| Скачать .docx | Скачать .pdf |
Реферат: Модели управления материальными потоками предприятия
ВВЕДЕНИЕ
Целью курсовой работы является разработка экономико-математических моделей управления материальными потоками, которые позволят принимать обоснованные управленческие решения для обеспечения финансовой стойкости отдела сырья и топлива.
Объектом исследования является процесс управления финансово-хозяйственной деятельности ОСиТ ОАО «АМК».
Предметом исследования является комплекс экономико-математических методов и моделей управления материальными потоками промышленных предприятий.
Средствами решения поставленных задач будет выступать математический аппарат математического моделирования, выполнение расчетов будет проводиться в Microsoft Excel.
Для получения оптимальных решений и результатов необходимо их обоснование, которое могут дать математические модели. Оптимизация – процесс нахождения наилучшего с точки зрения критерия оптимальности варианта решения задачи из множества допустимых. Методы математического моделирования в анализе деятельности помогают принимать более правильные управленческие решения и позволяют избежать многих ошибок в работе предприятия.
1 АНАЛИЗ ЭФФЕКТИВНОСТИ УПРАВЛЕНИЯ ОСиТ ОАО «АМК»
1.1 Общая характеристика ОСиТ ОАО «АМК»
ОАО Алчевский металлургический комбинат - одно из старейших предприятий юго-востока Украины.
Алчевский металлургический комбинат поставляет свою продукцию на внешний рынок более чем в 60 стран мира.
Алчевская сталь широко используется в судостроении, атомном и химическом машиностроении, для производства газопроводов, локомотивов, тракторов, крепей горных выработок и т.д.
Продукция Алчевского комбината постоянно экспортируется на международных ярмарках и выставках в Германии, Китае, Англии и других странах.
В настоящее время открытое акционерное общество "Алчевский металлургический комбинат" - одно из крупнейших предприятий Украины, которое продолжает обновляться и в своем составе имеет 7 основных цехов: агломерационный, доменный, мартеновский, обжимной, толстолистовой №1, толстолистовой №2, сортопрокатный.
Предприятие акционировано в 1994 году, приватизировано в 1995-м.Юридический адрес предприятия: Луганская область, г. Алчевск, ул. Шмидта, 4.
Так же, как и ОАО "Днепровский металлургический комбинат им.Ф.Дзержинского" и ОАО "Днепропетровский трубный завод", входит в состав корпорации "Индустриальный Союз Донбасса" (ИСД). С производственной мощностью более 10 млн.т стали в год металлургическая группа корпорации пребывает в тройке лидеров сталелитейной промышленности Украины, а также входит в число 30 крупнейших металлургических компаний мира по версии Международного института чугуна и стали.
Для производства конкурентоспособной продукции в лабораториях комбината разрабатывают новые и совершенствуют существующие технологические процессы.
В доменном производстве механизирован участок для получения монолитной наливной футеровки чугуновозных ковшей с применением машины, обеспечивающей приготовление огнеупорной бетонной смеси, подачу и укладку ее в ковш.
Разработана и внедрена в производство машина для скалывания настылей в чугуновозных ковшах с помощью опускающейся фрезы.
В автоматической системе управления весодозированием шихтовых материалов используют микропроцессор, обеспечивающий высокую точность дозирования, автоматический сбор и обработку информации по контролю и управлению работой доменной печи.
В сталеплавильном производстве на мартеновских печах внедрены установка для скачивания шлака и машина для набивного футерования сталеразливочных ковшей, это значительно экономит огнеупоры и облегчает труд рабочих-огнеупорщиков.
В прокатных цехах комбината модернизированы электроприводы прокатных клетей и рольгангов. Это повысило надежность работы электрооборудования и безопасность его обслуживания.
Качество выпускаемой продукции проверяют на участках технологического контроля и в лабораториях комбината, оборудованных различными испытательными машинами, электронно-вычислительной техникой и компьютерами.
Отдел сырья и топлива (ОСиТ) является самостоятельным структурным подразделением ОАО "АМК", возглавляется начальником отдела и находится в непосредственном подчинении заместителя генерального директора по коммерческим вопросам.
В своей деятельности отдел сырья и топлива руководствуется Законами Украины, постановлениями Верховной Рады Украины, Указами и распоряжениями Президента Украины, декретами и распоряжениями Кабинета Министров Украины в области производственно-хозяйственной деятельности, настоящим положением.
Основными задачами отдела сырья и топлива являются:
- Обеспечение необходимыми для производственной деятельности комбината сырьем, топливом, металлоломом, горюче-смазочными материалами, огнеупорной продукцией и другими материалами, входящими в номенклатуру отдела.
- Своевременное и компетентное заключение договоров на обеспечение комбината материальными ресурсами, входящими в номенклатуру отдела
- Контроль за своевременным выполнением поставщиками договоров на поставку материальных ресурсов.
- Организация работы по созданию необходимых производственных запасов материальных ресурсов, входящих в номенклатуру отдела.
В состав отдела сырья и топлива входят следующие подразделения:
– бюро огнеупорной продукции;
– бюро топлива;
– бюро ферросплавов и металлолома;
– бюро экономики и балансов;
– бюро железорудного сырья и флюсов.
На отдел сырья и топлива возлагаются следующие функции:
1. Определение по плановым периодам потребности комбината в сырье, топливе, металлоломе, огнеупорной продукции, ГСМ и других материалах, входящих в номенклатуру отдела, в соответствии с установленными нормами расхода на выполнение производственной программы и для создания необходимых запасов.
2. Своевременное и компетентное заключение договоров на обеспечение комбината сырьем, топливом, металлоломом, огнеупорной продукцией и другими материалами, входящими в номенклатуру отдела, в соответствии с «Положением о порядке заключения договоров (контрактов)».
