| Скачать .docx |
Курсовая работа: Курсовая работа: Фізико–технологічні процеси створення електролюмінісцентних плоских пристроїв відображення інформації
МІНІСТЕРСТВО ОСВІТИ І НАУКИ УКРАЇНИ
ДЕРЖАВНИЙ ВИЩИЙ НАВЧАЛЬНИЙ ЗАКЛАТ
Курсова робота з курсу «Технологічні основи електроніки»
Фізико – технологічні процеси створення електролюмінісцентних плоских пристроїв відображення інформації.
Зміст
Вступ
Розділ 1. Електролюмінісцентні індикатори
1.1 Порошкові електролюмінісцентні індикатори
1.2 Плівкові електролюмінісцентні індикатори
1.3 Плівкові електролюмінісцентні випромінювачі на шорстких підкладках
1.4 Органічні електролюмінісцентні індикатори
Розділ 2. Конструкції і оптичні параметри ЕЛ, дисплеїв
2.1 Конструкція стандартного тонко плівкового ЕЛ, дисплея
2.2 Технологія прозорого ЕЛ, дисплея
2.3 Результати випробувань і оптичні параметри
2.4 Потенційні застосування для прозорих ЕЛ дисплеїв
Розділ 3. Полімерні електролюмінісцентні панелі
3.1 Фізичні процеси що відбуваються в електролюмінісцентних органічних матеріалах
3.2 Проблеми створення полімерних електролюмінісцентних панелей
3.3 Технологічні рішення і пропозиції провідних фірм
Висновки
Список використаної літератури
Вступ
Кінець XX сторіччя характеризується стрімким розвитком інформатики і обчислювальної техніки, яка вимагає для своїх потреб високонадійних, добротних, ергономічних, малогабаритних пристроїв відображення інформації (ПВІ). Такі пристрої, без перебільшення, можна сказати, є невід'ємною частиною технічного прогресу.
Серед різних типів ПВІ(електронно-променевих, світлодіодних, рідкокристалічних, вакуумно-флуорисцентных, плазмових) електролюмінісцентні (ЕЛ) займають одне з провідних місць завдяки безпосередньому перетворенню електричної енергії на світло, твердотільній плоскій конструкції, швидкодії, широкому куту огляду і широкому діапазону робочих температур.
В області розробки і побудови даних приладів за останні два десятиліття був виконаний значний об'єм робіт. На провідних фірмах, таких як "Sharp K.K." (Японія), "Planar Systems" (США), "Lohja Corp." (Фінляндія) і ін. був налагоджений їх випуск.
У даній роботі будуть розглянуті електролюмінесцентні індикатори, панелі на основі полімерних електролюмінісцентних індекаторах, нові розробки у сфері TFEL, в яких задні електроди замінені прозорим матеріалом, щоб зробити всю панель повністю прозорою. Ця розробка має багато потенційних застосувань, які не можуть бути реалізовані за допомогою невипромінюючих дисплеїв, таких як ЖКИ.
Розділ 1. Електролюмінісцентні індикатори
Однією із основних частин засобів відображення інформації (ЗВІ) являються індикатори – пристрої які перетворюють електричний сигнал в просторове розподілення яскравості (контраст).
Електролюмінісценцією називається явище випромінювання світла тілами під дією електричного поля. Відомі дві що принципово розрізняються по виду електролюмінісценції: перед пробійна, яка виникає в мікроділянках порошкових або плівкових електролюмінофорів при напруженості поля, близьких або рівних пробивним, і інжекційна, що відбувається при рекомбінації електронів і дірок на р — n-переході напівпровідникового кристала включеного в прямому напрямі.
Відповідно до цього виділяють два типи індикаторів — власне електролюмінісцентні індикатори (ЕЛІ) і Напівпровідникові індикатори (ППІ). Хочу зауважити, що ППІ широко відомі як світло діоди (або світло випромінюючі діоди)[1].
1.1 Порошкові електролюмінісцентні індикатори
Перше повідомлення про порошковий ЕЛІ змінного струму появилось в 1952 р. В даний час порошковий ЕЛІ змінного струму виготовляється за допомогою напилення прозорого електроду (Sn02) на скляну пластину і подальшого нанесення на електрод світло випромінюючого шару. В більшості випадків світло випромінювачем є суміш порошкового люмінофора ZNS (ZNS:Pb; Zn:Mn; ZnS:Pb, Cu), ZnSe, ZnSiO4 і діелектричної зв'язки. Як зв'язка використовується матеріал з високою діелектричною проникністю (ε= 20), наприклад стирол, акрил і так далі Таким чином, підвищується та, що діє напруженість поля в частинці ZNS з діелектричною проникністю ε= 10 товщина світло випромінюючого шару 25 – 100мкм.Введенням активаторів в люмінофор можна отримати різні кольори свічення — синій, зелений, жовтий, червоний. Біле свічення виходить при використанні каскадної люмінесценції. синє люмінесцентне свічення збуджує домішаний жовтий флюоресцирующий органічний фарбник і виходить білий колір. Йодвмісні електролюмінісцентні порошки синього кольору свічення, які були відомі до цих пір, мають термін служби тільки близько 30 год. На синє випромінювання вдалося перевести довговічні жовто-зелені склади, що світяться, на основі (Zn, Cd) S : Сu, Br, домішувавши до них 5%-ний сульфід магнію .
За допомогою емпірично розроблених порошкових складів в даний час є можливість виготовлення ЕЛІ із зеленим свіченням, які при ефективній напрузі 50 В, частоті 10 кГц і початковій яскравості близько 100 кд/м^2 можуть працювати багато тисяч годин, поки яскравість не зменшиться удвічі.

Рис.1.1. Амплітудна характеристика порошкового ЕЛІ змінного струму.
Типова вольт – яркісна характеристика для порошкового ЕЛІ змінного струму приведена на рис.1.1. Як видно, яскравість збільшується із зростанням частоти і напруги приблизно пропорційно U3. Проте в багатьох матеріалах збільшення частоти вище 10 кГц дає незначне збільшення яскравості, але веде до надмірних діелектричних втрат. Разом з розробкою ЕЛІ змінного струму ведуться дослідження, направлені на створення індикаторів постійного струму на ZnS-люминофорах.
