| Скачать .docx | Скачать .pdf |
Реферат: Логистические аспекты организации и управления грузоперевозками
Логистические аспекты организации и управления грузоперевозками.
Содержание:
1. Логистическая система – стр.2
2. Транспортная логистика – стр. 3
3. Логистические аспекты функционирования транспорта – стр.5
4. Услуги транспорта – стр.7
5. Транспортное обслуживание и его качество – стр.11
6. Автотранспорт как сфера материального производства – стр.16
7. Основные виды транспортировки – стр.17
8. Проблемы транспортной логистики – стр.21
9. Переспективы транспортной логистики – стр.26
10. Илои
11. Лти
12. Лоили
1. Логистическая система
Логистическая система являет собой очень сложный и четко работающий организм, собранный из отдельных органов (элементов). Бесперебойная работа такой системы в значительной степени определяется выверенной работой каждого ее элемента, залогом которой, в свою очередь, является совершенство применяемых технологий и техники.
Таким образом, встает проблема стандартизации транспортно-складских объектов, которая касалась бы всех элементов объекта, в том числе применяемой технологии, оборудования, мощности, численности персонала, воздействия на окружающую среду и т.п.
Особое внимание здесь следует обратить на организацию зон отстоя транспортных средств в ожидании обслуживания, поскольку именно их отсутствие создает трудности для других участников движения.
С учетом логистики фирмы определяют свою стратегию на рынке, предъявляющем высокие требования к качеству продукции, транспортным и другим услугам. Уровень развития логистики определяет степень конкурентоспособности компаний, что обеспечивает их интерес к этой системе. Принимая решение о работе с терминалом, клиент принимает решение о включении в логистическую систему, представляющую дополнительные преимущества всем ее участникам.
Отсутствие отлаженной системы ТЭО, основанной на принятой в мировой практике терминальной технологии и логистических принципах грузодвижения, затрудняет процесс товарообмена, снижает эффективность использования подвижного состава транспорта, отрицательно сказывается на развитии всего хозяйственного комплекса.
При наличии большого количества складских площадей имеется дефицит высокомеханизированных складов и терминалов с сопутствующим комплексом сервисных услуг, которые удовлетворяли бы зарубежных импортеров и были бы способны работать в режиме таможенных складов и многофункциональных терминальных комплексов.
Исследование сложившейся производственно-технической и организационно-экономической структуры действующей широко разветвленной сети грузовых терминалов и складов с таможенной обработкой грузов свидетельствует о практически полной децентрализации, отсутствии действенного механизма государственного регулирования и управления процессом грузо- и товародвижения. При наличии свободных складских площадей продолжается стремительный неуправляемый рост количества складских и грузоперерабатывающих объектов, причем, как правило, небольших по мощности, плохо оборудованных, размещаемых на небольших территориях, в помещениях, не приспособленных для применения современных технологий складирования и грузопереработки, что не позволяет обеспечивать необходимый уровень сервиса и комплексности предоставляемых клиентуре услуг.
Несмотря на сформировавшийся за последние годы рынок транспортно-экспедиционных услуг, большое количество функционирующих на нем экспедиторских фирм, отсутствует региональная система комплексного транспортно-экспедиционного обслуживания, которая соответствовала бы международным стандартам, что, в значительной степени, сдерживает рост международного товарообмена и отрицательно сказывается на всем хозяйственном комплексе Московского региона и России в целом.
1. Транспортная логистика
Транспортная логистика - новая основополагающая дисциплина в высших и средних транспортных учебных заведениях всех уровней обучения, которая органически дополняет цикл "рыночных" фундаментальных дисциплин: "Маркетинг", "Рынок транспортных услуг и транспортной техники", "Менеджмент" (на транспорте), "Управление персоналом" (на транспорте) и др. Появление "Транспортной логистики" заставило в корне пересмотреть такие традиционные учебные курсы, как прикладная математика, информатика, управление отраслью и предприятием, технология перевозочных процессов, организация коммерческой работы, отраслевая экономика и др. Транспортная логистика ни в коей мере не подменила указанные курсы, она заложила принципиально новый фундамент и интегральную и глобальную парадигмы, на которых должны строиться современное предпринимательство и бизнес, ибо логистика - технология будущего.
Использование достижений логистики на транспорте является залогом повышения эффективности отечественного транспортного комплекса и активизации его интеграции в мировую транспортную систему.
Следует отметить, что в последние годы транспорт, обладая колоссальным стратегическим ресурсом, выполняет базовую функцию в потоковых процессах. К такой концепции пришли "отцы" современной логистики Бауэрсокс и Клосс1 .
Сегодня как никогда актуальны задачи увеличения объемов перевозок, повышения экономической эффективности деятельности многочисленных отечественных грузовых и пассажирских перевозчиков и экспедиторов. И не только на внутренних линиях. Как свидетельствует зарубежный опыт, качественного "скачка" в транспортной сфере можно достигнуть лишь за счет использования новых технологий обеспечения процессов перевозок, отвечающих современным требованиям и высоким международным стандартам, в частности, за счет расширения освоения логистического мышления и принципов логистики. Ведь по своей сути транспортная логистика как новая методология оптимизации и организации рациональных грузопотоков, их обработки в специализированных логистических центрах позволяет обеспечивать повышение эффективности таких потоков, снижение непроизводительных издержек и затрат, а транспортникам - быть современными, максимально соответствовать запросам все более требовательных клиентов и рынка. В этом убеждаешься, когда анализируешь работу ведущих отечественных фирм - "Российский терминал", "Шереметьево - карго" и др.
Какие преимущества получают отечественные транспортные предприятия, использующие логистику в своей практике, по сравнению с теми, кто продолжает идти проторенными дорогами? Они достигают большей стабильности, предсказуемости, конкурентоспособности, технологичности в перевозках, в том числе и в сфере экспорта транспортных услуг. Показателен в этом плане опыт работы известной российской компании "Совтрансавто" и ее многочисленных региональных отделений.
В перспективе именно логистика даст возможность многим отечественным транспортным предприятиям поправить свои финансовые дела на внутреннем и внешнем рынках, повысить рейтинг, объемы перевозок и, наконец, избавиться от унизительной роли субподрядчиков ведущих иностранных фирм там, где их возможности гораздо выше.
Ведь сегодня на родном рынке доля российских перевозчиков в общем объеме перевозок, выполняемых отечественными и иностранными организациями и фирмами, по данным АСМАП, находится на уровне 30-35%, что не соответствует их реальному потенциалу.
В сентябре 2000 г. в рамках Второй Международной евроазиатской конференции принято решение о продлении важнейших линий международных комбинированных перевозок по территории России: от Москвы до Нижнего Новгорода - в полосе второго европейского коридора с выходом на Транссиб и от Москвы до Новороссийска и Астрахани - в полосе девятого европейского транспортного коридора. Ветвь на Астрахань - прообраз будущего транспортного коридора Север - Юг - заслуживает особого внимания, так как она позволит транспортным потокам кратчайшим путем выходить из России с использованием ее железнодорожных и водных путей через Иран на страны Персидского залива, Индию, Пакистан и другие страны.
Внедриться и освоить новые коридоры - один из путей увеличения доли перевозок отечественных перевозчиков на транспортном рынке.
Спрос на экспорт транспортных услуг в мире к 2010 г. может достичь показателя в 8-9 млрд долл. в год. Быть готовым предложить конкурентные, более выгодные условия потенциальным клиентам на столь перспективном рынке - важная и решаемая задача.
Иностранные перевозчики при использовании ими соответствующих российских коридоров по сравнению с традиционными окружными маршрутами могут получать экономию до 600 долл. за контейнер и до 50 тыс. долл. за авиарейс - это весьма важный аргумент в пользу транзитов через Россию.
Что следует сделать для более эффективного использования логистики?
Необходимо совершенствовать законодательную и нормативно-правовую базу, чтобы обеспечить "зеленую улицу" логистике на отечественном рынке, уточнить и скорректировать транспортно-таможенные механизмы и процедуры оформления грузов при пересечении границ, а также механизмы обеспечения оптимальных сквозных тарифных ставок перевозок.
Кардинальных изменений требуют терминальные технологии и техническая база, используемые при обслуживании современных международных транспортных потоков. Речь идет об идентификации функций главного звена "коридорной" системы грузопотоков в современной логической концепции - логистических центров всех уровней и грузовых терминалов.
К сожалению, задачами вновь создаваемых "коридорных" центров по-прежнему является сбор, обработка, выдача информации о грузопотоках, информационная поддержка управленческих решений по оптимизации грузопотоков, а такие важные проблемы, как формирование транспортных потоков и управление ими, включающие вопросы грузоведения, выбора транспорта, складской переработки, стивидорских и других операций, маркетинга, не решаются в полной мере.