3. Контроль соответствия платежных реквизитов получателя платежа (номер счета, код ЕГРПУ, юридический адрес, наименование предприятия).
4. Организация работы по расширению прямых хозяйственных связей с поставщиками материальных ресурсов номенклатуры отдела.
5. Сбор необходимой информации о рынках сбыта и изучение конъюнктуры рынка в области ценовой политики по всем видам материальных ресурсов, входящих в номенклатуру отдела, с целью заключения договоров на поставку последних на более выгодных условиях.
6. Контроль за своевременным выполнением поставщиками заключенных договоров на сырье, топливо, огнеупорную продукцию и т.д.
7. Обеспечение поступления сырья, топлива, металлолома, огнеупорной продукции, ГСМ и др. материалов на комбинат в пределах норм, потребности для выполнения производственной программы, а также для создания необходимых производственных запасов с учетом остатков на складах и регулирования в соответствии с изменением хода производственного процесса.
8. Организация количественного контроля поступающих материальных ресурсов; обеспечение проверки на соответствие их качества стандартам и техническим условиям, требованиям санитарных и экологических норм.
9. Участие в разработке норм и нормативов расхода сырья, топлива, огнеупорной продукции и др. материалов на производство и потребности в производственных запасах.
10. Контроль за соблюдением норм запаса сырья, топлива, металлолома, огнеупорной продукции, ГСМ и др. материалов; регулирование необходимых запасов; выявление неиспользуемых, излишних материалов, остатков; разработка и внедрение мероприятий по сокращению сверхнормативных остатков, использованию их на комбинате и реализации.
11. Обеспечение составления графиков отгрузки поставщиками сырья и основных материалов с учетом их равномерного поступления на комбинат.
Разработка годовых и текущих планов по обеспечению материальными ресурсами, входящими в номенклатуру отдела, на основе обоснованных заявок и расчетов структурных подразделений.
12. Осуществление полного, своевременного обеспечения подразделений необходимыми материальными ресурсами надлежащего качества и в соответствии с лимитами.
13. Контроль за правильностью расходования подразделениями в пределах норма расхода отпущенных им материалов.
14. Оперативный контроль по обеспечению цехов основного производства сырьем, топливом, огнеупорной продукцией и др. материалами.
15. Обеспечение контроля за работой складов ЦПП, доменного, мартеновского и других цехов по организации приемки сырья, топлива, металлолома, огнеупорной продукции, ГСМ и др. материалов; движению, хранению, отпуску их; соблюдением работниками складов правил складских операций.
16. Обеспечение соблюдения установленного порядка отпуска и списания материальных ресурсов; проверка и визирование документов на отпуск материалов со складов. Организация учета всех снабженческих операций.
17. Обеспечение учета наличия материальных ресурсов, входящих в номенклатуру отдела, на складах и в пути.
18. Организация работы по сокращению потерь материальных ресурсов в процессе транспортировки, погрузочно-разгрузочных работ и хранения.
19. Обеспечение рационального использования транспорта, не допуская перепростоя вагонов общесетевого парка.
20. Обеспечение учета движения материальных ресурсов на складах; проведения инвентаризаций материальных ресурсов, входящих в номенклатуру отдела.
21. Оформление документов по претензиям к поставщикам за нарушение ими обязательств и условий договора с последующей передачей в юридический отдел; составление заключений по претензиям поставщиков; контроль за предъявлением претензий.
22. Ежеквартальное представление в юридический отдел комбината справки о выполнении договорных обязательств сторонами по договорам (контрактам).
23. Анализ и обеспечение отчетности о выполнении плана по обеспечению комбината материальными ресурсами, входящими в номенклатуру отдела.
24. Внедрение автоматизированной и компьютерной систем в организацию учета и отчетности по материально-техническому снабжению согласно номенклатуры отдела.
25. Разработка должностных инструкций на работников отдела, обеспечение их полноты и качества; контроль за их выполнением.
26. Обеспечение правильной расстановки и использования работников отдела в соответствии с заключенными трудовыми договорами, уровня их профессиональной подготовки, повышения квалификации.
27. Организация работы по соблюдению Кодекса законов о труде Украины, правил внутреннего трудового распорядка, мероприятий по коллективному договору.
28. Представление предложений для включения в проект коллективного договора на планируемый год.
29. Подготовка специалистов для замещения руководящих должностей по ОСиТ и представление в ОК списка резерва на выдвижение.
30. Составление и выполнение графика отпусков по ОСиТ.
31. Составление и своевременное предоставление установленных отчетов, справок и докладов по всем вопросам, связанным с деятельностью отдела.
32. Организация работы по соблюдению Кодекса Законов о труде Украины, правил внутреннего трудового распорядка, мероприятий по коллективному договору.
33. Организация исполнения нормативных документов по охране труда, окружающей природной среды и пожарной безопасности.
Отдела сырья и топлива взаимодействует с такими цехами и отделами:
1. С цехами комбината:
- Получает: заявки на материалы с приложением к ним обоснованных расчетов, уточненные заявки квартальной потребности в течение месяца, предшествующего кварталу; ежемесячные отчеты о движении сырья, м/лома, топлива, ГСМ, огнеупорной продукции; изменения технологии, влияющие на удельный расход сырья, топлива и др. материалов.
- Представляет: сведения о выделенных фондах по заявкам цехов, справки о наличии материалов на складах, другие сведения и справки по вопросам компетенции отдела. Оформляет разрешение на отпуск материалов структурным подразделениям.
2. С производственным отделом:
- Получает: данные о производстве агломерата, чугуна, стали и проката по маркам для обоснования потребности в ферросплавах, железорудном сырье, топливе и др. материалах.
- Представляет: сведения об обеспечении производственной программы сырьем, материалами; сведения о сроках прибытия на комбинат необходимыми материалами.
