| Скачать .docx |
Курсовая работа: Автоматическая система регулирования с П-регулятором
Министерство Российской Федерации по атомной энергии
Северский государственный технологический институт
Кафедра ЭАФУ
АВТОМАТИЧЕСКАЯ СИСТЕМА РЕГУЛИРОВАНИЯ
Курсовой проект
200600.В079.000ПЗ
Преподаватель
В.Я.Дурновцев
___________2003 г .
Студент
И.И.Иванов
___________2003 г.
Северск - 2003
Содержание
Введение
1. Построение статической характеристики объекта
1.1 Постановка задачи
1.2 Аппроксимация полиномом первого порядка
1.3 Аппроксимация полиномом второго порядка
1.4 Расчет коэффициентов передачи
2. Динамическая характеристика
2.1 Постановка задачи
2.2 Динамическая модель объекта первого порядка без запаздывания
2.3 Динамическая модель первого порядка с запаздыванием
3. Построение математической модели объекта
4. Аналитическое решение
5. Частотные характеристики
5.1 Частотные характеристики объекта
5.2 Расширенные частотные характеристики объекта
6. Выбор и расчет параметров настройки регулятора
6.1 Расчет П-регулятора
6.2 Расчет И-регулятора
6.3 Расчет ПИ-регулятора
7. Передаточные функции системы
7.1 Разомкнутые системы
7.1 Замкнутые системы
8. Исследование устойчивости АСР
8.1 Обзор методов исследования на устойчивость
8.2 Проверка устойчивости по методу Рауса
8.3 Проверка устойчивости по корням характеристического уравнения
9. Приведение к системе дифференциальных уравнений
9.1 Система с П-регулятором
9.2 Система с И-регулятором
9.3 Система с ПИ-регулятором
10. Построение переходных процессов
11. Оценка качества функционирования АСР
12. Выводы
ЗАДАНИЕ
на выполнение работы по курсу
"Теоретические основы специальности"
студент гр. В-079 Рахимов Ч.Ш.
1. ИСХОДНЫЕ ДАННЫЕ
1.1 Статическая характеристика объекта регулирования
| i | 1 | 2 | 3 | 4 | 5 | 6 | 7 | 8 | 9 | 10 |
| ti | 0 | 1 | 2 | 3 | 4 | 5 | 6 | 7 | 8 | 9 |
| yi | 0 | 0,1 | 1,5 | 1 | 1,5 | 2 | 2,5 | 3 | 3,2 | 3,5 |
1.2 Динамическая характеристика объекта регулирования
| i | 1 | 2 | 3 | 4 | 5 | 6 | 7 | 8 | 9 | 10 |
| ti | 0 | 1 | 2 | 3 | 4 | 5 | 6 | 7 | 8 | 9 |
| yi | 0 | 0 | 0,5 | 0,71 | 0,8 | 0,91 | 0,98 | 0,99 | 0,995 | 1 |
1.3 Требования к качеству системы регулирования:
- степень колебательности m=0,221;
- статическая ошибка, не более, Yст.доп. = ;
- время регулирования (при 10 %-ной ошибке), tр.доп. = ;
- использовать П, И, ПИ - регуляторы.
2. РАСЧЕТНО - ПОЯСНИТЕЛЬНАЯ ЗАПИСКА (РАЗДЕЛЫ):
Введение
1. Постановка задачи
2. Построение статической характеристики объекта
3. Построение динамической характеристики объекта
4. Математические модели объекта
5. Частотные характеристики объекта
6. Выбор и расчет параметров настройки регуляторов
7. Разомкнутые и замкнутые системы
8. Исследование систем на устойчивость
9. Построение переходных процессов в замкнутой системе
10. Оценка качества системы
11. Выводы
Литература
3. ОБЯЗАТЕЛЬНЫЕ РАСЧЕТЫ (БЕЗМАШИННЫЕ):
- построение статической модели объекта в виде полиномов 1-го и 2-го порядков;
- расчет коэффициента передачи объекта при 10, 50, 90 % номинального режима;
- построение динамической модели объекта в виде передаточной функции 1-го порядка с запаздыванием и без запаздывания;
- формирование математических моделей объекта;
- расчет частотных характеристик объекта;
- выбор и расчет регуляторов;
- формирование передаточных функций разомкнутой и замкнутых систем;
- исследование устойчивости замкнутых систем;
- приведение к системе дифференциальных уравнений;
- оценка качества систем.
4. ПРОВЕРОЧНЫЕ, ОКОНЧАТЕЛЬНЫЕ, ПОЛНЫЕ РАСЧЕТЫ
выполнить на ПЭВМ в электронной книге или в любой из пригодных систем.
ЛИТЕРАТУРА
1. Наладка автоматических систем и устройств управления технологическими процессами: Справочное пособие/ Под ред. А. С. Клюева. -М.: Энергия, 1977. - 400 с.
2. Полоцкий Л. М., Лапшенков Г. И. Автоматизация химических производств. Теория, расчет и проектирование систем автоматизации. - М.: Химия, 1982. - 296 с.
3. Дурновцев В. Я. Расчет АСР /Электронная книга. Северск, СТИ ТПУ, 1997. - 188 с.
4. Дурновцев В.Я., Ширяев А. А. Расчет автоматических систем регулирования. 1. Расчет линейных АСР. - Указания по выполнению индивидуальных заданий и курсовых проектов. -Томск: ТПИ, 1989. - 92 с.
5. Дурновцев В.Я., Ширяев А. А. Линейные автоматические системы регулирования. 1. Объекты АСР. - Методические указания. - Томск: ТПИ, 1989. - 209 с.
6. Дурновцев В.Я., Ширяев А. А. Использование электронных таблиц в инженерных расчетах./ Пособие. - Северск: СТИ ТПУ, 1997. - 47 с.
Дата выдачи задания: 20 февраля 2002 г.
Всякий технологический процесс характеризуется определенными физическими величинами. Для обеспечения требуемого режима работы эти величины необходимо поддерживать постоянными или изменять по тому или иному закону. Физические величины, определяющие ход технологического процесса, называются параметрами технологического процесса. Параметрами технологического процесса могут быть давление, температура, уровень жидкости, концентрация вещества, расход вещества или энергии, скорость изменения какой – либо величины и т. п. Параметр технологического процесса, который необходимо поддерживать постоянным или изменять по определенному закону, называется регулируемой величиной.
В системе ручного регулирования выходное воздействие не оказывает без вмешательства оператора никакого влияния на входное воздействие. Состояние входа системы приводится в соответствие с состоянием ее выхода действиями оператора. Таким образом, лишь благодаря работе оператора система регулирования замыкается. Следовательно, для того чтобы полностью автоматизировать процесс регулирования, необходимо систему сделать замкнутой без вмешательства оператора.
Автоматическим управление называется процесс, при котором операции выполняются посредством системы, функционирующей без вмешательства человека в соответствии с заданным алгоритмом. Автоматическая система с замкнутой цепью воздействия, в которой управляющее воздействие вырабатывается в результате сравнения истинного значения управляемой величины с заданным ее значением, называется АСР. Процесс, посредством которого одну или несколько регулируемых величин приводят в соответствие с их постоянными изменяющимися по определенному закону заданными значениями и при этом указанное соответствие достигается техническими средствами путем выработки воздействия на регулируемые величины. Процесс автоматического регулирования реализуется АСР. Автоматическая система структурно может быть представлена по–разному. В общем случае под структурой АСР понимается совокупность частей автоматической системы, на которые она может быть разделена по определенным признакам, и путей передачи взаимодействий между ними, образующих автоматическую систему. Простейшая составная часть структурной схемы АСР, отображающая путь и направление передачи воздействия между частями автоматической системы, на которые эта система разделена в соответствии со структурной схемой, называется связью структурной схемы. Связь структурной схемы АСР, образуемая основной цепью воздействия между участками этой цепи, называется основной связью. Связь структурной схемы АСР, образующая путь передачи воздействий в дополнение к основной цепи воздействий или какому – либо участку, называется дополнительной связью. Дополнительная связь структурной схемы АСР, направленная от выхода к входу рассматриваемого участка цепи воздействий, называется дополнительной обратной связью (или просто обратной связью). Обратная связь, замыкающая системы, передает результат измерения выходной величины на вход системы. Эта выходная величина представляет собой физическую величину, подлежащую регулированию (х - регулируемая величина или управляемаявеличина). Входная величина g (t) и f (t) являются соответственно задающим и возмущающим воздействием. Задача системы состоит в том, чтобы возможно точнее воспроизводить на выходе х задаваемый закон изменения g (t) и возможно полнее подавлять влияние возмущающего воздействия f (t), а также других внешних и внутренних помех, если они имеются. Для этой цели измеренная выходная величина х сравнивается через измеритель у = к . х с входной величиной g (t). Получается рассогласование (ошибка).
Рассогласование служит источником воздействия на систему, причем система работает на уничтожение или сведения к допустимо малому значению величины этого рассогласования, то есть величины ошибки системы. Случаю g (t) = const соответствует собственно автоматическое регулирование на поддержание постоянного значения регулируемой величины. Это типичная система регулирования по заданной настройке регулятора.
Важно отметить, что в замкнутых системах автоматического управления и регулирования, как правило, не бывает спокойного состояния равновесия. Все время имеются какие-то внешние возмущающие воздействия, порождающие рассогласование, которое заставляет систему работать. Поэтому важнейшим элементом проектирования таких систем является исследование динамических процессов, описываемых обычно системой дифференцируемых уравнений, отражающих поведение всех звеньев системы. Особенностью, усложняющей расчет динамики системы, является то, что в замкнутой системе все физические величины, представляющие воздействие одного звена на другое, связаны в единую замкнутую цепь.
Автоматические системы регулирования должны обеспечивать:
- устойчивость системы при любых режимных ситуациях объекта;
- минимальное время регулирования;
- минимальные динамические и статические отклонения регулируемой величины, не выходящие по уровню за допустимые эксплуатационные пределы.
Выполнение этих требований достигается в результате обоснованного использования одного из законов регулирования – математической зависимости между входной (отклонением регулируемой величины от предписанного значения) и выходной (регулирующим воздействием) величинами регулятора.
1. Построение статической характеристики объекта
1.1 Постановка задачи
Статические характеристики определяют зависимость между выходной и входной величинами звена или системы в установившемся состоянии.
Необходимо найти неизвестные параметры функции f(x) и некоторый минимизирующий критерий близости f(x) к экспериментальным данным y.
Таблица 1
Статическая характеристика объекта регулирования.
| i | 1 | 2 | 3 | 4 | 5 | 6 | 7 | 8 | 9 | 10 |
| X | 0 | 1 | 2 | 3 | 4 | 5 | 6 | 7 | 8 | 9 |
| Y | 0 | 0,1 | 0,5 | 1 | 1,5 | 2 | 2,5 | 3 | 3,2 | 3,5 |
Для построения статической характеристики необходимо табличные данные аппроксимировать полиномами первого и второго порядков.
Затем необходимо рассчитать сумму квадратов отклонений для каждой статистической характеристики объекта, и выбрать такую характеристику, у которой сумма квадратов отклонений будет наименьшей. Затем для этой модели рассчитаем коэффициент передачи объекта.
1.2 Аппроксимация полиномом первого порядка
Модель первого порядка описывается уравнением вида:![]()
y=a∙x+b

