполагает классификацию номенклатуры по среднему статистическому отклонению значения от средней скорости расхода со склада. Так, если потребление по какой-то номенклатуре в течение одного месяца составляет 100 единиц, а в следующем — 10 единиц (то есть является неравномерным), то эта продукция попадет в группу X. Если же, наоборот, по данной номенклатуре потребление из месяца в месяц составляет 100 единиц, то она попадет в группу Z, то есть будет отнесена к номенклатуре с равномерным потреблением. Y — промежуточный вариант.
Принципы проведения классификации номенклатуры для определения порядка управления запасами показаны на рисунке.

![]()
Кому и когда это нужно
АВС-анализ полезно использовать компаниям, работающим с разнородной номенклатурой. Вопрос проведения подобной классификации особенно актуален для промышленных компаний, где системе снабжения приходится иметь дело с огромной номенклатурой: справочники материально-технических ресурсов, например, нефтяных компаний достигают 100 тысяч позиций, металлургических — 200-250 тысяч позиций. Данный метод может также служить основой для классификации номенклатуры с точки зрения определения методов работы с клиентами, способов дистрибьюции, управления запасами в розничных точках и на оптовых складах.
Использование АВС-анализа снижает влияние субъективного фактора, когда необходимо принять решение об организации снабжения по отдельным группам (например, следует ли организовывать тендеры по определенной номенклатуре), что тоже очень важно для руководства, собственников и контролирующих подразделений
Денис Залевский, Генеральный Директор ООО «Сток-Транс-Сервис», Москва:
"В нашей компании метод ABC-анализа применяется для ранжирования клиента по важности. Клиенты категории A и B приносят компании 80% прибыли, соответственно, на их обслуживание тратится максимум усилий: предоставляется персональный менеджер, оказываются дополнительные услуги, проводятся корпоративные праздники с их участием и т. д. Естественно, главный критерий ранжирования — прибыль, которую приносят клиенты, поэтому такой анализ позволяет понять изменения, происходящие в отношениях с клиентом. Например, если раньше клиент относился к категории A, а затем вдруг перешел в категорию B или даже С (то есть объем заказов с его стороны падает), значит, существуют какие-то проблемы, причины которых мы должны выявить. И наоборот, если клиент категории С повышает свой статус, нужно уделить больше внимания развитию отношений с ним. Раньше, когда такой анализ не проводился, мы не могли правильно распределить силы и направить их на наиболее интересных клиентов. Количество заказов росло, увеличивалось количество сотрудников, но с объемом работы они не справлялись. Мы развивались по экстенсивному, а не интенсивному пути. Сейчас наша цель — увеличить количество A-клиентов."
Основные моменты внедрения
Для того чтобы АВС-анализ стал возможен, в компании необходимо наличие единого классификатора материально-технических ресурсов в информационной базе, в кодах которого заложен учет их прихода, расхода и складских запасов. Когда процедура АВС-анализа проводится впервые, встает вопрос, насколько детально должна быть отражена информация по поступлению материально-технических ресурсов (по позициям, подгруппам, группам и т. д.). Наша практика показывает, что, как правило, детализация по позициям является излишней и можно ограничиться уровнем подгрупп.
Процентные границы для определения групп А, В и С также могут несколько варьироваться в зависимости от отрасли. Не следует забывать, что основная цель АВС-анализа — сформировать классы номенклатуры, для которых используются общие методы работы. Например, в металлургии сырье и основные материалы составляют около 80% от общего объема закупок. При этом оставшиеся 20% номенклатуры также достаточно разнородны и требуют разных подходов при организации снабжения. Поэтому в этом случае возможно проведение АВС-анализа для всего массива данных за исключением основного сырья.
Результаты АВС-анализа не должны приниматься автоматически к исполнению. Как правило, особенно на первых этапах требуется дополнительное согласование результатов специалистами, а потом их утверждение.
При принятии управленческих решений важно учитывать, что номенклатура группы С имеет невысокую стоимость, но при этом требует очень больших человеческих и временных затрат. Нередко общая численность персонала отделов закупки, занимающихся номенклатурой группы А, составляет примерно пять человек, а группы С — более 30. Поэтому важно правильно выбрать методы работы с этой номенклатурой, чтобы снизить общие затраты на организацию снабжения предприятия. Анализ затрат системы снабжения российских промышленных предприятий показывает, что если для номенклатуры группы А снабженческая наценка составляет 5-8% от общей стоимости, то для номенклатуры группы С достигает 20%.