| Скачать .docx | Скачать .pdf |
Реферат: Теоретические основы управленческих решений. Методологические основы выбора поставщиков
I.
II. Теоретические основы принятия управленческих решений.
2.1. Роль разработки управленческих решений в процессе управления.
Управленческое решение – выбор возможной альтернативы разрешения управленческой ситуации с использованием конкретного критерия лицом, принимающим решения (ЛПР) на основе располагаемой информации. Для принятия управленческого решения необходимо наличие управленческой ситуации.
В процессе управления постоянно возникают ситуации, когда руководители различных уровней сталкиваются с необходимостью выбора какого-либо одного из нескольких возможных вариантов действий. Выработка и принятие решения – центральная процедура в деятельности руководителя, определяющая весь дальнейший ход процесса управления.
Управленческое решение принимается на основе выявленных проблем в результате анализа ситуации, сравнения эффективности функционирования объекта с эталоном, выявления и оценки отклонений, анализа имеющейся информации, выявления направлений развития объекта.
Эффективность управления зависит от комплексного применения многих факторов и не в последнюю очередь от процедуры принимаемых решений и их практического воплощения в жизнь. Но для того, чтобы управленческое решение было действенным и эффективным, нужно соблюдать определенные методологические основы.
Для того чтобы принять управленческое решение, каждое ЛПР должно хорошо разбираться не только в понятийном аппарате, но и достаточно квалифицированно при этом применять на практике:
· методологию управленческого решения;
· методы разработки управленческих решений;
· организацию разработки управленческого решения;
· оценку качества управленческих решений.
Методология управленческого решения представляет собой логическую организацию деятельности по разработке управленческого решения.
Методы разработки управленческих решений включают в себя способы и приемы выполнения операций, необходимых в разработке управленческих решений.
Организация разработки управленческого решения предполагает упорядочение деятельности отдельных подразделений и отдельных работников в процессе разработки решения.
Технология разработки управленческого решения – вариант последовательности операций разработки решения, выбранный по критериям рациональности их осуществления, использования специальной техники, квалификации персонала, конкретных условий выполнения работы.
Качество управленческого решения - совокупность свойств, которыми обладает управленческое решение, отвечающих в той или иной мере потребностям успешного разрешения проблемы.
Объект принятия управленческого решения – многогранная деятельность предприятия независимо от его формы собственности.
Правильность и эффективность принятого решения во многом определяется качеством экономической, организационной, социальной и других видов информации.
Принятие решений присуще любому виду деятельности, и от него может зависеть результативность работы одного человека или группы людей.
Все принимаемые в любой сфере деятельности решения можно условно классифицировать и подразделить на решения:
· по стратегии предприятия;
· прибыли;
· продажам;
· вопросам, оказывающим влияние на образование прибыли.
Принятие решения, как правило, сопряжено с выбором направления действия, и если решение принимается легко, без специальной проработки альтернатив, то хорошее решение принять трудно. Хорошее решение накладывает на менеджера большую социальную нагрузку и зависит от психологической подготовленности менеджера, его опыта, личностных качеств.
Принятию решения предшествуют несколько этапов:
1. Возникновение проблем, по которым необходимо принять решение.
2. Выбор критериев, по которым будет принято решение.
3. Разработка и формулировка альтернатив.
4. Выбор оптимальной альтернативы из их множеств.
5. Утверждение (принятие) решения.
6. Организация работ по реализации решения – обратная связь.
Управленческие решения могут быть:
· стратегические, тактические и оперативные;
· долгосрочные, среднесрочные и краткосрочные;
· комплексные и частные;
· прямые и косвенные;
· единоличные, групповые и коллегиальные;
· одно- и многокритериальные и др.
Организационные решения принимаются на всех уровнях управления и являются одной из функций работы менеджера, они направлены на достижение поставленной цели или задачи. Они могут быть запрограммированными и незапрограммированными.
Следовательно, в процессе управления разработка управленческого решения играет основополагающую роль, от которой зависит дальнейший итог работы предприятия.
2.2. Роль отдела снабжения в процессе управления предприятием.
Снабжение – это процесс обеспечения предприятия материальными ресурсами и разного вида услугами, связанный множеством экономических факторов. Материальные потоки и услуги, проходящие в цикле снабжения, являются объектом снабжения. Так, отдел снабжения координирует действия поставщика и потребителя дистанционно, занимаясь лишь информационной деятельностью, организуя материальные потоки, но занимаясь их прямым перемещением. Такой вид деятельности на любом предприятии играет решающую роль, ведь от правильно скоординированного снабжения зависит более 50% финансов организации, возлагая на снабжение большую ответственность за снабжение предприятия сырьём.
Отдел снабжения выступает гарантом поставки материалов хорошего качества, в короткие сроки, нужное место, на выгодных условиях с надёжным поставщиком. Логистика снабжения, являясь первой подсистемой, решает огромное количество задач, поставленных перед ней, таких, как: надежное обеспечение бесперебойного материального потока, во избежание дефицита сырья; поддерживать запасы на складах в нормативных пределах; поддерживание сотрудничества подразделов, использующих поставляемое сырьё; поиск и развитие деловых отношений с надёжными поставщиками на выгодных условиях и многое другое.
Логистика снабжения, является механизмом целевого использования финансов предприятия, путём снабжения его материальными ресурсами, что возводит этот подраздел логистики на высокий уровень в организационной системе.
В данной работе мы рассмотрим методы разработки управленческих решений по выбору поставщиков.
Важность выбора поставщика объясняется не только функционированием на современном рынке большого количества поставщиков одинаковых материальных ресурсов, но и тем, что он должен быть, прежде всего, надежным партнером товаропроизводителя в реализации его стратегии организации производства.
Большое количество и разнообразие потенциальных поставщиков, требуемых материальных ресурсов приводит к тому, что особое внимание уделяется проблеме выбора тех, которые могли бы с наибольшим эффектом обеспечить успешную производственно-сбытовую деятельность предприятия.
Возможны два направления выбора поставщика:
1. Выбор поставщика из числа компаний, которые уже были вашими поставщиками (или являются ими) и с которыми уже установлены деловые отношения. Это облегчает выбор, так как отдел закупок компании располагает точными данными о деятельности этих компаний.
2. Выбор нового поставщика в результате поиска и анализа требуемого рынка: рынка, с которым компания уже работает, или совершенно нового рынка (в случае принятия решения о диверсификации деятельности). Для проверки потенциального поставщика часто необходимо много времени и ресурсов, поэтому ее следует осуществлять только в отношении тех поставщиков из небольшого списка, которые действительно имеют серьезный шанс получить большой заказ. От потенциального поставщика, конкурирующего с существующими, ожидается более высокая эффективность.
Для повышения объективности оценки потенциального поставщика предприятия могут прибегнуть к услугам специализированных агентств, одной из функций которых является подготовка информации о поставщиках.
Главные критерии, на которых рекомендуется строить систему выбора поставщика:
· качество продукции;
· надежность поставщика (честность, отзывчивость, и т. д.);
· цена;
· качество обслуживания;
· условия платежа.
Как показывает практика, системе установленных критериев может соответствовать несколько поставщиков. В этом случае необходимо их ранжировать, опираясь на влияние непосредственных контактов с представителями поставщиков.
Целью данной курсовой работы является выбор новых поставщиков. Для достижения поставленной цели необходимо решение следующих задач:
1. Изучить понятие процесса выбора поставщиков.
2. Выявить основные методы выбора поставщиков.
3. На основе аналитического сравнения выбрать наилучший метод.
4. Подобрать оптимальные критерии оценки потенциальных поставщиков.
5. Провести анализ и отбор поставщика для предприятия.
Методологической основой разработки темы работы являются труды отечественных и зарубежных ученых экономистов, а также общенаучные методы.
III. Методологические основы выбора поставщиков.
3.1. Существующие методы выбора поставщиков.