3. С техническим отделом:
- Получает: нормы расхода сырья, топлива и материалов, утвержденные в установленном порядке и все последующие изменения к ним.
- Представляет: совместно с цехами и службами проект норм расхода сырья и материалов на планируемый период (год, квартал).
4. С финансово-кредитным отделом:
- Получает: счета для акцепта, информацию о неоплаченных счетах с указанием причин; сведения о материалах, находящихся в пути.
- Представляет: заключения по претензиям, заявленным поставщиками, отчетные данные о движении сырья, материалов, топлива и об остатках их на конец месяца; совместно производит сверку по полученной и отправленной продукции.
5. С главной бухгалтерией:
- Получает: счета для акцепта; сведения о материалах в пути, сведения о движении материалов.
- Представляет: заключения по претензиям, заявленным поставщиками; отчетные данные о движении материалов и об остатках их на конец месяца; данные о фактическом исполнении мероприятий по снижению сверхнормативных остатков и материалов в пути.
6. С планово-экономическим отделом (ПЭО):
- Получает сведения об уровне цен на все виды материалов по номенклатуре отдела.
- Представляет договора на получаемые материалы для экономической экспертизы.
7. С юридическим отделом:
- Представляет: проекты договоров и дополнительных соглашений к ним для проверки и визирования; необходимые расчеты и обоснования для предъявления претензий к поставщикам, а также для ведения арбитражных и судебных дел; справки о выполнении договорных обязательств сторонами по договорам (контрактам).
8. С отделом таможенного оформления:
- Представляет документы для оформления растаможивания грузов, поступающих из зарубежья.
9. С отделом внешнеэкономических связей и поставок (ВЭСиП):
- Получает сведения о планируемой прокатке металла.
10. С цехами отдела главного механика (ОГМ) и цехами отдела главного энергетика (ОГЭ):
- Получает: данные о вводе в эксплуатацию нового механического и энергетического оборудования; заявки на смазочные материалы с обоснованными расчетами.
11. С управлением капитального строительства (УКС):
- Получает данные о вводе в эксплуатацию реконструируемых объектов; заявки на материалы с обоснованными расчетами.
Начальник отдела сырья и топлива несет ответственность за:
1) Своевременное обеспечение цехов и служб комбината сырьем, топливом, материалами, находящимися в ведении отдела.
2) Создание неснижаемых нормативных запасов металлургического сырья, топлива, ферросплавов, легирующих элементов и других материалов.
3) Организацию работы по определению потребности цехов и служб комбината в сырье, топливе, огнеупорах, ГСМ и др. материалах на производство и для производственных запасов; разработке норм и нормативов расхода материальных ресурсов.
4) Своевременное поступление сырья, топлива, огнеупоров, ГСМ и других материалов, входящих в номенклатуру отдела, в пределах норм, потребности для выполнения производственной программы и создания необходимых производственных запасов.
5) Осуществление контроля за своевременным выполнением поставщиками условий договоров, заключенных отделом.
6) Своевременное заключение договоров на поставку сырья, топлива, ГСМ, огнеупорной продукции и других материалов, входящих в номенклатуру отдела, в соответствии с «Положением о порядке заключения договоров (контрактов)».
7) Правильный выбор ценовой политики на рынках сбыта на поставку сырья, топлива, огнеупоров, ГСМ и других материальных ресурсов и соответствие цен на входящие материальные ресурсы договорным обязательствам.
8) Своевременное проведение инвентаризаций и переписей товарно-материальных ценностей, правильное отражение их результатов в бухгалтерском учете, составление необходимой отчетности.
9) Обеспечение сохранности материальных ресурсов.
10) Качество и своевременность выполнения возложенных настоящим положением на отдел задач и функций.
11) Исполнение нормативных документов по охране труда, противопожарной защиты.
Степень ответственности других работников устанавливается должностными инструкциями.
1.2 Организационная структура управления ОСиТ ОАО «АМК»
Отдел сырья и топлива подразделяется на 5 бюро: бюро ферросплавов и металлолома, бюро ЖРС и флюсов, бюро топлива, бюро огнеупорной продукции и бюро экономики и балансов. Отделом руководит начальник и два его заместителя: зам. начальника отдела и зам. начальника отдела по огнеупорам, каждый из который курирует определенными направлениями.
В подчинении зам. начальника отдела находятся начальник бюро ферросплавов и металлолома и начальник бюро ЖРС и флюсов. Бюро ферросплавов и металлолома состоит из ведущего инженера, инженера 1 категории и инженера 2 категории. Бюро ЖРС и флюсов состоит из инженеров 1 и 2 категории.
Зам. начальника отдела по огнеупорам заведует также двумя бюро: бюро топлива, который состоит из инженера и инженера 1 категории, и бюро огнеупорной продукции – в состав которого входят инженер и ведущий инженер.
В подчинении начальника отдела сырья и топлива также состоит бюро экономики и балансов. Деятельностью этого бюро занимаются экономист, ведущий экономист, экономист 1 категории и экономист 2 категории.
1.3 Экспресс диагностика финансово-хозяйственной деятельности предприятия
Информационной основой проведения финансового анализа является финансовая бухгалтерская отчетность, представляет собой комплекс взаимосогласованных показателей финансово - хозяйственной деятельности предприятия за отчетный период.
Экспресс-диагностика проводится с целью выявления тенденций изменения состояния предприятия, оценки глубины его несостоятельности и проведения анализа финансового оборота, обеспечивающего хозяйственную деятельность.
На этом этапе будет рассмотрен итог работы комбината за апрель 2008 года.
