| Похожие рефераты | Скачать .docx | Скачать .pdf |
Реферат: Экономическая целесообразность применения фотоэпиляции в салонах красоты различного класса
Содержание
Стр.
Введение 3-8
Глава 1. Рынок косметических услуг и его характеристики 9-30
1.1. Понятие рынка. 9
1.2. Сегменты рынка. Рынок косметических услуг. 10-11
1.3. Сегментирование потребителей косметических услуг. 11-20
1.4. Классификация предприятий индустрии красоты. 20-30
Глава 2. Экономические показатели услуг, оказываемых
Посетителям салонов красоты и методики их расчета. 31-62
2.1. Прогнозирование рыночных тенденций. 31-37
2.2. Анализ тенденций развития предприятия. 37-42
2.3. Комплексная оценка услуги. 42-52
2.4. Методы прогнозирования объема продаж. 52-62
Глава 3. Экономическая целесообразность применения
фотоэпиляции в салонах красоты различного класса. 63-77
Заключение 78-81
Введение
Вы решили всерьез заняться собой? Куда пойти? В обычную парикмахерскую или в модный салон? И чем принципиально они отличаются друг от друга? Кто и как часто пользуется этими услугами? Какие из них наиболее популярны? Ответить на эти и другие вопросы нам помогут результаты исследований и мнения экспертов.
Еще лет пятнадцать назад понятие «салон красоты» большинство из наших сограждан связывали с дорогими парикмахерскими, которые существуют лишь для обслуживания населения в особых случаях, например накануне свадьбы. А те отдельные личности, которые позволяли себе посещать их чаще, вызывали откровенную неприязнь – мол, у нормального советского человека таких денег быть не может («наши люди на такси в булочную не ездят!»). Уделом большинства были скромные парикмахерские с минимумом услуг (стрижка и окрашивание волос, маникюр и педикюр), и составлявшие предмет гордости женщин собственные косметические секреты домашнего ухода.
Тем не менее парикмахерские услуги пользовались популярностью и были доступны практически каждому. В конце восьмидесятых в СССР насчитывалось примерно 64 тысячи парикмахерских, имевших в общей сложности 210 тысяч рабочих мест.
Времена изменились. Сегодня точное количество салонов и парикмахерских в России не берется назвать никто, но, по данным столичного Департамента потребительского рынка и услуг, в этой сфере бытового обслуживания число предприятий, работников и оборот услуг не уменьшается.
Теперь услугами предприятий красоты регулярно пользуются чуть более половины взрослых россиян. При этом, по данным Comcon-Pharma, 41% из них посещает парикмахерские и салоны раз в два-три месяца, а каждый третий – ежемесячно. Но удивительно то, что наиболее активные потребители парикмахерских и косметических услуг, оказывается, живут не в столицах! К примеру, более 16% жителей Дальнего Востока посещают салоны красоты 2-3 раза в месяц, а вот среди москвичей таковых оказалось всего 5,7%, среди питерцев – 2,4%. Причиной этому может служить в первую очередь дороговизна услуг, особенно в Москве, по сравнению с регионами.
Не менее интересно и то, что мужчины несколько преобладают в числе потребителей услуг индустрии красоты (51,3%) над представительницами прекрасного пола (48,7%).
Наиболее популярными остаются традиционные для нашей страны услуги из «парикмахерского» прошлого – стрижка, укладка, окрашивание и химзавивка волос, маникюр и педикюр. Их предпочитают более 72% россиян, пользующихся услугами предприятий красоты. Что же касается таких косметических услуг, как чистка лица, наложение масок, эпиляция и массаж, то, по данным Comcon-Pharma, к ним прибегают всего 2,8%.
По данным Ассоциации «Старая Крепость», в 2002 году объем российского рынка косметических услуг достиг почти 1,8 млрд долл., а их потребление на душу населения составило примерно 12 долл. Для сравнения: этот показатель составляет в Германии около 69 долл., а в Испании – 115 долл. Конечно, между элитным столичным центром красоты и районной парикмахерской существует весьма заметная разница и в цене, и в ассортименте. Так, средняя цена услуги может отличаться в 6-10 раз. А значит, говоря об «услугах салонов красоты» нужно четко понимать, о чем идет речь.
Услуги в салонах красоты должны отвечать некоторым требованиям, общим для всех организаций, оказывающих эти услуги. Обязательными требованиями являются - высокое качество оказания услуги; эффективность той или иной процедуры; высокая квалификация специалистов, оказывающих услугу и др.
Сегодня на рынке косметических услуг существует большое количество услуг, отвечающих этим требованиям. Одной из них является не так давно появившаяся услуга – фотоэпиляция.
Совсем недавно на косметологическом рынке появились световые методы эпиляции (лазерная эпиляция и фотоэпиляция). Монотонные ручные процедуры удаления волос сменились относительно быстрыми аппаратными, оснащенными компьютерами. Стремительной популярности световых методов эпиляции способствовало их эффективность, отсутствие контакта и как следствие устранение риска инфицирования, что в нынешнее время немаловажно. Первой появилась лазерная эпиляция. Однако узкий спектр ее применения (аппараты работают на фиксированной длине волны) дает возможность удаления лишь черных и темно-коричневых волос на белой коже) и как следствие - многие пациенты так и не получили избавления от своих косметологических проблем, их решило лишь появление фотоэпиляции. Физический принцип действия фотоэпиляции отличается от лазерной. Действие фотоэпиляции основано на теории селективного фототермолиза. Базовый принцип этой теории заключается в селективном поглощении света стержнями и луковицами волос, приводящем к термической деструкции (т.е. разрушению) волосяного фолликула, при относительной индифферентности к проводимому облучению со стороны других структур кожи. Интенсивные световые импульсы генерируются в широком спектре - от 500 до 1200 нм, перекрывая видимый и ближний инфракрасный диапазоны длин волн, то есть в области сильного поглощения света меланином (основной пигмент волос и волосяных фолликулов). Световой поток излучается одиночными сериями до 5 последовательных импульсов длительностью в 2-5 мсек.. В промежутках между импульсами происходит охлаждение нагретой кожи специальными приспособлениями, которыми оборудованы современные косметологические аппараты. Процедура практически безболезненная, некоторые ощущают покалывание, но оно быстро проходит. После процедуры на обработанную кожу наносят смягчающий аэрозоль или крем.
Фотоэпиляция – это метод радикального удаления нежелательных волос на любом участке тела. По данным ОАО “Медицина” : фотоэпиляция волос – это самый эффективный и наиболее экономически выгодный способ эпиляции, т.к. обладает высокой скоростью обработки (одним импульсом одновременно удаляются сотни фолликул) и дает стойкий долговременный результат. Процедура практически безболезненна и не оказывает вредного влияния на организм. Процедура фотоэпиляции проводится при помощи высокоинтенсивного источника света, спектр излучения которого лежит в диапазоне 590 - 1200 нм. Тепловая энергия, которая выделяется в результате поглощения света меланином волоса, разрушает волосяной фолликул. Этот эффект называется селективным фототермолизом и позволяет добиться высокой избирательности воздействия, снижая риск ожога кожи. Как правило, для получения стойкого результата необходимо пройти 3-5 сеансов фотоэпиляции. Число сеансов зависит от индивидуальных особенностей кожи и структуры волос. Положительными результатами курса фотоэпиляции являются истончение волос, замещение жестких волос пушковыми, снижение плотности их роста.
Болезненность определяется индивидуально. Сама по себе процедура - это ожог, и следовательно, будет чувство жжения: сильного или нет зависит от того как клиент воспринимает ожог. Как правило, оборудование оснащено охлаждающей системой. Существует процедура анестезии кремами перед эпиляцией. За час до эпиляции наносят крем, стоит около 10 долларов.
Подготовка к процедуре.
Перед процедурой нельзя загорать и посещать солярий в течение 2 нед. Непосредственно перед процедурой фотоэпиляции проводится бритье обрабатываемой зоны, наносится специальный гель. Принятие витаминов, содержащих железо, повышает чувствительность кожи, поэтому не рекомендуется их принятия во время эпиляции.
После процедуры на обработанную поверхность наносится спрей Пантенол. После фотоэпиляции не рекомендуется пребывание на солнце или в солярии в течение первых дней, т.к. лучи солнца могут вызвать ожог в участках кожи, которые были обработаны. Волосы после эпиляции выпадают в течение нескольких недель.
Противопоказаниями для проведения эпиляции являются:
-загар, полученный за неделю до проведения процедуры
-обострение герпеса, кожных заболеваний ( экзема, псориаз)
-варикозная болезнь в зоне воздействия
-сахарный диабет
-тяжелые формы гипертонической болезни
-беременность и психические заболевания
-онкологические заболевания
Осложнения после процедуры фотоэпиляции:
нарушения пигментации, шелушение, зуд кожи, эритема, отек, волдыри, ангиоэктаназии, болевой фактор и послеожоговое рубцевание.
Данный метод имеет следующие преимущества:
- Быстрота исполнения: процедура проходит быстро, в течение 10-15 минут Вы можете избавиться от нежелательных волос в области подмышек и бикини, а за 30-40 минут в области предплечий и голеней.
- Бесконтактность: проводится без прикосновений прибора к коже пациента, что исключает возможность занесения инфекций;
- Индивидуальный подбор специальных фильтров, определяющих длину волны, позволяет достигать максимальной эффективности процедуры эпиляции на каждом конкретном участке тела при любом типе волос и кожи.
Пользуясь личным опытом работы в салоне красоты и опытом работы других салонов красоты г. Москва, могу сказать, что эта услуга пользуется всё большим и большим спросом. И вот почему. Проблема избыточного роста волос является одной из самых актуальных в косметологии. По данным альманаха “Косметика & Медицина”, ежегодный оборот мирового рынка эпиляции оценивается в сумму примерно 90 млрд. долларов, из которых на европейский сегмент рынка приходится 7 млрд. долларов. В зависимости от поставленной задачи потребители могут выбирать удаление волос в домашних условиях ( с помощью бритвенного станка, крема – депилятора, электроэпилятора, воска и т. д.), в косметическом салоне ( горячий воск или электроэпиляция) или в косметической клинике (электро – и фотоэпиляция). Большинство потребителей, решившихся делать эпиляцию в специализированных клиниках и салонах, хотят раз и навсегда избавиться от нежелательных волос. Фотоэпиляция является одним из методов эпиляции, позволяющим это сделать. Вот поэтому фотоэпиляция пользуется большим успехом у потребителей.
Но, с появлением спроса на такую процедуру, как фотоэпиляция, встает другой вопрос. Каждый ли салон красоты может позволить себе оказание такой услуги или это возможно только в дорогостоящих клиниках и салонах класса люкс? Ведь это “дорогое удовольствие”.
Во-первых, аппарат для фотоэпиляции стоит порядка 20 тыс. долларов.
Во-вторых, выполнять эту процедуру должен специально обученный персонал, а это еще затраты на обучение. Соответственно, стоимость одной процедуры колеблется от 100 до 400 долларов.
Роль менеджера по услугам в развитии предприятий индустрии красоты.
Не маловажную роль в развитии косметического бизнеса играет и менеджер по услугам. На рынке косметических услуг есть единые для всех предприятий, работающих в сфере услуг, нормативы организации работы фирмы. Залогом успешного развития предприятия и удержания его на рынке косметических услуг является не только самое современное оборудование, высококвалифицированный персонал, но и наличие опытного менеджера по услугам.
Менеджер по услугам может быть на фирме как заместителем генерального директора (тогда он выполняет управленческие функции) или же он может отвечать только за отдельный участок работы (работа с клиентами, работа с персоналом и т.д.)
В зависимости от этих функций, в задачи менеджера по услугам входит:
1. прогноз успешного развития фирмы;
2. продвижение фирмы на рынке косметических услуг (прогнозирование рыночных тенденций);
3. прогнозирование продвижения косметических услуг на рынок;
4. привлечение клиентов (хорошо продуманная, грамотно оформленная реклама);
5. выявление “сильных” и “слабых” сторон фирмы;
6. решение проблем фирмы;
7. подбор высококвалифицированного персонала.
В данной работе проведены исследования экономической целесообразности применения фотоэпиляции в салонах красоты различного класса. Данные для исследований были взяты из следующих источников:
1. Альманах “Косметика & медицина”
2. Журнал“Les nouvelles esthetiques” № 5, № 6 2002 г.
3. Данные корпорации “Пластек”
4. Данные компании “Старая Крепость – косметик маркетинг”
5. “Экономика предприятия” под ред. Н.А.Сафронова М.: ЮРИСТЪ, 1998 г.
6. “Курс экономической теории” под ред. М.Н.Чапурина, Е.А.Киселевой “АСА” Киров 1997 г.
Глава 1. Рынок косметических услуг
и его характеристики .
1.1. Понятие рынка.
Рынок – это способ взаимодействия производителей и потребителей, основанный на децентрализованном, безличностном механизме ценовых сигналов.
В условиях исследуемой формы хозяйства рыночные связи охватывают всю систему и всех субъектов экономических отношений. В состав рынка входят и предприниматели, и работники, продающие свой труд, и конечные потребители, и собственники ценных бумаг и т.д. Основных субъектов рыночного хозяйства принято подразделять на три группы: домашние хозяйство, бизнес (предприниматели) и правительство.
Домашнее хозяйство – основная структурная единица, функционирующая в потребительской сфере экономики. Она может состоять из одного или более человек. В рамках домашнего хозяйства потребляются конечные продукты сферы материального производства и сферы услуг. Домашние хозяйства являются собственниками и поставщиками факторов производства в рыночной экономике. Полученные от продажи услуг труда, капитала и др. деньги расходуются для удовлетворения личных потребностей потребителей (а не для наращивания прибыли).
Бизнес – это деловое предприятие, функционирующее с целью получения дохода (прибыли). Оно предполагает вложение в дело собственного или заемного капитала, доход от которого расходуется не просто не личное потребление, а для расширения производственной деятельности. Бизнес является поставщиком товаров и услуг в рыночном хозяйстве.
Правительство представлено главным образом различными бюджетными организациями, которые не имеют своей целью получение прибыли, а реализуют функции государственного регулирования экономики.
Один и тот же человек может быть в составе и домашнего хозяйства, и бизнеса, и правительственного учреждения. Например, работая по найму государственным служащим, Вы являетесь представителем правительственной организации; владея ценными бумагами какой-либо корпорации, Вы представляете бизнес; расходуя свой доход на цели личного потребления, Вы являетесь членом домашнего хозяйства. Соответственно современная рыночная экономика – это целая система рынков: товаров и услуг, труда, ссудных капиталов, ценных бумаг и др.
1.2. Сегменты рынка. Рынок косметических услуг.
Сегментирование рынка - это процесс разделения рынка на отдельные части - сегменты, отличающиеся друг от друга разными возможностями сбыта продукции производителя, т.е. это разбивка рынка на четкие группы покупателей, для каждой из которых могут потребоваться отдельные товары. Сегментирование рынка - один из важнейших инструментов маркетинга.
Сегмент рынка - это особым образом выделенная часть рынка, группы потребителей продуктов или предприятий, обладающих определенными общими признаками. Сегментирование рынка может быть осуществлено разными путями по множеству критериев. Цель сегментирования рынка – выявить наиболее важные для каждой группы потребителей потребности в товарах и сориентировать свою политику на удовлетворение спроса.
От того, насколько правильно выбрана цель сегмента рынка, во многом зависит успех предприятия в конкурентной борьбе. При формировании сегмента рынка различают критерии и признаки (принципы) сегментирования. Критерий - это мерило оценки обоснованности выбора сегмента рынка для предприятия или его товара. Признак - показатель выделения данного сегмента рынка. При формировании сегмента рынка могут быть использованы следующие критерии:
· различия между потребителями, позволяющие объединить их в сегмент
· сходство между потребителями, формирующее устойчивость данной группы потребителей к товару
· наличие показателей, позволяющих измерить характеристики и требования потребителей, определить емкость рынка
· возможность выстоять в конкурентной борьбе
· достаточность объема продаж для обеспечения покрытия расходов и получения прибыли
· доступность сегмента для предприятия (наличие каналов сбыта и транспортировки)
Сегмент рынка создается в следующей последовательности:
· анализируются требования покупателей относительно товара фирмы
· формируются группы покупателей со сходными требованиями к определенному товару
· изучается производство данного товара и возможности изменения технологии, позволяющие производить товар, выполняющий требования групп покупателей
· оценивается конкурентоспособность товара
· определяется экономическая выгода создания сегмента рынка
· разрабатывается маркетинговая программа сегмента рынка
В данной работе будет рассмотрен такой сегмент потребительского рынка, как рынок косметических услуг . Потребительский рынок - это рынок товаров массового спроса. На потребительском рынке покупают товары и услуги для личного потребления, семейного и домашнего пользования, главная задача маркетинга рынка потребительских товаров - изучить поведение покупателей на рынке, сформировать модель принятия ими решения о покупке.
Рынок косметических услуг может различаться следующим образом:
-общий косметический рынок в России
-региональный рынок косметических услуг на территории России
-муниципальные рынки косметических услуг
-локальные (местные) рынки косметических услуг
1.3. Сегментирование потребителей косметических услуг
Сегментирование - это деление потребителей на группы в соответствии с рядом устойчивых признаков, называемых маркетинговыми "признаками сегментирования". Необходимость сегментирования обусловлена необходимостью выбора оптимального сегмента для позиционирования услуги на рынке. В процессе сегментирования происходит формирование сегментов потребительского рынка, устойчивых по своим объединяющим признакам и обладающих набором выраженных характеристик для успешного позиционирования услуг. Общая схема сегментного анализа представлена в таблице 1.
| Выбор метода сегментирования | |
| “a priory” | “post hoc (cluster - based” |
| Потребительский рынок: выбор социально – демографических признаков сегментирования. | Метод “К-сегментирования” |
| Промышленный рынок: “полная перепись” или выбор финансового признака описания. | |
| Критериальная оценка сегмента. | |
Таблица 1. Принципиальная схема процесса сегментирования рынка косметических услуг.
