| Скачать .docx |
Курсовая работа: Проектирование электронной пушки
СОДЕРЖАНИЕ
1. Назначение электронной пушки
2. Особенности конструкции пушек, формирующих цилиндрические и ленточные пучки
3. Процедура проектирования электронной пушки
4. Предварительный расчет
5. Результаты проектирования методом синтеза
6. Результаты проектирования методом анализа
СПИСОК ЛИТЕРАТУРЫ
Введение
С развитием научно-технического прогресса от научных работников требуется сокращать сроки разработки и повышать качество проекта. Удовлетворить эти требования с помощью простого увеличения численности проектировщиков нельзя, так как возможность параллельного проведения проектных работ ограничена.
Цель автоматизации проектирования – повысить качество; снизить материальные затраты; сократить сроки проектирования.
В настоящее время наилучшая форма организации процесса достигается при применении систем автоматизированного проектирования (САПР), основными частями которого являются технические средства, общее и специальное программное и математическое обеспечения. Поскольку САПР автоматизированная, а не автоматическая система, инженер-пользователь рассматривается тоже как ее часть.
В САПР решение задач обеспечивается совокупностью программ общего и специального программного обеспечения, разрабатываемого не инженером-пользователем, который, используя эти программы, может не знать многих особенностей их построения и реализованных в них методах, а специалисты по САПР. Программы разрабатываются единожды, а применяются многократно в различных ситуациях, возникающих при проектировании многих объектов. Несмотря на это, знание методов и алгоритмов, реализованных в программах САПР, желательно для инженера-пользователя САПР. Опираясь на них, он сможет избежать многих ошибок в формулировке задач, назначения исходных данных, интерпретации результатов и достичь своих целей с наименьшими затратами общего и машинного времени.
В этой работе проектируется электронная пушка Пирса. Применение САПР значительно ускоряет этот процесс.
1. Назначение электронной пушки
В большинстве современных электронных приборов радиотехнического назначения используются различные по пространственной конфигурации интенсивные (высокопервеансные) электронные пучки.
В приборах с электродинамическим управлением (клистронах, лампах бегущей волны и др.) эта особенность связана непосредственно с самим принципом управления током, основанным на использовании длительного пребывания электронов в рабочем пространстве. В приборах же с квазистатическим управлением применение электронных потоков в виде резко очерченных пучков не является принципиально обязательным, но оно открыло новые возможности в разработке сверхмощных триодов и тетродов. Таким образом, формирование и фокусировка интенсивных электронных пучков - одна из основных задач, решаемых при разработке современных электронных приборов.
Основная задача электронной пушки заключается в формировании интенсивного электронного пучка определенной конфигурации с заданными значениями тока и скорости и, по возможности, с ламинарным движением электронов.
Методы формирования и фокусировки электронных пучков, как правило, связаны с принципом управления ими, особенно в тех приборах, где элементы электронно-оптических устройств входят непосредственно в конструкции колебательных или замедляющих систем.

Рис. 1.1. Экспериментальная электронная пушка Пирса, Ua =50 кВ, P= 0.5 мкА/В3/2 , Сj =100
Попытки получить пучки определенной конфигурации с заданными значениями тока и скорости и, по возможности, с ламинарным движением электронов при помощи электронных пушек, или прожекторов, используемых в электронно-лучевых трубках и микроскопах, не дали положительных результатов. Поэтому разработка лучевых приборов радиотехнического назначения была тесно связана с поисками новых формирующих и фокусирующих систем.
Существенный вклад был сделан американским ученым Пирсом, предложившим метод формирования прямолинейных ламинарных электронных пучков простой конфигурации: ленточного, цилиндрического и конического. На основе этого метода были разработаны высокоэффективные электронные пушки, которые широко известны под названием пушек Пирса.
В клистронах и лампах бегущей волны в целях получения большой высокочастотной мощности без существенного сокращения срока службы катода очень часто используются аксиально-симметричные электронные пучки с плотностью тока, превышающей допустимую плотность тока катода. Получить такие пучки можно, например, при помощи пушки Пирса (рис. 1.1), конструкция которой состоит из вогнутого сферического эквипотенциального катода 2 с подогревателем 1, широко раскрытого прикатодного электрода 4 и анода 3 с центральным отверстием. Обычно прикатодный электрод имеет потенциал, одинаковый с катодом, и располагается так, что его поверхность является как бы продолжением поверхности катода. Это дает основание называть такую пушку диодной.
Путем соответствующего расчета формы электродов, производимого аналитическим методом или с помощью математического моделирования, в пушке создается такая конфигурация электрического поля, при которой электроны со всей поверхности катода равномерно сходятся в узкий электронный пучок, проходящий сквозь отверстие анода.