Таблица 1.1 – Итог работы комбината за апрель 2008 года. Сводная таблица
| Показатели | Ед.изм. | Апрель 2008 | Соотв. период прошл. года | В % к соотв. период прошл. года |
С начала года | Соотв. период прошл. | В % к прошл. период прошл. года | ||||||
| План | Факт | % | +,- | План | Факт | % | +,- | ||||||
| Товарная продукция | тыс. грн | 194430 | 190755,3 | 98,1 | 3674,7 | 181246 | 105,2 | 792843 | 787028,9 | 99,3 | -5814,1 | 650756,7 | 120,9 |
| Товарная продукция в ценах на 01.01.2008 | “ ” | 156220 | 157273,4 | 100,7 | 1053,4 | 186439,1 | 84,4 | 687829 | 684460,5 | 99,5 | -3368,5 | 669935,1 | 102,2 |
| Объем реализации в действ. ценах | “ ” | 212340 | 193032,7 | 90,9 | -19037,5 | 177910,8 | 108,5 | 797520 | 793255,7 | 99,5 | -4268,1 | 665540,4 | 119,2 |
| Фин. результат от основной деят. | “ ” | -8956 | -7772 | 1184 | -364 | -54249 | -9168 | 45081 | -7806 | ||||
| Рез-тат от реализации (по полн. ст-ти) | “ ” | -8956 | -1987 | 6969 | -26 | -54249 | 785 | 55034 | -13318 | ||||
| Затраты на 1 грн. товарной продукции | коп. | 104,5 | 99,74 | 99,61 | 103,21 | 99,59 | 101,54 | ||||||
| Затраты на 1 грн. реализованной продукции | коп. | 104,22 | 101,73 | 99,81 | 106,8 | 99,9 | 101,79 | ||||||
| Агломерат | 293,7 | 294,178 | 100,2 | 0,47 | 342,489 | 85,9 | 1302,7 | 1371,881 | 101,3 | 17,181 | 295,172 | 101,9 | |
| Чугун, всего | 167,850 | 166,75 | 99,3 | -1,095 | 193,185 | 86,3 | 809,65 | 817,08 | 100,9 | 7,434 | 733,014 | 111,5 | |
| в т.ч. товарный | “ ” | 0,485 | |||||||||||
| Сталь, всего | “ ” | 238,34 | 22,56 | 96,3 | -8,7767 | 264,66 | 86,7 | 1092,967 | 1085,87 | 99,4 | -7,0946 | 1008,2507 | 107,7 |
| в т.ч. мартеновская | “ ” | 237,6 | 228,82 | 96,3 | -8,78 | 263,895 | 86,7 | 1089,5 | 1083,2 | 99,4 | -6,399 | 1005,26 | 107,7 |
| Электросталь | “ ” | 0,74 | 0,74 | 100,4 | 0,0033 | 0,76 | 97,0 | 3,468 | 2,77 | 79,9 | -0,69 | 2,9907 | 92,7 |
| Из нее ФЛЦ | “ ” | 0,29 | 0,2888 | 99,4 | -0,0017 | 0,3121 | 92,5 | 1,105 | 1,11 | 100,8 | 0,008 | 1,1707 | 95,1 |
| ЦСД | “ ” | 0,45 | 0,455 | 101,1 | 0,005 | 0,455 | 100 | 2,306 | 1,658 | 70,2 | -0,704 | 1,82 | 91,1 |
| Прокат товарный, всего | “ ” | 201,9 | 202,21 | 100,2 | 0,31 | 237,017 | 85,3 | 886,150 | 882,989 | 99,6 | -3,161 | 840,9 | 105,0 |
| Готовый прокат, всего: | “ ” | 201,9 | 202,21 | 100,2 | 0,31 | 237,017 | 85,3 | 886,150 | 882,989 | 99,6 | -3,161 | 840,9 | 105,0 |
| в т.ч. обжимной цех | “ ” | 0,09 | 0,09 | 1,485 | 6,2 | 0,2 | 0,419 | 209,0 | 0,20 | 6,433 | 6,5 | ||
| ТЛЦ-1 | “ ” | 19,5 | 9,711 | 49,8 | -9,87 | 26,523 | 36,6 | 98,345 | 88,457 | 89,9 | -9,888 | 86,853 | 101,8 |
| ТЛЦ-2 | “ ” | 49,9 | 37,656 | 75,5 | -12,244 | 51,351 | 73,3 | 21,59 | 199,388 | 92,5 | -16,202 | 174,101 | 114,5 |
| Сортопрокатный цех | “ ” | 132,5 | 154,752 | 116,8 | 22,52 | 157,685 | 98,1 | 572,01 | 594,725 | 104 | 22,71 | 573,258 | 103,7 |
| Шары помольные | “ ” | 2,016 | 0,4 | 0,4 | 6,01 | 6,6 | |||||||
| Стальная дробь, упаковка | “ ” | 0,4 | 0,406 | 101,5 | 0,006 | 0,4 | 105,2 | 2,1 | 1,667 | 79,1 | -0,439 | 1,6653 | 99,8 |
| Шлак гранулированный | “ ” | 16,89 | 9,275 | 54,6 | -7,61 | 7,067 | 131,2 | 78,44 | 38,622 | 49,2 | -39,818 | 34,29 | 1112,6 |
| Шлак для дорож. строит-ва | “ ” | 11,727 | 11,7211,277 | 100 | 9,611 | 122 | 36,375 | 36,375 | 100 | 59,785 | 6,8 | ||
| Товары народ. потреб. | т. грн | 24,3 | 30,93,9 | 127,2 | 6,6 | 133,4 | 23,2 | 92,3 | 61,7 | 66,4 | -31,2 | 511,5 | 12,1 |
Среднесписочная чис-ленность трудящихся |
чел. | 20586 | 20701 | 100,6 | 115 | 21516 | 96,2 | 20764 | 20813 | 100,2 | 49 | 21551 | 96,6 |
| В т.ч численность ППП | чел. | 19519 | 18932 | 97,0 | -587 | 1931 | 98,0 | 19556 | 18934 | 96,8 | -622 | 19318 | 98,0 |
| Произв. труда на 1 трудящегося ППП | грн/чел | 8003,5 | 8307,3 | 103,8 | 303,8 | 9652,1 | 86,1 | 35172,3 | 36149,8 | 102,8 | 977,5 | 34679,3 | 104,2 |
| Среднемес. заработная плата | грн | 710,7 | 711,2 | 100,1 | 0,5 | 549,7 | 129,4 | 707,2 | 697,3 | 98,6 | -9,9 | 539,7 | 129,2 |
| Потери от брака | % | 0,14 | 0,09 | 0,12 | 0,08 | ||||||||
| Потери от брака | тыс. грн | 264,923 | 156,945 | 899,769 | 530,108 | ||||||||
Для расчетов за импортируемое из России сырье, комбинат пользовался кредитами в свободно конвертируемой валюте. В отчетный период получено кредитов на сумму 3695042 долларов США, погашено на сумму 728767 долларов США. Задолженность по состоянию на 01.05.2008 с учетом остатка на начало года, составила 2966275 долларов США. С началом года уплачено процентов за пользование валютным кредитом на сумму 41211 долларов США.