Світло ізолюючий шар такого приладу складається з люмінофора, в якому порошок ZNS, активований Мn, обробляється іонами Сu, і поверхня зерен ZNS покривається CUS з низьким питомим опором. Використання як активатори Mn, Eu, Tu дозволяє відповідно отримати оранжево-жовте, зелене. Крім того, були розроблені і такі варіанти: зелене свічення при використанні CAS : Це, С1; червоне свічення при CAS : Eu, CI; синьо-зелене свічення при SrS:Ce, С1; зелене свічення при SrS:і .т.д.
Первинна яскравість ЕЛІ постійного струму зазвичай вибирається в межах 100 кд/м^2. Яскравість 300—400 кд/м^2 можна отримати, підвищуючи робочу напругу, але при цьому термін служби зменшується. Первинна щільність струму складає, як правило, приблизно 2 мА/см^2. В умовах безперервної роботи яскравість падає удвічі протягом 103 год. Таке зменшення яскравості супроводжується відповідним зменшенням струму. Підтримка постійної яскравості протягом тривалого часу можливо при управлінні ЕЛІ від компенсуючої схеми збудження, яка підвищує напругу, прикладену до індикатора .
Одне з ЕЛІ постійного струму полягає в тому, що яскравість свічення пропорційна напрузі в шостому ступені або навіть вища. Ця характерна особливість сприяє придушенню кросс-эфекта. Не дивлячись на велику яскравість і інші переваги ЕЛІ постійного струму мають і істотний недолік — малу світловидатність (близько 10% відповідної величини ЕЛІ змінного струму)[1] .
1.2 Плівкові електролюмінісцентні індикатори
У плівкових ЕЛІ змінного струму на підкладку з скла напитлюється прозорий електрод, а на нього тим же способом наноситься шар діелектрика з високою діелектричною проникністю. Як світло випромінюючого шару використовуються плівки люмінофора ZnS:TbF3 завтовшки близько 0.2 мкм. Цей люмінофор дає зелений колір свічення. На плівку наноситься другий непрозорий електрод.
Активування люмінофора рідкоземельними фтористими з'єднаннями дозволяє досягти високої світловидатності і яскравості, а також міняти колір свічення. Наприклад, свічення червоного кольору можна отримати за допомогою введення SmF3, синього кольору — TmF3. Механізм свічення плівкових електролюмінісцентних шарів обумовлений рекомбінацією носіїв заряду, інжектованих кристалами люмінофора і електродами або утворених в результаті тунельного ефекту і ударної іонізації.
Аналогічно порошкоподібному люмінофору, на який впливають постійним струмом, тонко плівкові люмінофори мають дуже різкий поріг напруги. При накладанні напруги вище порогового виникає фотопровідність. В результаті рівень Фермі і межі зон переходу метал — ізолятор зміщуються таким чином, що відбувається тунельна інжекція дірок і електронів в плівку ZNS, що приводить до випромінювальної рекомбінації з утворенням кванта світла. У 1974 р. був розроблений тришаровий плівковий електролюмінісцентний елемент з двома ізоляційними плівками, що забезпечило істотне підвищення яскравості. Як світло випромінюючого шару використовувався плівковий люмінофор ZnS : Мп без домішки міді. Люмінофор повністю покривався ізоляційними плівками з Y2O3 і Si3N4 з високою діелектричною проникністю. Оскільки пробивна напруженість діелектрика Y2O3 складає близько 5*106 В/см і перевищує пробивну напруженість люмінофора, яка рівна 1,2*106 В/см, то при збільшенні прикладеної напруги ZnS пробивається раніше і «гарячі» електрони порушують іони марганцю. При збільшенні прикладеної напруги ZNS пробивається раніше і «гарячі» електрони порушують іони марганцю . Плівковий ЕЛІ на змінному струмі теж тришаровій конструкції, але з ізоляційними шарами з GeО2 і As2S3 працює при додатку імпульсів змінної напруги 800 В з періодом 1000 мкс і тривалістю імпульсу 30 мкс. При цьому реалізується яскравість 350 кд/м^2, колір свічення — оранжевий, термін служби — до 5000 год. Властивий порошковим ЕЛІ малий контраст, обумовлений сильним віддзеркаленням навколишнього світла, в плівкових ЕЛІ підвищується за рахунок застосування чорної поглинаючої плівки, що наноситься на задню підкладку. Хоча при цьому втрачається половина власного випромінювання в задній стінці, та зате вона ж поглинає 100% падаючого навколишнього розсіяного світла.
Такий недолік тонко плівкових ЕЛІ, як мале число можливих кольорів свічення, може бути усунений чисто конструктивним способом. Враховуючи прозорість тонко плівкової електролюмінісцентної структури, можна, в принципі, напилити подвійний або потрійний шар люмінофора з електродами для кожного шару. При відповідній адресації можна отримати поліцвітний індикатор. Параметри матричних ЕЛІ приведені в таблиці 1.1.
У матричних ЕЛІ виявляється помітний крос-ефект, відношення яркостей вибраних і напіввибраних елементів не перевищує 10, іншими словами, контраст малий. Одним з методів збільшення контрасту для створення матричних ЕЛІ, кросс-эффекта, що не мають, є покриття зворотної поверхні електролюмінісцентного шару матеріалом, що має надзвичайно нелінійні вольт-амперні характеристики.