В мировой практике используются два принципиальных подхода к маркетинговому сегментированию. В рамках первого метода, именуемого "a priory", предварительно известны признаки сегментирования, численность сегментов, их количество, характеристики, карта интересов. То есть подразумевается, что сегментные группы в данном методе уже сформированы. Метод "a priory" часто используют в тех случаях, когда сегментирование не является частью текущего исследования, а служит вспомогательным базисом при решении других маркетинговых задач. Иногда этот метод применяют при очень четкой определенности сегментов рынка, когда вариантность сегментов рынка не высока. "А priory" допустим и при формировании новой услуги, ориентированной на известный сегмент рынка.
В рамках второго метода, именуемого "post hoc (cluster-based)", подразумевается неопределенность признаков сегментирования и сущности самих сегментов. Исследователь предварительно выбирает ряд интерактивных по отношению к респонденту (метод подразумевает проведение опроса) переменных и далее в зависимости от высказанного отношения к определенной группе переменных, респонденты относятся к соответствующему сегменту. При этом карта интересов, выявленная в процессе последующего анализа, рассматривается как вторичная. Этот метод применяют при сегментировании потребительских рынков, сегментная структура которых не определена в отношении оказываемой услуги. В этой работе "post hoc (cluster-based)" рассмотрен в контексте реализации метода "К - сегментирования" (корреляционного сегментирования) в разделе 1.3.2.
1.3.1. Сегментирование по методу "a priory"
Для описания сегментирования по методу "a priory", прежде всего, необходимо определиться с типом рынка, на котором предполагается позиционирование услуги. Существует два типа рынков, по типу оказываемых услуг.
Промышленный рынок - совокупность лиц и организаций, закупающих товары и услуги, которые используются при производстве других товаров или услуг, продаваемых, сдаваемых в аренду или поставляемых другим потребителям. Например, следующие услуги продаются преимущественно на промышленных рынках: рекламные услуги, услуги по бизнес - сервису и т. п.
Потребительский рынок - отдельные лица или домохозяйства, покупающие товары и услуги для личного конечного потребления. К услугам, преимущественно продаваемым на потребительском рынке, относятся: бытовой сервис, услуги по ремонту квартир и т. п.
Очевидно, что целый ряд услуг может быть продан как на промышленном, так и на потребительском рынке, например обслуживание компьютерной техники, риэлтерские услуги, ремонт помещений и т. п. В этом случае необходимо рассматривать либо отдельное позиционирование на каждом из двух типов рынков, либо при доминировании доли услуг, продаваемых на одном из типов рынков, рассмотреть его как рынок "доминирующего позиционирования", а остаток по рынку другого типа определить как отдельный сегмент.
Рассмотрим базовые принципы сегментирования потребительского рынка. При сегментировании потребительского рынка услуг обычно используют географические (региональное деление потребителей), психографические (тип личности, социальная среда, темперамент и т.п.), мотивационные (интенсивность потребления, назначение покупки и т. п.) и демографические (возраст, пол и т. п.) признаки сегментирования. То есть, имея социально-демографический "срез" общества, полученный, например, по результатам переписи населения, можно выделить и принять к позиционированию ряд потребительских сегментов.
При выборе количества сегментов, на которое должен быть разбит потребительский рынок, обычно руководствуются целевой функцией - определение наиболее перспективного сегмента. Очевидно, излишним при формировании выборки является включение в нее сегментов, чей покупательский потенциал достаточно мал по отношению к исследуемому изделию. Количество сегментов, как показывают исследования, не должно превышать 10, превышение обычно связано с излишней детализацией признаков сегментирования и ведет к ненужному "размыванию" признаков. Возможна ситуация, когда количество сегментов, принимаемое к рассмотрению на основе социально-демографического анализа, принимают равным количеству "крупных" единиц товарного ассортимента услуг.
Таблица 1.
Распределение объема доходов по группам населения, % в 2000-2002 гг. (на апрель месяц).
| № | Наименование группы населения | Апрель 2000 | Апрель 2001 |
Апрель 2002 |
| 1 | “нижняя” | 10.60 | 6.80 | 7.80 |
| 2 | “нижняя средняя” | 15.30 | 11.60 | 12.70 |
| 3 | “средняя” | 19.20 | 16.40 | 17.30 |
| 4 | “высокая” | 23.80 | 23.20 | 24.40 |
| 5 | “элит класс” | 31.10 | 42.00 | 37.80 |
Например, при сегментации по уровню дохода рекомендуется разбивка всех потенциальных покупателей на равные по объему сегменты, с учетом того, чтобы объем каждого из сегментов был, по крайней мере, не меньше предполагаемого объема реализации услуг, основанного на знании производственных мощностей предприятия. Наиболее удачным примером, поясняющим вышесказанное и демонстрирующим возможность разбивки потенциальных потребителей на устойчивые сегментные группы, может послужить сегментация населения по признаку дохода, когда все население разбивается на пять 20% групп. Представленное распределение объема доходов по пяти 20% группам населения приводится регулярно в статистических сборниках и сводках.Очевидно удобство работы с такими сегментными группами, особенно в плане отслеживания их емкости.
Возможно сегментное деление на потребительском рынке и по заведомо определенной социально-демографичекой схеме, когда фирма предлагает ряд сегментно ориентированных услуг, сущность которых заведомо связана характеристиками социального сегмента. Такое предложение услуг называется "сегментно - ориентированным позиционированием" - в нем процесс сегментирования с выявлением характеристик сегмента носит вторичный характер по отношению к ранее созданной и позиционно ориентированной услуге. В табл. 2 представлен пример сегментного деления потребителей косметических услуг по признаку "возраст потребителя"
Таблица 2.
Сегментация клиентов косметического салона по возрастному признаку
| № | Сегмент | Характеристики сегмента |
| 1 | Молодежь (16-22 года) | Студенты, лица впервые обратившиеся в салоны красоты . |
| 2 | Молодые люди, недавно образовавшие семью (25-30 лет) | Лица, желающие обслуживаться в косметических салонах, но, как правило, ограниченные в финансовом плане. |
| 3 | Семьи "со стажем" (25-45 лет) | Люди со сложившейся карьерой, но ограниченной свободой финансовых действий. Первоочередные цели - улучшение жилищных условий, обеспечение финансовой защиты семьи, предоставление образования детям. И только потом уход за своей внешностью. |
| 4 | Лица "зрелого возраста" (40-55 лет) | У людей этой категории наблюдается рост доходов по мере снижения финансовых обязательств. Они могут позволить себе регулярное посещение косметических салонов. |
| 5 | Лица, готовящиеся к уходу на пенсию (55 и более лет) | Люди имеют накопленный капитал и стремятся обеспечить его сохранность. Салоны красоты посещают не многие, в основном женщины. |
В описании потребителей промышленного рынка, когда численность предприятий-потребителей, составляющих сегмент, достаточно высока и отсутствует возможность формирования "полной переписи", применяют сегментирование по обусловленным признакам, связанным с деятельностью промышленного предприятия или его характеристиками. Такими признаками могут быть составляющие финансовых показателей промышленного предприятия (величина оборота, прибыльность деятельности, величина основных фондов и т. п.), особенности структуры или схемы принятия решения о покупке, кадровый состав и т.п. показатели. Выбор показателей предприятия, признаков сегментирования в этом случае обусловлен сущностью услуг, которые предполагается оказывать этим предприятиям. Пример сегментирования промышленных предприятий по величине торгового оборота и сферам деятельности представлен в табл. 3.
Таблица 3.
Сегментация предприятий по величине торгового оборота и сферам деятельности
| № | Сегмент фирмы | Характеристики сегмента |
| 1 | Мелкие фирмы | Семейные предприятия с ограниченными финансовыми возможностями. Отсутствие административного аппарата, минимум планирования. Сфера деятельности территориально ограничена. Коммерческий успех связан политикой 1-2 ключевых лиц. Финансовая экспертиза ограничена советами банка или дипломированных бухгалтер |
| Средние фирмы | ||
| 2 | Сфера услуг | Большое число работников. Потребность в долгосрочных источниках финансирования для расширения операций |
| 3 | Розничная торговля | Большое число работников. Большой объем бухгалтерской и счетной работы, а также операций с наличными |
| 4 | Обрабатывающая промышленность | Проблемы финансирования. Потребность в помещениях |
| Крупные фирмы | ||
| 5 | Сфера услуг и розничная торговля | Ориентация на экспансию и захват рынков. Наличие широкой сети филиалов с обширным персоналом по реализации и административного контроля |
| 6 | Обрабатывающая промышленность | Большая потребность в капиталовложениях в здания и оборудование. Стремление вводить новые продукты, что порождает необходимость в научно-исследовательских работах. Постоянное стремление к завоеванию новых рынков особенно за границе |
| 7 | Сельское хозяйство | Высокий уровень специализации производства. Сезонные проблемы с наличностью. Относительно низкая отдача капитала |
1.3.2. Метод "K-сегментирования" ("post hoc" метод)
Метод "K-сегментирования" ("post hoc" метод) направлен на поиск признаков сегментирования с последующим отбором сегментов. Сегментирование производится в отношении определенной фирмы, оказывающей услуги или предлагающей определенный ассортимент услуг. Метод подразумевает, что существует потребительский рынок, структура которого не известна и не может быть определена "a priory" по задаваемым признакам.
Условия успешности реализации метода:
-Наличие у фирмы минимум 100 клиентов (покупателей или лиц, которым оказывается услуга) в месяц.
-Возможность проведения опроса клиентов фирмы.
-Наличие специального программного обеспечения "ДА-система 4.0" (фирмы "Контекст") или STATISTICA 4.3 (фирмы StatSoft).
Итак, методика сегментирования будет состоять из следующих последовательных этапов.
Этап I. Определение возможных признаков сегментирования
Очевидно, что признаки сегментирования не могут быть определены “apriory” без соответствующего изучения потребителей. Но тем не менее, всегда существует возможность предположить возможные признаки сегментирования. Во-первых, можно опросить продавцов фирмы, непосредственно осуществляющих продажи клиентам на предмет способов возможного деления потребителей. А во-вторых, можно воспользоваться предложенными Ф. Котлером стандартными социально-доходными и социально-демографическими признаками сегментирования (пол, возраст, доход, профессия и т.п.).
Например, при сегментировании потребителей косметической услуги “эпиляция" в качестве предполагаемых признаков сегментирования, на основе которых могут быть разделены потребители на устойчивые группы, были выбраны:
"Возраст";
“Как часто клиент посещает салон красоты”;
“Как часто клиент делает эпиляцию в салоне”;
“Использует ли клиент такой вид эпиляции, как фотоэпиляция”.
Этап II. Проведение опроса
На втором этапе составляется опросный лист и проводится опрос. Целью опроса является отнесение каждого из клиентов к определенным дифференцированным пунктам выбранных на втором этапе признаков сегментирования. Указанное условие (наличие дифференцированных пунктов в каждом вопросе) определяет необходимость формирования только закрытых вопросов. Опрашиваются только клиенты компании, купившие товар или услугу (или находящиеся на обслуживании) в локальном промежутке времени, предпочтительно в течение 1 месяца.
Итак, на основе предполагаемых признаков сегментирования формируем опросный лист.
1. Укажите, пожалуйста, Ваш возраст.
| До 20 лет | 20-35 | 35-55 | старше 55 |
2. Как часто вы посещаете салон красоты?
| Не посещаю | 1 раз в мес. | 2 раза в мес. | Каждую неделю |
3. Как часто Вы делаете эпиляцию в салоне красоты?
| Не делаю | Крайне редко | Весной и летом | Регулярно |
4. Используете ли Вы такой метод эпиляции, как фотоэпиляция?
| Я не знаю, что это такое | Нет, не использую | Хотел(а) бы попробовать | Да, использую |
По составленному листу проводим опрос, в рамках которого клиент салона красоты относит себя в каждом вопросе к определенной группе. Условие опроса - опросные листы, в которых респондент не ответил хотя бы на один вопрос, "бракуются" и не включаются в оценочную базу. Это жесткое условие определено теми статистическими методами, которые применяются к результатам опроса в процессе их обработки.
Этап III. Определение "пригодных" признаков сегментирования
Степенью "пригодности" определенного признака сегментирования можно считать наличие определенной математической корреляции между парой предполагаемых признаков (наличие корреляции между вопросами в данном исследовании). Наличие высокого уровня корреляции (наибольшее значение вычисленного математического коэффициента корреляции) указывает на присутствие взаимосвязи между признаками, то есть на возможность их совместного использования. А выделить устойчивую сегментную группу можно только на пересечении двух признаков сегментирования. Для этого вычисляется попарно коэффициент корреляции между вопросами (возможными признаками сегментирования).
Этап IV. Выделение сегментов
На основе полученных признаков сегментирования можно сформировать сегментные группы (также называемые "потребительские сегменты"). По логике, сегментов должно быть 16 (в данном примере). Рассмотрим это на примере пересечения признаков сегментирования “как часто клиент посещает салон красоты” и “использует ли клиент такой вид эпиляции, как фотоэпиляция”.( таблица 4)
Таблица 4.
Возможное количество сегментов, образующееся на пересечении признаков сегментирования "как часто клиент посещает салон красоты" и "использует ли клиент такой вид эпиляции, как фотоэпиляция"
| № | "использование фотоэпиляции" | "посещаемость" | |||
| Не посещаю | 1 раз в месяц | 2 раза в месяц | Каждую неделю | ||
| 1 | Я не знаю, что это такое | 1 | 2 | 3 | 4 |
| 2 | Нет, не использую | 5 | 6 | 7 | 8 |
| 3 | Хотел(а) бы попробовать | 9 | 10 | 11 | 12 |
| 4 | Да, использую | 13 | 14 | 15 | 16 |
Но использование такого количества сегментов невозможно. Во-первых, некоторые сегментные группы будут слишком малы (до 5% от общей численности клиентов). Во-вторых, дифференцировать ассортимент услуг в отношении такого большого числа сегментных групп крайне трудно, да и не рационально по сути. Обычно выделяют 4-6 устойчивых сегментных групп, в отношении которых и производится товарная дифференциация. Поэтому по приведенной таблице высчитывается процент респондентов, оказавшихся в той или иной из 16 групп возможных сегментных групп, предполагая, что этот процент можно распространить на всех клиентов. Группы с наиболее высоким процентом выделяются как сегменты рынка.
1.3.3.Критериальная оценка перспективных сегментов
Завершающей стадией формирования сегментных групп (вне зависимости от того, каким способом производилось сегментирование) является "критериальная оценка" выделенных сегментов, в рамках которой рассматривается их соответствие ряду маркетинговых критериев успешности позиционирования на них услуг. Традиционно рассматривают критериальные оценки: "соответствие емкости сегмента", "доступность сегмента", "существенность сегмента", "совместимость сегмента с рынком основных конкурентов". Критериальная оценка производится на основе оценки либо количественных показателей сегментов или экспертных оценок в отношении изучаемого сегмента.
При оценке по критерию емкости сегмента положительным параметром можно считать возможность направить все производственные мощности нашего предприятия на работу в данном сегменте, т.е. емкость сегмента должна быть больше или равна производственной мощности предприятия по услуге.
Критерий доступности сегмента для предприятия: анализ этого вопроса дает руководству информацию, есть ли у него возможность начать продвижение своих услуг на выбранном сегменте или еще предстоит позаботиться о формировании сбытовой сети и налаживании отношений с посредниками. То есть стоит вопрос: работало предприятие ранее с этим сегментом?
Критерий существенности сегмента - это оценка того, насколько эта группа потребителей устойчива по своим основным объединяющим признакам. Является ли данный сегмент растущим, устойчивым или уменьшающимся, стоит ли на него ориентировать свои производственные мощности.
По критерию совместимости сегмента с рынком основных конкурентов руководство предприятия должно получить ответ на вопрос, в какой степени основные конкуренты готовы поступиться выбранным сегментом рынка, насколько продвижение на данном рынке затрагивает их интересы. И если основные конкуренты будут всерьез обеспокоены продвижением услуг нашим предприятием на выбранном сегменте и предпримут соответствующие меры по его защите, то необходимо быть готовым нести дополнительные расходы при ориентации на этот сегмент и учесть соответствующие мероприятия при разработке тактики маркетинга.
Если выбранный сегмент рынка удовлетворяет руководство рассматриваемого предприятия по всем критериям, то принимается решение о позиционировании комплекса предоставляемых услуг в данной рыночной нише. Для успешного позиционирования наших услуг на этом сегменте уровень конкурентоспособности наших услуг должен быть не ниже, чем у конкурентов.
1.4. Классификация предприятий индустрии красоты (ПИК)
Собственно индустрии салонов красоты, как и вообще малому бизнесу в России, не больше двенадцати лет. При этом, как считает Андрей Маслак, до пресловутого августа 1998 года была эпоха романтизма: рынок постоянно рос, и возникавшие проблемы рассасывались сами собой. И только после кризиса салоны стали восприниматься их владельцами как непосредственно бизнес.