Кроме того, для расчетов за энергоносители, сырье, материалы, комбинат пользовался кредитами в национальной валюте. За отчетный период получено кредитов на сумм 53341,5 тыс. грн., погашено на сумму 36089,3 тыс. грн. По состоянию на 01.05. 2008 с учетом остатка на начало года, задолженность по кредитам составила 43637,9 тыс. грн. С началом года уплачено процентов за пользование кредитом на сумму 1444,0 тыс. грн.
2 ЭКОНОМИКО-МАТЕМАТИЧЕСКИЕ МОДЕЛИ УПРАВЛЕНИЯ МАТЕРИАЛЬНЫМИ ПОТОКАМИ ОСиТ ОАО «АМК»
2.1 Воронкообразная модель логистической системы
Управление движением материальных потоков в производстве может осуществляться с использованием модели «воронки». «Воронка» служит для упрощенного описания процесса движения материальных потоков в отдельных звеньях логистической цепи. В качестве реального объекта модели могут выступать: цех, участок, рабочее место, система складов или транспортная система.
Принципиальная схема прохождения материальных потоков через воронку представлена на рис 2.2.1

Рис. 2.1 - Воронкообразная модель логистической системы
Поступающие в воронку заказы изображены на рисунке в виде шаров различной величины. Объем шара соответствует трудоемкости заказа. Система имеет максимальную пропускную способность (мощность), которая достигается при условии рационального планирования материальных потоков (распределения заказов по отрезкам планового периода и формирования очередности выполнения работ). Процесс поступления и выбытия заказов изображается в виде ломаной линии «запуска» или «выпуска». Средняя длительность цикла заказа устанавливается исходя из объема незавершенного производства и реальной пропускной способности системы по формуле:

где
– средняя длительность цикла выполнения заказа;
– средняя величина незавершенного производства;
Nср – усредненное число выполненных заказов в единицу времени.
Последовательность прохождения заказов через звенья логистической цепи устанавливается с помощью правил распределения работ (обслуживания заказов), предписывающих те или иные приоритеты при выполнении работ. В практике управления материальными потоками используются правила приоритетов, позволяющие сократить время ожидания и среднюю длительность цикла выполнения заказа:
FIFO: «первый пришел – первый ушел», т.е. наивысший приоритет придается заказу, который раньше других поступил в систему;
LIFO: «последний пришел – первый обслужен», т.е. наивысший приоритет придается заказу, поступившему на обслуживание последним. Это правило наиболее часто применяется в системах складирования в тех случаях, когда материалы уложены таким образом, что достать их можно только сверху;
SPT: «правило кратчайшей операции», наивысший приоритет придается заказу с наименьшей длительностью выполнения в данном звене. В тех случаях, когда целью управления материальными потоками является обеспечение установленных сроков поставки, используются правила управления, учитывающие информацию о времени выполнения заказов:
MST: «минимальный резерв времени», наивысший приоритет придается заказу, имеющему наименьшее резервное время. Резервное время определяется как разность между сроком выполнения заказа и сроком, к которому заказ может быть выполнен при отсутствии межоперационного пролеживания;
EDD: «наиболее ранний срок исполнения», т.е. наивысший приоритет придается заказу с наиболее ранним сроком выполнения.
2.2 Выталкивающая и вытягивающая модели управления
Управление материальными потоками в рамках внутрипроизводственных логистических систем может осуществляться двумя принципиально различными способами: путем «выталкивания» или «вытягивания» заказа.
Выталкивающая система управления материальными потоками основана на прогнозировании размера запасов сырья, материалов, деталей для каждого звена логистической цепи. Исходя из этого прогноза, осуществляется управление всем многоэтапным процессом производства путем обеспечения оправданного объема материального запаса на каждой стадии обработки. При данной системе управления материальными потоками предметы труда перемещаются с одного участка на другой (следующий по технологическому процессу) независимо от его готовности к обработке и потребности в этих деталях, т.е. без наличия соответствующего заказа. Материальный поток как бы «выталкивается» получателю по команде, поступающей из центральной системы управления производством (рис 2.2).

Рис. 2.2 - Выталкивающая система управления материальными потоками
Такой способ управления материальными потоками позволяет увязать сложный производственный механизм в единую систему и максимально задействовать рабочих и оборудование в производстве. Однако в случае резкого изменения спроса использование «выталкивающей» системы приводит к созданию избыточного запаса и «затовариванию» из-за отсутствия возможности «перепланирования» производства для каждой стадии.