Таблиця 1.1. Параметри матричних ЕЛІ.
| Характеристика | Тип ЕЛІ | ||||
| Порошковій змінного струму | Порошковій постійного струму |
Плівковій змінного струму | |||
| Підкладка | Скло | Скло | Скло | Скло | Скло |
| Прозорий електрод | SnО2 | Sn02 | РЬО | Sn02 | In20з |
| Перший ізоляційний шар. | — | — | Метілметакрілат | — | Y2О3; Si3N4 |
| Світло випромінюючий шар | ZNS : Сu, Br | ZNS: Сu, Al | (Zn, Cd)S | ZNS : Мn, Сu | ZNS : Mn |
| (товщина, мкм) | (40—50) | (0.2—0,3) | |||
| Другий ізоляційний шар | BaTsO3 | Нелінійний опір | — | — | Si3N4 |
| (товщина, мкм) | (10) | (0,2—0,3) | |||
| Непрозорий електрод | Al | А1 | Al | Al | Al |
| Захисна плівка | Епоксидна | Епоксидна | Використовується | Епоксидна | Епоксидна смола |
| смола | смола | пластина з перемикальними схемами з тонкоплівкових транзисторів |
смола | або кремній органічне мастило | |
| Колір свічення | Зелений | Жовто-зелений | Зелений | Жовто-оранжевий | Жовто-оранжевий |
| Розміри панелі, мм^2 | 75X200 | 207X276 | 152X152 | 201X269 | 90X120 |
| Розміри елементу, мм^2 | 0,8X0,45 | 0,75X1,00 | 0,63X0,88 | 0,75X1,00 | 0,35X0,35 |
| Число елементів | 80X80 | 230X230 | 120X120 | 224X224 | 240X180 |
| Яскравість, кд/м2 | 14—40 | 2—4 | 150 | 35 | 100 |
| Контраст | 10:1 | 5:1 | 50 : 1 | 20: 1 | 15:1 |
| Робоча напруга, В | 350 | 80 | 180 | 210 | |
Таким матеріалом може служити порошок карбіду кремнію з пластичною звязуючоюречовиною. Якщо додати цей матеріал, то відношення яркостей вибраних і напіввибраних елементів ЕЛІ досягає 104. При цьому хоча значно поліпшується контраст, але прикладена напруга для отримання даної яскравості необхідно збільшити удвічі і більше, що створює труднощі при управлінні [1].
Залежність яскравості ЕЛІ у включеному стані від опору тонкоплівкового транзистора (б) і яскравості ЕЛІ у вимкненому стані від струму витоку транзистора (в).
1.3 Плівкові електролюмінісцентні випромінювачі на шорстких підкладках
Актуальним завданням при створенні плівкових електролюмінісцентних випромінювачів і індикаторів на їх основі, що використовують ефект перед пробійної люмінесценції, є підвищення їх яскравості, особливо синього і червоного кольорів свічення [2]. Для підвищення яскравості свічення електролюмінісцентних випромінювачів за рахунок збільшення виходу випромінювання із структури були запропоновані конструкції з шорсткою поверхнею підкладки, на яку нанесені шари електролюмінісцентного випромінювача [2], і з мікронерівностями на поверхні прозорого електроду структури [3]. У подібних структурах на збільшення виходу випромінювання крім чисто оптичних ефектів може впливати, мабуть, також і неоднорідний розподіл електричного поля в електролюмінісцентному шарі. Як показують дослідження, неоднорідний розподіл електричного поля в шарі люмінофора існує також в тонко плівкових електролюмінісцентних випромінювачах з композиційним рідким діелектриком з концентрацією цього поля в локальних ділянках того, що стосується зерен наповнювача діелектрика і шару люмінофора [4,5]. Це приводить до зменшення необхідного середнього значення порогової напруженості електричного поля в шарі люмінофора, при якому починається свічення, в порівнянні із звичайними тонкплівочними електролюмінісцентними структурами. При поєднанні тонко плівкової структури електролюмінісцентного випромінювача на шорсткій підкладці з шаром композиційного рідкого діелектрика слід чекати підвищення ступеня неоднорідності електричного поля в шарі люмінофора, що може викликати додаткове збільшення виходу випромінювання.
Для перевірки даного припущення були виконані дослідження електролюмінісцентних структур ”метал-напівпровідник-композиційний рідкий діелектрик-метал (МПКМ) ”, нанесених на звичайну ”гладку” і шорстку скляні підкладки, де М — перший прозорий електрод на основі SnO2 завтовшки 0.2-0.3 µm і другий притискний металевий електрод з мікрометричним регулюванням ходу з погрішністю ±5µm; П-ЕЛ шар ZnS: Mn (0.5% мас.) завтовшки 1.2-1.5 µm; K — шар композиційного рідкого діелектрика, що складається з суміші кремнійорганічної рідини ПФМС-4 з порошкоподібним наповнювачем-титанатом барії BaTiO3 з розміром зерен 1.5-3.0 µм і концентрацією наповнювача в діелектриці приблизно 40% об'єму. Прозорий електрод з SnO2 отримували методом гідролізу хлорного олова. Шар люмінофора наносився вакуумтермичним випаровуванням в квазізамкнутому об'ємі, композиційний рідкий діелектрик наносили у вигляді пасти. Шорсткі підкладки отримували таким, що хімічним травленням ”гладкої” підкладки в плавиковій кислоті. За наслідками вимірювань за допомогою мікроскопа МІЇ-4 шорсткі підкладки мали рівномірно розподілені по поверхні мікронерівності з висотою і лінійними розмірами прядка 1 µm. Поверхневий опір прозорого електроду на ”гладких” підкладках складав 100о/D, на шарахуватих — 100пД.
Вольт-яскравісні характеристики (ВЯХ) МПКМ структури на шорсткій і ”гладкій” підкладках були отримані при збудженні досліджуваних структур синусоїдальною напругою частотою 1 і 5 kHz. Як джерело синусоїдальної напруги використовувався генератор Г3-56/1 з трансформатором, що підвищує. Яскравість досліджуваних структур вимірювалася за допомогою яскравоміра-люксметра ЯРЕМ-3.
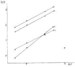
Порівняння ВЯХ електролюмінісцентних структур (мал. 1.2,а) свідчить про те, що при близьких значеннях порогової напруги (при яскравості В = 1cd/m2) максимальна яскравість свічення електролюмінісцентної структури на шорсткій підкладці в області насичення ВЯХ в два рази більше відповідного значення яскравості структури на ”гладкій” підкладці на частоті 5kHz-1445 і 720cd/m2 і більш ніж в два рази на частоті 1 kHz-560 і 246 cd/m2. ВЯХ електролюмінісцентної структури на шорсткій підкладці має також вищу крутизну в порівнянні із структурою на ”гладкій” підкладці.