Причем этот бизнес может быть достаточно рентабельным: так, по оценкам эксперта корпорации «Пластек» Максима Сергеева, грамотный владелец бизнес-салона может зарабатывать в месяц от 3 до 12 тысяч долларов, однако на практике добиться подобного успеха удается далеко не каждому.
Что же касается посетителей таких салонов, то, согласно исследованию, проведенному компанией «Старая Крепость-косметик маркетинг», это, в первую очередь, представитель, вернее представительница обеспеченных слоев населения: на каждого члена ее семьи приходится от 300 долларов и больше. Типичная посетительница бизнес-салона образованна, имеет свое дело или занимает ответственную должность и при этом, что очень важно, молода: ей от 20 до 45 лет (во Франции и Германии возрастной профиль на 10 лет старше). Пожалуй, для России это очень обнадеживающий показатель: именно сейчас закладывается культура посещения подобных заведений, и для детей нынешних молодых посетительниц салон станет уже неотъемлемой частью жизни.
Почти половина (48%) клиентов ориентируется при выборе салона по территориальному признаку: в непосредственной близости от дома или места работы. Подавляющее большинство посетителей (75%) весьма консервативно: они ходят постоянно в одно и то же место. Если же и изменяют своему салону, то в основном из-за того, что их не устраивает цена, они перешли в другое заведение с друзьями, или просто в данном салоне не оказалось нужной услуги.
Кстати, эти услуги можно по праву отнести к инновационным. В отличие от стандартной советской парикмахерской, предлагавшей лишь стрижку да маникюр/педикюр, в современном бизнес-салоне счет услуг идет на десятки: от эпиляции до наращивания ногтей. При этом наиболее востребованными сейчас, по признанию самих участников рынка, оказываются как раз косметологические процедуры.
В общем, салоны красоты бизнес- и топ-класса нашли свою клиентуру, однако необходимо признать, что ее могло быть и больше. Процветанию салонного бизнеса мешают укоренившиеся в обществе мифы, что цены в таких салонах безумно высоки. К тому же в России весьма развит рынок прямых продаж различных косметических марок, и среди населения бытует стереотипное мнение, что все проблемы можно решить самому, без помощи специалиста.
Сегодня в Москве действует, пожалуй, более 1 500 учреждений, оказывающих посетителям всевозможные услуги по уходу за внешностью. Вопрос лишь в том, все ли эти заведения достойны называться салонами красоты. На эту тему можно долго дискутировать, и в зависимости от принятого определения число салонов может значительно варьироваться.
Предприятия индустрии красоты делятся по трем составляющим:
· Типы (варианты комплектации, расположения и ориентации на целевые группы клиентов)
· Виды (степень открытости и доступности для клиентов)
· Классы (уровни бизнеса, характеризующие нишу, занимаемую на рынке)
1.5. Типы предприятий индустрии красоты.
Салон красоты.
Это основной тип эстетических предприятий. Массовая доля (МД, выражается в процентах от общего числа предприятий) – 85-89 %.
Стандартная структура:
- Парикмахерский зал
- Рабочее место маникюра
- Кабинет педикюра
- Косметический кабинет
Расширенная структура:
- Кабинет эстетического ухода и макияжа
- Консультационный кабинет
“Плюсы”:
минимальный инвестиционный пакет от 15 тыс. у.е.
минимальная площадь помещений (при проведении статистического исследования рынка было выявлено несколько десяткой успешно работающих салонов на площади 30-36 кв.м.)
“понятность для клиентов”. При опросе 540 пешеходов на улицах Москвы и Санкт – Петербурга, 90% на вопрос “Что делают в салонах красоты?” описали точный комплекс услуг.
небольшой коллектив сотрудников (управлять малым коллективом проще)
“Минусы”:
жесточайшая конкуренция среди этих предприятий
узкий спектр услуг – в салонах выполняют только эстетические услуги, а почти все новые высокодоходные услуги, особенно в косметологии, выполняются только врачами
плохая управляемость персонала (при формировании коллектива предприятия индустрии красоты необходимо закладывать так называемые “ребра жесткости” – в салонном бизнесе это врачи, как наиболее организованные, и мужчины – их, кстати, должно быть не менее 10%).
неустойчивость на рынке услуг, именно эти предприятия зависят от любых изменения в бизнесе и жизни вообще.
Поэтому инвестиционная привлекательность (ИП) салонов красоты – 50%, т.е. шансы успеха и провала равны. При этом ИП расширенных салонов – 60% (их спасает более широкий перечень услуг и, как следствие, более обширная клиентская база).
Косметический центр.
Это основной тип медицинский предприятий. Частая ошибка: для того, чтобы выделиться из общей массы салонов, фирма берет название “Косметический центр” или “Центр красоты и здоровья”. Клиент видит ключевое слово “центр” и идет к врачу (в подсознании клиента слово “центр” ассоциируется с научной лабораторией или клиникой), а на самом деле попадает в стандартный салон. Результат – разочарование потеря клиента. МД – 3-5%.
Стандартная структура:
- Отделение косметологии лица
- Отделение коррекции фигуры
- Отделение аппаратного медицинского педикюра
- Отделение эстетического ухода
- Процедурная
- Консультационный кабинет
Расширенная структура
- Широкое разветвление всех подразделений (отдельные кабинеты для различных групп услуг каждого подразделения)
- Консультационно – диагностическое отделение
- Отделение пластической хирургии
“Плюсы”:
Высокая результативность (центр производит самые эффективные медицинские услуги, по данным опросов потенциальных клиентов ПИК, они готовы платить именно за результаты)
Низкая конкурентная плотность
Хорошая управляемость персонала (медицинский персонал более дисциплинирован и привык соблюдать субординацию)
Высокая устойчивость на рынке (всегда медицинские предприятия более устойчивы к экономическим изменениям)
“Минусы”:
относительно большой инвестиционный пакет (высокая стоимость хорошего медицинского оборудования)
относительно большая площадь помещения (от 60 кв.м.)
“непонимание клиентами деятельности предприятия” (большинству клиентов нужно объяснить, что такое дермобразия, мезотерапия и т.д.)
зависимость от личности главного врача (врачам нужен лидер, лицо, определяющее тактику и стратегию работы)
ИП косметического центра – 55-60%.
Учитывая приведенные данные, самым эффективным типом ПИК является объединение салона красоты и косметического центра.
Комплексное предприятие.
Это объединение медицинских и эстетических составляющих ПИК. МД – 3-10%, но этот показатель непрерывно растет.
Стандартная структура:
- Парикмахерский зал
- Кабинет маникюра
- Кабинет педикюра
- Кабинет (или несколько) косметологии лица (мед. лицензия)
- Кабинет (отделение) коррекции фигуры (мед. лицензия)
- Кабинет эстетического ухода (мед. лицензия на отдельные виды услуг)
- Процедурная
- Консультативный кабинет
Возможна расширенная структура:
- Предприятие общественного питания (кафе, ресторан, специализирующиеся на здоровой пище, - идеальный вариант)
- Спортивный клуб, бассейн
- Сервис – центр (ремонты, прокаты, химчистка и т.д.)
Но любой отдельный вид бизнеса требует предварительно досконального изучения. ИП – до 80%.
5.2. Виды предприятий индустрии красоты.
Существует два вида ПИК
Открытый
Закрытый
К открытому виду относится большинство существующих предприятий. Их отличает доступность услуг.
В закрытых предприятиях услуги предоставляются строго ограниченному кругу клиентов и на определенных условиях.
Классификация закрытых предприятий.
-По методу формирования клиентской базы.
“Абсолютные” предприятия характеризуются ограниченно клиентской базой, возможностей ее расширения не существует, т.к. обычно такие предприятия принадлежат крупным корпорациям и входят в схему корпоративного сервиса. Количество ПИКов данного вида не более 5%.
“Пополняемые
предприятия – более распространенный вид. Имеют четкую схему и правила привлечения новых клиентов. Наиболее популярная схема – внесение первичного вступительного взноса (достаточно крупная сумма) или рекомендация постоянного клиента, с дальнейшим одобрением кандидатуры другими членами клуба.
-По финансовой системе работы.
Фактическая оплата услуг (как в обычном салоне или центре) – крайне неудачная и неподходящая для закрытых предприятий схема работы. Количество клиентов в клуб невелико и их дневной поток не прогнозируем, при отсутствии записи клиентов сотрудники должны выходить на работу, чтобы гарантировать клиенту выполнение услуги в течении всего рабочего дня. Это ведет к невозможности финансового планирования и выплат сотрудникам из фондов предприятия.
Система авансовых платежей (предоплата) – наиболее правильная схема оплаты услуги в закрытом ПИКе. Обеспечивает регулярное поступление финансовых средств и, как следствие, составленный вперед пан выплат, обучения и повышения квалификации персонала.
Особенности закрытых предприятий
Необходимость тщательного подбора персонала, сочетающего высокий профессионализм и психологическую устойчивость – клиентура элитная, а значит требующая особого подхода.
Соблюдение конфиденциальности, т.к. клиенты закрытых предприятий обычно не желают распространятся что, где и за какую цену они получают, вплоть до подписания сотрудниками неразглашения данных о клиенте.
Обязательное систематическое повышение квалификации персонала
Обеспечение системы безопасности.
5.3. Кассы ПИКов.
На вопрос: “какого класса Ваше предприятие?” владельцы и управляющие салонов чаще всего отвечают : “цены у меня самые высокие в городе, значит у меня элитный салон”. Цены на услуги являются не основой для определения класса, а отражением его.
Различают предприятия эконом -, бизнес – и vip – класса. Для разъяснения введем так называемые принципы классификации.
Принципы разделения предприятий по классам.
-Месторасположение.
Эконом расположен в местах скопления людей, в “проходных” местах, доступен большей части населения.
Бизнес большой спальный район, т.к. в системе маркетинга должен опираться на окружающий бизнес.
Vip престижный район города, совсем не обязательно центр.
-Парковка.
Для эконом – класса этот вопрос не актуален.
Бизнес возможность парковки вблизи от салона.
Vip собственная парковка (официальный знак и система обслуживания: парковщик или видионаблюдение).
-Внешний вид здания.
Эконом чаще всего денег на ремонт фасада после открытия не остается
Бизнес аккуратный внешний вид.
Vip отделка фасада стильная (очень часто плохой или недостаточно престижный экстерьер отпугивает первичного клиента).
-Наружная (внешняя) реклама.
Эконом упор на рекламу цены (максимально качественная услуга по минимально возможной цене).
Бизнес реклама “ бренда” (товарного знака и фирменного стиля).
Vip реклама статуса (элитные клиенты в большинстве своем снобы).
-Интерьер.
Эконом светло и чисто, без изысков.
Бизнес интерьер для услуги (все качественно, с идеей, но в рамках необходимого).
Vip интерьер сверх услуги (это статусное предприятие).
-Внешний вид сотрудников.
Эконом аккуратный и чистый.
Бизнес форменная одежда в соответствии с корпоративным стилем и цветом (к сожалению, частый пример – вывеска бело – синяя, стены желтые, буклеты красные, форма зеленая).
Vip элитное предприятие, следовательно сотрудники должны соответственно выглядеть.
-Уровень специалистов, то есть ответ на вопрос : “а кто у Вас работает?”.
Эконом профессионалы.
Бизнес лучшие в своем классе.
Vip специалисты со статусом звезды.
-Сервис.
Эконом сервис ограничен одним словом – улыбаемся (нет ни времени, ни денег для осуществления стандартных сервисных мероприятий).
Ситуация: салон эконом – класса хорошо работает, приносит планируемую прибыль. Управляющий вводит дополнительный сервис для клиентов – чай, кофе и т.д. Один администратор не справляется, на работу берут второго администратора, дополнительные расходы на чай, кофе и другие материалы для осуществления сервиса. Чтобы компенсировать траты поднимаются цены на услуги, клиенты начинают уходить. Почему? Искусственный переход в другой класс (сервис по бизнес – классу, а все остальное – эконом). Клиент такого противоречия не потерпит.
Бизнес единый стандарт сервиса. Основных стандартов на предприятии около тридцати: встреча клиента, запись клиента, ответ по телефону, предложение чая, расчет клиента и др.
Vip индивидуальный стандарт сервиса (подстраивание под запросы клиента – для этого есть и время, и средства). Администратор составляет “досье” на каждого клиента, в котором указываются сервисные предпочтения клиента.
Загрузка предприятия (вычисляется в % к расчетно – максимальной) является основой для составления бизнес- плана предприятия.
Эконом 50-70%
Бизнес 30-50%
Vip 10-30%.
В таблице 5 показана посещаемость салонов красоты разного класса клиентами различного социального положения.
Таблица 5
Посещаемость салонов красоты разного класса клиентами, отличающимися социальным положением.
| № | Социальное положение клиента | Доля клиентов по салонам разных классов/ % | ||
| VIP | “бизнес” | “эконом” | ||
| 1 | Работник гос. структуры | 5.71 | 6.82 | 10.5 |
| 2 | Работник частной организации | 71.43 | 61.76 | 58.48 |
| 3 | Студент(ка) | 8.5 | 14.71 | 20.03 |
| 4 | Домохозяйка | 14.29 | 14.71 | 67.14 |
Глава 2. Экономические показатели услуг, оказываемых посетителям салонов красоты и методики их расчета.
2.1. Прогнозирование рыночных тенденций.
Рынок услуг, а в данной работе – рынок косметических услуг, представляет собой крайне сложную кибернетическую модель с очень большим количеством внутренних и внешних факторов. Прогнозирование какого-либо фактора рыночной ситуации (например, объем продаж конкретной фирмы) невозможно только на основе тенденции самого фактора. Почему? Поведение отдельного рыночного фактора, подобно поведению бабочки в полете. Вспомните, как летит бабочка: ее полет выглядит с внешней стороны как "порхание" без определенной цели, хотя, очевидно, что она стремится к определенной цели - к цветку. Мы не обращаем внимания на внешние факторы, влияющие на бабочку: ветер, атмосферное давление, высота от земли, гравитация и т.п., и на внутренние: ее собственные силы, система ориентирования и т.п. Суть в том, что мы со стороны не можем предсказать, к какому цветку прилетит бабочку. Так же ведет себя и изучаемый отдельный рыночный показатель. Очевидно, что на объем продаж фирмы (как отдельный показатель) могут влиять продажи конкурентов, тенденции емкости сегмента, их объемы продажи, конъюнктура товаров-заменителей, сопутствующих товаров (услуг) и многие другие факторы. И такое влияние обусловливает поведение не только фактора объема продаж, но и любого внутрифирменного показателя. Тем не менее, такой прогноз необходим в рамках маркетинговых исследований. И поэтому давайте рассмотрим методику, которая, с одной стороны, не является чистым прогнозированием "показателя по показателю", с другой стороны учитывает взаимодействие показателя с другими рыночными факторами, не усложняя модели до ее не разрешимости.
Итак, давайте рассмотрим задачу, в которой коммерческому предприятию, не имеющему специального штата прогнозистов, необходимо спрогнозировать объем продаж по своему товару (услуге). При этом на рынке нет предприятий монополистов, поведение которых диктовало бы рыночную ситуацию - на рынке присутствует много мелких и средних предприятий. Требуется спрогнозировать объем продаж конкретной фирмы для планирования объема закупок (производства) услуги (услуг) и оценить риск принятия решения.
Этап I. Отбор факторов, вероятно определяющих количественное изменение объема продаж
Прогнозирование начнем с подбора факторов, которые "вероятно" определяют количественное изменение объема продаж. То есть мы создаем гипотезу в отношении возможных факторов, влияющих на поведение кривой продаж. Подбор факторов производится экспертным путем: эксперт по соответствующему рынку предполагает возможные параметры: которые по мнению эксперта оказывают влияние на поведение продаж;
динамика которых, выраженная математически, известна на том же промежутке, что и объем продаж (то есть это количественный параметр или качественный, который можно преобразовать к количественной характеристике);
относящиеся как к внешним (факторы "внешней среды маркетинга" фирмы), так и внутренним (факторы "внутренней среды маркетинга" фирмы).
Число выбираемых факторов не ограничено, чем больше их будет на первом этапе, тем лучше, это определит более точный результат в прогнозировании. В данном примере (табл. 6) мы выбрали три абстрактных фактора, которые мы назвали F1, F2, F3.
Таблица 6 Подбор факторов (F1-F3), которые "вероятно" определяют количественное изменение объема продаж (Q)
| Дата | Q | F 1 | F 2 | F 3 |
| Мар.03 | 23 | 22 | 12 | 223 |
| Апр.03 | 34 | 34 | 2 | 456 |
| Май.03 | 55 | 45 | 3 | 556 |
| Июн.03 | 34 | 56 | 67 | 456 |
| Июл.03 | 22 | 77 | 34 | 567 |
| Авг.03 | 34 | 99 | 22 | 560 |
| Сен.03 | 44 | 102 | 33 | 334 |
| Окт.03 | 45 | 111 | 89 | 456 |
| Ноя.03 | 56 | 122 | 11 | 678 |
В случае затруднения в выборе факторов рекомендуется выбрать "макро" факторы внешней и внутренней среды для конкретного рынка и конкретной фирмы, например некоторые возможные из них:
"внешние факторы среды маркетинга фирмы"
курс валют;
емкость потребительского сегмента;
суммарные продажи на сегменте;
динамика численности конкурентов;
удовлетворенность сегмента товарами на рынке;
"внутренние факторы среды маркетинга фирмы"
наличие товарного запаса;
эффективность работы штата менеджмента фирмы;
затраты на рекламу или тип рекламного сообщения;
изменение способа позиционирования товара;
изменение количества дистрибьютеров товара.