Для нахождения коэффициентов а и b составим систему линейных алгебраических уравнений, причем число уравнений в системе равно числу состояний объекта в эксперименте.
Для решения данной системы алгебраических уравнений воспользуемся матричным методом наименьших квадратов. Составим матрицы входных и выходных сигналов:

Получим систему с двумя неизвестными: X. A = Y
Транспонируем матрицу Х:

Умножив слева обе части исходной системы на транспонированную матрицу коэффициентов, получим систему, число уравнений в которой равно числу неизвестных, а решение этой системе будет доставлять минимум критерий оптимизации.
XT . X . A = XT . Y




Получим систему двух линейных алгебраических уравнений первого порядка:

Найдем главный определитель матрицы:

Найдем вспомогательные определители системы:


Найдем коэффициенты а и b:

Таким образом, получим полином:
у =0.428 . х - 0.198
Для оценки полученного полинома вычислим значения функции и сравним их с экспериментальными данными.

Результаты вычисления сведем в таблицу. таблица 2
| i | x | y | yi | Δyi |
| 1 | 0 | 0 | -0.198 | 0.198 |
| 2 | 1 | 0.1 | 0.203 | -0.130 |
| 3 | 2 | 0.5 | 0.658 | -0.158 |
| 4 | 3 | 1 | 1.086 | -0.086 |
| 5 | 4 | 1.5 | 1.514 | -0.014 |
| 6 | 5 | 2 | 1.942 | 0.058 |
| 7 | 6 | 2.5 | 2.370 | 0.130 |
| 8 | 7 | 3 | 2.798 | 0.202 |
| 9 | 8 | 3.2 | 3.226 | -0.026 |
| 10 | 9 | 3.5 | 3.654 | -0.154 |
Сумма квадратов отклонений:
åDуi 2 = 0.174
Ниже приведен проверочный расчет модели объекта первого порядка на ЭВМ в системе MathCad.