Із збільшенням товщини шаруючи композиційного рідкого діелектрика (мал. 1.5,b) відмінність порогової напруги структур на шорсткій і ”гладкій” підкладках стає істотнішою і складає порядку 60-70 V на частоті 5 kHz і 90-100 V на частоті 1 kHz. Як ВЯХ структури на ”гладкій” підкладці, так і ВЯХ структури на шорсткій підкладці не мають яскраво вираженого переходу ділянки різкого зростання ВЯХ в область насичення, характерного для тонко плівкових МДПДМ електролюмінісцентних структур.
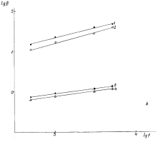
Залежності яскравості B від частоти f (мал. 1.3, а, b) для структур з товщиною шару композиційного рідкого діелектрика dk = 40µm свідчать про те, що на ділянці різкого зростання ВЯХ для структури на шорсткій підкладці характерна лінійна залежність B(f) (показник ступеня б f = 1), а для структури на ”гладкій” підкладці ця залежність носить сублінійний характер з би f = 0.6. На ділянці насичення ВЯХ нахил прямих в координатах lgB — lgf для обох структур практично однаковий з показником ступеня б f = 2/3, що узгоджується з результатами досліджень електролюмінесцентних структур з композиційним рідким діелектриком [5]. Як видно з мал. 9,b, із збільшенням товщини шару композиційного рідкого діелектрика до dk = 100 µm для структур на шорсткій і ”гладкій” підкладках практично однаковий і складає ~ 0.25 для ділянки різкого зростання ВЯХ і ~ 0.55 для ділянки насичення ВЯХ відповідно.
Збільшення максимальної яскравості електролюмінісцентної структури на шорсткій підкладці в порівнянні з ”гладкою” може бути пояснене локальним підвищенням значення напруженості електричного поля в шарі люмінофора, а також наявністю мікролінзового растру на підкладці і мікрорельєфу, що зменшує хвилеводний ефект, що дозволяє збільшити вихід випромінювання із структури.
Слід зазначити, що свічення електролюмінесцентної структури на шорсткій підкладці має більш яскраво виражену зернистість в порівнянні зі свіченням структури на ”гладкій” підкладці [5], що може бути пояснене мікролінзовим ефектом.


Рис. 1.2. Вольт-яскравісні характеристики електролюмінісцентних випромінювачів при: а — dk = 40 µm, b — dk = 100 µm; 1,3 — на шорсткій підкладці, 2, 4 — на гладкій підкладці; 1, 2 — f = 5 kHz, 3, 4 — f = 1 kHz.
Таким чином, використання шорстких підкладок у поєднанні з шаром композиційного рідкого діелектрика в електролюмінесцентних випромінювачах дозволяє істотно підвищити вихід випромінювання із структури і яскравість свічення випромінювача, що може бути використане при створенні електролюмінесцентних індикаторів на основі люмінофорів, яскравість свічення яких в звичайній структурі МДПДМ недостатня.


Рис. 1.3.Залежність яскравості електролюмінісцентних структур від частоти: а — dk = 40 µm, b — dk = 100 µm; 1, 3 — на шорсткій підкладці, 2, 4 — на гладкій підкладці; 1, 2 — на ділянці насичення ВЯХ, 3, 4 — на ділянці зростання ВЯХ.
1.4 Органічні електролюмінісцентні випромінювачі
Останніми роками інтенсивно ведуться роботи, зв'язані із застосуванням гнучких органічних електролюмінісцентних елементів (ЕЛЕ). Таким приладам властиві наступні особливості: високий ступінь інтеграції, ефективне використання площі, велика яскравість, висока надійність, можливість створення індикатора будь-якої форми. Електролюмінісцентний елемент змінного струму складається з прозорого металевого, такого, що світиться, відображає діелектричного і контактного шарів[1] .
Розділ 2. Конструкції і оптичні параметри ЕЛ, дисплеїв
2.1 Конструкція стандартного тонко плівкового ЕЛ, дисплея
Тонкоплівкові електролюмінісцентні (TFEL) дисплеї засновані на розміщенні ізолюючих шарів, а також шару світло випромінюючого люмінофора між прозорими і металевими електродами, як показано на рисунку 2.1. Зазвичай тонко плівковий ЕЛ дисплей побудований на скляній підкладці завтовшки 1,1 мм, виконаною з натрієвого вапна (розмір 195 х 265 мм), і герметичним покривним склом завтовшки 1,1 мм. Спеціальною технологією, розробленою компанією Planar Systems, що реалізовується, є атомне осадження шарів (ALD). Цей метод забезпечує дуже однорідні, добре контрольовані і вільні від пір, шари тонкої плівки і надзвичайно тверді ізолюючі плівки. Світло генерується за допомогою ударного збудження атомів Мn в люмінофорі ZNS електронами, переміщуваними за допомогою прикладеної напруги змінного струму (див. рис. 2.2)[5]. Збудлива напруга може бути синусоїдальної або прямокутної форми.

Рис 2.1. Тонко плівковий електролюмінісцентний дисплей у конфігурації матричного дисплея [5].
Воно прикладається методом мультиплексування між електродами стовпців на одній стороні і електродами рядків на іншій стороні люмінофора (див. рисю2.3). Кожного разу, коли напруга перевищує поріг номінальної напруги близько 200 В, генерується короткий імпульс світла з постійною часу загасання менш ніж 1 мс, і таким чином яскравість випромінюваного світла приблизно пропорційна частоті збудження.

Рис 2.2. Випромінювання світла шляхом збудження атомів Mn за допомогою електронів у люмінофорі ZnS[5].

Рис. 2.3. Управління матричним електролюмінісцентним дисплеєм за допомогою напруги змінного струму[6].
У типових застосуваннях матричних дисплеїв частота збудливої напруги може досягати 250 Гц. У семи сегментних типах дисплеїв (пряме управління без мультиплексування) використовуються навіть вищі частоти. Високовольтні імпульси генеруються електронікою TFEL дисплея, що управляє. Напруга живлення дисплея 5 В і/або 12 В. У стандартному дисплеї ЕЛ як шар люмінофора застосовується ZnS:Mn, і результуючий спектр випромінювання світла є жовтим (див. рис. 2.4.) з максимумом близько 580 нм. Залежно від вимог до кольору, шляхом зміни типу люмінофора можуть бути також отримані інші кольори [5,6].