Этап II. Выделение "факторов влияния"
Теперь необходимо разобраться: какие из выбранных факторов ("факторы влияния") действительно оказывают влияние на изменение объема продаж, а какие нужно просто "отбросить" из рассмотрения. Критерием такого соответствия, безусловно, можно считать коэффициент корреляции, который показывает, насколько близки тенденции двух факторов (в данном случае - насколько связано распределение во времени факторов F1-F3.
В табл. 7 показан расчет коэффициента корреляции между объемом продаж (Q) и факторами (F1, F2, F3). Коэффициент корреляции может быть рассчитан, например, с помощью программного пакета MS Excel, в котором подобный расчет реализуется функцией "CORREL". Из расчета видно, что по коэффициенту корреляции в данном примере "факторами влияния" будут F1 и F3, а фактор F2 можно отбросить из рассмотрения.
Таблица 7 Отбор "факторов влияния" по коэффициенту корреляции
| CORR F1 | CORR F2 | CORR F3 | ||
| 0.462 | - 0.057 | 0.458 | ||
| Дата | Q | F1 | F2 | F3 |
| Мар.03 | 23 | 22 | 12 | 223 |
| Апр.03 | 34 | 34 | 2 | 456 |
| Май.03 | 55 | 45 | 3 | 556 |
| Июн.03 | 34 | 56 | 67 | 456 |
| Июл.03 | 22 | 77 | 34 | 567 |
| Авг.03 | 34 | 99 | 22 | 560 |
| Сен.03 | 44 | 102 | 33 | 334 |
| Окт.03 | 45 | 111 | 89 | 456 |
| Ноя.03 | 56 | 122 | 11 | 678 |
Этап III. Линейное прогнозирование "факторов влияния"
Теперь в нашем примере мы имеем динамику "факторов влияния" и объема продаж на период с марта 2003 по ноябрь 2003 г. Соответственно, мы прогнозируем по времени поведение каждого из "факторов влияния" (линейная тенденция для факторов, рассматриваемых в примере представлена в табл. 8).
Таблица 8 Линейное прогнозирование "факторов влияния" (спрогнозированная линейная тенденция для факторов F1, F3 представлена выделенными курсивом цифрами)
| Дата | F1 | F3 |
| Мар.03 | 22 | 223 |
| Апр.03 | 34 | 456 |
| Май.03 | 45 | 556 |
| Июн.03 | 56 | 456 |
| Июл.03 | 77 | 567 |
| Авг.03 | 99 | 560 |
| Сен.03 | 102 | 334 |
| Окт.03 | 111 | 456 |
| Ноя.03 | 122 | 678 |
| Дек.03 | 140 | 599 |
| Янв.04 | 153 | 577 |
| Фев.04 | 166 | 584 |
| Мар.04 | 177 | 613 |
Этап IV. Прогнозирование продаж по прогнозу "факторов влияния"
Очевидно, что мы не можем прогнозировать продажи, используя только саму тенденцию продаж во времени, это как раз и рассматривалось бы как "прогнозирование фактора по самому фактору". Но у нас имеется тенденция "факторов влияния", которая по своей сущности определяет поведение тенденции продаж (это следует из рассчитанного нами коэффициента корреляции). И именно эта предсказанная тенденция позволяет нам спрогнозировать объем продаж в соответствии с со значениями каждого из факторов. Реализация такого алгоритма на основе функций MS Excel представлена в табл. 9
Таблица 9 Реализация алгоритма предсказания объема продаж по тенденциям "факторов влияния" на основе функций MS Excel
| A | B | C | D | E | F | |
| 1 | Дата | Q | F1 | Q1 TREND | F3 | Q3 TREND |
| 2 | Мар.03 | 23 | 22 | 223 | ||
| : | : | : | : | : | ||
| 10 | Ноя.03 | 56 | 122 | 678 | ||
| 11 | Дек.03 | =(D11+F11)/2 | 139 | FORECAST(C11;B2;B10;C10) | 598 | FORECAST(E11;B2;B10;E2) |
Отметим, что предсказанное значение объема продаж получается как среднеарифметическое от суммы предсказанных значений на основе каждого из "факторов влияния". Это позволяет учесть каждый из "факторов влияния" в прогнозе. Результат прогнозирования для нашего примера представлен в табл. 10.
Таблица 10 Прогнозирование продаж по прогнозу "факторов влияния"
| Дата | Q | Q TREND | F1 | Q1 TREND | F3 | Q3 TREND |
| Мар.03 | 23 | 22 | 223 | |||
| : | : | : | : | |||
| Ноя.03 | 56 | 122 | 678 | |||
| Дек.03 | 46,3 | 140 | 48,9 | 599 | 43,7 | |
| Янв.04 | 44,9 | 153 | 47,7 | 577 | 42,1 | |
| Фев.04 | 45,2 | 166 | 47,7 | 584 | 42,7 | |
| Мар.04 | 55,0 | 177 | 69,8 | 613 | 40,2 |
Этап V. Оценка риска прогнозирования
Необходимо учесть, что прогнозирование ведется с целым рядом допущений, которые могут сильно повлиять на наш прогноз:
в наше исследование может не попасть фактор, оказывающий серьезное влияние на продажи;
используем линейное прогнозирование, а тенденция может оказаться значительно сложнее;
производим расчет прогнозного значения, как среднеарифметическое от спрогнозированных по факторам значений (см. табл. 10) без учета уровня корреляции соответствующего фактора.
Эти факторы, безусловно, снижают точность прогнозирования. Более того, заметьте (см. табл. 10), что прогнозирование в нашем примере периодов последующих за декабрем 2003 года ведется на основе не проверенных временем значений, а значений также спрогнозированных математически. То есть, чем на более длительный период времени мы пытаемся сделать прогноз, тем более не точны прогнозируемые значения.
Указанные выше ограничения не влияют на использование метода (и тем более его не отменяют), а лишь указывают нам на необходимость расчета величины "риска прогнозирования". В случае нашей методики эту погрешность можно оценить как "риск прогнозирования" по соотношению между спрогнозированным значением тенденции продаж (Q TREND) и прогнозными значениями продаж от каждого "фактора влияния" (Q1 TREND и Q3 TREND). Реализация расчета "риска прогнозирования" (var) на основе пакета MS Excel представлена в табл. 11.
Таблица 11 Реализация расчета "риска прогнозирования" (var) на основе пакета MS Excel
| A | B | C | D | E | F | G | H | |
| 1 | Дата | Q | Q TREND |
F1 | Q1 TREND |
F3 | Q3 TREND |
var |
| 2 | Дек.03 | 46,3 | 140 | 48,9 | 599 | 43,7 | =((ABS(C2-E2)+ +ABC(C2-G2))/2/C2 |
В табл. 12 расчет "риска прогнозирования" построен на расчете отношения среднеарифметического отклонения прогнозных значений по отношению к среднеарифметическому значению тенденции продаж:
var =((ABS(QTREND - Q1TREND)+ABS(QTREND - Q3TREND))/2)/QTREND.
Оценка риска прогнозирования для нашего примера представлена в табл. 12. Необходимо отметить, что с увеличением срока прогнозирования растет и "риск прогнозирования": 6% для декабря 2003 года и 27% для марта 2004 года.
Таблица 12 Оценка риска прогнозирования
| Дата | Q TREND | F1 | Q1 TREND | F3 | Q3 TREND | var |
| Дек.03 | 46,3 | 140 | 48,9 | 599 | 43,7 | 6% |
| Янв.04 | 44,9 | 153 | 47,7 | 577 | 42,1 | 6% |
| Фев.04 | 45,2 | 166 | 47,7 | 584 | 42,7 | 6% |
| Мар.04 | 55,0 | 177 | 69,8 | 613 | 40,2 | 27% |
"Риск прогнозирования" может быть учтен в объемах закупки услуги или объеме подготовленной услуги (численность наемного штата специалистов) как прямая величина процента от объема продаж. То есть в нашем примере, рекомендуется запланировать на декабрь 2003 года продажи в объеме:
Q= QTREND* var=46,3*0.94=43.5 тыс. руб.
То есть рассчитанная величина риска снижает планируемый нами объем продаж.
2.2.Анализ тенденций развития предприятия.
Статистическое описание движения во времени экономических явлений осуществляется, как известно, с помощью динамических (временных) рядов. Уровни таких рядов формируются под совокупным влиянием множества длительно и кратковременно действующих факторов и в том числе различного рода случайностей. Изменение условий развития явления приводит к более или менее интенсивной смене самих факторов, к изменению силы и результативности их воздействия и в конечном счете к вариации уровня изучаемого явления во времени. Лишь в очень редких случаях в экономике встречаются чисто стационарные ряды, т.е. ряды, динамика уровней которых такова, что средние характеристики не изменяются во времени. В таких случаях вариацию можно приписать действию только случайных причин и изучать ее с помощью теории стационарных случайных процессов.
В западной статистической литературе уровень динамического ряда, характеризующего развитие экономического явления, традиционно рассматривается как сумма четырех компонент, которые непосредственно не могут быть измерены (ненаблюдаемые компоненты): вековой уровень (secular trend), или тренд, циклическая составляющая, сезонная составляющая и случайные колебания . Расчленение на вековой уровень и циклическую составляющую можно рассматривать лишь как технический прием при изучении циклов, если требуется измерить продолжительность отдельных этапов цикла. Несмотря на условность подобного расчленения уровней динамического ряда, этот прием можно применить для различного рода практических расчетов, главным образом для выделения тенденции развития, определения закономерности движения того или иного уровня во времени.
Понятие тенденции развития не имеет достаточно четкого определения. В статистической литературе под тенденцией развития понимают некоторое общее направление развития, долговременную эволюцию. Обычно тенденцию стремятся представить в виде более или менее гладкой траектории . Предполагается, что такая траектория, которую можно охарактеризовать в виде некоторой функции времени, назовем ее трендом, характеризует основную закономерность движения во времени и в некоторой мере (но не полностью) свободна от случайных воздействий. Тренд описывает фактическую усредненную для периода наблюдения тенденции изучаемого процесса во времени, его внешнее проявление. Результат при этом связывается исключительно с ходом времени. Предполагается , что через время можно выразить влияние всех основных факторов. Механизм их влияния в явном виде не учитывается. По существу, линия тренда выполняет ту же функцию для последовательных во времени наблюдений, что и средняя величина в ряде распределения.
Часто под трендом понимают регрессию на время. Иногда тренд представляют как детерминированную компоненту переменной (причем не обязательно изменение этой компоненты связывают со временем). Каждое из подобных определений, скорее, указывает на частный прием отыскания тренда, а не на его сущность.
Простые приемы анализа тенденций развития .
Пожалуй, ни один вид статистических показателей, исключая разве что средние, не используется так часто в экономическом анализе, как средний темп роста.
Средний темп роста можно получить как геометрическую среднюю из ряда последовательных (цепных) темпов роста. Цепной темп роста характеризует отношение какого-либо уровня динамического ряда к предыдущему уровню и выражается в процентах или в долях единицы. В последнем случае его называют коэффициентом роста .
Если ряд состоит из уровней y 1, y 2 , … yt , то цепные темпы роста (τt ) будут равны:
… ,
.
Соответственно цепные темпы прироста, выраженные в долях единицы . будут равны:
![]()
Если тенденция развития в известном временном интервале охарактеризована с помощью некоторого постоянного темпа роста, то в качестве последнего принимается средний темп за соответствующий период. Средний темп роста обычно определяют как
(1.10)
Нетрудно показать, что средний темп роста при дискретных показателях времени представляют собой знаменатель геометрической прогрессии, а средний темп прироста соответствует норме процента в формуле сложных процентов :
Cn
= C
0
,
где Сn
, C
0
- суммы на конец и начало периода; n
=t
-1 – число истекших лет; р
- норма процента. Заменив в формуле сложных процентов Сn
и С
0
на yt
и y
1
соответственно, а
на некоторый постоянный темп роста τ, получим:
yt =y 1 ·τt -1 (1.11)
Величина τt -1 соответствует показательной функции. Допустим теперь, что изменение ряда происходит непрерывно, тогда формула (1.11) будет характеризовать развитие по показательной или экспоненциальной кривой.
Если исследуемый ряд непрерывен (такой ряд можно представить себе как результат наблюдений при бесконечном дроблении интервалов времени) и задан в виде дифференцируемой функции yt = ft , то мгновенный темп прироста определяется как
(1.12)
где f`t -производная функции.
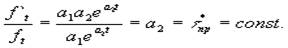
Возьмем теперь экспоненциальную функцию
,
где е – основание натуральных логарифмов, a 1 и a 2 - параметры.
Производная этой функции составит:
,
а исчисленный в соответствии с (1.12) темп прироста равен: ![]()
Таким образом, экспоненциально зависящая от времени функция имеет постоянный темп прироста, равный значению ее параметра a 2 . Напишем теперь выражение для экспоненциальной функции в виде
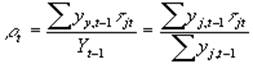
(1.13)
Рассмотрим теперь ряд вопросов, связанных с одновременным анализом нескольких динамических рядов, и прежде всего проблему соотношения темпов роста частей и целого. Пусть анализируется m динамических рядов, j = 1,…, m , причем сумма этих рядов дает новый ряд:
(1.14)
Пусть динамика каждого ряда характеризуется цепными темпами роста τjt . Соответственно цепной темп роста суммарного ряда равен ρt . Уровни этих рядов на период t можно представить как уровни предшествующего периода, умноженные на соответствующие темпы роста:

Откуда
(1.15)
Таким образом, цепной темп роста суммарного ряда на момент t равен взвешенной средней арифметической из цепных темпов частных рядов, исчисленных для того же момента времени. Если принять, что каждый частный ряд имеет постоянный темп роста, т.е. , что τjt = τj , то
(1.16)
Весами здесь, как и в предыдущей формуле, служат уровни предшествующих периодов. Заметим, что веса изменяются вместе с изменением t , причем удельный вес уровней рядов с большими темпами растет, а с меньшими падает. Следовательно, темп роста суммарного ряда не может быть постоянным даже при условии, что темпы роста составляющих рядов не изменяются. Такая проблема, естественно, не возникает в тривиальном случае, когда темпы роста всех m рядов одинаковы. В этом случае темп суммарного ряда равен темпу частных рядов.
Как известно, средняя применяется в качестве обобщающей характеристики, свободного признака, в котором взаимно погашаются индивидуальные особенности. Порядок или последовательность, соответственно которой индивидуальные значения признака выступают в действительности, не имеет значения. Иное дело, когда усреднение относится к динамическим рядам. Закономерность изменения темпов является сутью динамики и, во всяком случае, представляет собой очень важный аспект исследования динамического ряда. Средний темп скрывает эту закономерность. В статистической литературе неоднократно высказывались сомнения относительно ценности среднего темпа для экономического анализа.
К недостаткам среднего темпа как обобщающего показателя, исчисляемого в виде (1.10), следует отнести следующее:
1. Средний темп полностью определяется двумя крайними уровнями
ряда, при этом выбор периода для расчета среднего темпа существенным образом определяет его значение. Сдвиг периода даже на 1 шаг может привести к значительному изменению величины темпа. К сказанному следует добавить, что при достаточной протяженности ряда имеется возможность для подсчета большого набора значений среднего темпа (на все вкусы!). В самом деле, если принять, что средний темп может быть определен за период не менее чем l лет, то при протяженности всего ряда, равной n годам, можно определить k различных вариантов среднего темпа:
k =C2 n-l+2 . Так, ряд протяженностью в 15 лет дает возможность определить 78 различных средних темпов роста (при l = 4). Таким образом, значение среднего темпа будет в известном смысле случайным.
Особенно наглядно неустойчивость показателя среднего темпа проявляется в том случае, когда ряд имеет чередующиеся повышения и понижения.
2. Применение среднего темпа роста предполагает, что траектория
развития приближается к экспоненциальной кривой. Т.е. процесс, в общем, следует геометрической прогрессии. Если это не так и ряду свойственна иная закономерность развития, то описание динамики с помощью среднего темпа будет иметь очень условный характер.
3. Средний темп скрывает характер динамики исследуемого периода, поскольку не принимает во внимание промежуточные члены ряда, отсюда теряется существенная для анализа информация. Именно эти опущенные при расчете среднего темпа члены определяют форму тенденции развития. Отсюда, чем продолжительнее период, для которого исчисляется средний темп, тем больше теряется информации, тем меньше он играет роль обобщающего признака. Очевидно, что точность его определения не увеличивается при увеличении числа наблюдений, т.е. увеличении длины ряда. Из сказанного выше следует, что средний темп как обобщающий показатель динамики имеет весьма ограниченную ценность.
2.3. Комплексная оценка услуги
В данной части приведен метод комплексной оценки услуги и отдельных ее составляющих, позволяющий выявить компоненты, которые необходимо скорректировать в процессе позиционирования услуги на рынке, скорректировать систему позиционирования и продвижения услуги, получить количественную оценку в отношении услуги и ее составляющих.
Определение вышеописанных показателей принципиально необходимо при выведении нового товара на рынок (или репозиционирования, модернизации старого), поскольку именно на их основе возможно формирование рационального и экономически оправданного комплекса продвижения услуги на рынке.