1.3 Аппроксимация полиномом второго порядка
Модель второго порядка описывается уравнением вида:
у = а.
х
+ b.
х + с.
Для нахождения коэффициентов а, b, с, удовлетворяющих всем состояниям объекта регулирования составим систему алгебраических уравнений второго порядка, причем число уравнений в системе равно числу состояний объекта в эксперименте:

Для решения данной системы алгебраических уравнений воспользуемся матричным методом наименьших квадратов. Составим матрицы входных и выходных сигналов:

Получим систему с тремя неизвестными: X. A = Y
.
Решим матричное уравнение:
Х т . Х . А = Х т . У
где А - матрица коэффициентов полинома второго порядка.

![]() |
Получим систему трех алгебраических уравнений

Решив ее, определим коэффициенты a, b, c.
Найдем главный определитель системы:

Найдем вспомогательные определители системы:
Найдем коэффициенты a,b,c:




Таким образом, получили полином второго порядка:
y = -0.00152 . xi 2 + 0.442121 . xi -0.21636
Для оценки полученного полинома вычислим значения функции и сравним их с экспериментальными данными:

Полученные результаты сведем в таблицу 3
| i | x | y | yi | Δy |
| 1 | 0 | 0 | -0.216 | 0.216 |
| 2 | 1 | 0.1 | 0.224 | -0.124 |
| 3 | 2 | 0.5 | 0.662 | -0.162 |
| 4 | 3 | 1 | 1.096 | -0.096 |
| 5 | 4 | 1.5 | 1.528 | -0.028 |
| 6 | 5 | 2 | 1.956 | 0.044 |
| 7 | 6 | 2.5 | 2.382 | 0.118 |
| 8 | 7 | 3 | 2.804 | 0.196 |
| 9 | 8 | 3.2 | 3.224 | -0.024 |
| 10 | 9 | 3.5 | 3.640 | -0.14 |
Сумма квадратов отклонений равна: åDуi 2 = 0.173
Ниже приведен проверочный расчет модели объекта первого порядка на ЭВМ в системе MathCad.


Сравнивая суммы квадратов отклонений видно, что полином второго порядка лишь немногим точнее описывает поведение объекта, чем полином первого порядка. Из чего следует, что поведение объекта подчиняется уравнению очень близкому уравнению линии. Для расчетов используем уравнение найденное с помощью полинома второго порядка.
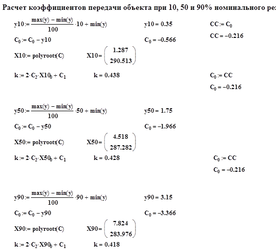
1.4 Расчет коэффициентов передачи
Для статической модели первого порядка коэффициент передачи определяется как производная от выходной величины:
Коэффициент передачи объекта показывает в какую сторону и в какой степени происходит изменение сигнала при прохождении его через объект, то есть усилительные свойства объекта.
Для статической модели первого порядка коэффициент передачи определяется как производная от выходной величины:
![]()
![]()
Для статической модели второго порядка коэффициент передачи определяется как производная от выходной величины:
Расчет коэффициентов передачи производим при 10, 50 и 90%

Рассчитаем значение коэффициента передачи при 10 % по формуле:
где
- максимальное установившееся значение сигнала.
- минимальное значение сигнала.

Подставляя полученные данные, получим:
![]()
Выбираем х1, т.к только он входит в диапазон экспериментальных значений. Подставим значение х1 в (1.2) и получим значение коэффициента передачи при 10 % номинального режима:
Рассчитаем значение коэффициента передачи при 50 % по формуле:

Подставляя полученные данные, получим:

Выбираем х1 , т. к только он входит в диапазон экспериментальных значений. Подставим значение х1 в (1.2) и получим значение коэффициента передачи при 50 % номинального режима:
![]()


Рассчитаем значение коэффициента передачи при 90 % по формуле:
![]()
Выбираем х1 , т. к только он входит в диапазон экспериментальных значений. Подставим значение х1 в (1.2) и получим значение коэффициента передачи при 90 % номинального режима:
Результаты расчета сведены в таблицу.
Таблица 4
Коэффициенты передачи.
| 10% | 50% | 90% | |
| х | 1.287 | 4.518 | 7.824 |
| к | 0.438 | 0.428 | 0.418 |
Ниже приведен проверочный расчет коэффициентов передачи объекта на ЭВМ в системе MathCad.

2. Динамическая модель объекта
2.1 Постановка задачи
Динамическая модель связывает изменение входных и выходных величин во времени, то есть отражает протекание переходного процесса.
Для получения динамической характеристики объекта регулирования необходимо выполнить следующие действия:
- задаться рядом значений времени t ;
- подав на вход объекта возмущение, для каждого t i зарегистрировать значение выходного сигнала y i .
Полученная, таким образом, динамическая характеристика заданного объекта регулирования, приведена в табл. 5.
Таблица 5
Динамическая характеристика объекта регулирования
| i | 1 | 2 | 3 | 4 | 5 | 6 | 7 | 8 | 9 | 10 |
| t | 0 | 1 | 2 | 3 | 4 | 5 | 6 | 7 | 8 | 9 |
| Y | 0 | 0 | 0.5 | 0.71 | 0.8 | 0.91 | 0.98 | 0.99 | 0.995 | 1 |
Для получения аналитической зависимости, заданную таблично динамическую характеристику необходимо аппроксимировать экспоненциальным выражением первого порядка. Затем, по наименьшему значению суммы квадратов отклонений для характеристик без запаздывания и с запаздыванием, нужно выбрать наиболее приближенную к экспериментальным данным динамическую характеристику.
После расчета выполненного вручную следует проверить его на ПЭВМ в системе MathCad, а также произвести расчет динамической характеристики второго порядка и выбрать наиболее точную.
2.2 Модель объекта первого порядка без запаздывания
Динамическая модель первого порядка без запаздывания представляет собой неоднородное дифференциальное уравнение первого порядка:
(2.1)
где T - постоянная времени объекта;
k - коэффициент передачи при 50% номинального режима.
Решением уравнения (2.1) будет экспоненциальная зависимость сигнала на выходе от времени:
(2.2)
где y0 =0 - начальное состояние выхода объекта;
k. x=yуст. =10 - установившееся состояние выхода объекта.
Преобразовав выражение (2.2), получим:
(2.3)
Обозначим левую часть выражения (2.3) как
. Значения
и их натуральные логарифмы приведены в табл. 6.
Таблица 6
Значения
и ![]()
| i | 1 | 2 | 3 | 4 | 5 | 6 | 7 | 8 | 9 | 10 |
| yi | 0 | 0 | 0.5 | 0.71 | 0.8 | 0.91 | 0.98 | 0.99 | 0.995 | 1 |
| 1 | 1 | 0.5 | 0.29 | 0.2 | 0.09 | 0.02 | 0.01 | 0.005 | 0 | |
| 0 | 0 | -0.693 | -1.238 | -1.609 | -2.408 | -3.912 | -4.605 | -5.298 | -∞ |
Преобразовав выражение (2.3), получим:
![]()
откуда по методу наименьших квадратов найдем постоянную времени:

Таким образом динамическая характеристика первого порядка без запаздывания будет иметь вид:

Вычислим аналитические значения функции, их отклонения от экспериментальных значений, а также квадраты отклонений и сведем их в
Таблица 7
Результаты расчета
| i | 1 | 2 | 3 | 4 | 5 | 6 | 7 | 8 | 9 | 10 |
| yi | 0 | 0 | 0.5 | 0.71 | 0.8 | 0.91 | 0.98 | 0.99 | 0.995 | 1 |
| yi анал | 0 | 0.46 | 0.708 | 0.843 | 0.915 | 0.954 | 0.975 | 0.987 | 0.993 | 0.996 |
| 0 | -0.46 | -0.208 | -0.133 | -0.115 | -0.044 | 4.8∙10-3 | 3.4∙10-3 | 2.2∙10-3 | 3.9∙10-3 | |
| 0.000 | 0.212 | 0.043 | 0.018 | 0.013 | 1.9∙10-3 | 2.3∙10-5 | 1.1∙10-5 | 4.9∙10-6 | 1.5∙10-5 |
Далее находим сумму квадратов отклонений:
![]()
Динамическая модель объекта первого порядка без запаздывания является наименее точной, поэтому ее применение не целесообразно при моделировании динамики объекта. Ниже приведен проверочный расчет динамической модели объекта первого порядка без запаздыванием и модели второго порядка без запаздыванием на ЭВМ в системе MathCad.



2.3 Модель объекта первого порядка с запаздыванием
Динамическая модель первого порядка с запаздыванием представляет собой неоднородное дифференциальное уравнение первого порядка:
(2.4)
где T - постоянная времени объекта;
k - коэффициент передачи при 50% номинального режима;
- время запаздывания.
Решением уравнения (2.1) будет экспоненциальная зависимость сигнала на выходе от времени:
(2.5)
где y0 =0 - начальное состояние выхода объекта;
k. x=yуст. =10 - установившееся состояние выхода объекта.
Проведем преобразования, аналогичные модели без запаздывания
![]()
или запишем в виде системы :
(2.6)
где
берется из табл. 7.
Так как
,
и
, то все уравнения содержащие эти элементы в расчете участвовать не будут.
Решим систему (2.6) методом наименьших квадратов. Составим матрицы:
- искомых величин: ![]()
- правой части системы: 
- левой части системы: 
- произведение 
- произведение 
Таким образом получили матричное уравнение:
![]()
Находим главный определитель:
![]()
Подставляя матрицу
поочередно в первый и второй столбец матрицы
, находим вспомогательные определители:
![]()
![]()
Находим постоянную времени и время задержки:
![]()
![]()
Таким образом динамическая характеристика первого порядка с запаздыванием будет иметь вид:

Вычислим аналитические значения функции, их отклонения от экспериментальных значений, а также квадраты отклонений, причем значения функции при
учитывать не будем. Результаты сведем в табл. 8.
Таблица 8
Результаты расчета
| i | 1 | 2 | 3 | 4 | 5 | 6 | 7 | 8 | 9 | 10 |
| yi | 0 | 0 | 0.5 | 0,71 | 0,8 | 0,91 | 0,98 | 0,99 | 0,995 | 1 |
| yi анал | 0 | 0 | 0.199 | 0.565 | 0.764 | 0.872 | 0.93 | 0.962 | 0.98 | 0.989 |
| 0 | 0 | 0.301 | 0.145 | 0.036 | 0.038 | 0.05 | 0.028 | 0.015 | 0.011 | |
| 0 | 0 | 0.090493 | 0.020928 | 0.001291 | 0.001448 | 0.002451 | 0.000769 | 0.00024 | 0.000124 |
Далее находим сумму квадратов отклонений:
.
Так как сумма квадратов отклонений у модели с запаздыванием меньше, чем у модели без запаздывания, то ее использование позволяет более точно описывать протекание переходного процесса.
Расчет на ЭВМ моделей более высоких порядков показывает, что наименьшее значение суммы квадратов отклонений будет у модели второго порядка. Поэтому в дальнейших расчетах будем выполнять все действия именно для модели второго порядка.
Ниже приведен проверочный расчет динамической модели объекта первого порядка с запаздыванием и модели второго порядка с запаздыванием на ЭВМ в системе MathCad.




3. Построение математической модели
Передаточная характеристика объекта представляет собой отношение выходной величины к входной величине.
Передаточная характеристика объекта второго порядка с запаздыванием отличается от характеристики первого порядка наличием в знаменателе дроби квадрата суммы:
![]()
После подстановки известных численных значений и всех преобразований, получим:
![]()
Приведем полученное выражение к нормальной системе дифференциальных уравнений первого порядка и построим математическую модель объекта на ЭВМ в системе MathCad.

