| Скачать .docx |
Курсовая работа: Принципи обробки кольорових факсимільних зображень
Вступ
Сьогодні важко знайти організацію, яка не використала б в своїй роботі факсимільний зв'язок. Телефакс є найпопулярнішим засобом для оперативного обміну інформацією, представленою у вигляді документів. Перша і головна його гідність – можливість передачі документа в будь-яку точку земної кулі за одну хвилину. Ніяка поштова служба не може забезпечити такої оперативності. Друге – набагато менше витрати на пересилку, в порівнянні з вартістю послуг кур'єра або тієї ж пошти. Третє – простота. Встановивши з'єднання, можна відправити документ натисненням однієї клавіші. Якщо ж говорити про якість, то сучасні стандарти факсимільного зв'язку забезпечують, при використанні хороших телефонних ліній, передачу зображення, цілком зіставного з оригіналом.
Метою даної роботи є розглянути основні способи кодування і прийому/передачі кольорових зображень у факс-системах.
Методи перетворення і передачі зображення
Передача зображення є найбільш важкою проблемою, оскільки людське око з інформаційної точки зору незрівнянно досконало за вухо.
У 1902 році Артур Корн (Німеччина) запатентував систему фотоелектричного сканування зображення, а в 1910 році заробив перший міжнародний факсимільний зв'язок Берлин-Париж-Лондон. До 60-х років цього століття ринок факсимільної апаратури був обмежений.
У 1968 році CCITT розробила рекомендації по факсимільному устаткуванню, яке було здатне передавати сторінку за 6 хвилин при дозволі 3.85 ліній на мм. Пізніше в 1976 році аналогова факсимільна техніка була покращувана. Це дозволило скоротити час передачі сторінки до 3 хвилин. У 1980 році розроблений стандарт для цифрових факс-машин (група 3), тут вже передбачається стискування інформації, що дозволяє скоротити час передачі сторінки до 1 міни при швидкості передачі 4800 бит/с. Слід мати на увазі, що стискування інформації у поєднанні з помилками пересилки може приводити до невпізнання зображення локальному або повному. З цієї причини число ліній сканування, які використовуються при обробці зображення, з метою стискування може варіюватися (1–4) і визначається в результаті діалогу між відправником і одержувачем, а передача кожній скан-линии завершується досить довгим кодом, призначеним для надійного розпізнавання завершення рядка сканування, а також корекції помилок. Факсимільне устаткування групи 3 може і не забезпечувати стискування передаваних (що приймаються) даних. У 1984 році розроблені вимоги до факс-аппаратам групи 4. Система базується на двомірній системі кодування зображення (MMR – Modified Modified Reed).
Факсимільне устаткування поділене на 4 групи. Перша група практично збігається з традиційним фототелеграфним устаткуванням (6 хвилин на сторінку при дозволі 3.85 ліній на міліметр). Динамічній варіації кодової таблиці не передбачено. При цьому для кодування чергової лінії сканування використовуються результати, отримані для попередньої лінії. Слід враховувати, що зона сканування факс-машины більше розміру зображення і завжди є порожні рядки і поля, що надає додаткові можливості для стискування передаваної інформації.
Існує три режими кодування: вертикальний, горизонтальний і прохідний. Останній режим реалізується, коли позиція в еталонному рядку a2 знаходиться зліва від b1 (див. мал. 1; вериткальному і горизонтальному режиму відповідає нижня частина малюнка). При «вертикальному» режимі кодування (a2 праворуч від b1 і |b1a1|<= 3) позиція b1 кодується щодо позиції a1. Відносне положення b1a1 може приймати одне з семи значень V(0), VR(1), VR(2), VR(3), VL(1), vL(2) і VL(3) (див. табл. 1). Індекси r і l указують на те, що b1 знаходиться справа або зліва по відношенню до a1, а число в дужках позначає відстань b1a1. Якщо використовується «горизонтальний» режим кодування (a2 праворуч від b1 і |b1a1|>3), довжини b0b1 і b1b2 відображаються за допомогою кодової комбінації H+M(b0b1)+M(b1b2). H є кодом 001, узятий з двовимірної кодової таблиці. M(b0b1) і M(b1b2) є кодовими словами, які характеризують довжину і колір субрядків b0b1 і b1b2 відповідно.