Рис 2.4. Спектр світлової віддачі люмінофора (ZnS:Mn) електролюмінесцентного дисплея[6].
Завдяки справжній структурі твердого тіла досягаються различ ные корисні параметри. Електролюмінесцентні дисплеї є надзвичайно витривалими в широкому діапазоні робочих температур (–50.85°С, обмежений електронікою, що управляє ), мають тривалий термін служби більше 100 000 ч, широкий кут огляду (більш 160°), короткий час відгуку (менше 1 мс) у всьому діапазоні температур і хороший контраст[6].
2.2 Технологія прозорого ЕЛ, дисплея
Прозорі електролюмінісцентні дисплеї конструюють на базі структури стандартного дисплея ЕЛ шляхом заміни заднього металевого електроду прозорим електродом (наприклад, з окислу індия і олова, ITO) і видалення решти непрозорих шарів із структури дисплея. Для максимального збільшення світло пропускання необхідно погоджувати коефіцієнт заломлення суміжних шарів. Схема поперечного перетину структури показана на рисунку 2.5. Іншим важливим параметром в оптимізації шарів прозорого дисплея ЕЛ є зменшення «ефекту ореолу», який обумовлений внутрішніми віддзеркаленнями, коли не узгоджений коефіцієнт заломлення шарів. У оптичних системах цей ефект також називають оптичним хвилеводом. Відбите світло переміщається між шарами і врешті-решт покидає випромінюючий піксель завдяки ефекту розсіяння. Цей ефект спостерігається, головним чином, в прозорому дисплеї ЕЛ, проте їм можна управляти.

Рис 2.5. Схема поперечного перерізу тонко плівкової електролюмінісценції[7].
Критерієм оцінки даного ефекту є відстань від пікселя, на якому не видимий витік світла при спостереженні через мікроскоп. Як показано нижче, зона ефекту ореолу зменшена шляхом оптимізації шарів і переходу на люмінофор без розсіювання. Іншим способом зменшення ореолу є покриття зовнішніх поверхонь матеріалами, що анти відображають. Іншою важливою проблемою є необхідність виготовлення гладкого шару люмінофора з метою мінімізації розсіяння світла. На початковій стадії розробки використовувався стандартний склад люмінофора і коефіцієнт пропускання був всього лише 75%. Розробка гладших плівок поліпшила світло пропускання до 84%. Дуже складно зробити електроди прозорими, підтримуючи при цьому високу провідність, таку ж, як у металевих електродів. Під час роботи над цим проектом було пройдено декілька етапів для досягнення належних параметрів. Вища провідність також була ключовим параметром для забезпечення надійності панелі при випробуваннях в жорстких умовах навколишнього середовища, включаючи тривалу експлуатацію при високих температурах[7].
Електроніка прозорого дисплея, що управляє, аналогічна стандартним дисплеям ЕЛ. Підключення до майданчиків електродів контуру може бути виконане, наприклад, за допомогою автоматизованої збірки на стрічковому носієві (TAB) для драйверів стовпців і термосварки до друкарської плати для з'єднання з драйверами рядків, що управляють, розміщеними в корпусах для поверхневого монтажу. Можуть бути розглянуті і інші схеми підключення[6,7].
2.3 Результати випробувань і оптичні параметри
Хорошою моделлю для демонстрації прозорого TFEL дисплея був дисплей QVGA (дозвіл 320 Ч 240 пікселів) з кроком стовпців і рядків 0,36 мм і сумарним коефіцієнтом заповнення електродів 74,3%. Цей дисплей приводився в дію за допомогою архітектури розділеного екрану, в якій відображення мультиплексується як два роздільних 120 строчних дисплея. Драйвери з 160 виходами на стрічковому носієві, розташовані на окремих друкарських платах, приєднуються до прозорого дисплея при допомозі
гнучкої сполучної друкарської плати. Аналогічна технологія приміняється для підключення панелі до драйверів рядків. Логічні схеми, перетворювачі постійної напруги і схеми, необхідні для формування імпульсів напруги для управління TFEL панелью, розташовані на окремій друкарській платі, підключеній до плати драйверів плоским кабелем. На рисунку 2.6. показаний зовнішній вигляд цієї панелі. Характер зміни світло пропускання цієї панелі показаний на рисунку 2.7.


Рис 2.6. Зовнішній вигляд прозорого електролюмінісцентного дисплея QVGA[7]. Рис.2.7 Спектр пропускання дисплея QVGA [7]
Були класифіковано три основні типи технологічного процесу люмінофорів: стандартний (розсіюючий), з середнім розсіюванням і без розсіювання. У таблицю зведені основні оптичні властивості, отримані з трьома різними типами рецептур люмінофорів ZnS:Mn, реалізованих в QVGA дисплеях.
Класифіковано три основні типи технологічного процесу люмінофорів: стандартний (розсіюючий), з середнім розсіюванням і без розсіювання. У таблицю зведені основні оптичні властивості, отримані з трьома різними типами рецептур люмінофорів ZnS:Mn, реалізованих в QVGA дисплеях. Таблиця ілюструє значне поліпшення пропускання для люмінофора без розсіювання по відношенню до стандартної технології (84% проти 75%). Подальше поліпшення загального світло пропускання може бути досягнуте за допомогою анти відбивного покриття на обох зовнішніх поверхнях стекол.
Таблиця 2 . Оптичні параметри прозорого ЕЛ дисплея з трьома рецептурами люмінофора на частоті 247 Гц.

Це може додати близько 7,5% до світло пропускання. Новий технологічний процес без розсіювання світла також зменшив дифузійне віддзеркалення (0,3% проти 1,7%) і розсіяне світло від пікселів, що світяться (половина довжини ореолу зменшена з 20 до 15 пікселів). Проте, існує деяка втрата яскравості щодо стандартної технології (109 кд/м2 проти 156 кд/м2). Проте, завдяки зменшеному віддзеркаленню, відносний контраст при сильному засвіченні на рівні освітленості 50 000 лк покращуваний з 1,6 : 1 до 3,1 : 1. Графік залежності відносного контрасту при яскравому зовнішньому освітленні показаний на рисунку 2.8. Відносний контраст (CR) понад 2 : 1 є легко розбірливим, а CR понад 3 : 1 є дуже зручним для прочитування буквенноцифрових знаків. Для зовнішніх застосувань найбільш важливим максимально можливе зменшення дифузних віддзеркалень. Як вже згадувалося, подальше поліпшення може бути досягнуте при допомозі антивідбивних покриттів на зовнішніх поверхнях[5,6,7].