4. Аналитическое решение
Для отыскания аналитического решения решим характеристическое уравнение:
0,931 р2 + 1,93 р + 1 = 0 (4.1)
p1 = -1,781; p2 = - 0,290 - корни характеристического уравнения.
Ввиду того, что корни характеристического уравнения кратные подставим их в выражение вида:
u(t) = kx. [1 – [1 + p. (t – τ) ] . ep ( t – τ ) ] (4.2)
где к – коэффициент передачи при 50% номинального режима
р – корни характеристического уравнения (4.3)
t – соответствующий момент времени
τ – время запаздывания
Подставляя соответствующие значения к, р, t, τ получим график переходного процесса в объекте.
Ввиду сложности расчеты производятся на ПЭВМ (см. распечатку)

5. Частотные характеристики
Частотные характеристики объекта связаны с его передаточной функцией следующим образом:
где к = к (50%) = 0.428- коэффициент передачи при 50%:
![]()
Т = 0.965- постоянная времени:
t = 0.715- время запаздывания.
е-τp = cos(w. t) - j . sin(w. t).
Заменив, в выражении для объекта второго порядка величину p на мнимую величину jw, получим комплексную функцию W(jw).
Преобразовав выражение (4.1) получим, что:
![]()
Обозначим в формуле (5.2) :
![]()
- Вещественная частотная
характеристика системы
- мнимая частотная
частотная характеристика системы
Подставив R(w) и I(w) в уравнение (5.2):
W(jw) = R(w) + j .I(w)

Составим соотношения, связывающие между собой частотные характеристики :
где А(w) - амплитудно-частотная характеристика
L(w) - логарифмическая амплитудно-частотная характеристика.
F(w) - фазочастотная характеристика
По формулам (5.3) - (5.5) находим значения для построения частотных характеристик. Эти значения сведены в таблицу 5.1 стр. 30.
Ниже приведен расчет частотных характеристик объекта на ЭВМ в системе MathCAD . Расчет произведен в диапазоне частот 0...2 c-1
для 100 точек. Также представлены графики при
следующих характеристик:
- амплитудно-частотной;
- логарифмической амплитудно-частотной;
- фазо-частотной;
- амплитудно-фазо-частотной.



Расчет расширенных частотных характеристик
При расчете расширенных частотных характеристик вместо замены
производят замену
, где m=0,221 - степень колебательности системы. Введем обозначение:
![]()

где

![]()

Далее, аналогично обычным частотным характеристикам, задавшись рядом частот, подаваемых на вход объекта, производим расчет расширенной амплитудно-частотной характеристики по формуле:
![]()
Затем рассчитываем расширенную фазо-частотную характеристику по формуле:
.
Ниже приведен расчет расширенных частотных характеристик объекта на ЭВМ в системе MathCAD . Расчет произведен в диапазоне частот 0...2 c-1
для 100 точек. Также представлены графики при
следующих характеристик:
- расширенной амплитудно-частотной;
- расширенной амплитудно-фазо-частотной.


6. В ыбор и расчет параметров настройки регуляторов
Автоматические регуляторы по своим динамическим свойствам подразделяются на линейные и нелинейные. При проектировании наиболее часто применяемых линейных регуляторов используют:
- пропорциональный регулятор (П-регулятор);
- интегральный регулятор (И-регулятор);
- пропорционально-интегральный регулятор (ПИ-регулятор);
- дифференциальный регулятор (Д-регулятор);
- пропорционально-дифференциальный регулятор (ПД-регулятор);
- пропорционально-интегро-дифференциальный регулятор (ПИД-регулятор).
Требования, предъявляемые к регулятору, обусловлены требованиями ко всей системе регулирования: в обеспечении устойчивости замкнутой системы. При проектировании систем стремятся обеспечить их устойчивость с некоторой гарантией, так чтобы изменение параметров в некоторых пределах не могло привести к неустойчивости. Для этой цели используются понятия запасов устойчивости систем автоматического регулирования, вводимых на основе частотного критерия Найквиста:
где
-
передаточная функция объектарегулирования;
-
передаточная функция регулятора.
6.1 Расчет П-регулятора
Передаточная характеристика П-регулятора имеет вид:
![]()
![]()
| w | R0 | I0 | j0 | Q0 | KП | jП |
| 0 | 0.428 | 0 | 0 | 0.183 | -2.336 | 3.142 |
| 0.5 | 0.099 | -0.438 | -1.348 | 0.202 | -0.492 | 1.794 |
| 1 | -0.257 | -0.196 | -2.489 | 0.105 | 2.456 | 0.653 |
| 1.5 | -0.208 | 0.041 | -3.336 | 0.045 | 4.627 | -0.194 |
| 2 | -0.095 | 0.109 | -3.994 | 0.021 | 4.545 | -0.852 |
6.2 Расчет И-регулятора
Передаточная характеристика И-регулятора имеет вид:
![]()


| w | Rо | Iо | kи |
| 0 | 0.428 | 0 | 0 |
| 0.5 | 0.099 | -0.438 | 0.432 |
| 1 | -0.257 | -0.196 | 0.602 |
| 1.5 | -0.208 | 0.041 | -1.025 |
| 2 | -0.095 | 0.109 | -4.291 |
6.3 Расчет ПИ-регулятора
Передаточная характеристика ПИ-регулятора имеет вид:
![]()

где ![]()

| w | Rо | KП | kи |
| 0 | 0.428 | -2.336 | 0 |
| 0.5 | 0.099 | -0.492 | 0.432 |
| 1 | -0.257 | 2.456 | 0.602 |
| 1.5 | -0.208 | 4.627 | -1.025 |
| 2 | -0.095 | 4.545 | -4.291 |
Ниже приведены результаты расчета на ЭВМ в электронных таблицах параметров П, И, ПИ-регуляторов, а также графики изменения этих параметров.



7. Передаточные функции системы
7.1 Разомкнутые системы
Структура разомкнутой системы автоматического регулирования может быть изображена следующим образом:

Передаточной функцией такой системы будет выражение:
.
Запишем передаточные функции систем с регуляторами:
- П-регулятором:

- И-регулятором:

- ПИ-регулятором:

7.2 Замкнутые системы
Структура замкнутой системы автоматического регулирования может быть изображена следующим образом:
.