Рис. 1.2. Экспериментальная модифицированная пушка Пирса, Ua =20кВ, Р=3 мкА/B3/2 , Сj =6: 1—-подогреватель; 2—-катод; 3— прикатодный электрод; 4— -анод; 5—коллектор.
Степень сходимости электронов характеризуется так называемым коэффициентом сходимости (сжатия или компрессии). Различают коэффициент сходимости по плотности тока (или площади поперечного сечения пучка)—Сj
, равный отношению максимальной плотности тока в электронном пучке к плотности тока, снимаемого с катода, и коэффициент сходимости по радиусу —Сr
,
определяемый отношением радиуса катода к радиусу минимального сечения (кроссовера) пучка. Очевидно, что при небольшой кривизне катода
.
По мере увеличения коэффициента сходимости в пучке возрастают электростатические силы поперечного расталкивания, препятствующие сжатию пучка. Следовательно, коэффициент сходимости будет зависеть от объемного заряда в формируемом пучке, который определяется первеансом.
Следует подчеркнуть, что в диодных пушках Пирса, которые обычно работают в режиме пространственного заряда, значение первеанса Р=I/U3/2 не зависит от анодного напряжения и, как следует из закона «степени 3/2» для диода, определяется только геометрическими размерами пушки. Поэтому первеанс, являясь параметром электронного пучка, мерой его интенсивности, одновременно является параметром самой пушки, т. е. ее конструкции.
При помощи рассмотренной пушки Пирса можно получать сходящиеся электронные пучки с первеансом Р£ 1 мкА/В. При малых значениях первеанса коэффициент сходимости по плотности может составлять 100 и более, как, например, в пушке, разработанной в лаборатории радиотехнической электроники ЛЭТИ им. В. И. Ульянова (Ленина) (см.рис.1.1). При больших значениях Р коэффициент сходимости обычно составляет несколько единиц.
Для получения сходящихся потоков с - более высоким первеансом используют различные модификации пушек Пирса (рис. 1.2). Они характеризуются относительно небольшими расстояниями катод—анод и применением прикатодных электродов закрытой конструкции (см. рис. 1.2). Благодаря таким электродам электрические поля пушек более эффективно компенсируют поперечные расфокусирующие силы пространственного заряда, возрастающие по мере повышения первеанса, и тем самым обеспечивают формирование высокопервеансных сходящихся пучков с минимальными потерями катодного тока на аноде (не более 1—2%). Однако из-за влияния анодных отверстий пушек, заметно ослабляющих поля в центре катодов и работающих как рассеивающие линзы со сферической аберрацией, формируемые ими пучки оказываются неламинарными, с неравномерным распределением плотности тока по радиусу пучков.
2. Проектирование и особенности конструкции пушек, формирующие цилиндрические и ленточные пучки
Физические принципы, на которых базируются пушки Пирса, используются для формирования не только сплошных сходящихся (конических) электронных пучков, но также цилиндрических, плоских (ленточных и клиновидных), трубчатых (полых) пучков.
Формирование параллельного ленточного пучка. Электронная пушка, формирующая параллельный ленточный пучок, может быть создана путем использования части плоскопараллельного потока, который характеризуется соотношениями:
|
![]()
где z—продольная координата, отсчитываемая от катода(рис. 2.1); А=Ua /d4/3 при z=d, U=Ua .
|
![]()
|