2.3.1. Оценка составляющих услуги по методу МКОТС
Как оценить потребности потенциального покупателя, на основе которых мы могли бы сформировать конкурентоспособные составляющие нашей услуги? Для этого необходимо еще раз рассмотреть и понять сущность услуги с точки зрения маркетинга. Рассмотрение предлагается на базе маркетинговой инновационной модели "МКОТС", которая по своей методической сущности согласовывается с "западной" моделью "сервисного качества". Модель позволяет:
определить значимость для потребителя отдельных составляющих услуги;
определить составляющие новой услуги и внимание, которое необходимо каждой из них;
определить "акценты" рекламной политики предприятия (сравнительный критерий);
рассчитать степень удовлетворенности потребителя составляющими услуги и всей услугой в целом;
определить составляющие, которые необходимо корректировать в услуге;
определить эффективность мероприятий по корректированию составляющих услуги.
Рассмотрим метод построения модели как поэтапный алгоритм, позволяющий реализовать все ее вышеперечисленные возможности.
Этап I. Определение составляющих услуги
В первую очередь, метод, построенный на базе маркетинговой инновационной модели "МКОТС", подразумевает определение составляющих услуги. Составляющие услуги - это потребности, удовлетворяемые с ее помощью. Очевидно, что любая услуга удовлетворяет не одну потребность, а несколько. Рассмотрим это на примере услуги "фотоэпиляция" в салоне красоты.
привлечение клиентов;
создание имиджа фирмы;
соответствие цены предполагаемому ценовому диапазону;
наличие "высокой" репутации фирмы, оказывающей услугу;
эстетика (дизайн и эстетико-этические составляющие) оказываемой услуги.
Соответственно, данные потребности, удовлетворяемые в процессе оказания услуги, и будут являться составляющими услуги (компонентами услуги). Для краткости, назовем компоненты услуги: "привлечение", "имидж", "цена", "репутация" и "эстетика". То есть определено - из каких составляющих нам нужно комплектовать услугу. Формирование комплекса составляющих для конкретных услуг производится экспертами в соответствующих предметных областях на основе опыта позиционирования и/или исследования базовых потребительских тенденций. Рекомендуется формирование компонентов в количестве от 5 до 7, поскольку меньшее количество компонентов не выразит сущности потребностей, удовлетворяемых услугой, а большее количество заведомо избыточно и размывает сущность услуги.
Очевидно, что каждая составляющая (компонента) услуги это также сумма ряда подкомпонентов, которые на более детальном уровне уточняют ее сущность. Составляющие первого и второго уровня могут быть представлены в виде древовидной разветвленной структуры, как показано на табл. 12
| “привлечение” | Соответствие ожидаемому эффекту услуги |
| Динамика привлечения клиентов | |
| Устойчивость привлечения | |
| “имидж” | “имидж”, реализованный в услуге |
| Устойчивость “имиджа” | |
| “цена” | Цена, включенная в сервис |
| Цена услуги | |
| “репутация” | Накопленная репутация услуги |
| Текущая репутация услуги | |
| Репутация фирмы, оказывающей услугу | |
| “эстетика” | Эстетика оказания услуги |
| Эстетика рекламы |
Таблица 12 Древовидная структура представления компонент первого и второго уровня в отношении услуги, рассматриваемых по методу МКОТС
Этап II. Формирование системы опроса
Исходными данными для решения поставленной задачи (оценка составляющих услуги) являются результаты опроса потенциальных потребителей, то есть метод построен на экспертном опросе. На основе предварительно определенных компонентов услуги ("привлечение", "имидж", "цена", "репутация" и "эстетика") формируется система опроса потенциальных потребителей, в которую закладываются следующие задачи: определение значимости (веса) компонентов услуги для потенциального потребителя и определение отношения потребителя к каждому из компонентов системы по четырех- и более дифференциальной шкале. При формировании системы опроса, во-первых, задается вопрос с целью определения значимости параметров. Во-вторых, вопрос о степени реализации составляющих услуги для опрашиваемого клиента (очевидно, что опрос по данному методу должен проводиться только после оказания клиенту услуги). В-третьих, в той или иной форме задается вопрос с целью определения принадлежности опрашиваемого к определенному сегменту. Накопление результатов и их обработка могут производиться по расчетному базису, представленному в III-IV этапах метода. Для реализации расчетного алгоритма возможно применение программного пакета "МКОТС 2.0".
Этап III. Оценка веса (значимости) составляющих услуги
Очевиден принцип пересчета значений базы данных в соответствующий вес компонентов, например это можно сделать простым суммированием значений по всем полям (w1, :, w5) с последующей нормализацией значений для каждого сегмента. Результат такого пересчета представлен в табл. 13.
Таблица 13 Структура веса составляющих услуги по j-му сегменту на примере товара: "оказание косметических услуг"
| Компоненты (потребности) | Wji |
| “привлечение” | 0,57 |
| “имидж” | 0,29 |
| “цена” | 0,71 |
| “репутация” | 0,43 |
| “ эстетика ” | 1,00 |
Мы можем видеть вес (значимость для потребителей услуги) отдельных ее составляющих. И на основе полученного распределения значимости между составляющими услуги можно сделать соответствующие выводы:
если формируется новая услуга, то возможно определение составляющих, которые необходимо усилить (уделить первейшее внимание при формировании) в первую очередь. В нашем примере (см. табл. 13) мы должны сделать акцент на “эстетику” выполняемой услуги и на ее стоимость. Это необходимо для привлечения клиентов.
Для существующей услуги, в процессе реализации комплекса ее продвижения, возможно определение акцентов рекламной компании в отношении предлагаемой услуги. В нашем примере "эстетика" и “цена” имеют наибольшие значения веса среди составляющих услуги (1.00 и 0.71 соответственно). Соответственно и акценты рекламной политики должны основываться на "подчеркивании" того, насколько эффективна наша услуга с точки зрения ее эстетического уровня и на сколько ее стоимость соответствует этому уровню.
Этап IV. Расчет удовлетворенности составляющими услуги и услугой в целом
Удовлетворенность составляющими оказанной услуги пересчитывается из расчетной базы данных аналогично пересчету веса: вычисляется сумма по колонкам (по всем составляющим услуги m1-m5), результат пересчета взаимно нормализуется (приводится к визуально сопоставимым значениям от 0 до 1). Результаты расчета представлены в табл. 14.
Таблица 14 Результат расчета удовлетворенности отдельными составляющими услуги и услугой в целом на примере услуги: "оказание косметических услуг"
| Компоненты (потребности) | Wji | uji | Wji *uji |
| “привлечение” | 0,57 | 0,22 | 0,13 |
| “имидж” | 0,29 | 0,17 | 0,05 |
| “цена” | 0,71 | 0,57 | 0,40 |
| “репутация” | 0,43 | 0,09 | 0,04 |
| “эстетика” | 1,00 | 1,00 | 1,00 |
| U=1,62 |
Оценка составляющих услуги (uij ) может быть проанализирована напрямую: какие составляющие "удались" в процессе проектирования и позиционирования услуги. В нашем примере, очевидно, что наиболее удачно мы реализовали компоненты "эстетика" и “репутация”, а в отношении "цены" произошла некоторая неудача.
Оценка удовлетворенности нашей услугой в целом (этот параметр называют "критерием потребительской удовлетворенности" услугой - КПУ ) рассчитывается с учетом соответствующего веса составляющей:
U= S(Wij * uij ).
КПУ имеет смысл анализировать только в сравнении с КПУ услуг-конкурентов, или КПУ других товаров в ассортименте, либо рассматривать значение показателя в динамике (его изменение). Показатель КПУ сам по себе не имеет ценности - это сравнительный показатель, соответственно, по этому показателю возможно:
определить рейтинг услуги среди услуг-конкурентов;
определить, насколько наше влияние на состав услуги было эффективным в течение времени;
сравнить показатель КПУ в рамках предлагаемого нами ассортимента услуг, установив их "рейтинг".
Логично предположить, что по каждой услуге из ассортимента, имея ряд значений КПУ (по одному на каждый сегмент для каждой услуги), мы вправе провести предварительное сегментное позиционирование, которое бы определило наиболее удачный сегмент для предложения исследованной услуги.
Критерием такого позиционирования служит максимум удовлетворенности (максимум КПУ), выраженной тем или иным сегментом.
Этап V. Оценка свойств услуги, которые необходимо модернизировать
В соответствии с разработанным МКОТС, если значение U (КПУ) меньше, чем значение удовлетворенности товаром - конкурентом (Uк ), то необходима корректировка потребительских свойств услуги. Значение коэффициентов удовлетворенности товарами-конкурентами определяется аналогичным способом по методу комплексной оценки товарных систем (МКОТС). Для определения потребительского свойства услуги, требующего наибольшего внимания при корректировке, выделяют свойства с минимальным значением ui (u1 =min) и максимальным значением веса wi . При создании формулы для расчета "коэффициента необходимости корректирования" в качестве исходных предпосылок было взято два утверждения, логично проистекающих из сути предложенного метода МКОТС:
чем больше вес компонента, тем больше необходимость корректирования компонента;
чем больше критерий суммарной удовлетворенности, тем меньше необходимость корректирования компонента.
Таким образом, необходимость корректирования компонента можно выразить следующим математическим условием:
NESi = Wi / ui ,
где NESi - коэффициент необходимости (или приоритетности) корректирования компонента услуги; Wi - вес i-го компонента; ui - критерий потребительской удовлетворенности компонентом.
В нашем примере, исходя из данных табл. 15, очевидно, что наибольшего внимания и усилий по модернизации требует параметр "репутация" (NESi =4,78).
Таблица 15 Форма таблицы для поиска слабых параметров изделия
| Компонент | Вес компонента |
Критерий удовлетворенности |
Коэффициент необходимости корректирования |
| Wi | ui | NESi=Wi/ui | |
| “привлечение” | 0,57 | 0,22 | 2,59 |
| “имидж” | 0,29 | 0,17 | 1,71 |
| “цена” | 0,71 | 0,57 | 1,25 |
| “репутация” | 0,43 | 0,09 | 4,78 |
| “эстетика” | 1,00 | 1,00 | 1,00 |
Этап VI. Оценка эффективности мероприятий по модернизации свойств услуги
После изменения свойств (или свойства) услуги проводится повторный анализ потребительских свойств и определяется эффективность корректирующих мероприятий, как разность между начальным значением КПУ (U) и достигнутым в результате корректировки ( U'):
E=(U'-U)/U
2.3.2. Оценка прибыльности составляющих ассортимента услуг
В разделе 2.2.1 были рассмотрены принципы оценки отдельной услуги и ее составляющих. Но в реальной практике предпринимательской деятельности приходится иметь дело с ассортиментом услуг и управлять им. Поэтому в настоящей главе рассмотрим принципы маркетингового исследования ассортимента услуг розничного предприятия на основе прибыльности отдельных составляющих ассортимента.
Сущность управления ассортиментом услуг можно изложить одной фразой: "прибыль предприятия складывается из прибыльности отдельных услуг". А, соответственно, нам необходимо рассмотреть в контексте вопроса принципы исследования прибыльности составляющих ассортимента услуг для принятия решения о его составе.
Итак, механизм расчета прибыли предприятия может быть распространен на расчет прибыли, получаемой от отдельной услуги, ведь по сути предприятие имеет прибыль от проданных услуг, а не от "функционирования предприятия":
Пу = Ву - Зу,
где Пу - величина прибыли, получаемая от продажи услуги в некотором промежутке времени (будем рассматривать в качестве такого промежутка один месяц); Ву - выручка (или оборот) от продажи одного типа услуги в течение месяца. Выручка от продажи одной услуги рассматривается как произведение количества проданных услуг (Nу ) на ее цену (Цу).
Ву= Nу*Цу;
Зу - затраты на реализацию рассматриваемой услуги. Затраты на данный тип услуги могут быть определены исходя из общих затрат всего предприятия в целом и "себестоимости изготовления" (покупки дополнительных составляющих, субподрядчиков) услуги. То есть мы можем условно приравнять (распределить) все косвенные затраты по функционированию предприятия (аренда помещения, зарплата персонала, прочие затраты) между всеми услугами в равной пропорции. Мы вправе это сделать поскольку все косвенные затраты в равной степени (или не в равной, а определенной весовым показателем) служат продвижению каждой из услуг ассортимента:
Зу = (З / n) + Су* Nу,
где З - затраты на функционирование предприятия (постоянные издержки); n - количество продаваемых услуг (услуг, находящихся в ассортименте предприятия); СТ - себестоимость изготовления (покупки) услуги.
Расчет себестоимости косметической услуги.
Себестоимость рассчитывается на основе следующих калькуляционных статей:
1.Сырье и материалы собственного производства
2.Возвратные отходы (это отходы от основного производства, которые можно использовать для приготовления другой продукции). Возвратные отходы вычитаются из себестоимости.
3.Покупные сырье и материалы.
4.Зароботная плата непосредственных исполнителей услуги (в данном случае – косметолога).
5.Начисления на заработную плату 35.6% (пенсионный фонд – 28%, фонд социального страхования – 4%, фонд медицинского страхования – 3.6%)
6.Затраты топлива, электроэнергии, тепла, воды на производственные нужды.
7.Расходы на ремонт и обслуживание оборудования, приборов, используемых для оказания услуги.
8.Затраты прочих материалов, которые используются при оказании услуги.
9.Затраты на содержание управленческого аппарата.
Эти статьи образуют цеховую себестоимость, т.е. себестоимость непосредственно выполнения услуги.
10.Содержание административного аппарата.
11.Расходы, связанные с управлением и прочие общепроизводственные расходы: аренда, амортизация, канцелярские расходы, стоимость бракованной продукции, страхование, содержание работников охраны, уборщиц, % по кредитам и т.д.
Затраты с 1 по 11 статьи образуют производственную себестоимость услуги.
12.Затраты, связанные с реализацией услуги или продукции: реклама, склад готовой продукции, подготовка договоров с покупателями.
Статьи с 1 по 12 образуют полную себестоимость услуги.
Теперь давайте посмотрим, какая картина может получиться, если мы реализуем представленную схему расчетов для всего предприятия и всего ассортиментного ряда. Представим, что у нас есть предприятие, которое продает 3 услуги, при этом все издержки по функционированию предприятия составляют 60 рублей, а соответственно издержки по продаже одной услуги можно считать равными 20 рублей (З / n = 60 / 3 = 20 рублей). Рассмотрим все сводные показатели по ассортименту наших товаров в нижеприведенной таблице. Итак, как видно из рис. 1.1 (см. приложения), прибыль предприятия отрицательна (-3 рубля). Причем негативный баланс нашей предпринимательской деятельности, определен всего лишь негативной позицией по прибыли одной услуги из трех.
Заметим, что в нашем примере одна из услуг в нашем ассортименте в таком контексте рассмотрения и расчета имеет отрицательную прибыльность ("Услуга 2"). Конечно, необходимо отметить, что в более полном анализе мы должны рассматривать и динамику прибыльности отдельных товаров: не прибыльное сегодня изделие может стать прибыльным завтра. По нашему графику видно, что хотя единица ассортимента "Услуга 1" на сегодняшний день имеет нулевую прибыль, но ее динамика положительна (+12% по отношению к продажам предыдущего месяца). "Услуга 3" имеет как положительную динамику продаж, так и положительную прибыль - стабильный и перспективный товар. А вот "Услуга 2" приносит не только отрицательную прибыль, но и имеет отрицательную динамику продаж. Соответственно теперь мы имеем и адекватный механизм принятия решения в отношении составляющих ассортимента.
Вышеприведенный анализ позволяет нам определить и рычаги управления прибылью, как отдельных услуг, так и всем предприятием в целом.
Для того чтобы говорить о системе рычагов по управлению прибылью ассортиментного ряда услуг, необходимо вспомнить о системе ценообразования на услугу, которая может быть рассмотрена как одна из трех стратегий предложения цены на услугу. Проведенные исследования показали, что потребители не всегда делают рациональный выбор, ставя под вопрос абсолютность "рациональности потребителя". Поэтому вопрос о назначении цены достаточно тесно связан с вопросом о рациональности потребительского поведения и определяется признаками сегментирования, типом целевого сегмента, характером продвижения и позиционирования на рынке и самим характером услуги.
Традиционно различают три стратегии ценообразования на услуги: "Наилучшая стоимость" (best value) опирается на теорию о рациональном поведении потребителя - выбирается торговая марка с наименьшей общей стоимостью и ожидаемого качества. Рациональное соотношение цены и качества;
"Искомая цена" (price-seek) опирается на исследования завершенного продукта - выбирается как марка с максимальной ценой с целью максимизации ожидаемого потребительского качества. Максимизация качества и в следствие рост цены;
"Бросовая цена" (price aversion) опирается на теорию, исследующую риски неприятия товаров - выбирается марка с наименьшей ценой с целью минимизации текущих затрат. Минимизация цены за счет минимизации качества.
Отсюда, очевидны и рычаги управления прибылью в товарном ассортименте: снижение стоимости в стратегии "бросовой цены" с увеличением объема продаж; увеличение цены вместе с увеличением качества при "наилучшей стоимости"; рационализация цены и качества в стратегии "искомая цена".
По сущности изложенного мы могли видеть, что прибыльность деятельности предприятия определяется прибыльностью отдельных единиц ассортимента услуг. А, следовательно, анализ ассортимента услуг, с точки зрения его прибыльности по отдельным позициям и, соответственно, оценка ценовой политики это базис для грамотного экономически обоснованного поведения предприятия на рынке, базис грамотного управления ассортиментом услуг.
2.4..Методы прогнозирования объема продаж
Цель данной части дипломной работы — изложить в систематизированном виде методы прогнозирования объема продаж, наиболее часто применяемые в экономической практике. Главное внимание в работе обращено на прикладное значение рассматриваемых методов, на экономическое истолкование и интерпретацию получаемых результатов, а не на объяснение математико-статистического аппарата, который подробно освещается в специальной литературе.
