| Скачать .docx |
Курсовая работа: Проектирование судового радиоприёмного устройства
МИНИСТЕРСТВО ОБРАЗОВАНИЯ И НАУКИ УКРАИНЫ
ОДЕССКАЯ НАЦИОНАЛЬНАЯ МОРСКАЯ АКАДЕМИЯ
Кафедра МРС
КУРСОВОЙ ПРОЕКТ
на тему:
«Проектирование судового радиоприёмного устройства».
Выполнил: курсант Губанов Д.М.
Факультет электромеханики
и радиоэлектроники
Учебная группа 3131
Проверил: Грищенко В.В.
Одесса 2006
Введение
Современные радиоприемные устройства коротковолнового диапазона, как правило, выполняются по схеме супергетеродина. Это обеспечивает достаточную чувствительность, избирательность, необходимую полосу пропускания и усиления каскадов. Необходимо также рассмотреть вопрос о номиналах промежуточных час-тот, их количестве; должно быть уделено внимание структуре и ширине диапазонов. Их количестве, а также, если необходимо, применить деление на поддиапазоны.
С учетом специфики области применения, должны учитываться центростремительные ускорения, повышенная влажность воздуха, его соленость, которые могут негативно сказаться на работоспособности.
Исходные данные к работе
Диапазон: 518кГц.
Чувствительность: 3 мкВ
избирательность по соседнему каналу 50дБ
Избирательность по зеркальному каналу:50 дБ Вид модуляции: (F1В.)
Напряжение: 0.4 В
Расчет полосы пропускании общего радиотракта приемника
Полоса пропускания общего радиотракта определяется реальной шириной спектра принимаемого сигнала и запасом, зависящим от частотной точности радиолинии:
,
где
- реальная ширина спектра радиосигнала, который должен быль пропущен ко входу детектора;
- расхождение между частотой принимаемой станции и частотой настройки приемника, т.е. частотная точность линии.
Реальная ширина спектра зависит от вида модуляции. Для частотной модуляции:
кГц
Запас по полосе пропускания с учетом расхождения частот в радиолинии возьмем равным порядка 100-200 Гц, вследствие чего полоса пропускания радиотракта составит:
= 11000+200=11,2кГц.
Выбор числа преобразований частоты и номиналов промежуточных частот
Необходимость использования нескольких преобразований частоты определяется следующими основными принципами.
Двойное или тройное преобразование частоты применяется как способ разрешения противоречия между требованиями подавления помехи по зеркальному каналу и высокой избирательностью по соседнему каналу. Первое условие предполагает выбор возможно более высокой первой промежуточной частоты, второе - возможное более низкой второй промежуточной частоты.
Зеркальная помеха подавляется при первом преобразовании частоты, помеха по соседнему каналу подавляется в тракте основной (второй) промежуточной частоты.
Предпочтительней с точки зрения ослабления влияния комбинационных каналов приема, выбирать первую промежуточную частоту в 4-5 раз выше верхней чистоты диапазона. Однако выбор такого высокого значения f1пч может ограничиваться возможностями изготовления высококачественного фильтра с высокой частотой настройки и хорошей прямоугольностью. В этом случае приходится несколько снижать номинал (до 40... 50 МГц).
f1пч =40 МГц
Сточки зрения ослабления влияния комбинационных каналов приема, предпочтительнее выбирать вторую промежуточную частоту, по крайней мере, в 5-10 раз меньшей нижней частоты диапазона приемника.
По возможности следует выбирать стандартизованные значения основных промежуточных частот, в соответствии с которыми создаются типовые блоки и необходимая измерительная аппаратура.
Исходя из вышеперечисленного, выбираем значения промежуточных частот:
f1пч =40МГц f2пч =12,8 МГц
Распределение избирательности и усиления по трактам
Основные качественные показатели приемника: чувствительность, одно- и многосигнальная избирательность - в значительной мере определяются правильностью распределения избирательности и усиления между трактами сигнальной, первой промежуточной, основной промежуточной и низкой частот.
Распределение избирательности:
При ориентировочном расчете структурной схемы распределение избирательности производится следующим образом.
1. Полоса пропускания тракта основной частоты берется близкой к рассчитанной полосе общего радиотракта:
![]()
кГц
2. Параметры избирательности тракта сигнальной частоты находятся из:
а) Заданной реальной добротности
контуров в этом тракте.
б) Определенного ориентировочного числа контуров в тракте, необходимого для обеспечения заданных требований ослабления побочных каналов первого преобразования:

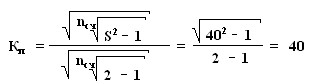
причем, в первую очередь проверяется ослабление зеркального канала при заданном Sпк = Sз = 50 дБ и Δf = 2f1пч = 80 МГц. А затем требование ослабления помехи по первой промежуточной частоте при Sпк= S1пч и Δf =f0 - f1пч . Из двух значений nсч , берется большее.