Вытягивающая система предполагает сохранение минимального уровня запасов на каждом этапе производства и движения заказа от последующего участка к предыдущему. Последующий участок заказывает материал в соответствии с нормой и временем потребления своих изделий. План-график работы устанавливается только для участка (цеха)-потребителя. Участок-производитель не имеет конкретного графика и плана и работает в соответствии с поступившим заказом. Таким образом изготавливаются только те детали, которые реально нужны и только тогда, когда в этом возникает необходимость.
Рассмотрим механизм функционирования вытягивающей системы управления материальными потоками (рис. 2.2.5). Допустим, предприятие получило заказ на изготовление 10 ед. изделий. Этот заказ система управления передает в цех сборки. Цех сборки для выполнения заказа запрашивает 10 деталей из цеха № 1. Передав из своего запаса 10 деталей, цех № 1 с целью восполнения запаса заказывает у цеха № 2 10 заготовок. В свою очередь, цех № 2, передав 10 заготовок, заказывает на складе сырья материалы для изготовления такого же количества заготовок, также с целью восстановления запаса. Таким образом, материальный поток «вытягивается» каждым последующим звеном.
Второй вариант организации логистических процессов на производстве основан на принципиально ином способе управления материальным потоком. Он носит название «тянущая система» * и представляет собой систему организации производства, в которой детали и полуфабрикаты подаются на последующую технологическую операцию с предыдущей по мере необходимости.
Здесь центральная система управления не вмешивается в обмен материальными потоками между различными участками предприятия, не устанавливает для них текущих производственных заданий. Производственная программа отдельного технологического звена определяется размером заказа последующего звена. Центральная система управления ставит задачу лишь перед конечным звеном производственной технологической цепи.
Преимуществом «тянущих» (вытягивающих) систем является то, что они не требуют общей компьютеризации производства. В то же время они предусматривают высокую дисциплину и соблюдение всех параметров поставок, а также повышенную ответственность персонала всех уровней, особенно исполнителей. Это объясняется тем, что централизованное регулирование производственных процессов ограничено.
Основными целыми «тянущих» (вытягивающих) систем являются:
– предупреждение распространения растущих колебаний спроса или объема продукции от следующего процесса к предыдущему;
– сведение к минимуму колебаний параметров запасов между технологическими операциями;
– максимальное упрощение управления запасами в процессе производства путем его децентрализации, повышения уровня оперативного цехового управления.
К «тянущим» логистическим системам относятся системы KANBAN и ОПТ.
Система KANBAN не требует тотальной компьютеризации производства, однако она предполагает высокую дисциплину поставок, а также высокую ответственность персонала, так как централизованное регулирование внутрипроизводственного логистического процесса ограничено.

Рис 2.3 - Тянущая система управления материальным потоком в рамках внутрипроизводственной логистической системы
В сфере обращения широко используются как толкающие системы, так и тянущие. На стадии закупок они формируют системы управления материальными потоками с децентрализованным процессом принятия решений при пополнении запасов. При реализации готовой продукции «тянущая» (вытягивающая) система выступает стратегией сбыта, направленной на опережающее по отношению к формированию запасов стимулирование спроса на продукцию в оптовом и розничном торговом звене.
3 КОМПЛЕКС МАТЕМАТИЧЕСКИХ МОДЕЛЕЙ УПРАВЛЕНИЯ МАТЕРИАЛЬНЫМИ ПОТОКАМИ ОСиТ ОАО «АМК»
3.1 АВС-анализ
АВС-анализ является одним из методов рационализации, который может использоваться во всех функциональных сферах деятельности предприятия. АВС-анализ позволяет:
- выделить наиболее существенные направления деятельности;
- направить деловую активность в сферу повышенной экономической значимости и одновременно снизить затраты в других сферах за счет устранения излишних функций и видов работ;
- повысить эффективность организационных и управленческих решений благодаря их целевой ориентации.
В управлении материальными потоками с помощью АВС-анализа устанавливаются и изучаются соотношения и зависимости следующих факторов:
- количество и стоимость приобретенных материалов по отдельным позициям и группам;
- количество и стоимость израсходованных материалов по отдельным позициям и группам;
- количество счетов, выставленных поставщиками, и размеры оплаты по этим счетам;
- количество поставщиков и размеры их оборота;
- количество и стоимость отдельных материалов в рамках стоимостного анализа.
При дифференцированном подходе к организации закупок и управлению складскими запасами ABC-анализ позволяет добиться существенного снижения затрат.
Для повышения эффективности принимаемых решений необходим индивидуальный подход к определению сроков и размеров заказа по каждому материалу. Поскольку такой метод связан с большими затратами времени, его целесообразно использовать только там, где он приносит наибольший эффект. Иными словами, нерационально уделять позициям, играющим незначительную роль в производстве, то же внимание, что и материалам первостепенной важности. Это получившее широкое признание положение известно как принцип Парето. Суть его состоит в том, что на несколько изделий из всей совокупности производимых, продаваемых, покупаемых или хранимых изделий приходится значительная часть расходуемых или приобретаемых ресурсов. Применительно к политике материальных запасов последнее означает, что на ограниченное число поставок приходится основная масса используемых материалов.
3.1.1 Распределение ABC
В зависимости от затрат материальные запасы подразделяются на три класса: А, В и С. На рис. 3.3.1 дано характерное распределение материальных запасов на отдельные классы по их удельному весу в общих издержках на материалы. Полученная кривая распределения названа по имени Лоренца, который в 1905 г. с помощью таких кривых графически интерпретировал различия в распределении доходов.

Рис. 3.3.1. Распределение АВС
ABC-анализ показывает значение каждой группы материалов и помогает обратить внимание на основные.
Материалы класса А – это немногочисленные, но важнейшие материалы, на которые приходится большая часть денежных средств (около 75%), вложенных в запасы.
Материалы класса В относятся к второстепенным и требуют меньшего внимания, чем материалы класса А. С приобретением материалов класса В связано примерно 20% денежных средств.