Самым простым способом прогнозирования рыночной ситуации является экстраполяция, т.е. распространение тенденций, сложившихся в прошлом, на будущее. Сложившиеся объективные тенденции изменения экономических показателей в известной степени предопределяют их величину в будущем. К тому же многие рыночные процессы обладают некоторой инерционностью. Особенно это проявляется в краткосрочном прогнозировании. В то же время прогноз на отдаленный период должен максимально принимать во внимание вероятность изменения условий, в которых будет функционировать рынок.
Методы прогнозирования объема продаж можно разделить на три основные группы:
- методы экспертных оценок;
- методы анализа и прогнозирования временных рядов;
- казуальные (причинно-следственные) методы.
-Методы экспертных оценок основываются на субъективной оценке текущего момента и перспектив развития. Эти методы целесообразно использовать для конъюнктурных оценок, особенно в случаях, когда невозможно получить непосредственную информацию о каком-либо явлении или процессе.
Вторая и третья группы методов основаны на анализе количественных показателей, но они существенно отличаются друг от друга.
-Методы анализа и прогнозирования динамических рядов связаны с исследованием изолированных друг от друга показателей, каждый из которых состоит из двух элементов: из прогноза детерминированной компоненты и прогноза случайной компоненты. Разработка первого прогноза не представляет больших трудностей, если определена основная тенденция развития и возможна ее дальнейшая экстраполяция. Прогноз случайной компоненты сложнее, так как ее появление можно оценить лишь с некоторой вероятностью.
-В основе казуальных методов лежит попытка найти факторы, определяющие поведение прогнозируемого показателя. Поиск этих факторов приводит собственно к экономико-математическому моделированию — построению модели поведения экономического объекта, учитывающей развитие взаимосвязанных явлений и процессов. Следует отметить, что применение многофакторного прогнозирования требует решения сложной проблемы выбора факторов, которая не может быть решена чисто статистическим путем, а связана с необходимостью глубокого изучения экономического содержания рассматриваемого явления или процесса. И здесь важно подчеркнуть примат экономического анализа перед чисто статистическими методами изучения процесса.
Каждая из рассмотренных групп методов обладает определенными достоинствами и недостатками. Их применение более эффективно в краткосрочном прогнозировании, так как они в определенной мере упрощают реальные процессы и не выходят за рамки представлений сегодняшнего дня. Следует обеспечивать одновременное использование количественных и качественных методов прогнозирования.
Рассмотрим подробнее сущность некоторых методов прогнозирования объема продаж, возможности их использования в маркетинговом анализе, а также необходимые исходные данные и временные ограничения.
Прогнозы объема продаж с помощью экспертов могут быть получены в одной из трех форм:
1) точечного прогноза;
2) интервального прогноза;
3) прогноза распределения вероятностей.
Точечный прогноз объема продаж — это прогноз конкретной цифры. Он является наиболее простым из всех прогнозов, поскольку содержит наименьший объем информации. Как правило, заранее предполагается, что точечный прогноз может быть ошибочным, но методикой не предусмотрен расчет ошибки прогноза или вероятности точного прогноза. Поэтому на практике чаще применяются два других метода прогнозирования: интервальный и вероятностный.
Интервальный прогноз объема продаж предусматривает установление границ, внутри которых будет находиться прогнозируемое значение показателя с заданным уровнем значимости. Примером является утверждение типа: «В предстоящем году объем продаж составит от 11 до 12,4 млн. руб.».
Прогноз распределения вероятностей связан с определением вероятности попадания фактического значения показателя в одну из нескольких групп с установленными интервалами. Примером может служить прогноз типа:
| Объем продаж компании, млн.руб | Вероятность |
| 10.5 – 11.3 | 0.25 |
| 11.3 – 19.9 | 0.50 |
| 11.9 – 12.4 | 0.25 |
Хотя при составлении прогноза существует определенная вероятность, что фактический объем продаж не попадет в указанный интервал, но прогнозисты верят, что она настолько мала, что может игнорироваться при планировании.
Интервалы, учитывающие низкий, средний и высокий уровень продаж, иногда называют пессимистичными, наиболее вероятными и оптимистическими. Конечно, распределение вероятностей может быть представлено большим количеством групп, но наиболее часто используются три указанных группы интервалов.
Для выявления общего мнения экспертов необходимо получить данные о прогнозных значениях от каждого эксперта, а затем произвести расчеты, используя систему взвешивания индивидуальных значений по какому-либо критерию. Известны четыре метода взвешивания различных мнений:
1) использование равных весов, если эксперты, как полагают исследователи, имеют одинаковые компетентности;
2) использование весов, пропорциональных степени «важности» экспертов, соответствующей их компетентности, известности в ученом мире, опыту в конкретной области деятельности и т.п.;
3) использование весов, пропорциональных самооценкам экспертов. Имеются свидетельства наличия прямой связи между уровнем самооценки компетентности экспертов и точностью экспертных оценок;
4) использование весов, пропорциональных относительной точности последних прогнозов конкретного эксперта.
Выбор метода остается за исследователем и зависит от конкретной ситуации. Ни один из них не может быть рекомендован для использования в любой ситуации.
Избежать проблемы взвешивания индивидуальных прогнозов экспертов и искажающего влияния отмеченных нежелательных факторов позволяет Дельфи-метод . Его основу составляет работа по сближению точек зрения экспертов. Всех экспертов знакомят с оценками и обоснованиями других экспертов и предоставляют возможность изменить свою оценку.
Прогнозирование на основе анализа временных рядов предполагает, что происходившие изменения в объемах продаж могут быть использованы для определения этого показателя в последующие периоды времени. Временные ряды обычно служат для расчета четырех различных типов изменений в показателях: трендовых, сезонных, циклических и случайных.
1.Тренд — это изменение, определяющее общее направление развития, основную тенденцию временных рядов. Выявление основной тенденции развития (тренда) называется выравниванием временного ряда, а методы выявления основной тенденции — методами выравнивания.
Один из наиболее простых приемов обнаружения общей тенденции развития явления — укрупнение интервала динамического ряда . Смысл этого приема заключается в том, что первоначальный ряд динамики преобразуется и заменяется другим, уровни которого относятся к большим по продолжительности периодам времени. Так, например, месячные данные могут быть преобразованы в ряд годовых данных. Тренд в пользовании той или иной услугой является характеристикой относительно стабильного темпа роста показателя за период.
Выявление основной тенденции может быть осуществлено также методом скользящей средней . Для определения скользящей средней формируются укрупненные интервалы, состоящие из одинакового числа уровней. Каждый последующий интервал получаем, постепенно передвигаясь от начального уровня динамического ряда на одно значение. По сформированным укрупненным данным рассчитываем скользящие средние, которые относятся к середине укрупненного интервала.
Изучение основной тенденции развития методом скользящей средней является эмпирическим приемом предварительного анализа. Для того чтобы дать количественную модель изменений динамического ряда, используется метод аналитического выравнивания . В этом случае фактические уровни ряда заменяются теоретическими, рассчитанными по определенной кривой, отражающей общую тенденцию изменения показателей во времени. Таким образом, уровни динамического ряда рассматриваются как функция времени:
Yt = f(t).
Наиболее часто могут использоваться следующие функции:
1) при равномерном развитии — линейная функция: Yt = b 0 + b 1 t ;
2) при росте с ускорением:
а) парабола второго порядка: Yt = b 0 + b 1 t + b 2 t 2 ;
б) кубическая парабола: Yt = b 0 + b 1 t + b 2 t 2 + b 3 t 3 ;
3) при постоянных темпах роста — показательная функция: Yt = b 0 b 1 t ;
4) при снижении с замедлением — гиперболическая функция: Yt = b 0 + b 1 х 1/t.
Однако аналитическое выравнивание содержит в себе ряд условностей: развитие явлений обусловлено не только тем, сколько времени прошло с отправного момента, а и тем, какие силы влияли на развитие, в каком направлении и с какой интенсивностью. Развитие явлений во времени выступает как внешнее выражение этих сил.
Оценки параметров b 0 , b 1 , ... bn находятся методом наименьших квадратов , сущность которого состоит в отыскании таких параметров, при которых сумма квадратов отклонений расчетных значений уровней, вычисленных по искомой формуле, от их фактических значений была бы минимальной.
Для сглаживания экономических временных рядов нецелесообразно использовать функции, содержащие большое количество параметров, так как полученные таким образом уравнения тренда (особенно при малом числе наблюдений) будут отражать случайные колебания, а не основную тенденцию развития явления.
2.Сезонные колебания — повторяющиеся из года в год изменения показателя в определенные промежутки времени. Наблюдая их в течение нескольких лет для каждого месяца (или квартала), можно вычислить соответствующие средние, или медианы, которые принимаются за характеристики сезонных колебаний.
При проверке ежемесячных данных по салонам красоты можно обнаружить, что пик использования эпиляции приходится на осеннее - зимние месяцы. Объем продаж детской обуви приходится на период перед началом учебного года, увеличение потребления свежих овощей и фруктов происходит осенью, повышение объемов строительных работ — летом, увеличение закупочных и розничных цен на сельхозпродукты — в зимний период и т.п. Периодические колебания в розничной торговле можно обнаружить и в течение недели (например, перед выходными днями увеличивается продажа отдельных продуктов питания), и в течение какой-либо недели месяца. Однако самые значительные сезонные колебания наблюдаются в определенные месяцы года. При анализе сезонных колебаний обычно рассчитывается индекс сезонности , который используется для прогнозирования исследуемого показателя.
В самой простой форме индекс сезонности рассчитывается как отношение среднего уровня за соответствующий месяц к общему среднему значению показателя за год (в процентах). Все другие известные методы расчета сезонности различаются по способу расчета выровненной средней. Чаще всего используются такиеметоды расчета индекса сезонности, как:
· Метод центрированной скользящей средней
· Метод сезонной корректировки.
Метод экспоненциального сглаживания используется для краткосрочного прогнозирования объема продаж. Расчет осуществляется с помощью экспоненциально-взвешенных скользящих средних:
Zt = a х Yt + (1 – a) х Zt – 1,
где Z — сглаженный (экспоненциальный) объем продаж;
t — период времени;
a — константа сглаживания;
Y — фактический объем продаж.
Последовательно используя эту формулу, экспоненциальный объем продаж Zt можно выразить через фактические значения объема продаж Y :
![]()
где SO — начальное значение экспоненциальной средней.
При построении прогнозов с помощью метода экспоненциального сглаживания одной из основных проблем является выбор оптимального значения параметра сглаживания a . Ясно, что при разных значениях a результаты прогноза будут различными. Если a близка к единице, то это приводит к учету в прогнозе в основном влияния лишь последних наблюдений; если a близка к нулю, то веса, по которым взвешиваются объемы продаж во временном ряду, убывают медленно, т.е. при прогнозе учитываются все (или почти все) наблюдения. Если нет достаточной уверенности в выборе начальных условий прогнозирования, то можно использовать итеративный способ вычисления a в интервале от 0 до 1. Существуют специальные компьютерные программы для определения этой константы.
3. Объемы продаж услуг большинства салонов красоты показывают значительные колебания. Они растут и падают в зависимости от общей ситуации в бизнесе, уровня спроса на услуги, предоставляемые салонами, деятельности конкурентов и других факторов. Колебания, отражающие конъюнктурные циклы перехода от более или менее благоприятной рыночной ситуации к кризису, депрессии, оживлению и снова к благоприятной ситуации, называются циклическими колебаниями . Существуют различные классификации циклов, их последовательности и продолжительности. Например, выделяются двадцатилетние циклы , обусловленные сдвигами в воспроизводственной структуре сферы производства; циклы Джанглера (7—10 лет), проявляющиеся как итог взаимодействия денежно-кредитных факторов; циклы Катчина (3—5 лет), обусловленные динамикой оборачиваемости запасов; частные хозяйственные циклы (от 1 до 12 лет), обусловленные колебаниями инвестиционной активности [8, с. 92].
Методика выявления цикличности заключается в следующем. Отбираются рыночные показатели, проявляющие наибольшие колебания, и строятся их динамические ряды за возможно более продолжительный срок. В каждом из них исключается тренд, а также сезонные колебания. Остаточные ряды, отражающие только конъюнктурные или чисто случайные колебания, стандартизируются, т.е. приводятся к одному знаменателю. Затем рассчитываются коэффициенты корреляции, характеризующие взаимосвязь показателей. Многомерные связи разбиваются на однородные кластерные группы. Нанесенные на график кластерные оценки должны показать последовательность изменения основных рыночных процессов и их движение по фазам конъюнктурных циклов.
Казуальные методы прогнозирования объема продаж включают разработку и использование прогнозных моделей, в которых изменения в уровне продаж являются результатом изменения одной и более переменных.
Казуальные методы прогнозирования требуют определения факторных признаков, оценки их изменений и установления зависимости между ними и объемом продаж. Из всех казуальных методов прогнозирования рассмотрим только те, которые с наибольшим эффектом могут быть использованы для прогнозирования объема продаж. К таким методам относятся:
- корреляционно-регрессионный анализ;
- метод ведущих индикаторов;
- метод обследования намерений потребителей и др.
К числу наиболее широко используемых казуальных методов относится корреляционно-регрессионный анализ . Техника этого анализа достаточно подробно рассмотрена во всех статистических справочниках и учебниках. Рассмотрим лишь возможности этого метода применительно к прогнозированию объема продаж.
Может быть построена регрессионная модель, в которой в качестве факторных признаков могут быть выбраны такие переменные, как уровень доходов потребителей, цены на продукты конкурентов, расходы на рекламу и др. Уравнение множественной регрессии имеет вид
Y (X 1 ; X 2 ; ...; Xn ) = b 0 + b 1 х X 1 + b 2 х X 2 + ... + bn х Xn ,
где Y — прогнозируемый (результативный) показатель; в данном случае — объем продаж;
X 1 ; X 2 ; ...; Xn — факторы (независимые переменные); в данном случае — уровень доходов потребителей, цены на продукты конкурентов и т.д.;
n — количество независимых переменных;
b 0 — свободный член уравнения регрессии;
b 1 ; b 2 ; ...; bn — коэффициенты регрессии, измеряющие отклонение результативного признака от его средней величины при отклонении факторного признака на единицу его измерения.
Последовательность разработки регрессионной модели для прогнозирования объема продаж включает следующие этапы:
1) предварительный отбор независимых факторов, которые по убеждению исследователя определяют объем продаж. Эти факторы должны быть либо известны (например, при прогнозировании объема продаж услуг салона красоты (результативный показатель) в качестве факторного признака может выступать число оказанных услуг в настоящее время); либо легко определяемы (например, соотношение цены на исследуемый услугу фирмы с ценами конкурентов);
2) сбор данных по независимым переменным. При этом строится временной ряд по каждому фактору либо собираются данные по некоторой совокупности (например, совокупности предприятий). Другими словами, необходимо, чтобы каждая независимая переменная была представлена 20 и более наблюдениями;
3) определение связи между каждой независимой переменной и результативным признаком. В принципе, связь между признаками должна быть линейной, в противном случае производят линеаризацию уравнения путем замены или преобразования величины факторного признака;
4) проведение регрессионного анализа, т.е. расчет уравнения и коэффициентов регрессии, и проверка их значимости;
5) повтор этапов 1—4 до тех пор, пока не будет получена удовлетворительная модель. В качестве критерия удовлетворительности модели может служить ее способность воспроизводить фактические данные с заданной степенью точности;
6) сравнение роли различных факторов в формировании моделируемого показателя. Для сравнения можно рассчитать частные коэффициенты эластичности, которые показывают, на сколько процентов в среднем изменится объем продаж при изменении фактора Xj на один процент при фиксированном положении других факторов. Коэффициент эластичности определяется по формуле

где bj — коэффициент регрессии при j -м факторе.
Ведущие индикаторы — это показатели, изменяющиеся в том же направлении, что и исследуемый показатель, но опережающие его во времени. Например, изменение уровня жизни населения влечет за собой изменение спроса на отдельные товары (услуги), а следовательно, изучая динамику показателей уровня жизни, можно сделать выводы о возможном изменении спроса на эти товары (услуги). Известно, что в развитых странах по мере увеличения доходов возрастают потребности в услугах, а в развивающихся странах — в товарах длительного пользования.
Метод ведущих индикаторов чаще используется для прогнозирования изменений в бизнесе в целом, чем для прогнозирования объема продаж отдельных компаний. Хотя нельзя отрицать, что уровень объема продаж большинства компаний зависит от общей рыночной ситуации, сложившейся в регионах и стране в целом. Поэтому перед прогнозированием собственного объема продаж фирмам часто бывает необходимо оценить общий уровень экономической активности в регионе.
Существенным обоснованием прогноза объема продаж товаров и услуг потребительского назначения могут служить данные обследований намерений потребителей . Они знают о собственных перспективных покупках больше, чем кто-либо, поэтому многие компании проводят периодические обследования мнений потребителей о производимой продукции и вероятности ее покупки в будущем. Чаще всего эти обследования касаются товаров и услуг, приобретение которых планируется потенциальными покупателями заранее.
Конечно, нельзя недооценивать полезность такого рода обследований, но также нельзя не учитывать, что намерения потребителей относительно какого-то товара могут измениться, что скажется на отклонении фактических данных о потреблении от прогнозных.
Итак, при прогнозировании объема продаж могут быть использованы все рассмотренные выше методы. Естественно, возникает вопрос об оптимальном методе прогнозирования в конкретной ситуации. Выбор метода связан, по крайней мере, с тремя ограничивающими условиями:
1) точность прогноза;
2) наличие необходимых исходных данных;
3) наличие времени для осуществления прогнозирования.