Рисунок 1. Режими кодування: прохідній; вертикальний; горизонтальний
Факс-устаткування групи 4 може підтримувати так званий розширений режим, коли частина робочого поля кодується без використання алгоритмів ущільнення інформації (як правило, це ділянки, де спроба стискувати або нічого не дає, або навіть приводить до збільшення об'єму передаваних даних). Устаткування цією група використовує на канальному рівні процедури HDLC LAPB. Смугою пропускання каналу, до якого підключається таке устаткування, що рекомендується, є 64 Кбіт/с.
Таблиця 1. Кодування елементів зображення
Режим кодування |
Елементи, що підлягають кодуванню | Позначення |
Код |
| Прохід | a1a2 | p | 0001 |
| Горизонтальний | b0b1, b1b2 | h | 001+m(b0b1)+m(b1b2) |
Вертикальний |
b1 під a1 b1a1=0 b1 праворуч від a1 b1a1=1 b1a1=2 b1a1=3 b1 зліва від a1 b1a1=1 b1a1=2 b1a1=3 |
v(0) |
1 011 000011 0000011 010 000010 0000010 0000001 ххх |
Перед початком передачі термінали повинні обмінятися своїми ідентифікаторами (TID – terminal identification). Останнім часом з'явилися факс-аппараты, які друкують зображення на звичайний папір з дозволом 300–400 крапок на дюйм. Така схема зручна, але має деякі недоліки. Такі апарати дорогі, друк може початися не раніше, чим буде передана вся сторінка; передавальний апарат може мати нижчий дозвіл, потрібно уміти адаптуватися до будь-якого дозволу, що приводить до того, що швидкість друку зображення при низькому дозволі залишається такою ж низькою, як і при високій.
Відомо, що для коректної передачі кольору потрібно 16 мільйонів відтінків (8 битий на кожну з трьох колірних компонент). Таким чином, для опису картинки на екрані, що містить 575 ліній по 720 пікселів, потрібний 1,240 Мбайта. Для передачі такій інформації по В-каналу ISDN, якщо не використовується стискування, буде потрібно близько 2,5 хвилин. Ця цифра допомагає зрозуміти актуальність проблеми стискування графічної інформації.
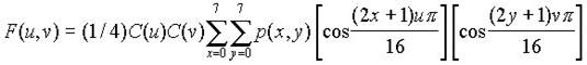
Стандарти для уявлення і передачі зображення розробляє Joint Photographic Expert Group (JPEG). Для стискування графічної інформації в даний час використовується дискретне косинусное двомірне перетворення (DCT – Discrete Cosine Transform), яке дає суб'єктивно якнайкращий результат і описується рівнянням:

де v – горизонтальна координата графічного блоку, u – вертикальна, x – вертикальна координата усередині блоку, а у – горизонтальна координата усередині блоку, C(u), C(v)= 1/ для u, v = 0 і З(u), З(v)= 1 інакше. Два члени в квадратних дужках є ядрами перетворення, показаними нижче на рис. 2, а p (x, y) є піксельними даними блоку реального малюнка. Початок координат в обох випадках у верхньому лівому кутку. Процес кодування зводиться до розбиття зображення на блоки 8*8 пікселів і виконанню процедури двомірного DCT для кожного з цих блоків. Отримані коефіцієнти перетворення дискретизують. 64 числа, що характеризують рівень сигналу, перетворюються на 64 коефіцієнти перетворення (амплітуди просторових частот), які добре піддаються процедурі стискування. Діськретізатор округляє коефіцієнти, ця процедура вносить деякі помилки, але зворотне перетворення на приймаючій стороні за рахунок усереднювання частково усуває спотворення, що вносяться. На практиці дискретизатор реалізує декілька складніший алгоритм.