Существует 4 основных метода выбора поставщиков:
1) Метод рейтинговых оценок . Выбираются основные критерии выбора поставщика, далее работниками службы закупок или привлеченными экспертами устанавливается их значимость экспертным путем. Например, допустим, что предприятию необходимо закупить товар, причем его дефицит недопустим. Соответственно, на первое место при выборе поставщика будет поставлен критерий надежности поставки. Удельный вес этого критерия будет самым большим (Табл.№1).
Таблица №1 .
Рейтинговые оценки критериев выбора поставщика .
| Критерий выбора |
Удельный вес критерия |
Оценка значения критерия по 10-бальной шкале |
Произведение удельного веса критерия на оценку |
| Надежность поставки |
0,30 |
7 |
2,1 |
| Цена |
0,25 |
6 |
1,5 |
| Качество товара |
0,15 |
8 |
1,2 |
| Условия платежа |
0,15 |
4 |
0,6 |
| Возможность внеплановых поставок |
0,10 |
7 |
0,7 |
| Финансовое состояние поставщика |
0,05 |
4 |
0,2 |
| ИТОГО: |
1 |
- |
6,3 |
Высчитывается значение рейтинга по каждому критерию путем произведения удельного веса критерия на его экспертную балльную оценку (например, по 10-бальной системе) для данного поставщика. Далее суммируют полученные значения рейтинга по всем критериям и получают итоговый рейтинг для конкретного поставщика. Сравнивая полученные значения рейтинга для разных поставщиков, определяют наилучшего партнера. Если рейтинговая оценка дает одинаковые результаты для двух и более поставщиков по основным критериям, то процедуру повторяют с использованием дополнительных критериев. Но нужно учитывать, что при обращении к потенциальным поставщикам трудно, а иногда практически невозможно, получить объективные данные, необходимые для работы экспертов.
2) Метод оценки затрат . Этот метод иногда называют затратно–коэффициентным методом или «методом миссий». Он заключается в том, что весь исследуемый процесс снабжения делится на несколько возможных вариантов (миссий) и для каждого тщательно рассчитываются все расходы и доходы. В результате получают данные для сравнения и выбора вариантов решений (миссий). Для каждого поставщика рассчитываются все возможные издержки и доходы (при этом учитываются логистические риски). Затем из набора вариантов (миссий) выбирается наиболее выгодный (по критерию общей прибыли).
По существу это – разновидность метода ранжирования (критериев) по стоимости. Метод интересен с точки зрения стоимостной оценки и позволяет определять «стоимость» выбора поставщика. Недостаток метода состоит в том, что он требует большого объема информации и анализа большого объема информации по каждому поставщику.
В качестве примера, можно привести перечень логистических издержек, связанных с закупкой конкретного товара:
· маркетинговые затраты, связанные с изучением конъюнктуры цен на рынке данного товара;
· издержки, связанные с поиском возможных поставщиков и установление с ними деловых контактов (командировки, телефонные переговоры, обработка данных и т.д.);
· издержки, связанные с поиском и получением информации о себестоимости производства аналогичных товаров у разных поставщиков;
· затраты, связанные с анализом качественных показателей товара у разных поставщиков (рекламации, затраты на отбраковку, возможности ремонта или восстановления качественных показателей товара у заказчика и т.д.);
· затраты на грузопереработку, складирование и хранение товаров;
· транспортные расходы поставщика и покупателя, оплата таможенных, экспедиторских, страховых услуг по пути доставки товара;
· затраты на страхование логистических рисков и др.
Все эти элементы затрат необходимо учитывать, оценивать и контролировать.
3) Метод доминирующих характеристик . Метод состоит в сосредоточении на одном выбранном параметре (критерии). Этот параметр может быть: наиболее низкой ценой, наилучшим качеством, графиком поставок, внушающим наибольшее доверие, и т.п.
Преимущество этого метода – в простоте, а недостаток – в игнорировании остальных факторов – критериев отбора.
4) Метод анализа иерархий . В этом случае оценка поставщика, в том числе и выбор способа его оценки, зависит от информации, стекающейся из многих подразделений фирмы. Инженерные службы дают свою оценку способности поставщика производить высокотехнологическую продукцию и могут компетентно судить о ее качестве. Диспетчерская докладывает о сроках доставки закупаемых материальных ресурсов. Производственные отделы – о простоте и удобстве использования материальных ресурсов в производственном процессе. Такой метод подразумевает наличие обширной и разнообразной информации из множества источников, которая позволяет рассматривать каждый фактор наравне с остальными, в то время как для фирмы, возможно, какой-то фактор является ключевым, например, простота использования продукции в производственном процессе.
3.2. Сравнительная оценка методов выбора поставщиков.
Использование того или иного метода выбора поставщиков обусловлено особенностями и требованиями предприятия, дающего оценку потенциальным новым поставщикам.
Если предприятию необходимо сосредоточиться на каком-то одном критерии, то уместно использовать метод доминирующих характеристик. Если имеется в наличии много полезной информации и нужна комплексная оценка поставщика по многим критериям, то подходит метод анализа иерархий. Если среди прочих критериев явным преимуществом обладают один или два критерия, но оценку все равно необходимо дать комплексную, то используем метод рейтинговых оценок. Если же главной интересующей нас стороной являются затраты на поставку, то подойдет метод оценки затрат.
Оценка недостатков и преимуществ каждого метода представлена в Табл.№2.
Таблица №2 .
Сравнительный анализ методов выбора поставщиков .
| Название метода |
Преимущества |
Недостатки |
| Метод рейтинговых оценок |
Простой и быстрый расчет показателей |
Трудно получить объективные данные |
| Метод оценки затрат |
Учитывает все возможные затраты |
Анализ поставщика только с категории затрат |
| Метод доминирующих характеристик |
Простое использование, оценка главного фактора |
Невозможность комплексной оценки поставщиков |
| Метод анализа иерархий |
Комплексная оценка поставщиков |
Сложные расчеты и необходимость большого объема информации |
В нашем случае необходимо представить комплексную оценку потенциальных поставщиков, учитывая как можно больше информации, и выяснить главные критерии в процессе анализа информации, используя как можно меньше информации от самих поставщиков.
Всем заявленным требованиям соответствует метод анализа иерархий. В следующей главе подробно рассмотрим его принципы и необходимые расчеты.
3.3. Использование метода анализа иерархий при выборе поставщиков.
При использовании метода анализа иерархий первоначальными этапами отбора поставщика являются:
· сбор информации и оценка потенциальных источников поставок;
· оценка соответствия потенциальных поставщиков установленным базовым
критериям и формирование перечня потенциальных поставщиков в разрезе закупаемых товарных групп.
В зависимости от содержания процесса снабжения формируется перечень показателей, как качественных, так и количественных, на основе которых оценивается выгодность привлечения того или иного поставщика для выполнения определенных функций. Часть суждений строится на формализуемых и количественно измеримых характеристиках (цена, объем инвестиций и т.п.). Однако конечное решение о выборе поставщика строится также и на основе суждений о множестве факторов, не подлежащих количественному отображению, и тех, формализовать которые представляется затруднительным.
Метод представления суждений в виде числовых значений должен удовлетворять многим критериям. Некоторая неопределенность в суждениях не должна сильно влиять на соответствующее числовое значение, но значительная разница в суждениях должна отражаться значительным разбросом на числовой шкале.
Большинство управленческих решений на предприятии принимается в результате анализа сложившейся ситуации и перспектив с использованием в большей или меньшей мере экспертных оценок. Однако суждения управленцев не всегда состоятельны, то есть невозможно однозначно определить приоритетность и важность объектов.
При числовом попарном сравнении двух поставщиков, предлагающих свою продукцию на приблизительно одинаковых условиях, трудно учесть чувства лица, принимающего решения (ЛПР) и опыт работы (собственный или других фирм) с данными предприятиями. Чтобы представить результат сравнения двух исследуемых контрагентов, требуется точное представление об их деятельности, знание их внутреннего состояния и того, какие характеристики и в какой степени могут повлиять на достижение поставленных перед ними целей.
Сначала составляется иерархия целей и критериев: в вершине иерархии располагается основная цель, далее, на уровень ниже ─ подцели, и, наконец, на самом нижнем уровне ─ альтернативы, среди которых производится выбор и ранжирование. Цель, подцели, альтернативы называются объектами или элементами иерархии. Пример такой иерархии представлен на рис.1.