Если требуется прогноз с точностью 5%, то все методы прогнозирования, обеспечивающие точность 10%, могут не рассматриваться. Если нет необходимых для прогноза данных (например, данные временных рядов при прогнозировании объема продаж нового продукта), то исследователь вынужден прибегнуть к казуальным методам или экспертным оценкам. Подобная ситуация может возникнуть в связи со срочной потребностью в прогнозных данных. В этом случае исследователь должен руководствоваться временем, имеющимся в его распоряжении, осознавая, что срочность расчетов может сказаться на их точности.
Необходимо отметить, что мерой качества прогноза может служить коэффициент, характеризующий отношение числа подтвердившихся прогнозов к общему числу сделанных прогнозов. Очень важно осуществлять расчет этого коэффициента не по окончании прогнозируемого срока, а при составлении самого прогноза. Для этого можно использовать метод инверсной верификации путем ретроспективного прогнозирования. Это означает, что правильность прогнозной модели проверяется ее способностью воспроизводить фактические данные в прошлом. Других формальных критериев, знание которых позволило бы априорно заявить об аппроксимирующей способности прогнозной модели, не существует.
Прогнозирование объема продаж — неотъемлемая часть процесса принятия решения; это систематическая проверка ресурсов компании, позволяющая более полно использовать ее преимущества и своевременно выявлять потенциальные угрозы. Компания должна постоянно следить за динамикой объема продаж и альтернативными возможностями развития рыночной ситуации с тем, чтобы наилучшим образом распределять имеющиеся ресурсы и выбирать наиболее целесообразные направления своей деятельности.
Глава 3. Экономическая целесообразность применения фотоэпиляции в салонах красоты различного класса.
В данной главе будет рассмотрена экономическая целесообразность использования фотоэпиляции в салонах различного класса на примере конкретных салонов г. Москва.
Для проведения были выбраны 3 салона красоты.
1. Медицинский центр “X” является салоном класса люкс.
В структуру центра входят следующие подразделения:
- Отделение косметологии лица
- Отделение коррекции фигуры
- Отделение аппаратного медицинского педикюра
- Отделение эстетического ухода
- Процедурная
- Консультационный кабинет
- Консультационно – диагностическое отделение
- Отделение пластической хирургии
2. SPA – салон “Y”. Является представителем салона бизнес – класса.
В структуру салона входят следующие подразделения:
- Парикмахерский зал
- Кабинет маникюра
- Кабинет педикюра
- Кабинет (или несколько) косметологии лица (мед. лицензия)
- Кабинет (отделение) коррекции фигуры (мед. лицензия)
- Кабинет эстетического ухода (мед. лицензия на отдельные виды услуг)
- Процедурная
- Консультативный кабинет
- Предприятие общественного питания (кафе, ресторан, специализирующиеся на здоровой пище, - идеальный вариант)
- Спортивный клуб, бассейн
3. Салон красоты “Z”. Представляет салон эконом – класса.
В структуру салона входят следующие подразделения:
- Парикмахерский зал
- Рабочее место маникюра
- Кабинет педикюра
- Косметический кабинет
- Кабинет эстетического ухода и макияжа
- Консультационный кабинет
Из большого спектра услуг все эти салоны предоставляют и такую услугу, как фотоэпиляция. Однако, в каждом из этих предприятий услуга фотоэпиляция различается по некоторым параметрам. В первую очередь она отличается тем, что во всех трех предприятиях используются разные аппараты для фотоэпиляции. Соответственно и результаты от процедуры получаются разными. И самое главное – это стоимость одной процедуры или всего комплекса. Встает вопрос: “Почему возникают эти различия?”.
В данной работе будет рассмотрена услуга фотоэпиляция в трех зонах: подмышки, голень и зона бикини, т.к. это самые распространенные участки тела, на которых клиенты салонов хотят избавиться от нежелательных волос.
Цена процедуры фотоэпиляции рассчитывается следующим образом. На одну процедуры необходимо определенное количество вспышек, разное для различных зон тела. Так, например, для зоны подмышек на одну процедуру в среднем необходимо 16-50 вспышек.
На голень – 200-450 вспышек.
На зону бикини – 20-70 вспышек.
Как правило, в зоне бикини самая высокая цена за одну вспышку. А в зоне голени – самая низкая.
Цена всей процедуры определяется количеством вспышек, умноженным на стоимость одной вспышки в данной зоне.
Например, цена одной вспышки в зоне бикини примерно 150 руб. На одну процедуру необходимо 30 вспышек.
Цена = 150 руб. х 30 всп. = 4500 руб.
Следовательно, одна процедура фотоэпиляции в зоне бикини в среднем будет стоить 4500 руб.
Многие предприятия красоты предлагают комплексную услугу фотоэпиляции. Она заключается в том, что клиенту предлагают сделать фотоэпиляцию в двух зонах по меньшей цене. Например, зона бикини + зона подмышки. Цена комплекса ниже, чем, если бы клиент делал отдельно эпиляцию в зоне бикини и зоне подмышки. Такой вариант предоставления услуг можно сравнить с оптовой и розничной торговлей. За одну единицу товара клиент платит больше, чем за несколько единиц товара.
Такое предоставление услуг выгодно как для предприятий красоты, так и для клиентов. Клиент тратит меньше денег. А предприятие получает гарантию того, что этот клиент будет обслуживаться в этом предприятии. Так же, такие условия привлекают новых клиентов.
Количество процедур фотоэпиляции определяется индивидуально. Из литературных источников известно, что для приостановления роста волос при фотоэпиляции необходимо не меньше 4 процедур. Количество вспышек определяется размерами площади импульса света. При фотоэпиляции площадь 4 кв.см = 1 вспышке, т.е. за одну вспышку обрабатывается 4 кв.см. зоны.
Противопоказания и побочные эффекты были рассмотрены во Введении.
Рассмотрим каждое предприятие красоты отдельно.
Медицинский центр “ X ”.
Как уже было сказано, центр является представителем класса люкс. И вот почему. Расположен центр в престижном районе г. Москва. Персонал в центре имеет высшее образование и высокую квалификацию. Индивидуальный подход к каждому клиенту. В центре используется только дорогостоящая аппаратура “нового поколения”.
Для фотоэпиляции используют многофункциональный аппарат нового поколения VascuLightSR. Он позволяет удалять волосы любого цвета, кроме седых, и любой жесткости, применим на всех участках тела и на всех типах кожи. Этот аппарат, созданный с учетом всех недостатков предыдущих аналогов, намного превышает их по эффективности и мощности. Аппарат имеет развитое программное обеспечение, позволяющее определять оптимальные параметры светового луча для конкретного человека, исходя из индивидуальных особенностей кожи и волос пациента, которые вводит в компьютер врач. Световой поток излучается сериями до 3 импульсов. Возможность удлинения временных промежутков между импульсами значительно снижает риск ожогов и позволяет проводить эпиляцию на смуглой и загорелой коже.
Тепловое энергия, которая выделяется в результате поглощения света меланином волоса разрушает волосяной фолликул. Этот эффект называется селективным фототермолизом и позволяет добиться высокой избирательности воздействия, снижая риск ожога кожи.
Стоимость всего оборудования и все затраты, связанные с обучением персонала для выполнения услуги фотоэпиляция составляет 60000 у.е. Т.к. центр является представителем класса люкс, цены на услуги должны соответствовать ценам в подобных центрах как по Москве, так и в странах западно – европейских государств.
Посмотрим цены на процедуру фотоэпиляции по прайс-листу центра.
Так, цена одной вспышки в зоне подмышек 4 у.е. Если учитывать, что на одну процедуру необходимо до 50 вспышек, то цена процедуры примерно 200 у.е.
Цена одной вспышки в зоне голени 0.8. у.е. На одну процедуру необходимо 200-450 вспышек, следовательно цена одной процедуры примерно 350 у.е.
Цена одной вспышки в зоне бикини 6 у.е. Количество вспышек на одну процедуру 60. цена процедуры 360 у.е.
Так же центр предлагает комплексную услугу фотоэпиляции зона бикини + зона подмышки. В этом случае цена фотоэпиляции в зане бикини остается той же, а вот цена области подмышек ниже. Здесь цена одной вспышки не 4 у.е., как при выполнении отдельной процедуры, а 2 у.е. за одну вспышку. Следовательно цена одной процедуры в области подмышек будет в два раза ниже, а именно 100 у.е. Если учесть, что клиент должен пройти курс фотоэпиляции, состоящий из 3-6 процедур с определенным интервалом, то он экономит от 300 до 600 у.е. Выгода очевидна.
Как показали исследования, в центре хорошая проходимость клиентов. Все клиенты принимаются по предварительной записи. Процедура фотоэпиляции пользуется спросом, т.к. материально обеспеченные клиенты предпочитают более эффективные методы борьбы с нежелательными волосами. Тем более, процедура фотоэпиляции является дорогостоящей, а значит престижной для клиентов салонов класса люкс. В среднем в месяц процедуру фотоэпиляции делают от 15 до 40 клиентов. Количество клиентов зависит от сезонности. Наибольшее число клиентов бывает в осеннее – зимние месяцы. Это связано в первую очередь с тем, что в весеннее – летнее время фотоэпиляцию делать нежелательно, т.к. до и после нее нельзя подвергаться УФО. Ну и конечно это связано с тем, что клиенты хотят к летнему сезону избавиться от нежелательных волос, а для этого необходимо начинать делать фотоэпиляцию уже осенью.
Ниже в таблице 16 представлены данные о выполнении услуги фотоэпиляции в Медицинском центре “X” с октября 2003 г. по январь 2004 г.
Таблица 16
Количество процедур фотоэпиляции, выполненных в Медицинском центре “X” в период с октября 2003 г. по январь 2004 г.
| Количество процедур | ||||||
| № | Зона эпиляции | Октябрь 2003 г. | Ноябрь 2003 г. | Декабрь 2003 г. | Январь 2004 г. | Всего процедур |
| 1 | Подмышки | 15 | 28 | 22 | 30 | 95 |
| 2 | Голень | 24 | 40 | 38 | 42 | 106 |
| 3 | Бикини | 30 | 38 | 40 | 25 | 133 |
Теперь представим эти данные в денежном выражении.
Таблица 17
Стоимость процедур фотоэпиляции, выполненных за период с октября 2003г. по январь 2004 г.
| № | зона эпиляции | Стоимость процедур/у.е. | ||||
| Октябрь 2003 г. | Ноябрь 2003 г. | Декабрь 2003 г. | Январь 2004 г. | Общая сумма | ||
| 1 | Подмышки | 3000 | 5600 | 4400 | 6000 | 19000 |
| 2 | Голень | 8400 | 14000 | 13300 | 10500 | 462000 |
| 3 | Бикини | 10800 | 13680 | 14400 | 9000 | 47880 |
А теперь рассчитаем себестоимость одной процедуры фотоэпиляции в разных зонах.
Себестоимость процедуры определяется из стоимости одной вспышки + все затраты, связанные с предоставлением этой услуги (стоимость дополнительных средств для эпиляции, стоимость аппарата, обучение персонала, заработная плата персонала и прочие).
Стоимость одной вспышки равна 0.32 у.е.
Зона подмышки.
Стоимость одной вспышки 0.32 у.е. На одну процедуру в зоне подмышек необходимо 50 вспышек. 0.32х50 = 16 у.е.
Как видно из таблицы 18, за четыре месяца было выполнено 95 процедур. Значит в месяц в среднем выполнялось 24 процедуры.
Заработная плата специалиста, выполняющего фотоэпиляцию составляет 1000 у.е. если разделить эту сумму на 24 процедуры, то за одну выполненную процедуру специалист получает 41.7 у.е.
Для проведения процедуры требуются специальные средства: проводящий гель и охлаждающий аэрозоль. Цена геля (емкость 1 л) 40 у.е. На одну процедуру расходуется 10 мл геля стоимостью 4 у.е. Цена аэрозоля (1л) 100 у.е. На одну процедуру расходуется 10 мл аэрозоля стоимостью 10 у.е.
Амортизация аппарата. Цена аппарата 25000 у.е. Норма амортизации 10% в год = 2500 у.е. В месяц амортизация = 25000/12 = 208 у.е. Т.к. в месяц выполняется 24 процедуры, то на одну процедуру амортизация равна 8.7 у.е.
Прочие затраты 100 у.е. в мес. На одну процедуру 5 у.е.
Себестоимость процедуры = 16+41.7+4+10+8.7+5 = 85.4 у.е.
Зона “голень”.
На одну процедуру необходимо 400 вспышек. 400х0.32 = 128 у.е.
В месяц в среднем выполняется 26 процедур. З.п. специалиста 1000 у.е. в мес. За одну процедуру з.п. специалиста 38 у.е.
Гель 20 мл стоимостью 8 у.е. Аэрозоль 20 мл стоимостью 20 у.е.
Амортизация аппарата на одну процедуру 8 у.е.
Прочие затраты на одну процедуру 5 у.е.
Себестоимость процедуры = 128+38+8+20+8+5 = 207 у.е.
Зона “бикини”.
На одну процедуру необходимо 60 вспышек. 60х0.32 = 19.2 у.е.
В месяц в среднем выполняется 33 процедуры. З.п. специалиста за одну процедуру = 1000/33 = 30.3 у.е.
Гель 10 мл стоимостью 4 у.е. Аэрозоль 20 мл стоимостью 20 у.е.
Амортизация аппарата на одну процедуру 6.3 у.е.
Прочие затраты на одну процедуру 10 у.е.
Себестоимость одной процедуры = 19.2+30.3+4+20+6.3+10 = 89.8 у.е.
Таблица 18
Экономическая целесообразность применения фотоэпиляции в Медицинском центре “X”
| № | Зона эпиляции | Себестоимость одной процедуры/у.е. | Себестоимость всех процедур с октября 2003 г. по январь 2004 г./у.е | Цена всех процедур по прайс-листу с октября 2003 г. по январь 2004 г./у.е. | Прибыль (Ц-С)/у.е. | |
| 1 | Подмышки | 85.4 | 8113 | 19000 | 10887 | |
| 2 | Голень | 207.7 | 22016 | 46200 | 24184 | |
| 3 | Бикини | 89.8 | 11943.4 | 47880 | 35936.6 | |
| Итого | 382.9 | 42072.6 | 113080 | 71007.6 | ||
Из данной таблицы видно, что Медицинский центр “X” вполне окупает затраты на предоставление такой услуги, как фотоэпиляция. С учетом того, что все затраты были равны 60000 у.е., а себестоимость за один месяц составила 10518.15 у.е., можно рассчитать, что уже через 5.7 мес. окупятся все затраты. Полученная прибыль составила почти 168% от себестоимости услуги. Поэтому в данном центре применение услуги фотоэпиляция можно считать целесообразным, но необходимо привлечение большего количества клиентов для более быстрой окупаемости всех затрат.
2. SPA – салон “ Y ”.
Является представителем салона бизнес – класса. Расположен в спальном районе г. Москва. Персонал – специалисты с высшем образованием, прошедшие практику в салонах класса люкс. Полный спектр услуг. Использование современного оборудования, обеспечивающего высокое качество услуг.
Для фотоэпиляции используют аппарат “Плазмалайт 600”. В аппарате внедрена специально разработанная лампа с низким содержанием К волн – температура ее вспышки всего 70°С. Это позволяет делать 2-3 вспышки на одной зоне без боли, а ресурс лампы без замены превысил 100 тыс. При минимуме потерь энергии время вспышки 2 мсек., пауза 3-4 сек- отпадает потребность в мощном охлаждении. Важно также, что данная лампа не нуждается в дополнительных фильтрах.
Стоимость всего оборудования и все затраты на обучение персонала для выполнения услуги фотоэпиляция составили 30000 у.е.
Цена одной вспышки в области подмышек 5.3 у.е. Необходимое количество вспышек на одну процедуру 30. Цена процедуры 160 у.е.
Цена одной вспышки в зоне голени 0.8 у.е. необходимо 200-400 вспышек. Цена одной процедуры примерно 330 у.е.
Цена одной вспышки в зоне бикини 5.6 у.е. Количество вспышек на одну процедуру 20-60. Цена одной процедуры 310 у.е.
Как показали исследования в SPA – салоне “Y” процедура фотоэпиляция пользуется спросом. Клиентов устраивает относительно не высокая стоимость услуги по сравнения с салонами класса люкс. В среднем в месяц процедуру фотоэпиляции делают от 10 до 25 клиентов. Количество клиентов, так же как и салонах класса люкс, зависит от сезона. Большее количество клиентов в осеннее – зимний период.
В таблице 19 представлены данные о выполнении услуги фотоэпиляции в SPA – салоне “Y” в период с октября 2003 г. по январь 2004 г.
Таблица 19
Количество процедур фотоэпиляции, выполненных в SPA – салоне “Y” с октября 2003 г. по январь 2004 г.
| № | Зона эпиляции | Количество процедур | ||||
| Октябрь 2003 г. | Ноябрь 2003 г. | Декабрь 2003 г. | Январь 2004 г. | Всего процедур | ||
| 1 | Подмышки | 10 | 8 | 5 | 10 | 33 |
| 2 | Голень | 12 | 14 | 10 | 10 | 46 |
| 3 | Бикини | 23 | 23 | 20 | 25 | 91 |
В таблице 20 представлены эти же данные, только в денежном выражении.
