| Скачать .docx | Скачать .pdf |
Реферат: Основные задачи складирования Характеристика посредников в каналах распределения
Вопрос № 1: Основные задачи складирования
Складирование — логистическая операция, заключающаяся в содержании запасов участниками логистического канала и обеспечивающая сохранность запасов, их рациональное размещение, учет, постоянное обновление и безопасные методы работы.
Склад — это здания, сооружения и разнообразные устройства, предназначенные для приемки, размещения и хранения, поступивших на них товаров, подготовки их к потреблению и отпуску потребителю. Современный склад – это сложное техническое сооружение, которое состоит из многочисленных взаимосвязанных элементов, имеет определенную структуру и выполняет ряд функций по преобразованию материальных потоков, а также накоплению, переработке и распределению грузов между потребителями. Поэтому склад должен рассматриваться не изолированно, а как интегрированная составная часть логистической цепи. Только такой подход позволит обеспечить выполнение основных функций склада и достижение высокого уровня рентабельности.
Логистика складирования — это комплекс взаимосвязанных операций, реализуемых в процессе преобразования материального потока в складском хозяйстве.
Объектом изучения логистики складирования являются товарно-материальные ценности в процессе их складирования, грузо-переработки и упаковки.
Основные задачи складирования:
1. определение полезной площади склада;
2. определение оптимального количества подъемно-транспортного оборудования;
3. определение оптимальной загрузки подъемно-транспортного оборудования;
4. разработка стратегии и тактики оптимального использования полезной площади склада;
5. оптимизация использования емкости склада;
6. сокращение времени хранения продукции;
7. увеличение коэффициента оборачиваемости склада.
Рассмотрим каждую из основных задач складирования более подробно.
Определение полезной площади склада
Полезная площадь склада - общая площадка, выделенная для хранения грузов, за вычетом площади, занятой строительными конструкциями, служебными помещениями, стационарным оборудованием, дорогами и путями.
Определение размера грузовой (полезной) площади склада может производиться двумя методами: по удельным нагрузкам; с помощью объемных измерителей.
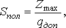
По первому методу размер полезной площади определяется по формуле:
![]()
где S пол – полезная площадь склада, м²;
Z max – максимальный размер запасов, подлежащих хранению, т;
q доп – допустимая нагрузка на 1 м² полезной площади склада, т.
Второй метод более точный. Полезная площадь склада определяется по формуле:
![]()
где S ст – площадь, занимаемая одним стеллажом, м²;
n ст – количество стеллажей для хранения, шт.
Определение оптимального количества подъемно-транспортного оборудования
Подъемно-транспортное оборудование предназначено для механизации работ на складе и в розничной торговле. При его применении повышается производительность и облегчается труд работников, ускоряется выполнение складских операций, увеличивается пропускная способность, сокращаются простои транспортных средств под погрузкой и выгрузкой, улучшается использование складских площадей за счет увеличения высоты укладки товаров, уменьшаются себестоимость работ и издержки, связанные с передвижением товаров, повышается безопасность производимых работ. Оборудование, применяемое на складах и в магазинах, должно строго соответствовать своему назначению, обладать необходимой прочностью, устойчивостью и подвижностью, обеспечивать удобство и безопасность труда, занимать небольшие маневровые площади и обслуживаться малым числом работников, быть однотипным, экономичным и максимально соответствующим по производительности объему работ, подлежащему выполнению.
В логистической системе важно определить необходимое количество подъемно-транспортных машин для обслуживания складского комплекса.
Оптимальное количество подъемно-транспортного оборудования А рассчитываем по формуле:
где Q – количество перерабатываемого груза, т;
К н – коэффициент неравномерности поступления груза;
Р – производительность оборудования, т.
Определение оптимальной загрузки подъемно-транспортного оборудования
Оптимальная загрузка подъемно - транспортного оборудования - это такой уровень загрузки подъемно-транспортного оборудования, при котором весь объем необходимых работ будет выполнен в установленные сроки.
В наиболее общем виде формула для расчета оптимальной загрузки подъемно- транспортного оборудования ( ОЗ ) будет такова:
ОЗ =
,
где ОВР- общее время работ;
ОР - объем работ.
Разработка стратегии и тактики оптимального использования полезной площади склада
Разработка стратегии оптимального использования полезной площади склада очень важна, т.к. правильно разработанная стратегия позволяет оптимизировать работу склада, рационально организовать распределение товара на складе, существенно сократить время на загрузку и отгрузку товара и т.д.
Для того чтобы определить на сколько эффективно используется полезная площадь склада необходимо рассчитать коэффициент полезно используемой площади склада.