Рис.1. Иерархия целей для метода анализа иерархий.
Затем проводятся попарные сравнения на каждом уровне иерархии, числовые значения которых заносятся в матрицу попарных сравнений для определения вектора приоритетов. Рассмотрим подробнее процедуру расчета математических показателей для метода анализа иерархий.
3.3.1. Расчет показателей для метода анализа иерархий.
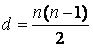
1) Попарные сравнения . В зависимости от количества критериев (n ) определяется
количество необходимых суждений (d ):
![]()
При сравнении критериев говорят об их важности, а при сравнении альтернатив об их предпочтительности.
Выбор оптимальных поставщиков из множества потенциальных (подавших заявку) для заключения контракта на основе числовой шкалы требует предварительного формирования рангов важности (Табл.№3).
Таблица №3.
Определение рангов важности поставщиков.
| Степень |
Определение |
Пояснение |
| 0 |
Участники несравнимы |
Сравнение двух предприятий бессмысленно |
| 1 |
Участники имеют одинаковую значимость для проекта |
Оба предприятия могут внести одинаковый вклад в достижение представленной цели в рамках проекта |
| 3 |
Слабое превосходство одного участника над другим |
Есть некоторые основания предпочесть одно предприятие другому, но их нельзя считать неопровержимыми |
| 5 |
Один существенно выгоднее другого (сильное превосходство) |
Одно из предприятий обладает значительными конкурентными преимуществами |
| 7 |
Очевидная конкурентоспособность участника |
Имеются неопровержимые основания, чтобы предпочесть одно предприятие другому |
| 9 |
Абсолютная значимость участника |
Превосходство одного из предприятий столь очевидно, что не может вызвать ни малейшего сомнения |
Значения 2, 4, 6, 8 соответствуют промежуточным суждениям и используются, когда выбор между двумя соседними нечетными числами вызывает затруднение.
При сравнении элемента с самим собой имеем равную значительность, поэтому главная диагональ матрицы должна состоять из единиц.
2) Нормализованная оценка вектора приоритетов . В математических терминах это вычисление главного собственного вектора, который после нормализации становится вектором приоритетов. Грубые оценки этого вектора могут быть получены следующими
четырьмя способами, которые представлены ниже в порядке увеличения точности оценок: 1. Суммировать элементы каждой строки и нормализовать делением каждой суммы на сумму всех элементов; сумма полученных результатов будет равна единице. Первый элемент результирующего вектора будет приоритетом первого объекта, второй – второго объекта и т. д.
2. Суммировать элементы каждого столбца и получить обратные величины этих сумм. Нормализовать их так, чтобы их сумма равнялась единице, разделить каждую обратную величину на сумму всех обратных величин.
3. Разделить элементы каждого столбца на сумму элементов этого столбца (нормализовать столбец), затем сложить элементы каждой полученной строки и разделить эту сумму на число элементов строки. Это – процесс усреднения по нормализованным столбцам.
4. Умножить n элементов каждой строки и извлечь корень n -й степени. Нормали-
зовать полученные числа.
В наших расчетах будем использовать 3-й способ.
Рассмотрим пример: посчитать вектор приоритетов для следующей матрицы попарных сравнений
| Критерии |
Стоимость поставки |
Наличие СМК |
Оценка качества образцов |
Время доставки |
Обеспечение сохранности продукции |
Широта ассортимента |
| Стоимость поставки |
1 |
1/4 |
1/5 |
1/3 |
2 |
6 |
| Наличие СМК |
4 |
1 |
1/3 |
3 |
4 |
8 |
| Оценка качества образцов |
5 |
3 |
1 |
4 |
5 |
9 |
| Время доставки |
3 |
1/3 |
1/4 |
1 |
3 |
7 |
| Обеспечение сохранности продукции |
1/2 |
1/2 |
1/5 |
1/3 |
1 |
6 |
| Широта ассортимента |
1/6 |
1/8 |
1/9 |
1/7 |
1/6 |
1 |
| Итого |
13,667 |
5,208 |
2,094 |
8,809 |
15,167 |
37 |
Разделив элементы каждого столбца на сумму элементов этого столбца, получим нормализованную матрицу:
| 0,0732 |
0,0480 |
0,0955 |
0,0378 |
0,1319 |
0,1622 |
| 0,2927 |
0,1920 |
0,1590 |
0,3406 |
0,2637 |
0,2162 |
| 0,3658 |
0,5760 |
0,4776 |
0,4541 |
0,3297 |
0,2432 |
| 0,2195 |
0,0639 |
0,1194 |
0,1135 |
0,1978 |
0,1892 |
| 0,0366 |
0,0960 |
0,0955 |
0,0378 |
0,0659 |
0,1622 |
| 0,0122 |
0,0240 |
0,0530 |
0,0162 |
0,0110 |
0,0270 |
Результаты усреднения по нормализованным столбцам:
| Сумма строк |
Вектор приоритетов |
| 0,5485 |
0,0914 |
| 1,4642 |
0,2440 |
| 2,4464 |
0,4077 |
| 0,9033 |
0,1506 |
| 0,4940 |
0,0823 |
| 0,1435 |
0,0239 |