Необходим комплексный контроль над перевозками, основанный на широком использовании современных электронных, коммуникационных, информационных технологий. Для создания безопасных и надежных транспортных потоков важно обеспечить наличие у контролирующих служб полной и достоверной информации о движении в режиме on line и опережающей информации о возможных изменениях, событиях на трассе, способных оказать влияние на движение на запланированных маршрутах или привести к срыву жестких и напряженных маршрутных графиков.
А что нового в части использования логистики на транспорте происходит за рубежом?
На Западе логистика уже не одно десятилетие успешно работает на транспортную отрасль. И все это время ведется поиск всевозможных путей снижения и оптимизации общих затрат на осуществление перевозок, повышения экономической эффективности логистической деятельности, улучшения ее информационного и технического обеспечения.
Причем повышенный спрос на зарубежных рынках имеют, как правило, фирмы, которые предлагают новые, более полные комплексы логистических и других видов услуг. К их числу следует отнести, к примеру, аутсорсинг - максимальное освобождение предприятий-производителей от несвойственных для них трудоемких и малоэффективных функций по снабжению продукцией и ее сбыту.
2. Логистические аспекты функционирования транспорта
Транспортная логистика - новая основополагающая дисциплина в высших и средних транспортных учебных заведениях всех уровней обучения, которая органически дополняет цикл "рыночных" фундаментальных дисциплин: "Маркетинг", "Рынок транспортных услуг и транспортной техники", "Менеджмент" (на транспорте), "Управление персоналом" (на транспорте) и др. Появление "Транспортной логистики" заставило в корне пересмотреть такие традиционные учебные курсы, как прикладная математика, информатика, управление отраслью и предприятием, технология перевозочных процессов, организация коммерческой работы, отраслевая экономика и др. Транспортная логистика ни в коей мере не подменила указанные курсы, она заложила принципиально новый фундамент и интегральную и глобальную парадигмы, на которых должны строиться современное предпринимательство и бизнес, ибо логистика - технология будущего.
Использование достижений логистики на транспорте является залогом повышения эффективности отечественного транспортного комплекса и активизации его интеграции в мировую транспортную систему.
Следует отметить, что в последние годы транспорт, обладая колоссальным стратегическим ресурсом, выполняет базовую функцию в потоковых процессах. К такой концепции пришли "отцы" современной логистики Бауэрсокс и Клосс1.
Сегодня как никогда актуальны задачи увеличения объемов перевозок, повышения экономической эффективности деятельности многочисленных отечественных грузовых и пассажирских перевозчиков и экспедиторов. И не только на внутренних линиях. Как свидетельствует зарубежный опыт, качественного "скачка" в транспортной сфере можно достигнуть лишь за счет использования новых технологий обеспечения процессов перевозок, отвечающих современным требованиям и высоким международным стандартам, в частности, за счет расширения освоения логистического мышления и принципов логистики. Ведь по своей сути транспортная логистика как новая методология оптимизации и организации рациональных грузопотоков, их обработки в специализированных логистических центрах позволяет обеспечивать повышение эффективности таких потоков, снижение непроизводительных издержек и затрат, а транспортникам - быть современными, максимально соответствовать запросам все более требовательных клиентов и рынка. В этом убеждаешься, когда анализируешь работу ведущих отечественных фирм - "Российский терминал", "Шереметьево - карго" и др.
Какие преимущества получают отечественные транспортные предприятия, использующие логистику в своей практике, по сравнению с теми, кто продолжает идти проторенными дорогами? Они достигают большей стабильности, предсказуемости, конкурентоспособности, технологичности в перевозках, в том числе и в сфере экспорта транспортных услуг. Показателен в этом плане опыт работы известной российской компании "Совтрансавто" и ее многочисленных региональных отделений.
В перспективе именно логистика даст возможность многим отечественным транспортным предприятиям поправить свои финансовые дела на внутреннем и внешнем рынках, повысить рейтинг, объемы перевозок и, наконец, избавиться от унизительной роли субподрядчиков ведущих иностранных фирм там, где их возможности гораздо выше.
Ведь сегодня на родном рынке доля российских перевозчиков в общем объеме перевозок, выполняемых отечественными и иностранными организациями и фирмами, по данным АСМАП, находится на уровне 30-35%, что не соответствует их реальному потенциалу.
В сентябре 2000 г. в рамках Второй Международной евроазиатской конференции принято решение о продлении важнейших линий международных комбинированных перевозок по территории России: от Москвы до Нижнего Новгорода - в полосе второго европейского коридора с выходом на Транссиб и от Москвы до Новороссийска и Астрахани - в полосе девятого европейского транспортного коридора. Ветвь на Астрахань - прообраз будущего транспортного коридора Север - Юг - заслуживает особого внимания, так как она позволит транспортным потокам кратчайшим путем выходить из России с использованием ее железнодорожных и водных путей через Иран на страны Персидского залива, Индию, Пакистан и другие страны.
Внедриться и освоить новые коридоры - один из путей увеличения доли перевозок отечественных перевозчиков на транспортном рынке.
Спрос на экспорт транспортных услуг в мире к 2010 г. может достичь показателя в 8-9 млрд долл. в год. Быть готовым предложить конкурентные, более выгодные условия потенциальным клиентам на столь перспективном рынке - важная и решаемая задача.
Что следует сделать для более эффективного использования логистики?
Необходимо совершенствовать законодательную и нормативно-правовую базу, чтобы обеспечить "зеленую улицу" логистике на отечественном рынке, уточнить и скорректировать транспортно-таможенные механизмы и процедуры оформления грузов при пересечении границ, а также механизмы обеспечения оптимальных сквозных тарифных ставок перевозок.
Кардинальных изменений требуют терминальные технологии и техническая база, используемые при обслуживании современных международных транспортных потоков. Речь идет об идентификации функций главного звена "коридорной" системы грузопотоков в современной логической концепции - логистических центров всех уровней и грузовых терминалов.
К сожалению, задачами вновь создаваемых "коридорных" центров по-прежнему является сбор, обработка, выдача информации о грузопотоках, информационная поддержка управленческих решений по оптимизации грузопотоков, а такие важные проблемы, как формирование транспортных потоков и управление ими, включающие вопросы грузоведения, выбора транспорта, складской переработки, стивидорских и других операций, маркетинга, не решаются в полной мере.
Необходим комплексный контроль над перевозками, основанный на широком использовании современных электронных, коммуникационных, информационных технологий. Для создания безопасных и надежных транспортных потоков важно обеспечить наличие у контролирующих служб полной и достоверной информации о движении в режиме on line и опережающей информации о возможных изменениях, событиях на трассе, способных оказать влияние на движение на запланированных маршрутах или привести к срыву жестких и напряженных маршрутных графиков.
А что нового в части использования логистики на транспорте происходит за рубежом?
На Западе логистика уже не одно десятилетие успешно работает на транспортную отрасль. И все это время ведется поиск всевозможных путей снижения и оптимизации общих затрат на осуществление перевозок, повышения экономической эффективности логистической деятельности, улучшения ее информационного и технического обеспечения.
Причем повышенный спрос на зарубежных рынках имеют, как правило, фирмы, которые предлагают новые, более полные комплексы логистических и других видов услуг. К их числу следует отнести, к примеру, аутсорсинг - максимальное освобождение предприятий-производителей от несвойственных для них трудоемких и малоэффективных функций по снабжению продукцией и ее сбыту.
Данный учебник является третьим изданием. Он полностью переработан, принципиально отличается от предыдущих двух не только по архитектонике, но и включением ряда ключевых проблем транспортной логистики, решение которых показало высокую эффективность методик, алгоритмов и программного обеспечения, основанных на использовании современных экономико-математи-ческих методов и новых языков программирования.
Большинство разработок было выполнено на кафедре "Менеджмента и логистики" Московского автомобильно-дорожного института (государственного технического университета) (МАДИ (ГТУ)), на базе которой в середине 1990-х годов был создан Координационный совет по логистике - признанный лидер отечественной логистической науки, логистического консалтинга и многофазных обучающих систем подготовки кадров в области логистики.
3. Услуги транспорта
В последние 15-20 лет в экономике развитых стран произошли существенные изменения. Эти изменения затрагивают и Россию. Дело в том, что в хозяйственную практику предприятий и фирм стали внедряться новые методы и технологии доставки товаров, базирующиеся на концепции интеграции транспорта и материально-технического обеспечения, на развитии новейшей техники в области информатики и коммуникаций. Можно утверждать, что с рубежа 70-80-х годов началось органическое срастание транспорта с обслуживаемым производством, превращение его в звено единой системы "производство - транспорт - распределение". Новый подход к транспорту как ключевой части логистической цепи приводит к необходимости рассмотрения его в разных аспектах. Прежде всего транспортные предприятия и организации должны направить свою коммерческую и производственную деятельность на изучение, анализ и удовлетворение потребностей общества во всех видах транспортных услуг.