Коэффициент полезно используемой площади Кs рассчитывается так:
Кs =
,
где S гр - площадь, занятая под складирование (под технологическое оборудование);
S ос – общая площадь склада;
Оптимизация использования емкости склада
Оптимизация использования емкости так же имеет большое значение. От того на сколько эффективно будет использована емкость склада напрямую зависит эффективность работы склада в целом. Ведь в случае если емкость склада используется не достаточно, организация может понести убыток и напротив – если, допустим, емкость склада рассчитана не верно, и склад перенасыщен это существенно повлияет на работу склада и также отразится на прибыли организации. Для того что бы максимально оптимизировать использование емкости склада необходимо рассчитать емкость склада.
Емкость склада определяется по формуле:
Е= Q*Tхр/t,
Где Е - емкость склада, т.,
Q - годовой грузооборот, т.,
Тхр - срок хранения груза, дней,
t - число поступлений грузов в год.
Сокращение времени хранения продукции
Ускорение грузопотоков склад — покупатель позволит организации получать большую прибыль. Например, за счет доставки товаров от поставщиков непосредственно к покупателям можно сократить время хранения продукции на складе.
Сокращение времени хранения продукции на складе не только позволит сократить расходы организации на складирование, но даже нарастить объемы производства или закупок продукции. Сокращение времени хранения продукции на складе – показатель характеризующий уровень востребованности продукции.
Увеличение коэффициента оборачиваемости склада
Коэффициент оборачиваемости (Коб) оценивает интенсивность прохождения товаров через склад, Это очень важный показатель, от которого будут зависеть расчеты.
Он может рассчитываться двумя способами:
Первый - отношение расхода со склада передней величине наличия товара за период времени. Этот расчет характеризует качество управления товарными запасами и цепочками поставок, аккумулированные в товаре денежные средства, качество производственного планирования и управления в целом;
Второй способ расчета Коб - отношение расхода товара к площади (или объему) склада характеризует степень эффективности использования этой самой площади или объема.
Важны оба способа. В качестве особенностей следует отметить, что с точки зрения качества управления складом показатель Коб, рассчитанный первым способом, имеет дополнительный интерес отслеживать на складах с возможностью быстрого изменения топологии. Практически это склад без стеллажного оборудования.
На складе же со стеллажным оборудованием топологическая схема жестко зафиксирована, работники склада не могут ее оперативно изменить, и в этом случае дополнительно интересен расчет Коб вторым способом для дальнейшей оценки окупаемости инвестиций. В дальнейшем будем рассматривать Коб, рассчитанный первым способом.
Тот или иной коэффициент оборачиваемости - это следствие влияния в первую очередь показателей объема работы склада, таких как товарооборот склада (количество товаров (поддонов, тонн и т. п.), прошедших через склад за период времени), коэффициент неравномерности загрузки склада (отношение товарооборота наиболее напряженного месяца к среднемесячному товарообороту), а также максимальной вместимости .
Фирмы стремятся увеличить оборачиваемость склада, чтобы при меньшей площади складов и меньших затратах на содержание запасов получить наибольший объем продажи и, следовательно, прибыли. Высокая оборачиваемость склада требует более строгого контроля над запасами.
Увеличение оборачиваемости - нелегкая задача для крупных дистрибьюторов, поскольку они вынуждены хранить на складах часть запасов номенклатуры нерегулярного спроса. Если для экономически эффективной торговли необходимо поддерживать высокий уровень оборачиваемости складов, то для обеспечения спроса на любой товар, включенный в торговую номенклатуру, необходимо хранить широкий ассортимент редко продающихся товаров, что тормозит общую оборачиваемость запасов.
Увеличения коэффициента оборачиваемости склада можно за счет большого количества разнообразных действий, например можно установить скидки для крупных покупателей (чем больше покупка – тем больше скидка).Не стоит забывать и о том, что на степень роста коэффициента оборачиваемости склада во многом влияет и эффективность работы самого склада, которая складывается из исследованных нами ранее показателей, таких как оптимизация емкости склада и др.
Вопрос №2: Характеристика посредников в каналах распределения
Канал распределения – это путь, по которому товары движутся от производителей к потребителю. Благодаря ему устраняются длительные разрывы во времени, месте и праве собственности, отделяющие товары и услуги от тех, кто хотел бы ими воспользоваться. Иными словами канал распределения можно определить как совокупность независимых юридических или физических лиц, участвующих в процессе движения товара от производителя к потребителю.