3) Максимальное собственное значение (λmax ). Умножив матрицу попарных сравнений на полученный вектор приоритетов, получим новый вектор. Разделив первую компоненту этого вектора на первую компоненту оценки вектора решения, вторую компоненту нового вектора на вторую компоненту оценки вектора решения и т. д., определим еще один вектор. Разделив сумму компонент этого вектора на число компонент, найдем приближение к числу λmax , используемому для оценки согласованности, отражающей пропорциональность предпочтений. Чем ближе λmax к n , тем более согласован результат.
Для рассматриваемого примера имеем:
| Вектор приоритетов |
Новый вектор 1 |
Новый вектор 2 |
| 0,0914 |
0,5923 |
6,4787 |
| 0,244 |
1,7178 |
7,0392 |
| 0,4077 |
2,8261 |
6,9311 |
| 0,1506 |
1,0224 |
6,7910 |
| 0,0823 |
0,5252 |
6,3795 |
| 0,0239 |
0,1502 |
6,2812 |
Складываем числа в столбце Новый вектор 2 и получаем 39,9008. Таким образом, λmax = 39,9008/6 = 6,6501
4) Полученная матрица должна быть согласована. В общем случае, под согласованностью подразумевается то, что при наличии основного массива необработанных данных все другие данные логически могут быть получены из них.
Например, если объект А1 в 3 раза превосходит объект A2 и в 6 раз превосходит A3,
то A1=3A2 и A1=6A3. Следовательно, 3A2=6A3, или A2=2А3 и A3=1/2A2.
Известно, что согласованность положительной обратно-симметричной матрицы эквивалентна требованию равенства ее максимального собственного значения max λ с n . Можно также оценить отклонение от согласованности разностью max λ − n , разделенной на (n −1) . Заметим, что неравенство max λ ≥ n всегда верно.
Индекс согласованности – отклонение от согласованности, которое выражается формулой:
ИС = (λ max - n )/ ( n -1)
В рассматриваемом примере ИС = (6,6501-6)/5 = 0,13.
5) Случайный индекс – индекс согласованности сгенерированной случайным образом по шкале от 1 до 9 обратно-симметричной матрицы с соответствующими обратными величинами элементов. Рассчитывается по формуле:
СИ = М(ИС)
Значения СИ для матриц порядка от 1 до 15 представлены в Табл.№4.
Таблица №4.
Значения случайного индекса для матрицы попарных сравнений.
| Порядок матрицы |
1 |
2 |
3 |
4 |
5 |
6 |
7 |
8 |
9 |
10 |
11 |
12 |
13 |
14 |
15 |
| Значение СИ |
0,00 |
0,00 |
0,58 |
0,90 |
1,12 |
1,24 |
1,32 |
1,41 |
1,45 |
1,49 |
1,51 |
1,48 |
1,56 |
1,57 |
1,59 |
6) Отношение согласованности - отношение ИС к среднему СИ для матрицы того же порядка. Рассчитывается по формуле:
ОС = ИС/СИ
Для нашего примера ОС = 0,13/1,24 = 0,1049 (10,49%).
Значение ОС, меньшее или равное 0,10, считается приемлемым. В нашем случае ОС приемлемо.
После того, как составлены матрицы попарных сравнений для всех критериев и по каждому поставщику отдельно, проводим аддитивную свертку критериев.
Аддитивный метод свертки критериев предполагает построение интегрального критерия в виде простой или взвешенной суммы локальных критериев:
|
|
где
– весовой коэффициент важности критерия, определяемый экспертным путем,
– рейтинговое число (интегральный критерий) j
-го предприятия.
Таким образом, метод анализа иерархий включает в себя следующие четыре этапа:
Этап 1 . Построение соответствующей иерархии задачи принятия решений.
Этап 2 . Попарное сравнение всех элементов иерархии.
Этап 3 . Устранение несогласованности матриц попарных сравнений (если это необходимо).
Этап 4 . Математическая обработка полученной от ЛПР информации.
Для упрощения процедуры расчетов показателей при использовании метода анализа иерархий будем использовать возможности и диалоговые окна программной системы “MPRIORITY 1.0”.
3.3.2. Использование программной системы “MPRIORITY 1.0” в методе анализа иерархий .
Систему “MPRIORITY” отличает диалоговый интерфейс, адаптированный под особенности метода анализа иерархий и восприятие пользователя. Программа содержит диалоговые средства, позволяющие получать наиболее полную информацию о проведенных попарных сравнениях и устранять возможные несогласованности в матрицах попарных сравнений.
Использование присутствущего в программной системе механизма шаблонов (шаблон – готовая иерархия для одной из задач принятия решений) позволяет пользователю адаптировать программную систему под область своей деятельности.
Представим основные этапы методы анализа иерархий с помощью диалоговых окон программы.
Построение иерархии представлено на рис.1. Матрица попарных сравнений определяется через диалоговое окно качественной шкалы (рис.2).
Установить интенсивность взаимодействия между элементами иерархии или силу, с которой различные элементы одного уровня иерархии влияют на элементы предшествующего уровня можно с помощью матрицы попарных сравнений (рис.3).
После проведения попарных сравнений полученную матрицу можно проверить на согласованность (рис.4).
Следует отметить, что сокращенные наименования частных критериев, целей и альтернатив в программе “MPRIORITY 1.0” всегда можно раскрыть, используя “Комментарии” к элементам иерархии (рис .5).