в) При выборе числа контуров nсч =1 рассчитываем полосу пропускания тракта.
.
и коэффициенты прямоугольности на уровнях S (заданного подавления соседних и побочных каналов):
.
По полосе и коэффициенту прямоугольности строится характеристика избирательности тракта. Его полоса пропускания должна быть в 2-3 раза шире необходимой полосы общего радиотракта, т.е.
ΔFСЧ
(2-3)ΔFРТ
=(22,4-33,6) кГ'ц
Распределение усиления
Распределение усиления в приемнике определяется двумя противоречивыми условиями:
а) с одной стороны, следует стремиться к увеличению усиления во входных цепях и первых каскадах приемника так как чем больше коэффициент усиления по
мощности первого и следующего за ним каскадов, тем меньше общий коэффициент шума приемника и лучше его чувствительность.
б) с другой стороны, усиление во входных каскадах приемника с точки зрения многосигнальной избирательности должно быть небольшим, чтобы амплитуда сигнала (полезного и мешающего) не превышала диапазона линейности первого, второго и т.д. каскадов усиления сигнальной часты, первого преобразователя и т.д. до фильтра основной селекции, относительно слабо защищенной перестраиваемыми по диапазону избирательности системами. В радиотракте в целом должно быть обеспечено усиление:
![]()
гдеUвх. дет - напряжение на входе детектора
Еа - чувствительность приемника
![]()
где Кд - коэффициент передачи детектора (К<Н),6 для диодною полупроводникового детектора)
![]()

При ориентировочном расчете структурной схемы приемника вначале производят распределение усиления между основными трактами: сигнальной, первой, второй основной и других промежуточных частот; низкой частоты, с учетом допустимых уровней на элементах, разграничивающих эти тракты.
1. Усиление в тракте сигнальной частоты должно быть ограничено, регулироваться в зависимости от уровня сигнала в антенне так, чтобы выходной сигнал не превышал допустимого значения на выходе первого преобразователя частоты.

2. Усиление в тракте первой промежуточной частоты также должно ограничиваться и быть таким, чтобы напряжение на входе второго преобразователя частоты не превышало допустимых значений.

Примем К1пч = 45 = 33 dB.
3. Усиление в тракте основной промежуточной частоты должно дополнять усиление в предшествующих трактах сигнальной и первой частоты до уровня Uвх.дет необходимо для детектирования радиосигналов в наилучших условиях.

4. Усиление в тракте низкой частоты можно рассчитать по формуле:

где Uвх.дин – напряжение на входе динамика:
![]()

Определение коэффициента шума приемника
На этапе расчета структурной схемы, учитывая относительную сложность расчета, полагают, что чувствительность приемника в основном определяются шумами первого каскада, и принимают:
Кш = ( 1.1 – 1.2 ) Кш1
Определим мощность тепловых шумов:
Рш = ΔFрт *Т * k = 11.2* 103 *290*1.38*10-23 Вт
![]()
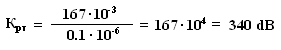
Тогда коэффициент шума первого каскада приёмника должен быть:
![]()
Коэффициент шума всего приёмника:
Кш
(1.1 – 1.2) Кш1
= 3.3 – 3.6
Структурная схема приемника
Сигнал, принятый антенной, через фидер поступает на вход приемника. Во входных цепях расположены фильтры, которые отсекают частоты не входящие в диапазон принимаемых част. Далее принятый и отфильтрованный сигнал поступает на вход усилителя сигнальной (радио-) частоты УСЧ, где происходит предварительное усиление на 43 dВ. Предварительно принятый и отфильтрованный сигнал поступает на сигнальный вход первого смесителя См1; на другой вход смесителя подается частота 116 МГц. формируя первую промежуточную частоту, равную 40 МГц.

Со смесителя сигнал, пройдя через фильтр 40 МГц, поступает на УПЧ1. В тракте первой промежуточной частоты происходит подавление зеркальной помехи.
С выхода УПЧ1 сигнал поступает на сигнальный вход смесителя См2; но гетеродинный вход См2 поступает постоянная часта 27.2 МГц. На выходе См2 вторая промежуточная частота, равная 12.8 МГц. Преобразованный сигнал поступает на вход УПЧ 2, в котором происходит селекция по соседнему каналу и усиление. Далее сигнал поступает на детектор однополосного амплитудно-модулированного сигнала. Затем сигнал звуковой частоты через усилитель УЫЧ поступает на выходное устройство воспроизведения звука (динамик).
Вывод
В ходе данного расчета были получены и рассчитаны основные параметры, которые позволяют с достаточной точностью спроектировать и построить радиоприемное устройство связи по схеме супергетеродина. Что обеспечивает достаточную чувствительность, избирательность, необходимую полосу пропускания и усиления каскадов. Был рассмотрен вопрос о номинальных промежуточных частотах. Уделено внимание структуре и ширине диапазонов. Для этого сначала проводим расчёт полосы пропусканияобщего радиотракта приемника, выбираем число преобразований частоты и номиналов промежуточных частот. Распределяем избирательности и усиления по трактам, а за тем определяем коэффициент шума приёмника.
Список использованной литературы
1. Проектирование и техническая эксплуатация радиопередающих устройств/ М.А. Сивере, Г. А. Зейтленок. Ю. Б. Несвижский и др.. Учебноепособие для вузов. - М.: Радио и связь. - 368 с
2. М. С. Шумилин, В. Б. Козырев, В, А. Власов. Проектирование транзисторных каскадов передатчиков. Учебное пособие для техн. - М.: Радио и связь. 1987.