Каналы распределения товаров - альтернативные пути доведения товара от производителя до конечного потребителя. Распределение является одним из элементов процесса маркетинга. Сбытовая политика предприятий, фирм предполагает использование нескольких каналов распределения. Выбор наилучших (оптимальных) каналов распределения для товаров предприятий, фирмы зависит от многих факторов. Согласно концепции маркетинга, факторами, предопределяющими этот выбор, должны быть в первую очередь потребности и удобства конечного потребителя. Признано, что не существует единственного, "наилучшего" канала распределения для всех производителей, выпускающих товары одной группы.
Реализация продукции в большинстве случаев проводится через посредников, каждый из которых формирует соответствующий канал распределения.
В качестве посредников могут выступать снабженческо-сбытовые организации, крупные оптовые базы, биржевые структуры, торговые дома и магазины. Среди основных причин, обуславливающих использование посредников, можно выделить следующие:
- организация процесса товародвижения требует наличия определенных финансовых ресурсов;
- создание оптимальной системы товародвижения предполагает наличие соответствующих знаний и опыта в области конъюнктуры рынка своего товара, методов торговли и распределения.
Посредники благодаря своим контактам, опыту и специализации позволяют обеспечить широкую доступность товара и доведение его до целевых рынков.
На схеме показано, каким образом достигается экономия средств производителей, когда он пользуется услугами посредников.

А – количество контактов без посредников;
Б – количество контактов с посредником .
ПР – производитель;
ПТ – потребитель;
ПС – посредник.
В части А показаны три производителя, которые используют прямые каналы товародвижения к трем потребителям. Такая система предполагает девять различных контактов производителей с потребителями. В части Б показано, как три производителя действуют через одного посредника, который взаимодействует с тремя потребителями. Эта схема предполагает всего шесть контактов. Таким образом, количество взаимосвязей уменьшается на одну треть, что в условиях большого числа связей чрезвычайно важно.
Использование посредников в сфере обращения выгодно прежде все для производителей. В этом случае им приходится иметь дело с ограниченным кругом заинтересованных лиц по реализации продукции. Кроме того, обеспечивается широкая доступность товара при движении его непосредственно до рынка сбыта. С помощью посредников возможно сократить количество прямых контактов производителей с потребителями продукции.
С экономической точки зрения задача торговых посредников трансформировать ассортимент продукции, выпускаемой производителем, в ассортимент товаров необходимых потребителям. Производители в огромных количествах выпускают ограниченный ассортимент продукции, потребителям же необходим широкий ассортимент товаров в небольших количествах. Выполняя функции канала распределения, посредники закупают у многих производителей большое количество товара. Затем они дробят эту совокупность на мелкие части, включающие в себя весь ассортимент продукции, необходимой потребителям. Таким образом, посредники играют важную роль в обеспечении соответствия между спросом и предложением.
Характеристика основных видов посредников.
Рассматривая основные типы посредников, можно дать им следующую характеристику:
1. Агент (маклер, брокер, комиссионер, коммивояжер и так далее) – физическое или юридическое лицо, совершающее операции или выполняющее деловые поручения другого лица за его счет и от его имени, представляющее интересы покупателя или продавца на относительно постоянной основе, не принимающее на себя право собственности на товар. Агент ведет поиск потенциальных покупателей, продавцов, организует между ними переговоры, готовит проекты договоров, помогает в оформлении передачи права собственности на товары, рекламирует товар, заинтересовывает в покупке товара.
2. Брокер (оценщик, комиссионер) – физическое или юридическое лицо, выступающее посредником при заключении оптовых сделок между заинтересованными сторонами. Иногда брокер может принимать на себя право собственности на товар. За посредничество брокер получает вознаграждение в виде определенного процента от суммы сделки или заранее указанную в договоре абсолютную сумму.
3. Дистрибутор – физическое или юридическое лицо – оптовый посредник, обслуживающий разные отрасли промышленности, имеющий склады и транспортные средства и осуществляющий коммерческую деятельность от своего имени и за свой счет.
4. Комиссионер – посредник в сделке, совершающий сделки за определенное вознаграждение (комиссионные), в пользу и за счет заказчика (клиента, но от своего имени.
5. Комитент – лицо, дающее поручение другому лицу (комиссионеру) заключить сделку с товаром от имени комиссионера, но за счет комитента.
6. Коммивояжер – разъездной агент торгового предприятия, фирмы, предлагающий покупателям товары по имеющимся у него образцам, каталогам.
7. Консигнатор – оптовый торговец, получающий от поручителя товары и продающий их со своего склада и от своего имени, за вознаграждение, которое поручитель выплачивает консигнатору по договору.
8. Маклер – посредник при заключении сделок на биржах недвижимости, фондовых и универсальных биржах, совершающий операции за счет клиентов и получающий вознаграждение в виде комиссионных.