Рис.2. Диалоговое окно “MPRIORITY 1.0” качественной шкалы МАИ.

Рис.3. Таблица попарных сравнений для иерархии на рис.1.

Рис.4. Диалоговое окно согласованности данных.

Рис.5. Диалоговое окно “Редактирование элемента”.
На рис. 6. представлено диалоговое окно, отражающее итоговый результат проведенных сравнений (претенденты расположены (ранжированы) в порядке уменьшения их значимости для фирмы).

Рис.6. Диалоговое окно итогового результата проведенных сравнений.
Таким образом, в следующем разделе проведем расчеты по методу анализа иерархий с помощью программы “MPRIORITY 1.0” для выбора наилучшего поставщика.
IV. Выбор наилучшего поставщика с помощью метода анализа иерархий.
Для начала необходимо поставить задачу, которую необходимо будет решить в данном разделе.
Исходные условия : предприятию по производству косметической продукции среднего уровня в г.Москва необходимо выбрать нового поставщика жидких отдушек 55 различных видов. Отдушки должны быть по 11 направлениям аромата (морское, травяное, цветочное, фантазийное, фруктовое, шоколадно-молочное, древесное, ванильное, медово-кофейное, цитрусовое, хвойное) и 5 направлениям области применения (кремы, бальзамы, гели, маски и скрабы, лосьоны). Основные особенности сырья: жидкое, хранится при комнатной температуре, в темном помещении, предполагает вакуумную упаковку. Планируется закупить по 5 кг каждого вида сырья, итого получается 275 кг. Имеется возможность самостоятельной отгрузки и транспортировки сырья.
Было отобрано 5 потенциальных новых поставщиков:
1. ООО «РосКосметика» - производитель отдушек для косметики и бытовой химии. Месторасположение: Украина, г.Николаев.(Поставщик 1).
2. Ариэль Космет – дистрибьютер химического сырья для производства косметических препаратов, парфюмерии и средств бытовой химии из Германии, Франции, Голландии и Нидерландов. Месторасположение: Московская обл., Люберецкий р-н, г.Котельники. (Поставщик 2).
3. ООО «Флоресанс-Парфюм» - официальный дистрибьютер французской фирмы «Floressence». Основными направлениями деятельности являются реализация композиций, отдушек, эфирных масел и душистых веществ для производства парфюмерно-косметических изделий и товаров бытовой химии. Месторасположение: Украина, г.Киев. (Поставщик 3).
4. ООО «Тереза Интер» - дистрибьютер французской фирмы «РЕЙНО и ФИС», а также производитель парфюмерных композиций-баз и отдушек для всех видов парфюмерно-косметической продукции и бытовой химии. Месторасположение: г.Москва. (Поставщик 4).
5. ЗАО «Акжера-Ароматика» - производитель сырья и ингредиентов для пищевой и косметической промышленности. Месторасположение: г.Москва. (Поставщик 5).
Оценку поставщиков будем проводить по 6 основным критериям :
1) Стоимость поставки.
2) Наличие системы менеджмента качества (СМК).
3) Оценка качества пробных образцов закупок.
4) Продолжительность доставки.
5) Обеспечение сохранности продукции в процессе отгрузки и транспортировки.
6) Широта предлагаемого ассортимента.
Иерархия целей для нашей задачи представлена на рис.1.
Для составления матрицы попарных сравнений по критериям будем использовать результаты оценки каждого критерия группой из 5 экспертов.
4.1. Экспертная оценка основных критериев выбора поставщиков.
Пяти экспертам в области жидких отдушек для производства косметической продукции предложено оценить по 5-бальной шкале важность каждого критерия. 1б – самая низкая степень важности, 5б – самая высокая степень важности.
Результаты экспертных оценок представлены в Табл.№5.
Таблица №5.
Экспертная оценка критериев выбора поставщиков.
| Критерии |
Эксперт 1 |
Эксперт 2 |
Эксперт 3 |
Эксперт 4 |
Эксперт 5 |
Итого |
| Стоимость поставки |
4 |
3 |
3 |
5 |
5 |
20 |
| Наличие СМК |
5 |
4 |
5 |
5 |
3 |
22 |
| Оценка качества образцов |
5 |
3 |
5 |
5 |
5 |
23 |
| Время доставки |
4 |
5 |
4 |
3 |
5 |
21 |
| Обеспечение сохранности продукции |
5 |
3 |
4 |
4 |
4 |
20 |
| Широта ассортимента |
3 |
5 |
3 |
2 |
3 |
16 |
Разницу в итоговых значениях обозначим Δ. В зависимости от значения Δ будем выставлять ранги важности (Табл.№6).
Таблица №6.
Определение рангов важности для Δ.
| Δ |
Ранг важности |
| 0 |
2 |
| 1 |
3 |
| 2 |
4 |
| 3 |
5 |
| 4 |
6 |
| 5 |
7 |
| 6 |
8 |
| 7 и более |
9 |
На основании вышеописанных данных составим матрицу попарных сравнений основных критериев (Табл.№7).
Таблица №7.
Матрица попарных сравнений критериев оценки поставщиков.
| Критерии |
Стоимость поставки |
Наличие СМК |
Оценка качества образцов |
Время доставки |
Обеспечение сохранности продукции |
Широта ассортимента |
| Стоимость поставки |
1 |
1/4 |
1/5 |
1/3 |
2 |
6 |
| Наличие СМК |
4 |
1 |
1/3 |
3 |
4 |
8 |
| Оценка качества образцов |
5 |
3 |
1 |
4 |
5 |
9 |
| Время доставки |
3 |
1/3 |
1/4 |
1 |
3 |
7 |
| Обеспечение сохранности продукции |
1/2 |
1/2 |
1/5 |
1/3 |
1 |
6 |
| Широта ассортимента |
1/6 |
1/8 |
1/9 |
1/7 |
1/6 |
1 |
| Итого |
13,667 |
5,208 |
2,094 |
8,809 |
15,167 |
37 |
На основании более подробных расчетов, приведенных в главе 2.3.1, представим основные показатели для данной матрицы:
Таблица №8.
Значение вектора приоритетов для Табл.№7.
| Критерий |
Нормализованный собственный вектор |
| Стоимость поставки |
0,091 |
| Наличие СМК |
0,244 |
| Оценка качества образцов |
0,408 |
| Время доставки |
0,151 |
| Обеспечение сохранности продукции |
0,082 |
| Широта ассортимента |
0,024 |
λmax = 6,6501
ИС = (λmax -n)/ (n-1) = (6,6501-6)/5 = 0,13
ОС = ИС/М(ИС) = 0,13/1,24 = 0,1049 (10,49%)
Сравним полученные показатели с расчетом по программе “MPRIORITY 1.0”:

Рис.7. Таблица попарных сравнений и основные показатели для решаемой задачи.
Оценка согласованности в данном случае равна 7,94% по сравнению с 10,49% при самостоятельном расчете. Разница в показателях объясняется тем, что при самостоятельном расчете показатели округляются, и в результате возникает некоторая неточность. Таким образом, полученная матрица попарных сравнений согласована, и мы можем продолжать решение задачи.

Рис.8. Итоговый результат попарных сравнений основных критериев.
Наибольший вес имеет оценка качества пробных образцов закупки (42,1%), далее – наличие СМК (25,33%), время доставки (14,87%) и ее стоимость (8,62%), и, наконец, менее значимые критерии – обеспечение сохранности продукции в процессе отгрузки и транспортировки (6,84%) и широта предлагаемого ассортимента (2,2%).
4.2. Определение приоритетов поставщиков отдельно по каждому критерию.
1. Стоимость поставки . Данный показатель складывается из суммы средней цены на сырье и стоимости доставки. Среднюю цену будем определять исходя из максимальной и минимальной цены на сырье каждого поставщика. Доставка собственным транспортом прибавляет к стоимости поставки 1,5€ (для поставщиков 1 и 3).
Данные по поставщикам представлены в Табл.№9.
Таблица №9.
Стоимость поставки сырья от поставщиков.
| Цена сырья (за 1 кг), € |
Наличие бесплатной доставки |
Стоимость поставки (за 1 кг), € |
|||
| максимальная |
минимальная |
средняя |
|||
| Поставщик 1 |
18 |
8 |
13 |
нет |
14,5 |
| Поставщик 2 |
23 |
10 |
16,5 |
да |
16,5 |
| Поставщик 3 |
20 |
13 |
16,5 |
нет |
18 |
| Поставщик 4 |
25 |
12 |
18,5 |
да |
18,5 |
| Поставщик 5 |
21 |
9 |
15 |
да |
15 |
На основании данных Табл.№9 составим матрицу попарных сравнений по показателю «стоимость поставки».

Рис.9. Таблица попарных сравнений и основные показатели для стоимости поставки.
Оценка согласованности равна 5,69%, т.е. матрица согласована.

Рис.10. Итоговый результат попарных сравнений для стоимости поставки.
Таким образом, по критерию «стоимость поставки» наибольший приоритет имеют Поставщики 5 (43%) и 1 (27,13%).
2. Наличие СМК . Этот показатель определяется по 4 критериям:
1) Располагает ли предприятие сертифицированной системой качества (если «да», то название органа по сертификации)? Планируется ли создание системы качества (если «нет»)?
2) Проводит ли предприятие оценку своих поставщиков?
3) Требует ли предприятие сертификаты на продукцию от своих поставщиков?
4) Проводит ли предприятие контроль закупаемой продукции?
Результаты оценки выбранных поставщиков представлены в Табл.№10.
Таблица №10.
Оценка СМК по каждому поставщику.
| Критерии |
Поставщик 1 |
Поставщик 2 |
Поставщик 3 |
Поставщик 4 |
Поставщик 5 |
| Сертифицированная система качества |
нет, СМК на стадии доработки |
нет, не планируется |
да, ISO 9001:2004 |
да, ГОСТ Р ИСО 17025-2006 |
нет, не планируется |
| Оценка своих поставщиков |
да |
да |
да |
да |
нет |
| Сертификаты на продукцию от своих поставщиков |
да |
да |
да |
да |
да |
| Контроль закупаемой продукции |
Отдел по контролю за качеством входящего сырья |
научно-исследовательская лаборатория, отдел контроля качества |
государственная санитарно-эпидемиологическая экспертиза в МОЗ Украины |
аккредитованная контрольно-аналитическая лаборатория |
нет |
На основании Табл.№10 составим матрицу попарных сравнений для критерия «наличие СМК».