Інтуїтивно метод DCT базується на виявленні того, наскільки вищестоящий блок відрізняється від нижчестоячого. Для реального представлення (стискування) коефіцієнтів перетворення тут також використовуються коди Хафмана.

Рисунок – 2. Графічне представлення двомірного перетворення
DCT забезпечує стискування на рівні 0.5–1.0 біт/піксель при хорошій якості зображення. Стискування вимагає часу, а максимально прийнятним часом затримки при пересилці зображення є 5 секунд. На мал. 3 приведена якісна оцінка чіткості і відповідності оригіналу зображення залежно від величини стискування (DCT). Якщо використовувати швидкість обміну 64 кбит/с, то ступені стискування 0,01 бита на піксель відповідатиме час передачі зображення 0,04 секунд, а стискуванню 10 – час передачі 40 сек.

Рисунок – 3. Якість DCT-изображения для різних значень стискування інформації (картинка має дозвіл 512*512 пікселі; заповнені квадратики відповідають кольоровому зображенню, а незаповнені – чорно-білому)
Відображення графічного образу може виконуватися послідовно (приблизно так, як ми читаємо текст: зліва-направо і зверху-вниз) або з використанням прогресивного кодування (спочатку передається вся картинка з низьким дозволом, потім послідовно чіткість зображення доводиться до максимальної). Останній метод вельми зручний для систем WWW, де проглянувши зображення низького дозволу, можна відмінити передачу даних поліпшуючих чіткість і тим самим заощадити час. Добре розпізнаване зображення виходить при стискуванні близько 0,1 бита на піксель. Окрему проблему представляє друк зображення. Тут півтони реалізуються за допомогою варіації розміру елементів зображення. При кольоровому друці окрім RGB уявлення використовується CMYC система (Cyan, Magenta, Yellow і Black) і відповідні картріджи. Чорний колір в RGB соответствет коду 0,0,0, а в CMIK – 75%; 68%; 67% і 90%
Оборотне перетворення колірної гамми: колірне кодування текстурованих сірих зображень
Якщо кольоровий документ пересилається за допомогою факсу, передавального лише чорно-біле зображення, чи означає це, що колір оригіналу безповоротно втрачений?
«Це не зовсім так», – вважає Карен М. Браун (Karen M. Braun), науковий співробітник корпорації Xerox по технологіями передачі зображення, яка брала участь в розробці нового способу кодування документів. Цей спосіб вперше дозволив відновлювати колірну гамму оригіналу на основі чорно-білого зображення, віддрукованого на монохромному принтері, факсі або копире.
На щорічній Конференції з технологій створення кольорового зображення, організованою Суспільством по дослідженню і розробці технологій передачі зображення, Карен Браун і Ріккардо Л. де Кейрос (Ricardo L. DeQueiroz), викладач Університету Бразіліа, виклали суть свого відкриття в науковій роботі під назвою «Оборотне перетворення колірної гамми: колірне кодування текстурованих сірих зображень».
Спочатку Карен Браун і Ріккардо де Кейрос займалися вирішенням вельми поширеної проблеми. При копіюванні, роздруку або передачі факсом кольорового зображення за допомогою монохромного пристрою кольору відображаються як відтінки сірого. Різні кольори однакової світлової щільності (або візуально сприйманій яскравості) можуть відображатися як однакові відтінки сірого зображення, що робить неможливим розпізнавання колірної інформації. Наприклад, коли як оригінал використовуються такі види графіків, як лінійчаті або кругові діаграми, два кольори виглядатимуть однаково і діаграма втратить свою інформативність.