Рис. 2.2. Форма эквипотенциальных линий, получающихся в результате расчета внешней задачи для параллельного ленточного пучка электронов и потенциалов: 1— -0,25 Ua 2— -0,1 Ua 3— -0,05Ua 4—0; 5—0,25Ua 6—0,5Ua 7—Ua
Решение задачи Коши для уравнения Лапласа в области,, внешней к катоду, которое удовлетворяет условиям (2.3), находится методом аналитического продолжения функции
и имеет вид
|
Форма эквипотенциальных линий, определенная с помощью этого выражения, представлена на рис. 2.2. Нулевая эквипотенциаль является прямой линией, наклоненной к границе пучка под углом 67,5°. Полученные результаты строго справедливы для потока, имеющего бесконечную протяженность в направлении, перпендикулярном плоскости чертежа (в направлении оси х). С определенным приближением они могут быть использованы для потоков конечной ширины, при условии, что ширина потока хп >>2yп и влияние краевых эффектов незначительно. Первеанс такой пушки, рассчитанный на единицу ширины потока, находится из закона “степени 3/2”:
Анодный электрод реальной пушки обычно имеет отверстие, не закрытое сеткой (рис.2.3). Отверстие нарушает распределение электрического поля, положенное в основу описанного выше расчета, приводит к появлению y-составляющей поля вблизи анодного электрода и уменьшению z-составляющей поля в области катода. Это в свою очередь приводит к появлению у электронов на выходе из пушки y-составляющих скоростей и уменьшению первеанса потока (при 2уп @d). Расфокусирующее действие анодного отверстия можно учесть, если рассматривать его как щелевую линзу. Фокусное расстояние последней определяется выражением f=2U/(Е1—Е2), где U—потенциал электрода щелевой линзы (он принимается равным потенциалу анода U= Ua ); Е1 и Е2 напряженности поля слева и справа от электрода при отсутствии в нем отверстия. В рассматриваемом случае Е2=0, а Е1 рассчитывается следующим образом:
![]()

Рис. 2.4. Клиновидный ленточный пучок. Граничные условия
В этом случае получаем f= — 3/2d. Отрицательная величина фокусного расстояния указывает на рассеивающий характер линзы. Для угла наклона граничной электронной траектории на выходе из пушки получаем следующую приближенную формулу:
![]()
и для граничных электронов:
![]()
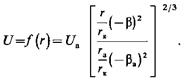
Формирование клиновидного пучка. Электронная пушка для формирования клиновидного (сходящегося) пучка может быть построена путем использования части радиального цилиндрического потока (рис. 2.4). Такой поток характеризуется следующими основными соотношениями: распределение потенциала

Ток в секторе, имеющем единичную ширину (размер в направлении оси r) и половинный угол q (угол в градусах),
где (—b)2 —функция отношения радиуса кривизны катода rк к текущему радиусу r.
Как и в предыдущем случае, для сохранения характера движения электронов в секторе с половинным углом q действие отброшенной части электронного потока заменяется действием фокусирующих электродов, которые должны обеспечивать выполнение вдоль границы пучка следующих условий: U=f(r), дU/дq=0. Форма фокусирующих электродов находится в результате решения внешней задачи синтеза. На рис. 2.5 показано семейство эквипотенциальных линий, найденное аналитически.
Влияние анодного отверстия в анодном электроде на отбор тока с катода и формирование пучка аналогично рассмотренному в предыдущем случае.

Рис.2.5. Универсальная карта эквипотенциалей для расчета электродов пушки, формирующей клиновидный ленточный пучок.
Формирование параллельного цилиндрического пучка. Задача формирования параллельного цилиндрического пучка решается аналогично рассмотренной выше задаче формирования параллельного ленточного пучка, с той лишь разницей, что из бесконечного параллельного потока «вырезается» область в виде цилиндра (рис. 2.6). Для определения формы фокусирующих электродов решается внешняя задача при следующих начальных условиях, заданных на границе области:
,
.