До недавнего времени большинство транспортных предприятий выполняли только перевозочные операции, не заботясь о предоставлении спектра других услуг. Это было вызвано административно-контрольной системой управления в стране, отсутствием конкуренции и рыночных отношений. Новые экономические условия, формирование рынка транспортных услуг, появление и усиление конкуренции между предприятиями транспорта предполагают активное изучение опыта функционирования транспорта стран с рыночной экономикой. Понятие "услуга транспорта" начинает широко использоваться в практике организации и планирования работы транспорта.
Согласно существующим понятиям к услугам относят все виды труда, непосредственно не связанные с изменением и преобразованием форм материи и явлений природы и производящие особую потребительную стоимость, которая выражается в общественно полезной деятельности самого труда в различных отраслях общественного хозяйства. К услугам относят и те виды труда, которые не овеществляются в предметно осязаемом, обособленном продукте труда (например, транспорт, связь).
Особенности деятельности по предоставлению услуг сводятся к следующим положениям:
- услуги не могут существовать вне процесса их предоставления (т.е. они не могут накапливаться);
- продажа услуг - это фактически продажа самого процесса труда, поэтому качество услуг определяется качеством самого процесса труда;
- услуги представляют собой конкретную потребительную стоимость только в определенное время и в конкретном месте или направлении, что существенно ограничивает возможность их замен на рынке услуг;
- услуги транспорта относятся к услугам, завершающим и/или предваряющим процесс материального производства.
Услуги транспорта определяются как подвид деятельности транспорта, направленный на удовлетворение потребностей людей и характеризующийся наличием необходимого технологического, экономического, информационного, правового и ресурсного обеспечения. Под транспортной услугой, следовательно, подразумевается не только собственно перевозка грузов или пассажиров, а любая операция, не входящая в состав перевозочного процесса, но связанная с его подготовкой и осуществлением.
К услугам транспорта можно отнести:
- перевозку грузов и пассажиров;
- погрузочно-разгрузочные работы (погрузка, выгрузка, перегрузка, пересадка пассажиров, внутрискладские операции);
- хранение грузов;
- подготовку перевозочных средств;
- предоставление перевозочных средств на условиях аренды или проката;
- перегон (доставку) новых и отремонтированных транспортных средств;
- прочие услуги.
Анализ отечественного и зарубежного опыта позволяет предложить следующую классификацию услуг транспорта:
- по признаку взаимосвязи с основной деятельностью предприятий транспорта услуги подразделяются на перевозочные (т.е. включающие в том или ином виде элемент перевозки) и не перевозочные;
- по виду потребителя, которому предоставляется услуга, - на внешние (предоставление нетранспортным предприятиям и организациям) и внутренние, (предоставление другим предприятиям и организациям транспорта). Например, внутренними являются услуги по предоставлению подвижного состава автотранспортным предприятием экспедиторскому для выполнения перевозок;
- по характеру деятельности, связанной с предоставлением определенной услуги, - на технологические, коммерческие, информационные и т.д.
Логистические (в том числе и транспортные) услуги основываются на следующих положениях и правилах:
- каждая оказываемая услуга уникальна для получателя;
- в конечном итоге от оказанной услуги не остается ничего, кроме восприятия к информации;
- услуга (или часть ее) не может быть рециклирована;
- услуги нельзя нарабатывать про запас;
- оказанную услугу нельзя отремонтировать;
- оказанная услуга не может быть выполнена вновь;
- память о хорошей услуге мимолетна, плохая же услуга помнится долго.
В последнее время важность и значимость логистических услуг постоянно возрастает, расширяется - индустрия услуг и все большее число компаний и работников включаются в нее. Целый ряд логистических посредников становятся предприятиями сервиса, в которых услуги неразрывно связаны с продвижением и реализацией товаров, причем стоимость услуг может превосходить прямые затраты на производство.
Сфера услуг должна функционировать таким образом, чтобы полностью удовлетворять требования клиентов с возможно малыми затратами. Однако на сегодняшний момент нет широко используемых эффективных количественных методов оценки качества услуг в связи с их особенностями, которые сводятся к следующему:
- неосязаемость услуг (их нельзя пощупать);
- потребитель услуг зачастую сам участвует в процессе оказания услуг;
- потребитель услуг не становится собственником их;
- оказание услуг - это процесс, и он не может быть протестирован перед оплатой;
- процесс оказания услуг может состоять из системы более мелких действий, тогда как качество зависит от итоговой оценки.
Наиболее значимыми компонентами при оценке качества предоставляемых услуг могут выступать следующие:
среда (интерьер, оборудование, внешний вид персонала и т.д.);
надежность (исполнение точно в срок);
ответственность (гарантии исполнения услуг, желание персонала помочь потребителю услуг);
законченность (наличие определенных навыков, необходимых знаний и компетентность персонала);
доступность (легкость установления контактов);
безопасность (отсутствие риска и недоверия со стороны потребителя услуг);
вежливость (любезность, корректность персонала);
коммуникабельность (способность персонала общаться с потребителем услуг на доступном и понятном ему языке);
взаимопонимание (искренний интерес к потребителю услуг, способность встать на его место).
Когда потребитель оценивает качество услуг, он сравнивает фактические величины параметров качества с ожидаемыми, и если они совпадают или оказываются близкими, то качество считается им удовлетворительным или приемлемым. Потребительские ожидания клиента основываются на следующих параметрах:
- речевых коммуникациях (слухах), т.е. на информации об услугах, которую потребители услуг передают друг другу;
- личных потребностях (личностных представлениях клиента о качестве, его запросах);
- прошлом опыте, т.е. на подобных услугах, оказываемых ему в прошлом;
- внешних коммуникациях (сообщениях), поступающих через средства массовой информации: радио, телевидение, прессу.
В последние годы логистика все в большей степени занимается управлением сервисных потоков, так как многие фирмы не только производят готовую продукцию, но и оказывают сопутствующие услуги. Логистический подход целесообразен и эффективен для предприятий, оказывающих только услуги, в том числе и транспортные. Спрос на услуги транспорта во многом зависит от развития имеющихся в регионе видов транспорта, степени их интеграции в единую систему, уровня тарифов по видам транспорта, ассортимента и качества услуг, предоставляемых возможным клиентам. Удельный вес транспортных услуг с развитием рыночной экономики и ее инфраструктуры, как правило, возрастает, и это характерно практически для всех стран.
В связи с внедрением логистики в странах с рыночной экономикой пересматривается политика в области транспорта. Транспорт начинает играть ключевую роль в системе товародвижения. Предполагается, что в дальнейшем технико-эксплуатационные особенности отдельных видов транспорта обеспечат им надежное положение на рынке транспортных услуг, особенно в условиях повышенного спроса на перевозки грузов мелкими отправками, которые, в свою очередь, ускорят развитие автоматизированной обработки грузов, контейнеризации и пакетизации, а также информатики в области грузовой и перевозочной работы.
Просматриваются два направления в области организации транспортных услуг:
- приспособление ассортимента предлагаемых услуг к специфическим требованиям клиентов;
- активное формирование спроса на услуги транспорта с целью прибыльной реализации уже имеющихся.
Различные группы потребителей должны обслуживаться в соответствии с их конкретными потребностями. Потребители сами выбирают услуги, их количество и характер реализации.
4. Транспортное обслуживание и его качество
Реализация каналов снабжения сырьем, полуфабрикатами и распределения готовой продукции в рамках логистической системы требует решения комплекса транспортных проблем. Предприятию, фирме, концерну при реализации каналов распределения готовой продукции приходится решать вопросы, связанные с доставкой, т.е. выбирать вид транспорта, методы организации перевозок, тип транспортных средств и т.д. - иными словами решать вопросы транспортного обслуживания (см. гл. 5).
Транспортное обслуживание можно определить как деятельность, связанную с процессом перемещения грузов и пассажиров в пространстве и во времени и предоставлением сопутствующих этой деятельности транспортных услуг.
Транспортное обслуживание клиентов на перевозку грузов вклю-чает:
- выбор соответствующей упаковки согласно физическим свойствам товара (груза);
- нанесение на упаковку маркировки, штрих-кодов и спецобозначений;
- использование унифицированной транспортной тары, формирование грузовых единиц, пакетирование и контейнеризация;
- выбор оптимального (рационального, приемлемого) вида перевозки и транспортных средств;
- наиболее полное использование грузоподъемности транспортных средств посредством правильной загрузки;
- соблюдение технологий при ведении погрузочно-разгрузоч-ных работ;
- использование современных технологий и подходов к организации размещения, учета товаров и запасов на складах и терминалах;
- применение современных информационных технологий и компьютерной поддержки.
Специфические задачи стоят и перед системой организации перевозок пассажиров.