Намагаючись знайти спосіб збереження колірної інформації в діаграмах, фотографіях і інших зображеннях, дослідники почали шукати нові шляхи монохромного відображення кольорових зображень. Їх метод заснований на тому, що кожен колір перетвориться в створювані на сірих ділянках зображення, текстуру або графічний шаблон, непомітні відмінності, що містять практично. Це полегшує розпізнавання квітів рівної яскравості, завдяки чому поліпшується якість оформлення документа і підвищується практична цінність зображень. За свідченням Карен Браун, біля нового методу також опинилося несподіване застосування, яке вона описує таким чином: «За допомогою цього методу можна перетворити кольорове зображення в текстуроване, і після розшифровки елементів текстури відтворити первинну колірну гамму».
Таким чином, одержувач чорно-білого факсу може відновити кольори оригіналу. Цей винахід також дозволяє отримати кольорове зображення на основі чорно-білого документа, віддрукованого на принтері. Корпорація Xerox подала заявку на патентну реєстрацію даної технології.
Які перспективи практичного застосування цієї технології? Частину алгоритмів колірного кодування можна інтегрувати в програму, що управляє роботою монохромного принтера, що дозволяє трансформувати кольори в текстуровані відтінки сірого. Розшифровка алгоритмів може здійснюватися в сканері багатофункціонального пристрою (МФУ), що дозволить відновити кольори оригіналу і відтворити початковий документ в повнокольоровому варіанті на екрані комп'ютера або віддрукувати його на принтері.
Окрім Карен Браун, презентацію своїх наукових відкриттів в рамках конференції проводить група інших дослідників Xerox – Раджа Балу (Raja Bala), Р. Віктор Классен (R. Victor Klassen), Мартін Мальц (Martin Maltz), Джон Макелвейн (Jon McElvain) і Дж. Майкл Санчес (J. Michael Sanchez), яких в цілому припадає на частку 88 запатентованих технологій управління кольором, а також калібрування, визначення параметрів і обробки зображення.
Формат DjVu
Стискування повнокольорової інформації про документ формату А4 до розміру середньої Web-странички (46 Кбайт згодне даним на 1999 р.) теоретично цілком можливо. Формат DjVu – перший крок до «кольорового факсу» – орієнтований на передачу, перегляд в мережі і роздрук переважно текстових документів, для яких важливе значення має не тільки зміст, але і форма: колір і фактура пергаменту, відірваний куточок і сліди від складання вчетверо, пляма після підпису і кругла пляма від винної пляшки поряд з друком. Архіви всього світу накопичили величезне число історичних паперів з неповторним колоритом такого роду.
Існуючі компактні формати JPG, GIF, факс-стандарт CCITT і JBIG забезпечують достатнє стискування, проте вузько специализированны або на фотографіях, або на чорно-білій графіці і тексті. Тому змішані зображення в їх виконання виглядають нечитаними. У основу розділення «обов'язків» усередині DjVu покладені прості спостереження і факти.
· Текст і інші контрастні малюнки легкі для читання при скануванні з дозволом не менше 300 dpi.
· Навпаки, легке розмиття фонової графіки навіть покращує сприйняття тексту. Тому фон без втрат для загального враження зберігається з дозволом 100 dpi в окремий шар «background».
Таблиця 2. Параметри компонентів зображення у форматі DjVu.
| Ім'я шару | Пояснення | Дозвіл, dpi | Глибина кольору, bits/pix |
| Mask | монохромна маска-трафарет | 300 | 1 |
| Background | кольоровий фон | 100 | 24 |
| Foreground | кольори маски | 25 | 24 |
· Основна проблема – відокремити текст від фону, особливо якщо це кольоровий текст, і більш того, різноколірний. На щастя, колір тексту в більшості документів практично однаковий в рамках одного знаку. Це дозволяє зберігати колірну інформацію про текст з дозволом всього 25 dpi (шар «foreground») (див. табл. 2).