Рис.2.5. Универсальная карта эквипотенциалей для расчета электродов пушки, формирующей клиновидный ленточный пучок.
Картина эквипотенциальных линий приведена на рис. 2.7.
Первеанс такой пушки определяется соотношением, вытекающем из закона «степени 3/2»:
( 2.5 )
где rк —радиус катода, равный радиусу пучка (rк = rп ); d—расстояние катод—анод; Ua —анодное напряжение; I—ток пучка.
Расфокусирующее действие анодного отверстия в рассматриваемой пушке можно приближенно учесть, если исходить из предположения, что оно эквивалентно действию линзы-диафрагмы, фокусное расстояние которой
.
Тогда угол наклона электронных траекторий на выходе из пушки определяется формулой
.
Если сюда подставить значение с1, найденное из (2.5), то получим
, где Р—первеанс, мкА/В3/2
.
3. Процедура проектирования электронной пушки
Проектирование электронных пушек включает два основных этапа. На первом из них производится определение исходной геометрии электронной пушки, обеспечивающей получение заданных параметров (первеанса, компрессии и других). Обычно для этой цели используют метод синтеза, основанный на упрощенных математических моделях электронной пушки. Второй этап включает проведение анализа электронной пушки с помощью программ, обеспечивающих решение самосогласованных задач и оптимизацию ее геометрии.
Синтез пушки по Овчарову. Этот метод расчета пушки предусматривает получение специального решения внутренней задачи, которое отвечает некоторой совокупности заданных свойств формируемого пучка. Решение проводится в параксиальном приближении с использованием параксиального уравнения, записанного в специальной криволинейной системе координат. В качестве ортогональной сетки, служащей для построения координатной системы, берется сетка, образуемая семейством подобных линий (семейство а) и семейство линий, к ним ортогональных (семейство b). В системе координат q1 q2 (рис. 3.1) линии, принадлежащие этим семействам, описываются уравнениями:
![]()
где R(z)—некоторая базовая линия из семейства а; q— параметр подобия.

Рис. 3.1 Ортогональная координатная сетка, образованная семейством подобных линий (линии q2 =const) и семейством линий, к ним ортогональных (линии q1 =const)
Такой выбор ортогональной сетки соответствует модели потока с подобными траекториями. Параметризация ортогональной сетки производится следующим образом. В качестве параметра q2 , определяющего линии из семейства а, берется параметр подобия q2 =q=r(z)/R(z), представляющий собой относительное расстояние данной линии семейства от оси симметрии. В качестве параметра, определяющего линии из семейства b, берется расстояние, на котором данная линия пересекает ось симметрии, q1 =z. При использовании такой ортогональной сетки в качестве координатной системы параметры q1 и q2 выполняют роль криволинейных координат, первая из них имеет размерность длины, вторая — безразмерна.
Если в качестве базовой линии R(z} взята граница пучка, то параксиальное уравнение, описывающее его движение, имеет вид

где U0 —потенциал на оси пучка (q2 =());I—ток пучка.
Вводя нормализованные переменные
, u=U0
/ Uн
и
, получаем
![]()
( 3.1 )

Расчет электронной пушки проводится по следующей схеме. Первоначально задается осевое распределение потенциала, удовлетворяющее условиям.
Первые два из них соответствуют режиму ограничения тока с катода пространственным зарядом, вторые два — движению пучка в эквипотенциальном канале на выходе из пушки.
Типичная кривая распределения потенциала показана на рис. 3.2, б. Для задания потенциала может быть использовано аналитическое выражение вида
, где

Рис. 3.2. Форма электродов (а) и осевое распределение потенциала (б) в пушке, рассчитанной по методу Овчарова.
.
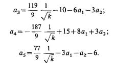
При таком задании потенциала условия (3.2) выполняются автоматически. На искомое решение налагается требование
, обеспечивающее сферическую форму катода. Это требование удовлетворяется, если коэффициенты k1
, a1
и a2
определяются формулами

Реализация условий (3.3) обеспечивается за счет связей, наложенных на коэффициенты a3 , a4 и a5 :