Передаточной функцией такой системы будут выражения:
- по возмущению
;
- по управлению
.
Подставив все известные выражения передаточных функций объекта регулирования и регуляторов, получим передаточные функции систем с различными регуляторами:
- с П-регулятором:
![]()
![]()
- с И-регулятором:
![]()
![]()
- с ПИ-регулятором:
![]()
![]()
8. Исследование устойчивости АСР
Исследование замкнутых АСР на устойчивость предполагает получение ответов на следующие вопросы. Является ли система с рассчитанным регулятором устойчивой, то есть, возвращается ли она в состояние равновесия при наличии возмущений? Какие из параметров системы (объекта и регулятора) и каким образом влияют на устойчивость? При каких предельных значениях параметров система становится неустойчивой? Каков запас устойчивости системы при заданных значениях параметров?
Ввиду сложности решения поставленных задач часто ограничиваются только установлением факта устойчивости заданной системы. Также нужно помнить, что, так как расчет регулятора ведется не только из условия обеспечения устойчивости системы, но и из условия обеспечения заданного качества регулирования, то такая система уже будет устойчивой. Если задана передаточная функция объекта высокого порядка или замкнутая АСР с некоторыми изменяемыми параметрами, то факт устойчивости не очевиден и нужно выполнить такой анализ.
Для исследования на устойчивость замкнутых систем автоматического регулирования разработано множество методов. Среди них определение устойчивости по корням характеристического уравнения, по критерию Гурвица, по критерию Рауса, по частотному критерию Михайлова, по частотному критерию Найквиста, D-разбиение и другие.
8.1 Обзор методов исследования на устойчивость
При определении устойчивости по корням характеристического уравнения исследование производится по оператору левой части дифференциального уравнения, либо по полиному знаменателя исходной передаточной функции. В этом случае система будет устойчивой, если действительные корни характеристического уравнения, действительные части комплексных корней будут отрицательны. Запас устойчивости при таком способе определения устойчивости можно графически представить как расстояние от значения корня до мнимой оси координат.
При оценке устойчивости по критерию Гурвица из коэффициентов характеристического уравнения составляется определитель Гурвица вида:

Для устойчивости АСР необходимо и достаточно, чтобы главный определитель и все определители низших порядков были одного знака с an .
Для проверки устойчивости по критерию Рауса составляется таблица коэффициентов по следующим правилам (см. табл.).
| 1 | - | an | an-2 | an-4 |
| 2 | - | an-1 | an-3 | an-5 |
| 3 | rn =an /an-1 | c13 =an-2 -rn . an-3 | c23 =an-4 -rn . an-5 | c33 =an-6 -rn . an-7 |
| 4 | rn-1 =an-1 /c13 | c14 =an-3 -rn-1 . c23 | c24 =an-5 -rn-1 . c33 | c34 =an-7 -rn-1 . c43 |
| 5 | rn-2 =c13 /c14 | c15 =c23 -rn-2 . c24 | c25 =c33 -rn-2 . c34 | c35 =c43 -rn-2 . c44 |
Система будет устойчива, если все коэффициенты таблицы Рауса положительны, то есть an >0, an-1 >0, c13 >0, c14 >0, c15 >0 и так далее. Если в характеристическом уравнении an <0, то умножаем все коэффициенты исходного характеристического уравнения на -1.
Для исследования на устойчивость систем с запаздыванием по корням характеристического уравнения по критериям Рауса и Гурвица звено запаздывания необходимо разложить в ряд Паде с учитыванием соответствующего числа членов, перемножить полученную передаточную функцию с передаточной функцией объекта, а затем получить передаточную функцию замкнутой АСР с регулятором.
Ввиду значительной трудоемкости при исследовании на устойчивость систем высокого порядка по критериям Рауса и Гурвица обычно используют ЭВМ.
Для исследования устойчивости по критерию Михайлова строится годограф вектора
характеристического уравнения А(р)=0 замкнутой системы. Для устойчивости системы необходимо и достаточно, чтобы вектор
, описывающий своим концом кривую Михайлова при изменении частоты
от 0 до
, начав свое движение с положительной действительной оси и вращаясь против часовой стрелки, последовательно проходил n квадрантов, нигде не обращаясь в нуль (n- порядок характеристического уравнени
Критерий устойчивости Найквиста формулируется следующим образом: если разомкнутая система устойчива, то для устойчивости системы в замкнутом состоянии необходимо и достаточно, чтобы амплитудно-фазовая характеристика разомкнутой системы не охватывала точку на действительной оси с координатами
.
Необходимо отметить, что при исследованиях на устойчивость по критериям Михайлова и Найквиста рассчитываются и строятся графики АФХ характеристического уравнения (критерий Михайлова) или разомкнутой АСР (критерий Найквиста), что является трудоемкой задачей. Поэтому для построения АФХ используется ЭВМ.
Частотные критерии применимы и для исследования на устойчивость систем с запаздыванием в общем виде, без разложения в ряд Паде передаточной функции звена запаздывания, используя его представление в форме Эйлера.
По АФХ замкнутой системы можно определить запас устойчивости по амплитуде и по фазе.
Если необходимо оценить влияние на устойчивость некоторого параметра (коэффициента) системы, например, коэффициента усиления, и определить область значений, внутри которой по этому параметру система будет оставаться устойчивой, то применяют к характеристическому уравнению, в которое входит исследуемый параметр, метод D-разбиения.
Для этого:
- характеристическое уравнение А(р)=0 разбивают на две составляющие (зависящую и не зависящую от параметра)
;
- заменяют p на
и выражают параметр в комплексной форме
;
- изменяют частоту
в пределах от 0 до
и, вычислив координаты точек, строят границу устойчивости;
- полученная кривая дополняется ее зеркальным отображением относительно вещественной оси;
- штрихуют границу слева при движении по кривой в направлении возрастания
;
- область, полностью окаймленная штриховкой, является областью устойчивости;
- по точкам пересечения граничной кривой с вещественной осью определяют диапазон изменения значений параметра q, при которых система остается устойчивой.
8.2 Проверка устойчивости по критерию Рауса
В данной курсовой работе оценку устойчивости замкнутой системы автоматического регулирования произведем по критерию Рауса так как этот метод не предполагает нахождение определителей, а значит наименее трудоемок. Для проверки устойчивости по критерию Рауса заполним таблицы коэффициентов аналогично таблице 14.
Для системы с П-регулятором составим таблицу 15 подставив в соответствующие ячейки коэффициенты при р из знаменателя передаточной характеристики системы.
Таблица 15
Таблица Рауса для системы с П-регулятором
| 1 | - | An =0,179 | An-2 =2,075 | An-4 =2,157 |
| 2 | - | An-1 =0,884 | An-3 =4,176 | An-5 =1,975 |
| 3 | Rn =0,202 | c13 =1,395 | c23 =1,736 | c33 =0 |
| 4 | Rn-1 =0,719 | c14 =3,053 | c24 =1,89 | c34 =0 |
| 5 | Rn-2 =0.422 | c15 =0,873 | c25 =0 | c35 =0 |
| 6 | Rn-3 =3,154 | c16 =1,89 | c26 =0 | c36 =0 |
| 7 | Rn-4 =0,468 | c17 =0 | c27 =0 | c37 =0 |
Из таблицы 15 видно, что замкнутая система с П-регулятором устойчива так как выполняется необходимое условие устойчивости по критерию Рауса.
Аналогично составляем таблицы Рауса (табл. 16 и табл. 17) для замкнутых систем автоматического регулирования с И-регулятором и ПИ-регулятором соответственно.
Таблица 16
Таблица Рауса для системы с И-регулятором
| 1 | - | An =0.179 | An-2 =2.229 | An-4 =3.249 | An-6 =0.284 |
| 2 | - | An-1 =0.884 | An-3 =3.663 | An-5 =0.721 | 0 |
| 3 | Rn =0.202 | c13 =1.487 | c23 =3.103 | c33 =0.284 | c43 =0 |
| 4 | Rn-1 =0.594 | c14 =1.819 | c24 =0.552 | c34 =0 | c44 =0 |
| 5 | Rn-2 =0.818 | c15 =2.651 | c25 =0.284 | c35 =0 | c45 =0 |
| 6 | Rn-3 =0.686 | c16 =0.357 | c26 =0 | c36 =0 | c46 =0 |
| 7 | Rn-4 =7.419 | c17 =0.284 | c27 =0 | c37 =0 | c47 =0 |
| 8 | Rn-6 =1.258 | c18 =0 | c28 =0 | c38 =0 | c48 =0 |
Таблица 17
Таблица Рауса для системы с ПИ-регулятором
| 1 | - | An =0,179 | An-2 =2,127 | An-4 =2,665 | An-6 =0,392 |
| 2 | - | An-1 =0,884 | An-3 =3,959 | An-5 =1,263 | 0 |
| 3 | Rn =0,202 | c13 =1,325 | c23 =2,409 | c33 =0,392 | c43 =0 |
| 4 | Rn-1 =0,667 | c14 =2,352 | c24 =1,002 | c34 =0 | c44 =0 |
| 5 | Rn-2 =0,563 | c15 =1,845 | c25 =0,392 | c35 =0 | c45 =0 |
| 6 | Rn-3 =1,275 | c16 =0,502 | c26 =0 | c36 =0 | c46 =0 |
| 7 | Rn-4 =3,677 | c17 =0,392 | c27 =0 | c37 =0 | c47 =0 |
| 8 | Rn-6 =1,28 | c18 =0 | c28 =0 | c38 =0 | c48 =0 |
Из таблиц видно, что как система с И-регулятором, так и система с ПИ-регулятором устойчивы. Факт устойчивости систем подтверждает правильность расчета параметров регуляторов, так как этот расчет проводился из условия обеспечения устойчивости системы регулирования.
8.3 Проверка устойчивости по корням характеристического уравнения
Ниже приведены результаты проверки устойчивости замкнутых систем по корням характеристического уравнения на ЭВМ в системе MathCad.