Розділення зображення на текст і фон (формування шару-маски) засноване на так званій мультимасштабной кластеризації. Зображення розбивається на різнорозмірні вкладені сітки, в кожному осередку яких відбувається розпізнавання текстових і фонових квітів по максимальних списах на гістограмі. Відокремивши текст від фону в найкрупнішій сітці, алгоритм переходить до уточнення на основі даних з сіток меншого розміру. Розробниками знайдено емпіричне співвідношення: колір, визначений як «текстовий» в найбільшому осередку, змішується з «текстовим» кольором в меншому, вкладеному осередку в пропорції 20% до 80%. Результат змішення береться за колір тексту для розрахунків в ще дрібнішій сітці за тим же принципом 20/80.
У DjVu для стискування фону, маски і колірної інформації про маску застосовуються різні алгоритми. Фон стискується вейвлет-алгоритмом IW44 (4х4 wavelets), шар-маска, що не містить колірної інформації, упаковується методом JB2, аналогічним вживаному у факсах. Колірна інформація про текст так само кодується IW44, але заздалегідь загрубляется до 25 dpi.
Формат IW44 дуже близький до нового стандарту JPEG2000, але менш вимогливий до системних ресурсів при декомпресії зображення під час перегляду. Шар-маска перед упаковкою JB2 зазнає оптимізацію з метою звільнення від «випадкових» штрихів і «шуму сканера» на основі так званого Soft pattern matching algorithm. В результаті кожен піксел маски кодується менш ніж одним (!) бітом, але тільки в тому випадку, якщо алгоритм здатний передбачити його колір на основі 3…8 рядом лежачих крапок з вірогідністю більше 50%.
Факсимільна передача зображень
Для передачі і відтворення на відстані нерухомих зображень призначена система факсимільного зв'язку. Передаваним зображенням може бути рукописний, машинописний або друкарський текст, фотографія, креслення, карта і ін.
Факсимільне повідомлення слід вважати за безперервне – будь-яка ділянка зображення скільки завгодно малих розмірів може мати будь-яке значення оптичної щільності в деякому діапазоні щільності. Обмежені можливості зору дозволяють дискретизувати безперервне факсимільне повідомлення і тим самим понизити його надмірність до розумної величини. Дискретизація проводиться за площею зображення і по оптичній щільності окремих ділянок з урахуванням роздільної здатності і контрастної чутливості ока.
Суть дискретизації за площею полягає в розкладанні всієї площі зображення на окремі елементарні майданчики. Кожен майданчик характеризується одним єдиним значенням оптичної щільності, що отримується шляхом усереднювання щільності в межах цього майданчика.
У факсимільних апаратах загального призначення розмір елементарного майданчика повинен складати близько 0,1 мм.
Дискретизація по оптичній щільності полягає в округленні набутого значення щільності елементарного майданчика оригіналу до найближчої фіксованої величини. В результаті на копії буде відтворена тільки певна, фіксована щільність, число якої порівняно невелике. Для якісної передачі художній фотографії необхідно передати і відтворити на копії 10–15 градацій оптичної щільності, що відрізняються один від одного. При передачі двух-градационных зображень дискретизацію проводять двома рівнями оптичної щільності – чорним і білим.
МККТТ визначив чотири групи стандартних факсимільних апаратів, що класифікуються за типом сканованого сигналу, використовуваним методом модуляції і комунікаційними характеристиками.
Апарати групи G1 кодують і передають аналогові сигнали. Визначена стандартна частота сканування ліній – 180 ліній в хвилину, виходячи з характеристик каналу зв'язку, можуть бути встановлені інші значення швидкості. Факсимільні апарати групи 1 працюють з дозволом 3,85 ліній на 1 мм і витрачають приблизно 6 мін на передачу документа формату A4. Тільки на виділених лініях апарати групи 1 можуть використовувати амплітудну модуляцію. Частота, що несе, повинна знаходитися в інтервалі 1300–1900 Гц. Під час передачі найвищий рівень сигналу відповідає чорному кольору, найнижчий – білому. Як на виділених, так і на комутованих лініях, апарати групи 1 можуть використовувати частотну модуляцію. Для комутованих ліній частота несе рівна 1700 Гц. Для виділених ліній частота несе приймається 1900 Гц, частоти 1500 Гц і 2300 Гц для білого і чорного кольорів.