По данным зарубежной печати стоимость транспортных расходов в процессе производства и реализации продукции доходит до одной трети цены конечного продукта. Вот почему рационализация, а лучше оптимизация транспортных, погрузочно-разгрузочных, тарно-упаковочных, экспедиционных и складских операций является важным резервом снижения издержек и экономии ресурсов. До недавнего времени повышению эффективности доставки продукции уделялось недостаточное внимание, как и всей сфере обращения.
Изучение спроса на транспортные услуги свидетельствует, что одним из главных требований клиентов к работе транспорта является своевременность отправки и доставки грузов. Связано это со стремлением большинства грузовладельцев к сокращению запасов как в сфере производства, так и в сфере обращения, поскольку их затраты на содержание запасов составляют по ряду отраслей 20% и более от стоимости выпускаемой продукции. Отсутствие гарантии своевременной доставки или отправки требуемого груза, возможность отказа или неоднократного откладывания заявки на перевозку были характерными особенностями сложившейся у нас в стране системы работы транспорта.
В целом доставка продукции распадается на ряд последовательных конкретных отдельных этапов, зачастую не связанных между собой и выполняемых разными подразделениями. Поэтому оптимизация такой пространственно-временной системы представляет собой достаточно сложную задачу.
Транспортное обслуживание и его характер во многом определяет спрос на перевозки. К параметрам, характеризующим спрос, можно отнести: род груза (вид поездки) и объем перевозок; размеры обслуживаемой территории; регулярность грузопотоков (пассажиропотоков); срочность и время доставки; уровень тарифов; необходимость хранения товаров (технологического простоя-пересадки) в цикле доставки; юридическое положение отправителя или получателя(предприятие или частное лицо).
Спрос носит локальный характер и на его количественные и качественные характеристики влияет покупательная способность, существующая в данном конкретном месте, так как в зависимости от нее изменяется спрос. Что касается предложения, то оно практически всегда рассредоточено, а следовательно, в количественном и качественном отношении меняется в зависимости от наличия или отсутствия возможностей для получения прибылей (или удовлетворение потребностей) на местном рынке.
Зарубежный опыт свидетельствует об актуальности повышенного внимания к проблемам транспортного обслуживания. Так, в странах с развитой рыночной экономикой имеют место следующие тенденции развития транспортного обслуживания: увеличение объема перевозок грузов повышенной стоимости с одновременным сокращением малоценных грузов (или неэкстренных перемещений пассажиров); увеличение средних расстояний доставки и рост доли международных перевозок; повышение ответственности за качество и сроки перевозки по всей транспортной цепи; рост объема перевозок между предприятиями при сокращении объемов перевозок в самих предприятиях; уменьшение объемов массовых навалочных грузов и увеличение объемов штучных грузов в контейнерах и на поддонах; повышение коэффициента грузоподъемности (пассажировместимости) подвижного состава; увеличение объема перевозок грузов (пассажиров) в специализированном подвижном составе; преобладание логистических подходов при организации перевозок и управлении транспортным процессом.
В настоящее время все большее значение начинают приобретать вопросы повышения уровня транспортного обслуживания клиентов, которые в рыночных условиях хозяйствования тесно связаны с проблемой сервиса и качества предоставляемых услуг. Под качеством понимают совокупность свойств и характеристик услуги, которые придают ей способность удовлетворять потребности клиентов. Если компания обязуется доставить груз по назначению и в оговоренные контрактом сроки в условиях сохранности, то в будущем клиент ожидает, что перевозчик сократит время простоя, снизит плату за хранение, расширит сеть доставки и т.д., т.е. повысит качество предоставляемых услуг.
Ошибочным является суждение о том, что предоставление качественных услуг весьма дорогое удовольствие. Наоборот, невыполнение условий принятого соглашения влечет за собой дополнительные расходы материальных и трудовых ресурсов, направленных на устранение ошибок. Так, систематические срывы графика перевозок приводят в конечном счете к потере клиентов, репутации и места на рынке транспортных услуг.
Идентификация потребности в транспортном обслуживании базируется на принципе сегментации услуг, т.е. группировки потребителей в соответствии с тем или иным критерием обслуживания. Сам процесс сегментации услуг включает следующие три стадии:
- определение ключевых компонентов обслуживания на основе мнений самих потребителей;
- установление относительной важности этих компонентов для потребителей;
- группировка потребителей по отношению к предпочтениям тех или иных компонентов обслуживания.
Для сбора информации используются принципы социологии (опросы), а для ее обработки и последующей группировки потребителей - соответствующие статистические методы. На рынке движения товаров и их доставки потребителям можно выделить два сегмента обслуживания, т.е. две группы покупателей. Первая сосредоточивает свое внимание на поставке товаров (сроках и интенсивности, полноте заказа); вторая - отдает предпочтение связям с поставщиками, качеству коммуникаций и легкости заказа.
К ключевым параметрам качества транспортного обслуживания потребителей относятся:
- время от получения заказа на перевозку до доставки;
- надежность и возможность доставки по требованию;
- наличие запасов, стабильность снабжения;
- полнота и степень доступности выполнения заказа;
- удобства размещения и подтверждения заказа;
- объективность тарифов и регулярность информации о затратах на обслуживание;
- возможность предоставления кредитов;
- эффективность переработки грузов на складах;
- качество упаковки, а также возможность выполнения пакетных и контейнерных перевозок.
Своя специфика имеется и в отношении качества обслуживания пассажиров.
Массовые опросы клиентуры, согласно данным западных специалистов, дают следующую картину ранжирования показателей качества обслуживания:
100 пунктами оценена надежность поставки;
60 - удобство анализа, стабильность получения информации, высокий уровень выполнения принятых гарантий;
50 - наличие контактов в процессе обслуживания;
10 - возможность предоставления кредита и т.д.
Четкость обслуживания потребителей услуг характеризуется продолжительностью цикла обслуживания, который измеряется временем от получения заказа до его выполнения.
Практика свидетельствует о том, что в 80% случаев проблемы качества транспортного обслуживания связаны с потерей управления компанией. Как же обеспечить качество? Ответом на этот вопрос может быть модель системы качества, включенная в общую систему управления. Стандарт ISO 9000:2000 определяет систему качества как "совокупность организационной структуры, процедур, процессов и ресурсов, необходимых для осуществления административного управления качеством".
Система качества считается хорошо организованной и функционирующей, если:
- система воспринимается и понимается персоналом, правильно применяется, имеет необходимые ресурсы и является эффективной;
- предоставляемые услуги (выпускаемая продукция) действительно удовлетворяют запросы и ожидания клиента;
- учитываются влияние на окружающую среду и потребности общества;
- основное внимание уделяется предотвращению негативных ситуаций, а не их ликвидации после возникновения.
Такая система кроме решения вопросов обеспечения качества обслуживания повышает дисциплину, уменьшает непроизводительный труд, облегчает работу с клиентами. Реализация системы качества должна определяться задачами, продукцией, процессами и индивидуальными особенностями конкретной компании или организации, а также отвечать требованиям постоянного улучшения качества в соответствии с предполагаемыми потребностями клиента.
Следование стандарту ISO 9000:2000 при разработке и внедрении системы качества является добровольным стремлением руководства компании или организации. Именно руководство несет полную ответственность перед клиентом за соответствие стандарту и определяет целесообразность сертификации деятельности, которая устраняет необходимость ряда дополнительных проверок по требованию клиентов. Если сертификат выдан признанным (в регионе, стране, мире) сертификационным органом, то потребитель услуг получает максимальную гарантию того, что его запросы будут удовлетворены.
Многие российские компании и предприятия столкнулись, в силу внутренней обстановки в стране на сегодняшний момент, с кризисом доверия со стороны зарубежных партнеров. Причем страдают и те компании, которые могут успешно работать. В этих условиях система качества, выстроенная в соответствии со стандартом ISO 9000:2000 и сертифицированная признанным в мире сертификационным органом, приобретает особое значение. Наличие такой системы декларирует способность руководства управлять компанией, свидетельствует о существовании у нее стратегических планов и о том, что контакты с ней менее рискованны.
Изучение психологии потребителей, в том числе транспортных услуг, в зарубежных странах показало, что в зависимости от интересов и склонностей потребителей можно разделить на три группы:
- первые предпочитают высокое качество обслуживания;
- вторые ориентируются на высокую скорость, эффективность и минимум риска;
- третьи делегируют обслуживание процессов транспортировки, сбыта и продажи продукции посредникам.
Одним из важных вопросов логистического обслуживания является цена, как ожидаемая компенсация за общий пакет услуг, которую фирма предлагает потребителю. Определить цену на логистические услуги гораздо труднее, чем цену на саму транспортировку, так как во многом цена логистических услуг зависит от восприятия клиентом всей системы обслуживания. Выбор оптимального уровня обслуживания клиентуры определяется динамикой величины затрат. Выявлено, что, начиная с 70% и выше затраты на обслуживание растут экспоненциально в зависимости от уровня обслуживания, а при уровне обслуживания 90% и выше сервис становится невыгодным. Специалисты подсчитали, что при повышении уровня обслуживания от 95 до 97% экономический эффект повышается на 2%, а расходы возрастают на 14%.