Рис.11. Таблица попарных сравнений и основные показатели для наличия СМК.

Рис.12. Итоговый результат попарных сравнений для наличия СМК.
Таким образом, по критерию наличие СМК приоритет имеют поставщики 4 (44,26%) и 3 (30,93%).
3. Оценка качества пробных образцов. Данный показатель основывается на данных о проведении проверки качества образцов продукции специалистами нашего предприятия. Результаты оценки поставщиков представлены в табл.№11.
Таблица №11.
Результаты оценки качества пробных образцов.
| Критерии |
Поставщик 1 |
Поставщик 2 |
Поставщик 3 |
Поставщик 4 |
Поставщик 5 |
| Предоставило ли предприятие образцы для проведения проверки качества? |
да |
да |
да |
да |
да |
| Результат проверки (1-положительный, 2-имеются устранимые дефекты, 3-отрицательный) |
1 |
2 |
1 |
1 |
2 |
На основании данных Табл.№11 составим матрицу попарных сравнений для наличия СМК.

Рис.13. Таблица попарных сравнений и основные показатели для качества пробных образцов.

Рис.14. Итоговый результат попарных сравнений для качества пробных образцов.
Таким образом, по качеству пробных образцов наименее приоритетными оказались поставщики 2 (5,88%) и 5 (5,88%).
4. Продолжительность доставки . При оценке поставщиков по данному критерию учитывается количество дней с момента заказа, в течение которых сырье будет доставлено предприятию. В случае если доставка осуществляется нашим предприятием, прибавляется еще 3 дня (для поставщиков 1 и 3). Результаты оценки представлены в табл.№12.
Таблица №12.
Продолжительность доставки сырья.
| Поставщик |
Продолжительность доставки, дн. |
| 1 |
10 |
| 2 |
7 |
| 3 |
8 |
| 4 |
6 |
| 5 |
8 |
На основании данных Табл.№12 составим матрицу попарных сравнений для продолжительности доставки.

Рис.15. Таблица попарных сравнений и основные показатели для продолжительности доставки.

Рис.16. Итоговый результат попарных сравнений для продолжительности доставки.
Таким образом, по продолжительности доставки наибольший удельный вес имеют поставщики 4 (41,93%) и 2 (25,26%).
5. Обеспечение сохранности продукции в процессе отгрузки и транспортировки .
Данный показатель будем оценивать по 4-бальной системе:
1б – всегда обеспечивается полная сохранность.
2б – имели место случаи частичного повреждения продукции (не более 5% от общего объема поставок).
3б - имели место случаи сильного повреждения продукции (6-15% от общего объема поставок).
4б – имели место случаи срыва поставки из-за негодности поврежденного сырья (16% и выше от общего объема поставки).
Для поставщиков 1 и 3 ставится 1б, т.к. транспортировка и отгрузка будет осуществляться нашим предприятием. Данные по анализу поставщиков представлены в Табл.№13.
Таблица №13.
Оценка обеспечения сохранности продукции в процессе отгрузки и транспортировки.
| Поставщик |
Бальная оценка |
| 1 |
1 |
| 2 |
2 |
| 3 |
1 |
| 4 |
2 |
| 5 |
3 |
На основании данных Табл.№13 составим матрицу попарных сравнений для обеспечения сохранности продукции в процессе отгрузки и транспортировки.

Рис.17. Таблица попарных сравнений и основные показатели для обеспечения сохранности продукции в процессе отгрузки и транспортировки.

Рис.18. Итоговый результат попарных сравнений для обеспечения сохранности продукции в процессе отгрузки и транспортировки.
Таким образом, по обеспечению сохранности продукции в процессе отгрузки и транспортировки приоритетными являются поставщики 1 (38,43%) и 3 (38,43%).
6. Широта предлагаемого ассортимента . Для производства необходимо закупить 55 различных видов косметических отдушек по 11 направлениям ароматов (в каждом направлении закупается по 5 различных видов):
- морское
- травяное
- цветочное
- фантазийное
- фруктовое
- шоколадно-молочное
- древесное
- ванильное
- медово-кофейное
- цитрусовое
- хвойное.
И по 5 направлениям области применения:
- кремы (дневной, ночной, для рук, для ног, увлажняющий)
- бальзамы
- гели
- маски и скрабы
- лосьоны.
В Табл.№14 представлены результаты оценки соответствия поставщиков требованиям по ассортименту.
Таблица №14.
Соответствие поставщиков требованиям по ассортименту продукции.
| Направление |
Аромат |
Область применения |
| Поставщик 1 |
имеются все необходимые направления |
не выделена |
| Поставщик 2 |
недостаточно отдушек в морском, хвойном, фантазийном и травяном направлениях |
имеются все необходимые направления |
| Поставщик 3 |
не представлены отдушки ванильного и хвойного направления |
имеются все необходимые направления |
| Поставщик 4 |
имеются все необходимые направления |
имеются все необходимые направления |
| Поставщик 5 |
имеются все необходимые направления |
в отдельную группу выделены отдушки только для кремов и гелей |
. На основании данных Табл.№14 составим матрицу попарных сравнений для широты предлагаемого ассортимента.