Далее производится численное интегрирование уравнения (3.1), для чего необходимо выбрать значение параметра i и задать начальные значения
и
. В результате интегрирования определяется форма электронного пучка, соответствующая данному распределению потенциала.
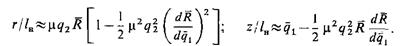
Решение внешней задачи также производится в криволинейной системе координат. Расчет потенциала вне пучка может быть произведен по приближенной формуле:
![]()
где
—нормированный потенциал. Положив
, можно вычислить форму соответствующей эквипотенциальной линии в координатах
. Переход к цилиндрическим координатам производится с помощью следующих соотношений:
![]()
Типичная форма электродов рассчитанной таким способом пушки показана на лис 3.2а.
Анализ пушки состоит в последовательном изменении геометрии электродов пушки и формы магнитного поля до тех пор, пока параметры формируемой пушкой пучка не будут близки к заданным. Этот процесс включает в себя следующие основные этапы: выбор исходного варианта геометрии пушки и конфигурации магнитного поля, траекторный анализ, по результатам которого определяются параметры формируемого пушкой пучка, внесение изменений в исходную геометрию и последующий траекторный анализ нового варианта т.д.
Анализ электронной пушки основывается на решении самосогласованной задачи электронной оптики, математическая модель которой включает:
- уравнения поля
, ( 1 )
- уравнение движения частиц
, ( 2 )
- уравнение неразрывности потока
. ( 3 )
Здесь U – потенциал, r - плотность заряда, m, e – масса и заряд электрона, Е – напряженность электрического поля, В – индукция магнитного поля, V – скорость частицы.
Совместное решение уравнений (1) – (3) выполняется методом последовательных приближений. В первом приближении производится расчет поля электронной пушки без учета пространственного заряда. На втором и последующих приближениях внешнее поле и траектории рассчитываются с учетом пространственного заряда. Процесс последовательных приближений продолжается до тех пор, пока результаты последующего n-го приближения не будут достаточно близки к результатам последующего ( n+1 )-го приближения. В качестве критерия сходимости процесса могут служить относительные изменения радиальных координат r и скоростей Vr контрольных электронов в конце расчетной области пушки:
,
. ( 4 )
где
- заданная погрешность расчета траекторий.
Распределение пространственного заряда в пучке учитывается с помощью дискретной модели потока из деформируемых элементов. Электронный поток разбивается в поперечном сечении на слои. Формирование элементов проводится из условия получения одинакового заряда каждого элемента, и следовательно, одинакового тока каждого слоя. Площади слоев с учетом неравномерного распределения плотности тока на катоде будут различными.
Заряд деформируемого элемента находится по формуле:
![]()

где I0 – ток луча; Nсл – число слоев; Dt – шаг интегрирования.
Разнесение по узлам сетки заряда деформируемого элемента производится с помощью разбиения его на отдельные частицы и применения к ним алгоритма “частица в ячейке”.
Ток пучка определяется суммированием токов с элементарных участков катода:
, (5)
где М – число дроблений эмитирующей поверхности катода.
Токи с элементарных участков вычисляются по найденному из уравнения ( 1 ) распределению потенциала вблизи поверхности катода с использованием закона “степени 3/2” для плоского диода:
, (6)
где Um – потенциал точки, лежащей по нормали напротив центра элементарного участка на расстоянии d от катода,
Sm – площадь элементарного участка катода.
Для ускорения сходимости последовательных приближений применяется корректировка катодного тока по способу нижней релаксации:
, (7)
где In , In -1 – токи на n-ом и (n-1)-ом приближениях; wi <1 – параметр нижней релаксации.
Расчет электрических полей, описываемых уравнением (1), проводится методом конечных разностей с использованием итерационной формулы последовательной верхней релаксации. В граничных узлах сетки, находящихся на электродах пушки, задается условие Дирихле, а на открытых участках – условие Неймана.
Уравнение движения (2) для контрольных электронов решаются методом Рунге-Кутта 4-го порядка с автоматическим выбором шага интегрирования. Начальные условия – стартовые координаты и скорости контрольных электронов на катоде – определяются при формировании слоев.
Необходимые для решения уравнения (2) составляющие напряженности электрического поля находятся по потенциалам ближайших узлов сетки с применением численного дифференцирования. Составляющие индукции магнитного поля рассчитываются в параксиальном приближении по формулам:
,
,
где B(z) – известное распределение продольной составляющей магнитной индукции на оси пушки.
4. Предварительный расчет
| ВАРИАНТ №18 | ||
| Pвых , кВт | lср , см | Df/fср ,% |
| 20,5 | 11,2 | 1,4 |
a. Определим fср :
[ ГГц ].
b. Зададим максимальный КПД :
если 5см < lср < 15 см, то 50% < hmax < 70%. Выберем hmax = 60%.
c. Определим рабочий КПД :
.
d. Определим мощность источника питания :
[Вт].
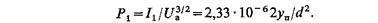
e. Определим значение микропервианса, обеспечивающего требуемую полосу пропускания :
[мкА/В3/2
].
f. Рассчитаем ускоряющее напряжение :
[кВ].
g. Определим ток луча :
[А].
h. По выбранному значению gaопределим радиус пролетной трубы а, см.
Выберем gaиз интервала 0,4…1,0. Меньшие значения относятся к длинноволновым клистронам, большие – к клистронам сантиметрового диапазона : ga= 0,9.
Для определения радиуса пролетной трубы, рассчитаем величину g по формуле:
.
Найдем a :
[см].
i. Определим радиус луча :
Для этого выберем коэффициент заполнения Кз из интервала 0,5…0,8.
Кз = 0,8.
Рассчитаем радиус луча :
[см].
j. Рассчитаем плотность тока луча :
[А/см2
].
k. Выберем предварительное значение коэффициента сходимости Ак , который является тангенсом угла наклона огибающей пучка на катоде, из интервала –1,8… –2,4 :
Ак = –2.
l. Выберем коэффициент превышения магнитного поля над брилюэновским Nбр из интервала 1,3…1,7:
Nбр = 1,5.
5. Результаты проектирования методом синтеза
В процессе проектирования вводились исходные данные:
Pm = 1,12 [мкА/В3/2 ] – микропервианс;
b = 0,32 [см] – радиус луча;
Nбр = 1,5 – коэффициент превышения магнитного поля над брилюэновским ;
Kз =0,8 – коэффициент заполнения;
Aк = -2 – коэффициент сходимости;
U0 = 16,1 [кВ] – ускоряющее напряжение;
Программа синтеза выдала следующие результаты:
– Выходные параметры:
Pm= 1.120 Rкр(см)= 2.46 Bк(Гс)= 6.4 Nбр=1.50
Uо(В)= 16100.0 Rн(см)= 1.75 B(см)= 0.32 Aк=-2.00
Jк(А/см*см)= 0.41 Bбр(Гс)= 345.90 Кs= 29.90 Kз=0.80
– Эскиз пушки:
![]()
![]()