Рис. 2.8. Відносний контраст (CR)при високій зовнішній освітленості для прозорих дисплеїв ЕЛ з трьома рецептурами люмінофорів.
Зображення, отримане без розсіювання світла, є значно покращуваним в порівнянні із стандартною технологією. Хоча яскравість в темній кімнаті нижча, ефект ореолу зменшений, а відносний контраст при високій зовнішній освітленості збільшений. Паралельно було проведено невелике дослідження ергономічних характеристик. Це дослідження було експертною оцінкою, де було перевірено час реакції користувача на інформацію, що змінюється на дисплеї. Випробування для спеціального застосування прозорих ЕЛ панелей першого покоління показали, що яскравість в умовах типового офісу була дуже високою. І несподівано з'ясувалося, що час реакції на зміну інформації дисплея покращав в умовах вищої освітленості. Ще одна система була сконструйована для оцінки суб'єктивного прочитування зображення людиною. Група спостерігачів оцінювала три типи дисплеїв, представлених в таблиці. У всіх вибраних вимірюваннях новий тип дисплея без розсіювання світла був визнаний комфортнішим і легшим для читання, ніж тип дисплеї першого покоління з розсіюванням світла.
2.4 Потенційні застосування для прозорих ЕЛ дисплеїв
Прозорі дисплеї знаходять застосування в додатках, де площа є стримуючим чинником і є необхідність забезпечити користувачів подвійним набором інформації. Наприклад, декілька років була відома ідея використання прозорого дисплея TFEL перед аналоговими вимірювальними приладами в автомобільній приладовій панелі.
Дисплеї, що проектують зображення на лобове скло, можуть бути ідеальним застосуванням для TFEL. Хоча пряме сонячне світло розмиватиме зображення, оскільки сонце, що світить крізь дисплей, було б дуже яскравим для будь-якої випромінювальної технології дисплеїв, вся інформація на дисплеї для проекції на лобове скло багато разів доступна в «звичайних» вимірювальних приладах автомобіля. Прозорі дисплеї дозволяють створювати вражаючі конструкції як для професійних, так і для побутових застосувань, наприклад, в додатках, де прозорий дисплей допомагає спостерігачеві визначати місцезнаходження предметів за екраном. На інші інформаційні дисплеї також можуть бути накладені умовні знаки або повідомлення.
Було запущено декілька проектів з прозорими дисплеями ЕЛ для видозміни виробу за допомогою унікального візуального оформлення. Інженери і конструктори можуть отримати вигоду із здатності TFEL скла витримувати високі температури (до +600°С), щоб зігнути скло в криву поверхню після того, як дисплей був проведений. Це також відкриває можливості обробки TFEL дисплея (без захисного скла) при високих температурах на території замовника. На малюнку 13 представлені зразки прототипів нових концепцій, які були виготовлені для демонстрації гнучкості.
Розділ 3.Полімерні електролюмінісцентні панелі
3.1 Фізичні процеси що відбуваються в електролюмінісцентних органічних матеріалах
Перше повідомлення про випромінювання в зеленій області спектру осадженого з газової фази органічного матеріалу (три-8-гидроксихинолін алюміній) з'явилося в 1989 році. У 1990-му на основі плівки поліпарафеніленвінілена (PPV) був виготовлений тонкоплівковий полімерний світло випромінюючий діод (СВД). Електролюмінісценція органічних матеріалів типу PPV, що отримали назву зв'язаних, пояснюється наявністю у них напівпровідникових властивостей, обумовлених перекриттям орбіт електронів уздовж ланцюжка полімеру. Перекриття приводить до формування валентної зони і зони провідності – таких же, як і у напівпровідникового матеріалу. При подачі напруги, що перевищує порогове значення, у валентну зону і зону провідності інжектуются, відповідно, електрони і дірки, і відбувається їх рекомбінація. Величина порогової напруги залежить від потенційного бар'єру, визначуваного значеннями роботи виходу і спорідненістю до електрона негативно зарядженого електроду, а також від роботи виходу і потенціалу іонізациі позитивно зарядженого електроду. Загасання утворюваних в результаті рекомбінації електронів провідності і дірок валентної зони синглетних і триплетних екситонів супроводжується вивільненням енергії (триплетних — тепловий, синглетних — світловий). Довжина хвилі світлового випромінювання залежить від енергії синглетного екситона, тобто від ширини забороненої зони матеріалу, а яскравість свічення — від інжекції електронів і дірок в матеріал[6].
3.2 Проблеми створення полімерних електролюмінісцентних панелей
Одна з найважливіших проблем при створенні полімерних електролюмінісцентних панелей — вибір матеріалу електроду, придатного для інжекції електронів і дірок з однаковою швидкістю. Зазвичай електрод, призначений для інжекції електронів, виконують з металу з низькою роботою виходу, оскільки метали з високою роботою виходу хімічно активні і легко взаємодіють з киснем навколишнього середовища. Така взаємодія приводить до відшаровування електроду від полімеру, утворенню невипромінюючих темних областей і деградації характеристик приладу6].
3.3 Технологічні рішення і пропозиції провідних фірм
Для вирішенням цієї проблеми багато зроблене фахівцями фірми Cambridge Display Technology (CDT, Великобританія). Сьогодні вони освоюють нову технологію, розроблену одним з першопроходців в цій області, — Кембріджським університетом. Учені університету запропонували використовувати двошарову гетероструктуру (шар PPV і шар PPV, що переносить електрони), на межі розділу якої унаслідок різниці енергій валентних зон і зон провідності шарів виникає енергетичний бар'єр. Гетероструктура кладеться між прозорим електродом з окислу індія-олова і алюмінієвим електродом. Електрони, інжектіруємі в циано ppv, переносяться в область переходу, де і утримуються потенційним бар'єром. Це приводить до формування з обох боків переходу просторового заряду. Завдяки малій товщині гетероструктури (0,1 мкм) електрони тунелюють через бар'єр і рекомбінують з дірками. Оскільки полімер в поперечній площині не проводить струм, елементи зображення самоізоліровані, тобто включаються тільки при подачі сигналу на верхній і нижній електроди. Крок елементів і, отже, роздільна здатність такої полімерної індикаторної панелі залежать від роздільної здатності устаткування, використовуваного для створення малюнка електродів.