Для выявления рационального уровня обслуживания производят сопоставление расходов, доходов и прибыли, реализуя принцип компромиссного решения, при котором фирмы достигают наилучшего соотношения между ценами и уровнем обслуживания, между расходами и доходами. Фактически процедура сводится к сопоставлению затрат, связанных с увеличением уровня обслуживания, с потерями доходов, которые растут при уменьшении числа и качества услуг. В результате сопоставления находят некоторый оптимум уровня обслуживания (рис. 2.1).

Рис. 2.1. Выявление рационального уровня обслуживания
С увеличением уровня обслуживания растут расходы по нему (кривая 2), но уменьшаются потери доходов от снижения уровня обслуживания (кривая 3). Пунктирная кривая (1) получается суммированием координат двух названных составляющих. В связи со значительными трудностями поиска и практической реализации оптимального уровня обслуживания (минимум ординаты пунктирной кривой 1) предприятия, предоставляющие услуги, и их клиентура ориентируются на "достаточно хорошее решение" - рациональное, приемлемое соотношение расходов и доходов.
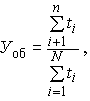
Сервис оценивают показателем "уровень обслуживания" Уоб, который определяется выражением:

где n
- фактическое количество оказанных услуг;
N
- количество услуг, которое теоретически может быть оказано;
ti
- время на выполнение i-ой услуги.
Работа транспорта должна основываться на запросах потребителя. Клиента привлекают минимальные сроки доставки, 100%-я сохранность груза при перевозке, удобства по приему и сдаче грузов, возможность получения достоверной информации о тарифах, условиях перевозки и местонахождении груза. Только при этих условиях клиент готов нести соответствующие затраты.
Когда рассматриваются вопросы качества транспортных услуг и транспортного обслуживания, необходимо помнить и учитывать следующие особенности:
- выбор совокупности услуг требует рассмотрения всех возможных вариантов уровней транспортного обслуживания;
- потребностей у клиента может быть несколько, что влечет за собой соответствие свойств и характеристик услуг одновременно нескольким и зачастую противоречащим друг другу требованиям;
- при заключении договора запросы и потребности клиентов четко оговариваются и фиксируются;
- во многих случаях потребности клиента со временем меняются, что обусловливает необходимость периодического проведения маркетинговых исследований. Каждый вид услуги транспорта требует серьезного изучения и анализа;
- потребности и запросы клиентов обычно выражаются в определенных свойствах с количественной их характеристикой и включают такие аспекты, как безопасность, функциональная пригодность, эксплуатационная готовность, надежность, экономические факторы, экологичность и т.д.;
- для количественной оценки качества используются такие выражения как: "относительное качество", "уровень качества", "мера качества".
Для улучшения транспортного обслуживания информация о качестве транспортных услуг, полученная на основании накопленного опыта и пожеланий клиентов, должна тщательно изучаться и анализироваться.
5. Автотранспорт как сфера материального производства
В современном обществе очень немногие потребности человека могут быть удовлетворены без помощи транспорта, который используется либо для перевозки грузов к местам их использования, либо людей к местам потребления товаров и услуг. Транспорт является частью экономической деятельности, которая связана с увеличением степени удовлетворения потребностей людей при помощи изменения географического положения товаров и людей. Он может доставлять сырье к местам, где потребители могут их лучше использовать. Транспорт существенно зависит от географических условий, особенно от топографических особенностей горных цепей, равнин, долин и береговой полосы, являясь средством заполнения географических разрывов между производством и потребителем. Транспорт призван связывать производство и потребителя и должен для этого создавать соответствующие средства и во многих случаях выступает как катализатор, повышая уровень активности экономики. Он позволяет расширить масштабы производства, связать производство и потребителей. Транспорт нужен для достижения уровня личного благосостояния, невозможного в прошлом.
В едином народнохозяйственном комплексе транспорт занимает особое место. Он является одной из отраслей, формирующих инфраструктуру народного хозяйства, призванного удовлетворять постоянно растущие потребности общества в пространственном перемещение вещественных продуктов труда и людей.
В новых условиях, когда необходимо добиться материальной сбалансированности экономики, ритмичности работы всего народного хозяйства, роль транспортного звена, взаимосвязанного со всеми материальными отраслями и непроизводственной сферой приобретает особую значимость. Общество предъявляет к транспорту конкретные и весьма ответственные требования: полное, своевременное и высококачественное удовлетворение потребностей народного хозяйства и населения в перевозках. Очень важно максимально использовать резервы и возможности всех видов транспорта, рационально перераспределять между ними перевозки. Транспорт в роли особой отрасли материального производства сделали возможным высокий уровень развития специализации производства в наиболее благоприятных для этого географических областях стран и мира в целом. В современном обществе очень немногие потребности человека могут быть удовлетворены без помощи транспорта, который используется либо для перевозки грузов к местам их использования, либо людей к местам потребления товаров и услуг.
Транспорт является частью экономической деятельности, которая связана с увеличением степени удовлетворения потребностей людей при помощи изменения географического положения товаров и людей. Он может доставлять сырье к местам, где потребители могут их лучше использовать. Главное в общественном производстве, рассматриваемом с организационно-технологической стороны, целесообразное, оптимальное соединение, до этого находящихся порознь компонентов (предметов и орудий труда, живого труда). На ранних стадиях развития производительных сил транспортировка составляла единый процесс с материальным производством. В результате общественного разделения труда этот вид деятельности обобщился, что вызвало особое производство транспортной продукции как самостоятельного товара, имеющего всегда достаточно высокую меновую стоимость.
Специализация районов, их комплексное развитие не возможно без системы транспорта. Транспортный фактор оказывает влияние на размещение производства, без его учета нельзя достичь рационального размещения производительных сил. Также важное значение транспорт имеет и в решение социально-экономических проблем. Специфика транспорта как сферы экономики заключается в том, что он сам не производит продукцию, а только участвует в её создании, обеспечивая производство сырьём, материалами, оборудованием и доставляя готовую продукцию потребителю. Транспорт создает условия для формирования местного и общегосударственного рынка. В условиях перехода к рыночным отношениям роль рационализации транспорта существенно возрастает. С одной стороны от транспортного фактора зависит эффективность работы предприятия, что в условиях рынка напрямую связано с его жизнеспособностью, а с другой стороны, сам рынок подразумевает обмен товарами и услугами, следовательно, невозможен и сам рынок. Поэтому транспорт является важнейшей составной частью рыночной инфраструктуры.
6. Основные виды транспортировки
Транспортировка – это изменение местонахождения грузов при соблюдении принципа экономичности (сокращении стоимостных и временных затрат). Этот процесс должен быть экономически оправдан, так как при перемещении грузов расходуются временные, финансовые и экологические ресурсы.
Следовательно, главная цель транспортировки – доставить товары в место назначения как можно быстрее, дешевле и с наименьшим ущербом для окружающей среды. Нужно также свести к минимуму потери и порчу транспортируемых грузов при одновременном выполнении требований заказчиков к своевременности доставки и к предоставлению информации о грузах в пути. При осуществлении закупок и доставки материальных ресурсов, а также дистрибуции готовой продукции потребителям фирма-производитель может использовать различные варианты транспортировки.По числу видов транспорта, участвующих в доставке товаров и пассажиров, системы доставки делятся на одновидовые (юнимодальные) и многовидовые (мультимодальные и интермодальные) . На рис.1. представлена иерархическая пирамида (структура) технологии и организации перевозок. В вершине этой пирамиды находятся интермодальные перевозки, ниже –мультимодальные и юнимодальные межрегиональные перевозки, далее –внутриобластные и городские перевозки специализированными транспортными предприятиями и, наконец, местные перевозки отдельными предпринимателями и собственным транспортом производственных и коммерческих структур.

Рис. 1. Иерархическая структура перевозок
Юнимодальная (одновидовая) транспортировка осуществляется одним видом транспорта, например автомобильным, как правило, в тех случаях, когда заданы начальный и конечный пункты транспортировки логистической цепи без промежуточных операций складирования и грузопереработки. Критериями выбора вида транспорта в такой перевозке обычно являются вид груза, объем отправки, время доставки груза потребителю, затраты на перевозки. Например, при крупнотоннажных отправках и при наличии подъездных путей в конечном пункте доставки целесообразнее применять железнодорожный транспорт, при мелкопартионных отправках на короткие расстояния -автомобильный.