9. Приведение к системе дифференциальных уравнений
Система дифференциальных уравнений устанавливает связь выходной координаты с входными в переходном процессе. То есть если передаточная характеристика системы имеет вид:

то связь выходной координаты с входной можно записать так:
.
Для приведения к системе дифференциальных уравнений выполняем следующие действия:
- все члены правой части переносим в левую часть и группируем члены с одинаковыми порядками производных:
;
- формально интегрируем полученное уравнение (порядок уравнения во всех членах уменьшается на 1). Интегрирование выполняется до тех пор, пока не исчезнут все р в левой части.
9.1 Система с П-регулятором
Передаточной функцией системы автоматического регулирования с П-регулятором по возмущению является найденное ранее выражение:
![]()
Тогда в соответствии с вышеизложенным, запишем:

пусть
;
![]()
обозначим
, тогда
![]()
![]()
![]()
![]()
![]()
Тогда окончательно система запишется следующим образом:

Передаточная функция системы с П-регулятором по управлению:
![]()
Тогда в соответствии с вышеизложенным, запишем нормальную систему:

9.2 Система с И-регулятором
Передаточная функция системы с И-регулятором по возмущению:
![]()
Тогда в соответствии с вышеизложенным, запишем нормальную систему:

Передаточная функция системы с И-регулятором по управлению:
![]()
Тогда в соответствии с вышеизложенным, запишем нормальную систему:

9.3 Система с ПИ-регулятором
Передаточная функция системы с ПИ-регулятором по возмущению:
![]()
Тогда в соответствии с вышеизложенным, запишем нормальную систему:

Передаточная функция системы с ПИ-регулятором по управлению:
![]()
Тогда в соответствии с вышеизложенным, запишем нормальную систему:

10. Построение переходных процессов
Несмотря на то, что ряд оценок качества функционирования АСР могут быть вычислены без построения таблиц и графиков переходных процессов, тем не менее, окончательный ответ о пригодности системы можно получить только по результатам исследования переходных процессов. Поэтому на завершающей стадии проектирования АСР всегда стремятся тем или иным способом получить оценки динамических характеристик системы и сравнить их с заданными.
Переходные процессы рассчитывают для замкнутых АСР по возмущающему или управляющему воздействиям. Если по возмущению, то регулятор должен в течении переходного процесса компенсировать это возмущение, а объект - возвратиться в то же состояние, в котором он был до приложения возмущения. Если по управлению, то регулятор должен отработать управляющее воздействие и регулируемая величина на выходе объекта должна принять новое, заданное значение.
При использовании для построения переходных процессов любых методов (аналитические, численные) в качестве исходного материала необходимо иметь математическую модель замкнутой системы в форме передаточной функции, дифференциального уравнения или уравнений АФХ, которые можно получить из передаточной функции.
Если передаточная функция замкнутой системы приведена к дифференциальному уравнению с произвольной правой частью, то аналитическое решение ищется в такой последовательности:
- находятся корни характеристического уравнения;
- строится частное решение с неопределенными коэффициентами;
- это частное решение подставляется в исходное уравнение;
- посредством приравнивания коэффициентов при одинаковых степенях х находятся все неопределенные коэффициенты;
- записывается искомое частное решение.
Это решение и будет являться зависимостью выходной координаты системы от времени.
При использовании численных методов для построения переходных процессов необходимо:
- передаточную функцию замкнутой системы преобразовать в дифференциальное уравнение, разложив при этом звено запаздывания в ряд Паде;
- дифференциальное уравнение n порядка привести к системе из n дифференциальных уравнений первого порядка;
- задать уравнение для возмущающего воздействия;
- выбрать один из численных методов для решения полученной системы; предпочтительнее методы с итерационным уточнением решения на каждом шаге (усовершенствованный метод Эйлера-Коши) или с автоматическим выбором величины шага для обеспечения требуемой точности (метод Рунге-Кутта);
- составить программу для ЭВМ или использовать стандартную из состава математического обеспечения.
Ниже представлены графики переходных процессов по управлению и возмущению систем с П, И и ПИ-регуляторами. Графики построены в системе MathCad.