Яскравість свічення полімерного випромінюючого діода з гетероструктурою фірми CDT рівна 10 кд/м^2 при напрузі 5 В і щільність струму 1 ма/см2. Частота перемикання перевищує 1 Мгц, що відповідає вимогам, що пред'являються до промислових напівпровідникових СВД. Внутрішній квантовий вихід приладів складає приблизно 5% (для індикаторів на основі напівпровідникових СВД — 3%). Правда, термін служби полімерних діодів невеликий — всього біля 3 тис. годинника. Застосувавши відповідну герметизацію і устаткування , розробники сподіваються збільшити його до 10 тис., а потім і до 20 тис. годинника.
Фірма Uniax, розробляюча полімерні СВД з 1996 року, добилася значних успіхів у вдосконаленні їх конструкції, а також в досягненні ефективної інжекції електронів і дірок незалежно від відносних значень роботи виходу електродів і енергії носіїв полімеру. Це дозволить виконувати електроди з будь-якого металу незалежно від його роботи виходу. У основу конструкції СВД покладена свіловипромінюючий електрохімічний осередок, що формуєтьсяз суміші світло випромінюючого полімеру і полімерного електроліту. При подачі напруги на такий осередок полімер з одного боку окислюється (область p-типа провідності), а з іншою відновлюється (область n-типа), що приводить до формування p-n-перехода. У відсутність напруги p-n-переход зникає. Такий перехід отримав назву динамічного. Поки розробники украй обережно оцінюють отримані результати, хоча випробування показали, що після зберігання протягом року темні крапки під електродами не утворюються.
Цікавий запропонований фахівцями університету і фірми Hewlett-packard Рочестерського метод формування “СВД-МАТРІЦ пікселів” за допомогою звичайного процесу фотолітографії, використовуваного в напівпровідниковій технології. Згідно цьому методу, на шар PPV, що формується поверх електродів з окислу індия-олова на скляній підкладці, наносится однорідна плівка фоточутливого кислотного генератора. Потім проводиться операція експонування через шаблон для отримання прихованого зображення. І нарешті, структура обробляється в розчині хлороформу, що видаляє неекспоновані ділянки PPV-слоя. Яскравість свічення виготовлених таким чином матриць складала 100—500 кд/м2 при терміні служби близько 10 тис. годинника. Проте щоб на базі цієї технології організувати виробництво кольорових полімерних дисплеїв, належить виконати великий об'єм робіт.
Розробка в 1990 році блакитного полімерного СВД вселила надію, що незабаром вдасться створити полімерні кольорові індикатори і індикатори білого свічення шляхом формування тріад червоних, зелених і синіх СВД. Проте об'єднання на одній підкладці плівок полімерів, випромінюючих на різних довжинах хвиль, виявилося надзвичайно важким завданням. Процес нанесення кожного подальшого випромінюючого шару такої структури приводив до деградації раніше обложених шарів, а індикатори цього типуне відрізнялися високими характеристиками. Проблему, мабуть, вдалося вирішити ученим Центру перспективної технології в області фотоніки і оптоелектроніки Прінстонського університету. Вони створили прилад, випромінюючий комбінацію основних квітів, що дозволить формувати “білий” або “кольоровий” піксель за допомогою одного приладу, а не тріади СВД. В результаті число елементів зображення індикаторного пристрою на основі таких органічних СВД збільшується в три рази.
Прилад складається з трьох шарів світло випромінюючого органічного матеріалу і чотирьох шарів електродів. Цю структуру вдалося створити завдяки розробці в університеті Південної Каліфорнії електролюмінісцентного органічного матеріалу (не полімеру), що складається з невеликих молекул. Відмітна властивість матеріалу — його прозорість. У набірному органічному світло випромінюючому пристрої, запропонованому ученими Прінстонського університету, нижній електрод, що наноситься на скляну або пластмасову підкладку, виготовлений з окислу індія-олова. Осталеві електроди виконані у вигляді надзвичайних тонких напівпрозорих металевих плівок, що облягають методом напилення або ВЧ-ІОННОГО розпилювання. Колір свічення СВД перебудовується шляхом зміни напруги, що подається на світло випромінюючі шари. Товщина структури не перевищує 1 мм[5,6,7].
Проте для створення придатного для застосування індикаторного пристрою на основі нового приладу необхідно вирішити ряд важливих проблем, зокрема виключити спотворення кольору, що викликається утворенням мікропорожнеч між шарами. Роботи по моделюванню цих ефектів, оптимізації товщини шарів і пошуку нових матеріалів ведуться на фірмі Universal Display — єдиною, кому була надана ліцензія на світло випромінюючі матеріали і прилади, спільно розроблені Прінстонським центром і Університетом Південної Каліфорнії. Якщо цю технологію вдасться успішно реалізувати, то нові органічні пристрої відображення не тільки захоплять частину ринку плоских дисплеїв, але і розширять його. Крім моніторів комп'ютерів і телевізорів нові пристрої знайдуть застосування в дисплеях переднього огляду транспортних засобів і інших технічних новинках. Але це справа віддаленого майбутнього. Зараз же на ринок поступають перші вироби на базі нової технології — монохромні індикатори з пасивною адресацією і діагоналлю екрану не більше 10 см, які призначені для контрольно-вимірювальної апаратури, пейджерів, автомобільних стереосистем, стільникових телефонів або просто для підсвічування ЖКИ. Подальші зусилля розробників будуть направлені на створення економічно ефективних великоформатних кольорових дисплеїв з терміном служби 50 тис. годинника.