Материалы класса С составляют значительную часть в номенклатуре используемых материалов, но недороги, на них приходится наименьшая часть вложений в запасы – 5%.
3.1.2 Техника АВС-анализа
Для проведения ABC-анализа необходимо:
- установить стоимость каждого наименования материала (для покупных деталей принимаются цены поставщика);
- расположить материалы по мере убывания издержек;
- суммировать данные о количестве и издержках на материалы и нанести их на схему;
- разбить материалы на группы в зависимости от их удельного веса в общих издержках. Поскольку 75% затрат приходится на 10-15% всех материалов, то наиболее тщательный контроль осуществляется в отношении именно этой группы.
Контроль и регулирование запасов осуществляются по-разному в зависимости от класса материала. Ниже приводится перечень операций, которые проводятся с материальными запасами.
Материалы класса А. Тщательно определяются размеры и моменты выдачи заказов. Величина затрат на выдачу и оформление заказов, хранение материалов пересматриваются каждый раз при размещении очередного заказа. Устанавливается строгий контроль и регулирование запасов, а также контроль за расчетом периода опережения.
Материалы класса В. Определяются экономичные размеры и момент выдачи повторного заказа. Осуществляется обычный контроль и сбор информации о запасах, что позволяет своевременно обнаружить основные изменения в использовании материальных запасов.
Материалы класса С. Никаких расчетов не производится. Размер повторного заказа устанавливается таким образом, чтобы поставки осуществлять в течение 1-2 лет. Пополнение запасов регистрируется, но текущий учет уровня запасов не ведется. Проверка наличных запасов проводится периодически один раз в год. Ход выполнения поставщиком обязательств по поставке материалов класса А и В контролируется путем создания непрерывной или периодической системы учета запасов.
Предприятие использует около 200 наименований различных материалов. В табл. 3.3.1 приведены данные, характеризующие прямые издержки по закупке для семи наименований материалов.
Таблица 3.1.1 - Издержки при закупке
| Материал | Удельный вес в общем количестве наименований, % |
Годовая потребность,ед. |
Цена ден. ед. |
Издержки по закупкам тыс. ден. ед. |
Издержки по закупкам нарастающим итогом, тыс. ден. ед. |
Удельный вес в общих издержках,% | Класс мате- риала |
| Ферросицилий | 14,20 | 650000 | 1100 | 715000 | 715000 | 66,42 | А |
| Ферромарганец | 28,57 | 35000 | 6000 | 210000 | 925000 | 85,92 | В |
| Медь | 42,86 | 40000 | 1650 | 66000 | 991000 | 92,05 | В |
| Никель | 57,14 | 95000 | 300 | 28500 | 1019500 | 94,7 | С |
| Алюминий | 71,42 | 30000 | 900 | 27000 | 1046500 | 97,20 | С |
| Феррохром | 85,71 | 82000 | 250 | 20500 | 1067500 | 99,16 | С |
| Аглоруда | 100,0 | 8000 | 1200 | 9600 | 1076600 | 100,0 | С |
Информация, содержащаяся в табл. 3.1.1, получена следующим образом.
Рассчитан годовой оборот по каждому наименованию материала. Он определен путем умножения закупочных цен на количество единиц материала, потребляемых в течение года.
Все позиции материала распределены по мере убывания годового оборота.
Всем позициям присвоены порядковые номера, не зависящие от номенклатурных.
Годовые обороты просчитаны нарастающим итогом, поэтому, например, материалу с порядковым номером 5 соответствует суммарный годовой оборот по первым пяти позициям.
Рассчитана процентная доля годового оборота нарастающим итогом и процентное отношение порядкового номера к общему количеству наименований материалов.
Из табл. 3.1.1 видно, что большая часть издержек связана с закупкой трех наименований материалов. Результаты ABC представлены в табл. 3.1.2. Графически они интерпретируются кривой Лоренца (рис. 3.1.2). Из графика видно, что примерно 66% издержек приходится на 14% от общего количества материалов и только 8% – на материалы, составляющие 57% в общем количестве.

Рис. 3.1.2 - Кривая Лоренца
Таблица 3.1.2 - Результаты АВС-анализа
Класс мате риала |
Количество наименований материалов | Удельный вес в общем количестве наименований, % |
Издержки по закупкам, тыс. ден. ед. |
Удельный вес в общих издержках,% |
| А | 1 | 14,29 | 715000 | 66,42 |
| В | 2 | 28,58 | 276000 | 25,64 |
| С | 4 | 57,13 | 85600 | 7,94 |
| Итого | 7 | 100 | 1076600 | 100 |
3.2 XYZ-анализ
XYZ-анализ материалов предполагает оценку их значимости в зависимости от частоты потребления. Если рассматривать потребление отдельных видов материалов в течение длительного периода, то можно установить, что в их числе есть материалы, имеющие постоянный и стабильный спрос; материалы, расход которых подвержен определенным, например сезонным, колебаниям, и, наконец, материалы, расход которых носит случайный характер. Поэтому в пределах каждого из классов А, В и С материалы могут быть распределены еще и по степени прогнозируемости их расхода. Для такой классификации используются символы X, Y, Z.
К классу X относятся материалы, спрос на которые имеет постоянный характер или подвержен случайным незначительным колебаниям, поэтому поддается прогнозированию с высокой точностью. Удельный вес таких материалов в общей номенклатуре, как правило, не превышает 50-55%.
К классу У относятся материалы, потребление которых осуществляется периодически либо имеет характер падающей или восходящей тенденции. Их прогнозирование возможно со средней степенью точности. Их удельный вес в общей номенклатуре составляет около 30%.
К классу Z относятся материалы, для которых нельзя выявить какой-либо закономерности потребления. По этой причине прогнозирование их расхода невозможно (они составляют 15%) общей номенклатуры).