6. Результаты проектирования методом анализа.
При проектирования методом анализа вводились исходные данные:
Длина пушки (cм).......……......Zu= 7.500
Напряжение (В)...............…….Uo= 16100.000
Число линий 2-го порядка.......N2= 1.000
Число линий 1-го порядка.......N1= 7.000
Шаг магнитного поля (cм).......Hм= .500
Число точек магнитного поля..Nм= 16.000
Точки магнитного поля: 6.4 7.5 8.6 12. 18. 30. 45. 60. 95. 130. 175. 225. 300. 375. 430. 480.
В результате проектирования была выбрана следующая геометрия электродов:
Линия№1 Zн,Yн,Zк,Yк,Uн,Zo,Yo,Ro: 0, 0, 0.9, 1.90, 0, 2.46,0, 2.46
Линия№2 Zн,Yн,Zк,Yк,Uн:.....……... -0.2, 1.90, 0.9, 1.90, 0
Линия№3 Zн,Yн,Zк,Yк,Uн:......…….. -0.20, 2.15, 2.00, 2.15, 0
Линия№4 Zн,Yн,Zк,Yк,Uн:....……..... 2.00, 2.15, 2.00, 6.00, 0
Линия№5 Zн,Yн,Zк,Yк,Uн:...……..... 3.10, 6.00, 3.10, 1.60, 1.00
Линия№6 Zн,Yн,Zк,Yк,Uн:.....……... 3.10, 1.60, 6.00, 0.40, 1.00
Линия№7 Zн,Yн,Zк,Yк,Uн:...……..... 6.00, 0.40, 8.00, 0.40, 1.00
Линия№8 Zн,Yн,Zк,Yк,Uн:..……...... 8.00, 0.40, 8.00, 0, 1.00,
которая изображена на рис. 6.1. и обеспечивает ток I0
=2,32 А и микропервеанс
мкА/В3/2
.










Список литературы
1. “Математические модели и автоматизированное проектирование электронных приборов ”. Методические указания к лабораторным работам. Под редакцией В.К. Федяева. №2143. Рязань 1993. 60 с.
2. С.И. Молоковский А.Д. Сушков. “Интенсивные электронные и ионные пучки”. М.: Энергоатомиздат, 1991. – 304 с.
3. А.А. Жигарев Г.Г. Шамаева. “Электронно-лучевые и фотоэлектронные приборы”. М.: Высшая школа, 1982. – 463с.