Смешанная перевозка грузов (смешанная раздельная перевозка) осуществляется обычно двумя видами транспорта (железнодорожно-автомобильная, речная-автомобильная, морская-железнодорожная и т.п.). При этом груз доставляется первым видом транспорта в так называемый пункт перевалки или грузовой терминал без хранения или с кратковременным хранением с последующей перегрузкой на другой вид транспорта. Типичным примером смешанной перевозки является обслуживание автотранспортными фирмами железнодорожных станций или морского (речного) порта транспортного узла. Признаками смешанной раздельной перевозки является наличие нескольких транспортных документов, отсутствие единой тарифной ставки фрахта, последовательная схема взаимодействия участников транспортного процесса. При прямой смешанной перевозке грузовладелец заключает договор с первым перевозчиком, действующим как от своего имени, так и от имени следующего перевозчика, представляющего другой вид транспорта. В силу этого грузовладелец фактически находится в договорных отношениях с обоими, причем каждый из них производит расчеты с грузовладельцем и несет материальную ответственность за сохранность груза только на соответствующем участке маршрута.
Комбинированная перевозкаотличается от смешанной наличием более чем двух видов транспорта. Использование смешанных (комбинированных) видов транспортировки часто обусловлено структурой дистрибутивных каналов (или логистических каналовснабжения), когда, например, отправка крупных партий ГП производится с завода-изготовителя на оптовую базу железнодорожным транспортом (с целью максимального снижения затрат), а развозка с оптовой базы в пункты розничной торговли осуществляется автомобильным транспортом. Одновидовая система, несмотря на внешнюю простоту и широкое распространение, усложняется за счет эксплуатации автомобилей и автопоездов различной грузоподъемности на этапах подсбора грузов, формирования укрупненных отправок, особенно в условиях терминальной системы.
Интермодальная система является более сложным вариантом с точки зрения решения коммерческо-правовых, финансово-экономических, организационно-технических аспектов доставки и вопросов развития транспортной инфраструктуры. Под интермодальной понимается система доставки грузов в международном сообщении несколькими видами транспорта по единому перевозочному документу и передачи грузов в пунктах перевалки с одного вида транспорта на другой без участия грузовладельца в единой грузовой единице (или транспортном средстве). Системообразующим элементом выступает интермодальная грузовая единица, которая допускает таможенное пломбирование в ней груза согласно международным требованиям, исключающее доступ к грузу без срыва пломбы. Основой современных интермодальных перевозок грузов являются контейнеры международного стандарта ISO. Однако могут использоваться и другие грузовые единицы, но отвечающие следующим требованиям: позволяют применять комплексную механизацию перегрузочных работ в портах и пунктах перевалки; отвечают международным или региональным стандартам. К ним можно отнести контрейлеры, трейлеры, сменные кузова, пакеты и блок-пакеты груза.
Мультимодальные перевозки - это прямые смешанные перевозки по меньшей мере двумя различными видами транспорта и, как правило, внутри страны.
При интермодальных и мультимодальных перевозках договор грузоперевозки с грузоотправителем от имени перевозчиков, принимающих участие в ее осуществлении, заключает первый перевозчик (оператор). Договор считается заключенным с момента приемки груза к грузоперевозке, удостоверенной подписями отправителя и транспортной организации и календарным штемпелем последней. Сроки доставки груза исчисляются по совокупности срока его доставки каждым перевозчиком в соответствии с правилами, действующими на каждом виде транспорта. Каждый перевозчик несет ответственность за груз с момента принятия его от отправителя или другого перевозчика до момента передачи его смежному виду транспорта или выдачи грузополучателю.
Основные принципы функционирования интермодальных и мультимодальных систем заключаются в следующем:
1) единообразный коммерческо-правовой режим, предусматривающий:
совершенствование правил перевозок грузов (вчастности, контейнеров) в международном сообщении на всех видах транспорта с целью их взаимной увязки в соответствии с выбранными критериями эффективности логистической транспортной системы; упрощение таможенных процедур; разработку и внедрение новых унифицированных перевозочных документов для внутреннего транспорта (транспорта общей интермодальной цепи, но функционирующего только на территории своей страны), учитывающих рбщий критерий логистической транспортной системы; использование стандартных коммерческих и перевозочных документов международного образца для работы на внешнем транспортном рынке.
2) комплексное решение финансово-экономических аспектов функционирования системы, включающее:
установление унифицированных тарифных правил грузоперевозки транзитных грузов и грузов внешней торговли в международном сообщении;
разработку метода обоснованного распределения сквозного фрахта в СКВ между всеми звеньями логистической транспортной цепи;
разработку механизма финансовой ответственности за нарушение качества услуг для каждого звена логистической транспортной цепи.
3) использование систем электронного обмена данными, обеспечивающих слежение за передвижением груза, передачу информации и связь;
4) единство всех звеньев транспортной цепи в организационно-технологическом аспекте, единая форма взаимодействия и координация всех звеньев транспортной цепи, обеспечивающих это единство;
5) кооперация всех участников транспортной системы;
6) комплексное развитие транспортной инфраструктуры различных видов транспорта.
Необходимым условием функционирования интер- и мультимодальных перевозок является наличие информационной системы, с помощью которой осуществляется исполнение заказа, т.е. планирование, управление и контроль всего процесса доставки груза благодаря опережающей, сопровождающей и заканчивающей процесс доставки информации.
В настоящее время в мировой практике широко применяются различные системы электронного обмена данными, степень использования которых определяет уровень конкурентоспособности различных логистических транспортных систем на мировом рынке транспортных услуг. Принцип внедрения новых форм взаимодействия всех звеньев транспортной цепи особенно важен для функционирования интермодальной транспортной системы, поскольку эффективность такой системы существенно зависит от ее организации. Гарантом и организатором взаимодействия всех звеньев транспортной цепи в системе является оператор международной интермодальной доставки грузов.
Наличие оператора определяет схему взаимодействия всех звеньев транспортной цепи в коммерческо-правовом, организационно-технологическом и финансово-экономическом аспектах, а также ряд отличительных признаков, относящихся к коммерческо-правовому аспекту функционирования интермодальных и мультимодальных транспортных систем, в числе которых: единый транспортный документ международного образца; наличие оператора доставки от начального до конечного пункта логистической цепи; единая ответственность за исполнение договора и сохранность груза; единая сквозная ставка фрахта.
Каждые из приведенных видов перевозок обладают специфическими особенностями в технологии, организации и управлении, но они имеют общую технологическую основу в виде конкретных технологических схем доставки. Пример технологической схемы перевозки грузов автомобильным транспортом представлен на рисунке 2.

Рис. 2. Технологические схемы перевозки грузов автомобильным транспортом:
а - одним видом транспорт; б - несколькими видами транспорта
В свою очередь, составляющие элементы доставки грузов или пассажиров характеризуются определенными, присущими только им закономерностями. Пользователи транспортных услуг в настоящее время отдают предпочтение таким показателям, как соблюдение временных графиков доставки грузов и пассажиров, ответственность за удовлетворение оговоренных потребностей, надежность доставки. Выполнение этих требований связано с достаточно точной временной оценкой звеньев доставки грузов и пассажиров, т.е. со знанием закономерностей изменения всех их элементов и установлением конкретных величин. Выявление закономерностей звеньев и элементов доставки является основой в системном построении всех возможных видов организации перевозок грузов и пассажиров.
7. Проблемы транспортной логистики
На фоне перманентно возрастающего интереса к логистической тематике в последнее время возникает все больше соответствующих образовательных программ – различные тренинги, курсы, семинары, конференции и т.д. Большинство из них включает в себя теоретическую и практическую базу транспортной логистики или непосредственно посвящено решению именно транспортных проблем. Общаясь со слушателями таких курсов, можно составить общую картину недостатков транспортного обслуживания (при участии внешних перевозчиков), а также внутренней транспортной логистики на предприятии (при самостоятельном осуществлении перевозок).
При разделении мнений слушателей-практиков, стремящихся улучшить транспортную логистику своих предприятий, на тематические блоки становится очевидным, что основные проблемы касаются:
• качества транспортного обслуживания (в случае привлечения внешних транспортных компаний);
• изношенности подвижного состава и трудностей, связанных с его обновлением;
• плохой информационной поддержки перевозок;
• снижения конкурентоспособности украинских перевозчиков по сравнению, например, с польскими;
• сложностей составления маршрутов движения (будь то международные перевозки или дистрибуция по городу);
• недогруза автомобилей по грузоподъемности или полезному внутреннему объему кузова;
• страхования грузов и транспортных средств;
• сложностей организации перевозок с участием нескольких видов транспорта;
• недостатка информации о программных продуктах, позволяющих автоматизировать, упростить и ускорить выполнение операций, сопровождающих перевозочный процесс и др.
А теперь давайте рассмотрим специфику и тенденции развития этих проблемных участков более подробно.
Качество транспортного обслуживания
Все большее количество предприятий, деятельность которых так или иначе связана с транспортировкой (доставка сырья и материалов, обслуживание потребителей), принимают решение о передаче всех или части перевозок на аутсорсинг. Такое решение позволяет им сконцентрироваться на основной сфере деятельности, повышая качество работы и усовершенствуя свою продукцию, а также доверить транспортную логистику профессионалам в данной области, что в итоге улучшает качество перевозок, а во многих случаях – и снижает транспортные затраты.