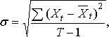
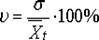
В качестве показателя, характеризующего возможные колебания в потреблении материалов, может использоваться коэффициент вариации:
(3.3.1)
Где:
– стандартное отклонение, определяющее степень фактического расхода материала в течение анализируемого периода относительно средней величины;
– средняя величина расходования материала;
(3.3.2)
Где:
Xt – фактический расход материала в t-м периоде;
T – число наблюдаемых периодов.
Спрос на материал в течение периода изменяется незначительно. Определим коэффициент вариации спроса, используя данные табл. 3.2.3.
Таблица 3.2.3 - Спрос на материал
| Количество расходуемого материала, ед. | Периоды | |||
| 2000 | I квартал | 25 | 625 | |
| 1800 | II квартал | 1975 | -175 | 30625 |
| 2100 | III квартал | 125 | 15625 | |
| 2000 | IV квартал | 0 | 0 | |
| 7900 | 4 | 46875 |
,

.
Практика расходования материалов с разной степенью предсказуемости спроса позволила установить границы изменения коэффициентов вариации по классам X, Y и Z в зависимости от удельного веса конкретной позиции материала в общей номенклатуре.
Графическая интерпретация XYZ распределения материалов представлена на рис. 3.2.2.

Рис. 3.2.2 - Распределение материалов по методу XYZ
3.2.1 Техника XYZ-анализа
Для проведения XYZ-анализа необходимо:
- установить средний расход каждого вида материала с учетом колебания потребности в них по периодам, это могут быть, например, сезонные колебания;
- рассчитать коэффициент вариации по каждой номенклатурной позиции;
- расположить материалы по мере убывания коэффициентов вариации;
- суммировать данные о количестве материалов в соответствии с возрастанием коэффициентов вариации, нанести их на схему;
- разбить материалы на группы в зависимости от вариации спроса.
Результатом XYZ-анализа является построение кривой Лоренца. Рассмотрим технику проведения XYZ-анализа на следующем примере.
Воспользуемся данными примера 3.3.1. Допустим, что предприятие использует около 200 наименований материалов, спрос на которые носит различный характер. В табл. 3.3.4 приведены данные, характеризующие интенсивность расходования по семи номенклатурным позициям.
Таблица 3.2.1 - Распределение материалов в порядке убывания коэффициентов вариации
| Материал | Уд. вес в общем количестве наименований, % |
Среднемесячное потребление, ед. | Стандартное отклонение | Вариация потребле-ния, % | Вариация потребления нарастающим итогом, % | Класс материа-ла |
| Ферросици-лий | 14,20 | 500 | 3016,1 | 120,6 | 164,77 | Z |
| Ферромарганец | 28,57 | 3333 | 805,58 | 24,17 | 44,19 | Y |
| Медь | 42,86 | 7917 | 1402,8 | 17,72 | 20,02 | Y |
| Никель | 57,14 | 667 | 5,78 | 0,86 | 2,3 | X |
| Алюминий | 71,42 | 2917 | 23,09 | 0,79 | 1,44 | X |
| Феррохром | 85,71 | 68,33 | 24,62 | 0,36 | 0,65 | X |
| Аглоруда | 100,0 | 54,167 | 159,9 | 0,29 | 0,29 | X |
Таблица построена следующим образом.
Рассчитано среднемесячное потребление по данным о расходовании материалов в предплановом периоде.
Определены стандартное отклонение и вариация потребления по каждому наименованию материала.
Все материалы распределены по мере убывания коэффициентов вариации.
Проведено суммирование материалов в соответствии с возрастанием коэффициентов вариации.
Результаты XYZ-анализа представлены в табл. 3.3.2 и показаны графически на рис. 3.2.3.
Таблица 3.3.2 - Результаты XYZ-анализа
Класс материала |
Количество наименований материала | Удельный вес в общем количестве наименований, % |
Вариация потребления, % |
| X | 4 | 57,13 | 2,3 |
| Y | 2 | 28,57 | 41,89 |
| Z | 1 | 14,29 | 120,6 |

Рис. 3.2.3 - Кривая Лоренца
XYZ-анализ служит вспомогательным средством при подготовке решений по совершенствованию планирования материального обеспечения производства.
Для материалов класса X можно рекомендовать закупки в соответствии с плановой потребностью синхронному их расходу в производстве, для класса Y – создание запасов, а для класса Z – приобретение по мере возникновения потребности.
ЗАКЛЮЧЕНИЕ
Целью данной курсовой работы являлось разработка экономико-математических моделей управления материальными потоками, которые позволят принимать обоснованные управленческие решения для обеспечения финансовой стойкости отдела сырья и топлива.
В данной работе мы рассмотрели подходы к управлению материальных потоков, а также воронкообразная модель.
Для отдела сырья и топлива были применимы АВС-анализ и XYZ-анализ.
Была рассмотрена финансовая отчетность предприятия, что дает возможность увидеть, как работает предприятие, какие проблемы в его деятельности надо решить и что можно улучшить.
ПЕРЕЧЕНЬ ССЫЛОК
1. Глухов В.В., Медников М.Д., Коробко С. В. Математические методы и модели для менеджмента. – СПб.: Изд-во "Лань", 2000. – 480 с.
2. Современная логистика, 7-е издание: Пер. с англ. – М.: Издательский дом «Вильямс», 2004. – 642с.: с ил. – Парал. тит. англ.
3. Ельдештейн Ю.М. Логистика. Учебник/ Ю.М. Ельдештейн. - Красноярск: КГАУ, 2006.
4. Методичні вказівки до виконання курсової роботи з дисципліни «Математичні моделі в менеджменті та маркетингу» (для студ. 5 курсу спец. 7.050102 «Економічна кібернетика» усіх форм навчання) / Укл. Л.П. Якимова. – Алчевськ: ДонДТУ, 2009. – 31 с.