Всех посредников можно объединить в две большие группы:
· приобретающие товар в собственность и имеющие право влиять на цены (дистрибутор, дилер);
· действующие от имени и за счет продавца и не имеющие возможности влиять на цены (агент, брокер, маклер, комиссионер и так далее).
Иногда эти группы носят название зависимых и независимых посредников. К первым относятся дистрибуторы, на долю которых сегодня приходится более 80% всех оптовых предприятий.
Дистрибуторы делятся на 2 типа:
1) имеющие или арендующие складские помещения;
2) не имеющие и не арендующие складские помещения.
Дистрибьюторов, не имеющих и не арендующих складские помещения, часто называют торговыми маклерами. Торговые маклеры обычно имеют дело с крупногабаритными грузами, транспортировка и передача которых весьма трудоемки.
Производитель может продавать продукцию дистрибуторам, которые затем самостоятельно сбывают ее потребителям. Выбор такого канала эффективен, если:
1) рынок разбросан, а объем сбыта в каждой географической зоне недостаточен для оправдания расходов по прямому каналу распределения;
2) изделие должно сбываться потребителям многих отраслей промышленности, что требует широкой сети оптовиков;
3) потребители предпочитают закупать изделия мелкими партиями, неудобными для складской и транзитной обработки;
4) разница между себестоимостью продукции и продажной ценой слишком мала для содержания производителем собственной сбытовой сети.
Зависимые посредники не претендуют на право собственности на продаваемые ими товары и работают за комиссионное вознаграждение. Размер вознаграждения зависит от объема и сложности совершаемых ими сделок. На долю брокеров и агентов в развитых странах приходится около 9 процентов оптового товарооборота.
Наиболее распространенной формой зависимых посредников являются торговые агенты , которые разделяются на промышленных и сбытовых. Промышленные агенты , как правило, заменяют службу сбыта предприятия, но получают на заработную плату и комиссионное вознаграждение, которое может колебаться от 3 до 10% от объема сбыта. В большей степени, чем все другие посредники этой группы промышленные агенты зависят от указаний производителя. Промышленные агенты, как правило, работают на одного производителя и пользуются исключительным правом сбыта на окружающей территории, поэтому они могут избегать конфликтов и иметь достаточно полный ассортимент продукции. Крупные предприятия могут иметь агентов для каждой ассортиментной группы. Промышленные агенты очень ограниченно влияют на маркетинговую программу производителя и уровень цен.
Сбытовые агенты имеют дело с небольшими предприятиями и отвечают за маркетинг всей продукции. По существу они становятся маркетинговым подразделением производителя и полномочны вести переговоры по ценам и другим условиям реализации. Конторы сбытовых агентов расположены в непосредственной близости от потребителя.
Брокеры сводят покупателей и продавцов для совершения сделки. Они хорошо информированы о состоянии рынка, условиях продаж, уровне цен, владеют искусством вести переговоры. В отдельных случаях могут обеспечить доставку и хранение продукции. За посредничество между покупателем и продавцом брокер получает комиссионное вознаграждение, как правило, от обеих сторон сделки, чем отличается от других зависимых посредников.
Комиссионеры получают продукцию от изготовителей на принципах консигнации, состоящей в поручении одной стороны (консигната) другой стороне (консигнатору) продать товар со склада от своего имени, но за счет продавца. Комиссионеры располагают конторой, а также складскими помещениями для хранения и продажи изделий. Комиссионеры могут вести переговоры по ценам с потребителями в интервалах, определенных производителем.
Аукционы – один из видов сбытовых предприятий, работающих на рынке антиквариата, предметов роскоши, а так же бывшего в употреблении оборудования. Операционные расходы аукционов в общем объеме оптовых продаж составляют около 3%. Тем не менее аукционная форма торговли в нашей стране имеет благоприятные перспективы, поскольку рынок подержанного оборудования у нас довольно значителен.
Часто предприятиям целесообразно использовать разные каналы товародвижения. Так, при высокой концентрации потребителей однородной продукции в одном регионе рационален прямой канал, при их разбросанности в другом – реализация с использованием посредников.
Нередко наилучшее решение заключается в том, чтобы использовать сразу несколько каналов, это позволяет достигать одновременно различных рыночных целей.
Список использованной литературы
1. Логистика: Учебник/Под ред. Б.А.Аникина: 3-е изд., перераб. и доп. — М.: ИНФРА-М, 2008. — 368 с. — (Высшее образование)
2. Неруш Ю.М. Логистика. Учебник.2-е издание. / М: ЮНИТИ-ДАНА, 2000. - 389 с.
3. Фёдоров Л.С. Общий курс логистики : учебное пособие / М.: КНОРУС, 2010. - 224
4. Лекции
5. http://learnlogistic.ru/
6. http://www.logistics.ru/