Таблица 20
Стоимость процедур фотоэпиляции в SPA – салоне “Y” за период с октября 2003 г. по январь 2004 г.
| № | Зона эпиляции | Стоимость процедур/у.е. | ||||
| Октябрь 2003 г. | Ноябрь 2003 г. | Декабрь 2003 г. | Январь 2004 г. | Общая сумма | ||
| 1 | Подмышки | 1600 | 168 | 800 | 1600 | 5280 |
| 2 | Голень | 3960 | 4620 | 3300 | 3300 | 15180 |
| 3 | Бикини | 7130 | 7130 | 6200 | 7750 | 28210 |
Рассчитаем себестоимость одной процедуры в разных зонах.
Себестоимость одной вспышки 0.24 у.е.
Зона “подмышки”.
На одну процедуру необходимо 30 вспышек. Стоимость одной процедуры 30х0.24 = 7.2 у.е.
В месяц в среднем выполняется 8 процедур.
З.п. специалиста в месяц составляет 800 у.е. За одну процедуру з.п. равна 100 у.е.
Гель 10 мл на одну процедуру 4 у.е. Аэрозоль 10 мл 10 у.е.
Стоимость аппарата 20000 у.е. Норма амортизации 10% в год = 2000 у.е. Амортизация в месяц 167 у.е. На одну процедуру амортизация равна 20.9 у.е.
Прочие затраты на одну процедуру 5 у.е.
Себестоимость одной процедуры = 7.2+100+4+10+20.9+5 = 147.1 у.е.
Зона “голень”.
На одну процедуру необходимо 400 вспышек. 400х0.24 = 96 у.е .
В месяц в среднем выполняется 11 процедур. З.п. специалиста на одну процедуру 72.7 у.е.
Гель 20 мл 8 у.е. Аэрозоль 20 мл 20 у.е.
Амортизация оборудования на одну процедуру 15.2 у.е.
Прочие затраты 5 у.е.
Себестоимость одной процедуру = 96+72.7+8+20+15.2+5 = 216.9 у.е.
Зона “бикини”.
На одну процедуру необходимо 55 вспышек. 55х0.24 = 13.2 у.е.
В месяц в среднем выполняется 23 процедуры. З.п. специалиста за одну процедуру 34.7 у.е.
Гель 10 мл 4 у.е. Аэрозоль 20 мл 20 у.е.
Амортизация оборудования на одну процедуру 7.3 у.е.
Прочие затраты 5 у.е.
Себестоимость одной процедуры = 13.2+34.7+4+20+7.3+5 = 84.2 у.е.
Таблица 21
Экономическая целесообразность применения фотоэпиляции в SPA- салоне “Y”
| № | Зона эпиляции | Себестоимость одной процедуры/у.е. | Себестоимость всех процедур с октября 2003 г. по январь 2004 г./у.е | Цена всех процедур по прайс-листу с октября 2003 г. по январь 2004 г./у.е. | Прибыль (Ц-С)/у.е. |
| 1 | Подмышки | 147.1 | 4854.3 | 5280 | 425.7 |
| 2 | Голень | 216.9 | 9977.4 | 15180 | 5202.6 |
| 3 | Бикини | 84.2 | 7662.2 | 28210 | 20547.8 |
| 4 | Итого | 448.2 | 22493.9 | 48670 | 26176.1 |
Из данной таблицы видно, что салон “Y” за четыре месяца предоставления услуги фотоэпиляция не окупил затраты за ее предоставление . Себестоимость процедур за 1 мес. составила 5623.5 у.е. Все затраты на предоставление услуги фотоэпиляции составили 30000 у.е. По расчетам все затраты окупятся через 5.3 мес. Но для более эффективного развития предприятия необходимо привлечение большего количества клиентов. Поэтому необходимо уделить особое внимание рекламе.
3. Салон красоты “ Z ”.
Является представителем салона эконом – класса. Расположен не далеко от станции метрополитена. Образование специалистов среднее или высшее. Цены примерно на 25 – 30% ниже, чем в салонах бизнес – класса. Оборудование достаточно современное, но не очень дорогое.
Для процедуры фотоэпиляция используется аппарат “SPA - TOUCH”. Метод удаления волос аппаратом для фотоэпиляции SPA TOUCH (СПА ТАЧ) основан на действии пульсирующего света, который поглощается меланином в луковице волоса. Локальное повышение температуры в клетках луковицы приводит к их разрушению, препятствуя последующему росту волос. При этом не повреждаются и не разрушаются прилегающие кожные ткани.
В отличие от существующих аналогичных эпиляторов, SPA TOUCH не производит чрезвычайного тепла, поэтому, ни до процедуры, ни во время ее, не требуется дополнительная система охлаждения или специальные препараты, хотя на очень чувствительных зонах (бикини, подмышечная область, шея, середина спины, руки) возможно прикладывание льда.
Стоимость всего оборудования и всех затрат составляет 20000 у.е.
Цена одной вспышки в области подмышек 3.3 у.е. Необходимо 20 вспышек на одну процедуру. Цена одной процедуры равна 66 у.е.
Цена одной вспышки в зоне голени 0.6 у.е. Необходимое количество вспышек 200-450. Цена одной процедуры примерно 267 у.е.
Цена одной вспышки в зоне бикини 4 у.е. Количество вспышек до 60. Цена одной процедуры 240 у.е.
Как показали исследования, услуга в салоне красоты “Z” пользуется спросом. Но спрос этот очень невелик. Клиентов отпугивают высокие цены, которые не соответствуют классу данного салона.
В таблице 22 представлены данные о выполнении услуги фотоэпиляции в салоне красоты “Z” с октября 2003 г. по январь 2004 г.
Таблица 22
Количество процедур фотоэпиляции, выполненных в салоне красоты “Z” с октября 2003 г. по январь 2004 г.
| № | Зона эпиляции | Количество процедур | ||||
| Октябрь 2003 г. | Ноябрь 2003 г. | Декабрь 2003 г. | Январь 2004 г. | Всего процедур | ||
| 1 | Подмышки | 10 | 7 | - | - | 17 |
| 2 | Голень | 8 | 3 | 4 | 4 | 17 |
| 3 | Бикини | 10 | 8 | 4 | 6 | 28 |
В таблице 23 эти данные переведены в денежное выражение.
Таблица 23
Стоимость процедур фотоэпиляции , выполненных в салоне красоты “Z” с октября 2003 г. по январь 2004 г.
| № | Зона эпиляции | Стоимость процедур /у.е. | ||||
| Октябрь 2003 г. | Ноябрь 2003 г. | Декабрь 2003 г. | Январь 2004 г. | Общая сумма | ||
| 1 | Подмышки | 660 | 462 | - | - | 1122 |
| 2 | Голень | 2136 | 801 | 534 | 1068 | 4539 |
| 3 | Бикини | 2400 | 1920 | 960 | 1440 | 6720 |
Рассчитаем себестоимость одной процедуры по зонам.
Себестоимость одной вспышки равна 0.12 у.е.
Зона “подмышки”
На одну процедуру необходимо 20 вспышек. 20х0.12 = 2.4 у.е.
В месяц в среднем выполняется 4 процедуры. З.п. специалиста, выполняющего данную процедуру 400 у.е. в мес. За одну процедуру з.п. составляет 100 у.е.
Гель 10 мл 4 у.е.
Стоимость аппарата 18000 у.е. Норма амортизации 10% в год = 1800 у.е. В месяц амортизация 150 у.е. На одну процедуру амортизация составляет 37.5 у.е.
Прочие затраты 2 у.е.
Себестоимость одной процедуры = 2.4+100+4+37.5+2 = 145.9 у.е.
Зона “Голень”
На одну процедуру необходимо 400 вспышек. 400х0.12 = 48 у.е.
В месяц в среднем выполняется 4 процедуры. З.п. специалиста за одну процедуру 100 у.е.
Гель 20 мл 8 у.е.
Амортизация на одну процедуру 37.5 у.е.
Прочие затраты 2 у.е.
Себестоимость одной процедуры = 48+100+8+37.5+2 = 195.5 у.е.
Зона “бикини”
На одну процедуру необходимо 60 вспышек. 60х0.12 = 7.2 у.е.
В месяц в среднем выполняется 7 процедур. З.п. специалиста за одну процедуру 114 у.е .
Гель 10 мл 4 у.е.
Амортизация на одну процедуру 15 у.е.
Прочие затраты 2 у.е.
Себестоимость одной процедуры = 7.2+114+4+15+2 = 142.2 у.е.
Таблица 24
Экономическая целесообразность применения фотоэпиляции в салоне красоты “Z”
| № | Зона эпиляции | Себестоимость одной процедуры/у.е. | Себестоимость всех процедур с октября 2003 г. по январь 2004 г./у.е | Цена всех процедур по прайс-листу с октября 2003 г. по январь 2004 г./у.е. | Прибыль (Ц-С)/у.е. |
| 1 | Подмышки | 145.9 | 2480.3 | 1122 | -1358.3 |
| 2 | Голень | 195.5 | 3323.5 | 4539 | 1215.5 |
| 3 | Бикини | 142.2 | 3981.6 | 6720 | 2738.4 |
| 4 | итого | 483.6 | 13540.8 | 12381 | 2595.6 |
Затраты на приобретение оборудования и обучение персонала составили 20000 у.е. Как видно из исследования себестоимость процедур за один месяц составила 3385.2 у.е. (13540.8/4 = 3385.2) Чтобы полностью окупить все затраты, салону необходимо работать как минимум 6 мес. Однако, прибыль за один месяц составила 648 у.е. Связано это с тем, что процедура фотоэпиляция – это дорогостоящая услуга для клиентов салона эконом –класса и ее применение экономически не целесообразно.
Заключение.
Сегодня косметический рынок предлагает большое количество услуг, как сравнительно недорогих, так и дорогостоящих. Одной из них является не так давно появившаяся услуга – фотоэпиляция.
Фотоэпиляция – это метод радикального удаления нежелательных волос на любом участке тела. фотоэпиляция волос – это самый эффективный и наиболее экономически выгодный способ эпиляции, т.к. обладает высокой скоростью обработки (одним импульсом одновременно удаляются сотни фолликул) и дает стойкий долговременный результат. Процедура практически безболезненна и не оказывает вредного влияния на организм. Процедура фотоэпиляции проводится при помощи высокоинтенсивного источника света, спектр излучения которого лежит в диапазоне 590 - 1200 нм. Тепловая энергия, которая выделяется в результате поглощения света меланином волоса, разрушает волосяной фолликул. Этот эффект называется селективным фототермолизом и позволяет добиться высокой избирательности воздействия, снижая риск ожога кожи. Как правило, для получения стойкого результата необходимо пройти 3-5 сеансов фотоэпиляции. Число сеансов зависит от индивидуальных особенностей кожи и структуры волос. Положительными результатами курса фотоэпиляции являются истончение волос, замещение жестких волос пушковыми, снижение плотности их роста.
Данный метод эпиляции имеет следующие преимущества:
- Быстрота исполнения: процедура проходит быстро, в течение 10-15 минут Вы можете избавиться от нежелательных волос в области подмышек и бикини, а за 30-40 минут в области предплечий и голеней.
- Бесконтактность: проводится без прикосновений прибора к коже пациента, что исключает возможность занесения инфекций;
- Индивидуальный подбор специальных фильтров, определяющих длину волны, позволяет достигать максимальной эффективности процедуры эпиляции на каждом конкретном участке тела при любом типе волос и кожи.
Пользуясь личным опытом работы в салоне красоты и опытом работы других салонов красоты г. Москва, могу сказать, что эта услуга пользуется всё большим и большим спросом. И вот почему. Проблема избыточного роста волос является одной из самых актуальных в косметологии. По данным альманаха “Косметика & Медицина”, ежегодный оборот мирового рынка эпиляции оценивается в сумму примерно 90 млрд. долларов, из которых на европейский сегмент рынка приходится 7 млрд. долларов. В зависимости от поставленной задачи потребители могут выбирать удаление волос в домашних условиях ( с помощью бритвенного станка, крема – депилятора, электроэпилятора, воска и т. д.), в косметическом салоне ( горячий воск или электроэпиляция) или в косметической клинике (электро – и фотоэпиляция). Большинство потребителей, решившихся делать эпиляцию в специализированных клиниках и салонах, хотят раз и навсегда избавиться от нежелательных волос. Фотоэпиляция является одним из методов эпиляции, позволяющим это сделать. Вот поэтому фотоэпиляция пользуется большим успехом у потребителей.
Но, с появлением спроса на такую процедуру, как фотоэпиляция, встает другой вопрос. Каждый ли салон красоты может позволить себе оказание такой услуги или это возможно только в дорогостоящих клиниках и салонах класса люкс? Ведь это “дорогое удовольствие”.
Во-первых, аппарат для фотоэпиляции стоит порядка 20 тыс. долларов.
Во-вторых, выполнять эту процедуру должен специально обученный персонал, а это еще затраты на обучение. Соответственно, стоимость одной процедуры колеблется от 100 до 400 долларов.
В данной работе были проведены исследования экономической целесообразности применения фотоэпиляции в салонах красоты различного класса, рассмотрены такие понятия, как рынок косметических услуг, сегменты рынка, классификация предприятий индустрии красоты.
Рынок косметических услуг РФ может различаться следующим образом:
-общий косметический рынок в России
-региональный рынок косметических услуг на территории России
-муниципальные рынки косметических услуг
-локальные (местные) рынки косметических услуг
Предприятия индустрии красоты делятся по трем составляющим:
· Типы (варианты комплектации, расположения и ориентации на целевые группы клиентов)
· Виды (степень открытости и доступности для клиентов)
· Классы (уровни бизнеса, характеризующие нишу, занимаемую на рынке)
В данной работе были рассмотрены три салона красоты, различающихся классами.
Класс – люкс : Медицинский центр “X”.
Бизнес – класс : SPA- салон “Y”.
Эконом – класс : салон красоты “Z”.
Все эти салоны предоставляют такую услугу, как фотоэпиляция. Однако, как видно из гл.3, цена на нее отличаются в каждом из салонов.
Это связано:
во-первых, со статусом каждого из салонов. Цены на услуги в салонах класса – люкс выше на 20-30%, чем в салонах бизнес- класса, а в салонах эконом – класса - ниже на 20-30%, чем в салонах бизнес – класса.
во-вторых, со стоимостью всех затрат на предоставление услуги “фотоэпиляция”. В медицинском центре “X” затраты составили 600000 у.е. В SPA- салоне “Y” - 30000 у.е. В салоне красоты “Z” – 20000 у.е.
в-третьих, с себестоимостью одной процедуры в каждом из салонов.
Исходя из данных, полученных в 3 главе, можно сделать следующие выводы.
Медицинский центр “X”. Как видно из исследований (см. табл. 18), рентабельность производства составила 168% (Рентабельность производства – это отношение прибыли к себестоимости, выраженное в %).
Р = 71007.6 у.е./42072.6у.е.*100% = 168%
Для поддержания этих результатов необходимо привлечение новых клиентов и внедрение новшеств в оказание услуги “фотоэпиляция”.
SPA – салон “Y”. Как видно из исследований, приведенных в табл. 21, рентабельность производства составила 116%.
Р = 26176.1 у.е./22493.9 у.е.*100% = 116%
Это тоже очень хороший показатель. Т.к. количество клиентов, пользующихся услугой “фотоэпиляция” не постоянное, то необходимо уделить особое внимание работе с клиентами, рекламе.
Салон красоты “Z”. Из табл. 24 видно, что услуга “фотоэпиляция” приносит предприятию очень маленькую прибыль. Рентабельность производства составила – 19%.
Р = 2595.6 у.е./13540.8 у.е.*100% = 19%
Существуют нормативные показатели, по которым рентабельность производства должна быть не менее 50 %.
Исходя из всего выше сказанного следует то, что применение услуги “фотоэпиляция” экономически целесообразно только в салонах красоты класса - люкс и бизнес – класса. Для салонов эконом – класса использование фотоэпиляции не целесообразно. В салонах эконом класса рекомендуется использовать другие виды эпиляции, менее дорогостоящие и более доступные для клиентов этих салонов – биоэпиляция воском или элктроэпиляция.
Список используемой литературы.
1. Экономики предприятия под ред. Н.А.Сафронова М.: ЮРИСТЪ, 1998
2. Маркетинговое исследование: информация, анализ, прогноз. И.К.Белявский М.: Финансы и статистика, 2001
3. Маркетинг и исследования рынков И.С.Березин М.: Русская деловая литература, 1999
4. Информация и риск в маркетинге Р.Д.Баззел М.: Финстатинформ, 1993
5. Курс экономической теории под ред. М.Н.Чапурина, Е.А.Киселевой “АСА” Киров, 1997
6.Альманах “Косметика & Медицина”
7. Журнал “Lesnouvellesesthetiques” № 5, № 6 2002 г.
8.Данные корпорации “Пластек”
9. Данные компании “Старая Крепость – косметик маркетинг”
Похожие рефераты:
Внедрение SPA как нового вида услуг в салон красоты (на примере студии загара и красоты "Солана")
Особенности рекламирования косметических средств и салонов красоты
Анализ и оценка факторов, влияющих на эффективность работы персонала салона прически "Марина"
Комплексный анализ регионального рынка услуг салона красоты "Нефертити"
Рынок косметических услуг города Москвы
Разработка целевого рынка теней для век
Анализ сегментирования рынка парфюмерных товаров в коммерческой деятельности компании "Оптима"
Оценка конкурентоспособности сети парфюмерно-косметических магазинов Л'Этуаль
Разработка рекламной кампании салона красоты
Маркетинг и поведение потребителя
Маркетинговые исследования рынка шампуня