У епоху настільних комп'ютерів і великих машин найважливішими параметрами пристроїв відображення інформації були високі яскравість і роздільна здатність, а також низька вартість. Всім перерахованим вимогам відповідали ЕЛТ. От чому споживаючі надзвичайно високу потужність виробу до цих пір є основними пристроями відображення інформації. Проте портативні обчислювальні серйозно змінили ландшафт ринку засобів відображення, висунувши як основних такі вимоги, як малі габарити і споживана потужність. І тут, можливо, відкриваються широкі перспективи для органічних електролюмінісцентних індикаторів. Не випадково великий інтерес до них проявляють японські фірми — провідні світові постачальники плоских пристроїв відображення інформації. На фірмі Sanyo Electric на основі матеріалу з нерегулярною молекулярною структурою, випромінюючого в широкому спектральному діапазоні, виготовлений світло випромінюючий індикатор із зеленувато-білим свіченням. Сила світла його складає 10190 кд при напрузі 8 В. Правда, поки споживана потужність індикатора дуже велика. Тому сьогодні розробники фірми намагаються знайти легуючу домішку, яка дозволить збільшити ефективність випромінювання. Серйозно займаються вони і проблемою підвищення терміну служби органічних електролюмінісцентних пристроїв[7].
Інша японська фірма, Pioneer Electronics, з метою отримання матеріалів, випромінюючих в червоній і синій областях спектру працює з технологією фірми Eastman Kodak . Тут створений монохромний органічний діод зеленого свічення розміром 94,7х21,1 мм. Сила світла — 200 кд при споживаній потужності 0,2 Вт; термін служби — 10 тис.годин. Дослідні зразки нового індикаторного пристрою, призначеного для панельних дощок автомобілів, портативних інформаційних систем, а також домашньою аудіо- і відеоапаратури, повинні з'явитися весною цього року.
Японська фірма Idemitsu Kosan, що спеціалізується в області очищення нафти, пішла по іншому шляху. У 1986 році вона почала вивчати випромінюючий в синьому спектрі органічний матеріал, названий Dpvbi. Розроблений на фірмі індикатор містить наступні шари: металу (верхні електроди), органічних матеріалів (що переносить електрони, випромінюючого, такого, що переносить і інжектуючого дірки) і окислу індия-олова (нижні електроди). Товщина структури складає 200 нм. Із-за складності формування багатоколірної структури фахівці фірми не почали шукати матеріали, що випускають свічення червоного, синього і зеленого кольорів. Що замість цього наноситься методом осадження з газової фази випромінюючий шар легується домішкою, що дозволяє збільшити ефективність випромінювання синій області спектру (довжина хвилі — 468 нм). Випромінювання проходить через плівки люмінофорів (так зване середовище, що змінює колір), які виконують функцію світлофільтрів, поглинають частину синього світу і випускають зелений і червоний. Оскільки синє випромінювання характеризується високим енергетичним рівнем, при його перетворенні в червоне і зелене випромінювання інтенсивність останніх достатня велика[5].
На фірмі створена досвідчена індикаторна панель з розміром екрану по діагоналі 12,7 см, завтовшки 2 мм і масою 80 р. Вона здатна відтворювати 16,77 млн. квітів з 256 відтінками сірого. Споживана потужність панелі — 500 мвт. Дослідний зразок містить 256 (16х16) квадратних “пікселів” (сторона — 4,5 мм), які у свою чергу містять три субпікселі, — червоні, зелені і сині люмінофорні крапки розміром 1,5х4,5 мм кожна (синій люмінофор застосовується для поліпшення чистоти синього свічення). Сила світла панелі при напрузі 5 В рівна 100 кд, при 10 В — 10 тис. кд. Завдяки довговічності використовуваного матеріалу термін служби панелі досягає 10 тис. годинника, хоча проблема захисту металевих електродів від дії навколишнього середовища поки не вирішена. Полімери знаходять застосування не тільки при створенні електролюмінісцентних панелей. Великий інтерес до них проявляють і виробники ЖКІ[6,7].
Висновки
1.Однією з головних частин електролюмінісцентних плоских пристроїв відображення інформації є індикатори. Є три основні види індикаторів:
- Порошкові індикатори. Основною перевагою ПоІ є велика яскравість. До недоліків слід віднести малу світловіддачу.
- Плівкові індикатори. До переваг ПлІ слід віднести термін служби, до недоліків – малий контраст. Для підвищення яскравості ПлІ використовують шорсткі підкладки. Використання шорстких підкладок у поєднанні з шаром композиційного рідкого діелектрика дозволяє істотно підвищити вихід випромінювання із структури і яскравість свідчення випромінювача.
- Органічні індикатори. ОІ властиві такі особливості: високий ступень інтеграції, ефективне використання площі, велика яскравість, висока надійність, можливість створення індикаторів будь-якої форми.
2. Сьогодні багато застосувань, які потребують міцних дисплеїв що працюють в екстремальних умовах навколишнього середовища по температурах, вібраціях і одночасно при широких кутах огляду, все ще використовують дисплеї, виготовлені за технологією TFEL. Технологія TFEL, не дивлячись на її обмеження по колірному діапазону, продовжує бути альтернативною технологією для багатьох пристроїв відображення, призначених для жорстких умов експлуатації.
3.Органічні електролюмінісцентні панелі мають ряд переваг над своїми конкурентами. До них слід віднести малі габарити і малу потужність споживання.
Список використаної літератури
1. Ю.А. Быстров, И.И.Литвак, Г.М. Персиканов. Электронные приборы для отображения информации. Москва «Радио и связь» 1985р.
2. Власенко Н.А. Электролюминесцентные устройства отображения информации. Киев: Об-во ”Знание” Украины, 1991. 24 с.
3. Бригднов И.Ю., Гурин Н.Т. // Письма в ЖТФ. 1990. Т. 16. В. 23. С. 71–74.
4. Бригаднов И.Ю., Гурин Н.Т., Рябинов Е.Б. // ЖПС. 1993. Т. 59. В. 1–2. С. 175–181.
5. Knoll P.M., Herzog B., Sybrichs R. Electronics Displays 97 Konferenzband. 1997. P.65.
6. Antikainen M., Haaranen J., Honkala J., Lahonen M., Liias V._M., Pakkala A., Pitkanen T., Soinien E., Runar T. Transparent Emissive Thin_Film Electroluminescent Display. SID 00 DIGEST. 2000. P. 885.
7. Kanda S. Reduction of Halo in Transparent Electroluminescent (EL) Display, SID 00 DIGEST. 2000. P. 881.