Однако не всегда внешние перевозчики предоставляют качественные услуги. Это относится, прежде всего, к простым экспедиторским или транспортным компаниям, первые из которых не имеют собственного подвижного состава и работают как посредники между заказчиком и перевозчиком, а вторые – занимаясь перевозкой грузов собственными транспортными средствами, практически не пытаются оптимизировать сам процесс транспортировки. Хотя это можно было бы сделать посредством сбора консолидированного груза от нескольких отправителей, составления оптимальных маршрутов движения, подключения более эффективного вида транспорта на определенном этапе маршрута и т.д. Можно сказать, что сейчас появилась тенденция к отмиранию «простых» операторов транспортного рынка и переход на объединение экспедиторских, транспортных и других функций транспортной логистики в одном предприятии. Для таких интегрированных предприятий часто используют термин «логистический оператор», что вполне передает системный характер их деятельности и четкую направленность на компромисс между транспортными (и сопутствующими) затратами и уровнем качества предоставленных услуг.
Изношенность подвижного состава
Здесь следует остановиться не только на проблеме определения оптимального срока службы транспортных средств, занятых в перевозке грузов, но и на необходимости адекватного расчета их амортизации.
Известно, что методов начисления амортизации достаточно много, при этом на данный момент каждое предприятие само решает, каким из них пользоваться, по крайней мере, для внутренних нужд (например, расчет себестоимости перевозки или остаточной стоимости транспорта).
Практика предприятий, имеющих на балансе собственные транспортные средства, свидетельствует о целесообразности различных методов расчета амортизации транспортных средств при использовании подвижного состава производства стран СНГ и Европы, Японии, Кореи. Так, для отечественных марок рекомендуется производить расчет исходя из 5-6 лет службы автомобиля, тогда как для «иностранцев» этот срок можно увеличить вдвое.
Что касается определения оптимального срока замены транспортного средства, то здесь уместна одна из используемых в логистике методик, которая учитывает возрастающие со временем эксплуатационные расходы с одной стороны и постепенно снижающуюся производительность и остаточную стоимость автомобиля – с другой. Такая методика дает возможность понять, на каком сроке службы автомобиль выгоднее продать по остаточной рыночной стоимости, чем эксплуатировать его со все более возрастающими затратами, включающими амортизацию, стоимость ремонтов и т.д.
Плохая информационная поддержка процесса перевозок
К сожалению, при кажущейся «информатизированности» и «компьютеризированности» современной жизни, поток информации, сопровождающий процесс транспортировки, все еще далек от совершенства. Это касается и связи с водителем (особенно при его нахождении в другом государстве или на пограничном переходе), и мониторинга груза на протяжении перевозки, и контроля состояния транспортного средства, его местонахождения.
Чуть слабее данная проблема ощущается при внутренних, украинских перевозках. Однако и здесь бывают случаи утраты связи с машиной, что негативно сказывается на координации процесса транспортировки, особенно в случаях потребности в срочной передаче или корректировке информации для водителя.
Снижение конкурентоспособности украинских перевозчиков по сравнению с польськими
Улучшение транспортного законодательства, а также «стирание» границ со странами ЕС сделало сферу перевозок в Польше достаточно привлекательной. Это привело к увеличению транспортных операторов, что в свою очередь стало причиной повышения внутренней конкуренции и падению тарифов. Таким образом, в настоящее время при большей заработной плате водителя и более дорогом топливе, польские перевозчики предлагают равные, а иногда и меньшие тарифы по сравнению с украинскими компаниями.
В такой ситуации можно порекомендовать вернуться к методике расчета себестоимости перевозок и отталкиваться не от рыночной цены за 1 км, а от индивидуальной рентабельности. Тогда работа транспортного предприятия не только станет более прозрачной для клиента, но и даст возможность отслеживать, насколько выгодна та или иная транспортировка.
Сложности в построении маршрутов перевозки
Еще во времена Советского Союза транспортники пользовались достаточно эффективными методами составления оптимальных маршрутов движения, причем как маятниковых, так и сборных и развозочных. Это так называемая транспортная задача – необходимость нахождения кратчайшей связывающей сети, кратчайшего пути между двумя точками территории, а также составления сборно-развозочных маршрутов.
К сожалению, с переходом на рыночные отношения появилась некоторая хаотичность в проектировании процесса перевозок, а упомянутые методы оптимизации транспортного процесса были забыты.
При этом все большее количество компаний, сталкивающихся с проблемами построения оптимальных маршрутов движения, готовы вкладывать немалые деньги в программное обеспечение, способное автоматизировать процесс поиска наиболее рационального маршрута следования. Хотя иногда достаточно запустить старый добрый Excel, чтобы быстро решить транспортную задачу. Такой «полуручной» метод определения маршрута позволяет не только получить оптимальный результат, но и легко проанализировать, к чему приведет его некоторое изменение, если он по каким-либо причинам не устраивает менеджера или заказчика.
Недогруз подвижного состава
Проблема недостаточного использования грузоподъемности транспортного средства напрямую связана с частым нежеланием или неумением комплектовать отправку от разных грузоотправителей. А ведь перевозка сборного груза приносит большую прибыль перевозчику, поскольку для каждого из владельцев части такого груза стоимость перевозки уменьшается незначительно по сравнению с тем, как если бы его груз находился в автомобиле один. Это происходит потому, что, хоть это и экономически не обосновано, основой транспортных тарифов в любом случае является километраж, пройденный транспортным средством. Так что стоимости перевозки на 1000 км для однотипных грузов массой 2 и 5 т практически не будут отличаться.
Конечно, доставка сборного груза связана с большим количеством проблем, чем отправка от одного отправителя одному получателю, однако она более выгодна, причем как отправителю (он все-таки немного сэкономит на стоимости доставки), так и перевозчику (для него стоимость перевозки сборного груза существенно превышает стоимость перевозки от одного отправителя).
Страхование груза и транспортных средств
В настоящее время все больше грузоотправителей и грузополучателей стараются застраховать свою перевозку. Причем, по словам практиков, страхование именно груза, а не транспортного средства с грузом, преобладает. Так, в большинстве случаев страховка оформляется как процент от стоимости груза (обычно – 0,15-0,25%), и при наступлении страхового случая производится страховая выплата в том объеме, в котором нанесен ущерб грузу. Обычно стоимость ущерба возмещается не в полной мере. В любом случае, страховщик и страхователь ищут наиболее приемлемое сочетание стоимости страховки и величины страховых выплат, что оговаривается в договоре страхования.
Страхование груза уменьшает беспокойство за процесс транспортировки, что обычно благотворно сказывается на всех ее участниках.
Что же касается страхования транспортных средств, то оно применяется реже. При этом давнишнее недоверие к страховым компаниям как таковым тормозит процесс распространения страхования как транспортных средств, так и грузов.
Сложности организации взаимодействия нескольких видов транспорта
При существовании любых возможных путей сообщения в нашей стране (авто- и железные дороги, моря, реки, воздушные линии, трубопроводы) автомобильный транспорт остается наиболее используемым. Это тем более странно, если учесть большую территорию нашей страны, ведь на расстояниях 700–1500 км железнодорожный транспорт становится намного экономичнее автомобильного.
Видимо, превалирование автомобильных грузовых перевозок над всеми другими связано, прежде всего, с мобильностью данного вида транспорта.
Так, во-первых, автомобильным транспортным компаниям было проще перестроиться на существование в условиях суверенного государства, а во-вторых, этот вид транспорта успешно осуществляет перевозки «од двери до двери», что в большинстве случаев недоступно для других. Что касается тарифов на перевозки, тут для автомобильного конкурентами являются железнодорожный и водный виды транспорта. Однако сложность отношений с железной дорогой и разные правила при осуществлении перевозок на разных видах транспорта приводят к отказу работать с «неавтомобильными» видами транспорта, а тем более их сочетать. Также немаловажным является тот факт, что при взаимодействии разного транспорта практически всегда повышаются сроки перевозки.
Это связано с перегрузками с одного вида транспорта на другой, которые обычно сопровождаются краткосрочным хранением груза. Так что небольшое снижение суммарной стоимости перевозки обычно комбинируется с увеличением сроков доставки и повышением сложности организации и контроля такой перевозки. При этом можно добавить, что комбинированные перевозки обычно намного сложнее спрогнозировать по срокам и по возможным рискам. Здесь проблемы информационного сопровождения стоят намного острее, чем при перевозках автомобильным транспортом.
Недостаток информации о программных продуктах в сфере транспортной логистики
Рынок программного обеспечения растет в геометрической прогрессии. Все новые и новые программы, улучшающие сами себя, позволяют упрощать нам жизнь. Однако при этом возникает и другая сторона медали – очень сложно ориентироваться в той программной массе, которая заполоняет рынок. Все уже привыкли к тому, что, не успев поставить новейшую программу, мы уже видим релиз или демо-версию новой. Так что стремление к постоянному обновлению программной базы бессмысленно и нецелесообразно.