Рис.19. Таблица попарных сравнений и основные показатели для широты предлагаемого ассортимента.
Рис.20. Итоговый результат попарных сравнений для широты предлагаемого ассортимента.
Таким образом, по широте предлагаемого ассортимента наибольший приоритет имеют поставщики 4 (48,85%) и 5 (21,53%).
Окончательный выбор поставщиков осуществляется на основе результатов аддитивной свертки критериев по каждому из поставщиков и выбора наибольшего значения.
4.3. Определение итоговых результатов выбора наилучшего поставщика.
Для выбора наилучшего поставщика необходимо провести аддитивную свертку критериев по каждому из поставщиков, а затем на основании итоговых приоритетов выбрать наибольшее значение.
Например, для Поставщика 1 итоговый приоритет будет равен:
0,091×0,2713+0,244×0,1426+0,408×0,2941+0,151×0,0504+0,082×0,3843+0,024×0,0762==0,2204 (22,04%)
Аналогично рассчитывается этот показатель для всех остальных поставщиков (Табл.№15).
Таблица №15.
Аддитивная свертка критериев для каждого поставщика.
| Поставщики |
Критерии |
Итоговые приоритеты |
|||||
| Стоимость поставки |
Наличие СМК |
Качество пробных образцов |
Время доставки |
Сохранность в процессе отгрузки и транспортировки |
Широта ассортимента |
||
| Численное значение вектора приоритета |
|||||||
| 0,091 |
0,244 |
0,408 |
0,151 |
0,082 |
0,024 |
||
| РосКосметика |
0,2713 |
0,1426 |
0,2941 |
0,0504 |
0,3843 |
0,0762 |
0,2204 |
| АриэльКосмет |
0,0641 |
0,0716 |
0,0588 |
0,2526 |
0,0991 |
0,1594 |
0,0974 |
| Флорессанс-Парфюм |
0,0918 |
0,3093 |
0,2941 |
0,1387 |
0,3843 |
0,0604 |
0,2577 |
| Тереза-Интер |
0,1425 |
0,4426 |
0,2941 |
0,4193 |
0,0991 |
0,4885 |
0,3241 |
| Акжера-Ароматика |
0,43 |
0,0337 |
0,0588 |
0,1387 |
0,0329 |
0,2153 |
0,1001 |
Таким образом, наилучшим поставщиком оказалось предприятие Тереза-Интер (32,41%), затем следуют Флорессанс-Парфюм (25,77%) и РосКосметика (22,04%), а самыми слабыми из всех оказались Акжера-Ароматика (10,01%) и АриэльКосмет (9,74%).

Рис.21. Итоговые приоритеты поставщиков.
Для поставки жидкой отдушки предприятием по производству косметической продукции среднего уровня в г.Москва будет выбран Поставщик 4 – Тереза-Интер.
Использование метода анализа иерархий позволило в данном случае провести комплексную оценку каждого потенциального нового поставщика по всем отобранным основным критериям с максимально полным использованием всей имеющейся информации.
Заключение.
Снабжение на любом предприятии играет решающую роль, ведь от правильно скоординированного снабжения зависит более 50% финансов организации, возлагая на снабжение большую ответственность за снабжение предприятия сырьём.
Отдел снабжения выступает гарантом поставки материалов хорошего качества, в короткие сроки, нужное место, на выгодных условиях с надёжным поставщиком. Поэтому решаемая в данной работе управленческая задача является не просто важной, а определяющей всю дальнейшую работу предприятия: от снабжения до финансов.
В данной работе были рассмотрены основные методы решения управленческой задачи по выбору поставщиков: метод рейтинговых оценок, метод оценки затрат, метод доминирующих характеристик и метод анализа иерархий. Наиболее подходящим к условиям поставленной задачи оказался метод анализа иерархий. С его помощью удалось определить наилучшего поставщика жидкой отдушки для производителя косметической продукции среднего класса в г.Москва. Это означает, что цель работы достигнута.
При решении управленческих задач с помощью метода анализа иерархий можно самостоятельно производить расчеты или воспользоваться программным приложением. Однако в любом случае необходимы экспертные оценки для составления исходной матрицы попарных сравнений, на основании которой затем происходит расчет основных показателей.
Таким образом, в данной работе была рассмотрена основополагающая проблема любого производственного предприятия – выбор поставщика сырья. Было выяснено, что существует несколько способов решения этой проблемы, и предприятие может выбрать наиболее для него подходящий.
Однако метод анализа иерархий является самым полным и комплексным из всех, что позволяет дать более точную и верную оценку потенциальных новых поставщиков, выбрав все необходимые критерии оценки.
Список используемой литературы.
1. Андрейчиков А.В., Андрейчикова О.Н. Анализ, синтез, планирование решений в экономике. – М.: Финансы и статистика, 2000. – 368с.
2. Белый А.П., Лысенко Ю.Г., Макаров К.Г., Мадых А.А. Комплексные оценки в системе рейтингового управления предприятием. - Донецк: ООО «Юго-Восток Лтд», 2003. – 120с.
3. Головкин Н.Н. Аспекты прикладной логистики: монография. – М.: ИНФРА-М, 2002. – 147с.
4. Кини Р.Л., Райфа Х. принятие решений при многих критериях: предпочтения и замещения. - М.: Радио и связь, 1981.
5. Кучкаров З.А. Теоретические основы и методы проектирования систем организационного управления сложными социально-экономическими структурами.- СПб.: СЗАГС, 2007.
6. Макаров И.М. и др. Теория выбора и принятия решений. - М.: Наука, 1982.
7. Мешалкин В.П. Принципы промышленной логистики. – М.: Генуя, 2002. – 722с.
8. Микони С.В. Теория и практика рационального выбора: Монография. - М.: Маршрут, 2004. - 463 с.
9. Перегудов Ф.И., Тарасенко Ф.П. Введение в системный анализ. - М.: Высшая школа, 1989. - 367 с.
10. Саати Т. Математические модели конфликтных ситуаций. - М., «Сов. радио», 1977. – 304с.
11. Фишберн П.К. Теория полезности. - Ростов-на-Дону, 1970.
12. Чахирева Т.Н. Разработка методики персонального оценивания государственных служащих. - СПб.: СЗАГС, 2002.
13. Шикин Е.В., Чхартишвили А.Г. Математические методы и модели в управлении. -М.: Изд-во "Дело", 2002.
14. http://www.apmath.spbu.ru/ru/staff/morozov/lection8.pdf
15. http://modeling.at.ua/publ/2-1-0-36
16. http://www.tomakechoice.com/mpriority.html
17. http://www.ariel-kosmet.ru/
18. http://www.akjera.ru/
19. http://www.tereza.ru/
20. http://roscosmetic.com/
21. http://floressence.com.ua/
22. http://www.chelbis.ru/netcat/require/s/b/22.html
,