11. Оценка качества функционирования АСР
Как всякая динамическая система, АСР может находиться в одном из двух режимов – стационарном (установившемся) и переходном. Стационарный режим может быть двух типов: статический и динамический. В статическом режиме, при котором все внешние воздействия и параметры системы не меняются, качество управления характеризуется точностью.
Исчерпывающее представление о качестве переходного процесса дает, естественно, сама кривая процесса. Однако при разработке АСР необходимо иметь возможность судить об основных показателях качества переходного процесса без построения их кривых, по каким-либо косвенным признакам, которые определяются более просто и, кроме того, позволяют связать показатели качества непосредственно со значениями параметров АСР. Такие косвенные признаки называются критериями качества переходного процесса.
Существуют три группы критериев качества: корневые , интегральные и частотные .
Группа корневых критериев основана на оценке качества переходного процесса по значениям полюсов и нулей передаточной функции АСР. В частном случае, когда нулей нет, качество переходного процесса определяется только полюсами.
Переходный процесс в устойчивой системе распадается на затухающие и колебательные составляющие. Если найти длительность самой длительной составляющей и величину колебательности самой колебательной составляющей, то по ним можно оценить верхние пределы величин длительности и колебательности всего переходного процесса.
Интегральными критериями качества называются такие, которые одним числом оценивают и величины отклонений, и время затухания переходного процесса. Такие критерии качества используются для определения оптимальных значений варьируемых параметров по минимуму значения соответствующей интегральной оценки. Применяются интегральные критерии обычно в теории оптимальных систем.
Наибольшее распространение получили частотные критерии , в основу которых положено использование частотных характеристик.
Рассмотрим некоторые критерии качества работы АСР:
1) статическая ошибка – это величина отклонения выходного параметра от заданного значения в установившемся режиме:
![]()
если в числителе передаточной функции системы нет свободного члена, то статическая ошибка равна нулю;
2) динамическая ошибка ∂ y – это максимальное отклонение от установившегося значения в переходном процессе;
3) время регулирования – это время tр , за которое выходная координата системы вошла в зону допустимой погрешности регулирования 2 ∙δ , где δ определяется следующим образом:
![]()
4) величина перерегулирования:

5) степень затухания:
![]()
учитывая, что
; с данным критерием тесно связан еще один параметр – степень колебательности системы
; данные критерии взаимосвязаны следующими соотношениями:

проведя небольшой анализ приведенных соотношений, можно выделить два крайних состояния системы: а) апериодический процесс ψ=1 , m =∞ ; б) незатухающие колебания ψ=0 , m =0 ; часто в расчетах применяют ψ=0.75 , m =0.221 ; все системы регулированию рассчитываются с заданным значением либо ψ , либо m .
АСР считается оптимально настроенной системой, если она удовлетворяет двум или трем критериям качества, например, динамическая ошибка, степень затухания и время регулирования удовлетворяют заданным значениям.
Определим критерии качества для замкнутой АСР по возмущению с П-регулятором. Исходя из графика переходных процессов, статическая ошибка составляет
, динамическая ошибка:
.
Чтобы определить время регулирования, рассчитаем сначала допустимую погрешность регулирования:
.
Таким образом, время регулирования имеет следующее значение
.
Вычислим величину перерегулирования:
.
Воспользовавшись заданным значением степени колебательности системы регулирования, определим степень затухания:
.
Аналогично рассчитываем прямые показатели оценки качества для систем с И и ПИ-регуляторами. Результаты сводим в табл.
Прямые показатели качества АСР
| по возмущению | по управлению | |||||
| П | И | ПИ | П | И | ПИ | |
| дин. ошибка | 0,28 | 0,87 | 0,79 | 0,29 | 0,54 | 0,52 |
| стат. ошибка | 0,5 | 0 | 0 | 0,53 | 1,07 | 1,08 |
| ст. затух. |
0,75 | 0,75 | 0,75 | 0,75 | 0,75 | 0,75 |
| ст. колеб. m | 0,221 | 0,221 | 0,221 | 0,221 | 0,221 | 0,221 |
| перерег. |
0,46 | 0,51 | 0,44 | 0,52 | 0,5 | 0,52 |
| tрег. , с | 14,76 | 88,02 | 44,96 | 14,57 | 33,6 | 20,56 |
12 ВЫВОДЫ
1. Статическая модель объекта тем точнее описывает поведение объекта, чем выше порядок полинома.
2. Применительно к динамической модели выяснилось, что ее точность возрастает только до определенного порядка, а затем точность падает.
3. Автоматическая система регулирования с П-регулятором имеет наименьшее значение максимальной динамической ошибки, однако такой системе присуща статическая ошибка, поэтому П-регуляторы могут применяться в случаях, когда допускается отклонение регулируемой величины от заданного значения в равновесном состоянии системы (более 10%).
4. АСР с И-регулятором характеризуется относительно большой динамической ошибкой и перерегулированием, а также длительным переходным процессом, поэтому область применения И-регуляторов ограничивается объектами, допускающими относительно большое максимальное отклонение регулируемой величины. Ни при каких значениях параметров системы И-регулятор не может обеспечить устойчивого регулирования объекта, не обладающего самовыравниванием.
5. АСР с ПИ-регулятором имеет наиболее оптимальные параметры как по динамической ошибке, так и по времени переходного процесса, степени затухания, колебательности и перерегулированию, поэтому ПИ-регуляторы могут применяться при любых требованиях к значению установившегося отклонения и любом диапазоне возмущающих воздействий, если допустимое время регулирования значительно.
ЛИТЕРАТУРА
1. Дурновцев В.Я., Ширяев А.А. Расчет автоматических систем регулирования. 1. Расчет линейных АСР. - Указания по выполнению индивидуальных заданий и курсовых проектов. - Томск: Отделение № 1 ТПИ, 2988. - 92 с.
2. Основы теории автоматического регулирования: Учебник для машиностроительных специальностей вузов/В.И. Крутов, Ф.М. Данилов, П.К. Кузьмик и др.; Под ред. В.И. Крутова. - 2-е изд., перераб. и доп. - М.: Машиностроение. 1984. 368 с., ил.