Что касается программного обеспечения для транспортной логистики, то тут дела обстоят несколько иначе. В отличие от «складских» разработок, их на рынке намного меньше, отзывы о них очень разные, а нормальной, объективной аналитики нет вообще. При немалой стоимости таких программ не удивительно, что потенциальные их покупатели теряются и постепенно оставляют идею приобретения «до лучших времен».
Так что можно посоветовать разработчикам не только трудиться над улучшением своих программных пакетов, но и «растолковывать» их потенциальным покупателям преимущества и особенности именно этой программы по отношению к набору других. Тогда и потребители будут видеть разницу и смогут сделать верный выбор, и производителям будет проще найти и обозначить свою нишу на рынке программ по транспортной логистике.
8. Перспективы транспортной логистики
Автоматизация информационных потоков, сопровождающих грузовые потоки, - это один из наиболее существенных технических компонентов логистики. Современные тенденции управления информационными потоками состоят в замене бумажных перевозочных документов электроники. При бездокументной технологии, традиционные методы выполнения грузовых и коммерческих операций на станциях отправления, прибытия и в пути следования стали анахронизмом - они являются барьером на пути создания принципиально новых технологий грузоперевозок.
Предпринимаются попытки упрощения перевозочных документов грузовых тарифов, системы взаимных расчетов за перевозки между отправителями, получателями и транспортными организациями. Но, по сути дела, устаревшую технологию коммерческой работы накладывают на современные технические средства автоматизации.
Естественно, при разработке новой технологии необходимо ориентироваться не только на существующие технические средства автоматизации, но и учитывать дальнейшие перспективы их развития. Технической базой создания прогрессивных технологий и построения транспортной логистической системы является:
многопроцессорные ЭВМ, мини - и макроЭВМ пятого поколения;
каналы связи;
оснащение персональными компьютерами должностных лиц грузовых станций.
Помимо применения прогрессивной технической базы, при создании принципиально новой технологии необходимо осуществить комплекс следующих организационно-технологических мероприятий:
разработать унифицированную для всех видов транспорта систему кодирования грузов, грузоотправителей и грузополучателей, вагонов и других транспортных средств, а также железнодорожных станций, портов, автостанций. Все виды информации на грузовых единицах, включая отправительскую и железнодорожную маркировку, должны наноситься способом, удобным для автоматического считывания современными устройствами распознавания образцов;
построить банки данных из нормативно-справочной и оперативной информации в ВС станции, ИВЦ и ГВЦ, которые содержать всю информацию, необходимую для решения задач автоматизации грузовых и коммерческих операций слежения и розыска грузов в границах станции, дорог и железнодорожной сети.
Основная цель разработки перспективной принципиально новой технологии - полностью автоматизировать процессы приема, розыска и учета грузов, слежение за их движением на всех этапах процесса грузоперевозок, в том числе на фазах обслуживания материальных потоков грузовой станции практически без бумажных документов. В результате упразднения работы по оформлению перевозочных документов и канцелярских отчетов существенно упрощается процедура приема и выдачи грузов, отпадает множество операций, в том числе составление комплекса перевозочных документов и вагонного места; визирование в накладной в форме разрешения на перевозочном документе; оформление накладной после приема грузов к перевозке приемосдатчиком; заполнение книги приема груза к отправлению; ведение ведомостей подачи и уборки вагонов и безномерного учета; составление финансовых отчетов; регистрация прибывших грузов в станционном технологическом центре и товарной конторе; составление оперативной отчетности о погрузке и выгрузке грузов; составление декадных заявок и декадных приказов заданий на погрузку грузов; составление банковских и финансовых документов при централизованных расчетах за перевозки; ведение архива грузовой станции и др.
Главный принцип бездокументной технологии грузовой и коммерческой работы при осуществлении перевозочного процесса состоит в том, что с момента поступления грузов на железную дорогу до момента выдачи вся необходимая информация находится в памяти ЭВМ.
Процесс перемещения грузов по железной дороге моделируется движением данных по массивам памяти на станциях отправления, назначения, сортировочных станциях в ИВЦ и ГВЦ МПС, т.е. строится глобальная динамическая модель движения материального потока.
Гипотетическая бездокументная технология обслуживания материальных потоков и сопровождающих информационных потоков проводится следующим образом. Заявка на грузоперевозку в виде запроса передается отправителем по каналам связи ВЦ станции. При получении визы на грузоперевозку в памяти ЭВМ записывается информация о грузе. Движение информации по мере обслуживания материального потока на грузовой станции может осуществляться по принципу "сдвигающего регистра".
Груз доставляется на транспортно-складской комплекс. После его приема и размещения в зоне хранения информация о грузе вновь передается оператором в ВЦ станции, сравнивается с записями и при их совпадении поступает в следующий массив памяти - "Ожидание погрузки". С этого момента начинается электронный материальный учет принятого груза. Сигнал об изменении состояния груза передается в ЭВМ в виде кода. Дополнительная информация при приеме груза, автоматически считывается с маркировки, нанесенной на груз в виде штрихового кода. Все погрузочно-разгрузочные и складские операции выполняются на транспортно-складском комплексе (ТСК) автоматически. Линейно-штриховой код позволяет осуществить автоматическое адресование грузов по секциям и ячейкам зоны хранения.
В момент начала погрузки в ЭВМ поступает сигнал, и информация о грузе передается из массива памяти "Ожидание погрузки" в массив "Погрузка". По сигналу завершения погрузки данные передаются из массива "Погрузка" в массив "Ожидание уборки". Автоматическое устройство считывает шифр-номер вагона, и информация через посредство видеотерминала одновременно с сигналом об окончании погрузки передается в ЭВМ. Она дополняет информацию, ранее записанную в памяти. Если в вагон погружены мелкие отправки, то информация содержит перечень всех грузов, находящихся в вагоне, и является бездокументным аналогом вагонного места. По сигналу об окончании уборки вагонов, поступившему от машиниста маневрового локомотива, информация о вагоне и грузе передается из массива "Ожидание уборки" в массив "Ожидание формирования". Здесь сигнал представляет номер вагона.
В итоге всей описанной процедуры завершается материальный учет грузов на ТСК. При выполнении операции по прямому варианту адресование грузов производится непосредственно из вагонов в автомобили по кратчайшему пути в соответствии с программой, которая отрабатывается ЭВМ. После завершения формирования поезда от бригады маневрового локомотива поступает в ЭВМ сигнал, по которому передается информация о грузе в следующий массив памяти "Ожидание отправления". После отправления состава, в котором находится вагон с принятым грузов, завершается бездокументный учет принятой отправки в ВЦ станции. Информация о нем стирается в оперативной памяти ЭВМ, но ее содержание переносится на долговременные носителя информации, которые хранятся в архиве станции.
Если груз принимается на станции, где отсутствует ВЦ, то вся информация о последовательный стадиях обработки груза передается через интеллектуальный терминал в ВЦ коллективного пользования опорой грузовой станции. Моменты приема и отправления груза на станции погрузки и основные данные об отправке также передаются в ИВЦ дороги отправления и ГВЦ. Здесь формируется обобщенная информационная модель, характеризующая состояние груза на отдельных этапах грузоперевозки. Исходя из изложенного, следует отметить, что основная функция транспортной логистики - это управление материальными потоками от производителя до получателя по графику.
Основным элементом транспортной логистики является транспорт. Транспорт - это отрасль материального производства, осуществляющая перевозки людей и грузов.
Предметом транспортной логистики является комплекс задач, связанных с организацией перемещения грузов транспортом общего назначения. Основой выбора вида транспорта, оптимального для конкретной перевозки, служит информация о характерных особенностях различных видов транспорта. Транспорт представляет собой важное звено логистической системы; он должен обладать рядом необходимых свойств и удовлетворять определенным требованиям в целях создания инновационных систем сбора и распределения грузов. Он должен обладать способностью перевозить небольшие партии грузов через короткие интервалы времени в соответствии с меняющимися запасами пользователя. В границах межнациональных логистических систем различные виды транспорта используются на основе принципов оптимизации контактных графиков, когда при наличии многолетних стабильных перевозок все участвующие в них виды транспорта управляются из одного центра. В качестве критериев при выборе транспортных средств принимают сохранность грузов, наилучшее использование их вместимости и грузоподъемности и снижение затрат на перевозку. Целям логистики отвечают такие прогрессивные способы грузоперевозок, как пакетные, контейнерные, комбинированные.
Перспективы развития транспортной логистики состоят в замене бумажных перевозочных документов электронными. Автоматизация информационных потоков, сопровождающих грузовые потоки это один из наиболее существенных технических компонентов логистики.