Апарати групи G2 кодують і передають аналогові сигнали, як і апарати групи 1, але використовують ефективніші методи модуляції. Це дозволяє забезпечити стандартну швидкість сканування 360 ліній в хвилину. Апарати групи 2 забезпечують теж самий дозвіл, що і апарати першої групи, але витрачають від 2 до 3 хвилин на передачу того ж самого зображення. Амплітудна модуляція приводить до утворення двох бічних смуг, які є дзеркальним відображенням один одного і несуть однакову інформацію. Факсимільні апарати групи 2 призначені для роботи в мережах телефонного типу, що використовують амплітудну модуляцію з частково пригніченою бічною смугою. Модуляційна система такого типу пригнічує одну з надмірних бічних смуг, зменшуючи повну ширину смуги частот сигналу, забезпечуючи тим самим можливість розширення інформаційної смуги частот. Апарати групи 2 використовують частоту, що несе, 2100 Гц.
Цифрові факсимільні апарати
Розвиток техніки зв'язку йде у напрямі цифровизации. Це пов'язано з тим, що цифрові системи мають ряд істотних переваг в порівнянні з аналоговими: можливістю регенерації сигналу на проміжних пунктах; універсальністю способу передачі, що дозволяє передавати факсимільну інформацію разом з іншими видами повідомлень по єдиній цифровій системі зв'язку; можливістю скорочення часу передачі за рахунок оптимального кодування факсимільного сигналу; застосуванням добре розвиненої цифрової елементної бази при створенні нових зразків цифрової факсимільної апаратури; можливістю сполучення цифрових факсимільних апаратів з ЕОМ в цілях обробки факсимільної інформації.
Факсимільні апарати групи G3 знаменують перехід від аналогових до цифрових методів передачі факсимільних повідомлень і істотно відрізняються від апаратів груп 1 і 2. Цифрові факсимільні апарати розглядають зображення як набір дискретних елементів (пікселів). Кожен піксель може бути або чорним (йому відповідає двійкова 1) або білим (двійковий 0) – проміжні півтони не допускаються. Послідовність двійкових цифр, що виробляється при оцифруванні зображення, може бути стисла, передана по каналу зв'язку і проконтрольована на наявність помилок з використанням будь-яких методів, вживаних в модемах. Всі апарати групи 3 забезпечують стандартний вертикальний дозвіл 3,85 ліній на міліметр. Можлива установка вищого дозволу – 7,7 ліній на міліметр. У обох випадках дозвіл по горизонталі встановлюється на рівні 1728 пікселів для стандартної лінії сканування довжиною 215 мм, що еквівалентно 8 пікселям на міліметр. У модифікації стандарту T.4, датованою 1992 г., додаються нові режими кодування з вищим дозволом: 15,4 ліній на міліметр по вертикалі і 16 пікселів на міліметр по горизонталі.
У цифрових факсимільних апаратах блоки електрооптичного аналізу і синтез-дискретные (як перетворювачі світло-сигнал використовується, наприклад, ПЗС-лінійка і термопечатающая лінійка).
В результаті цифрових перетворень виходить послідовність одиничних елементів (двійковий код), тому швидкість передачі факсимільній інформації вимірюють кількістю битий в секунду (бит/с).
Цифрові дані, що формують кожну лінію сканування, ущільнюються перед передачею. Тому час, що витрачається на передачу одній лінії сканування може змінюватися від лінії до лінії усередині деякого довільно визначуваного інтервалу. Стандарт T.4 рекомендує витрачати на передачу кожній лінії сканування не менше 20 мс, хоча допустима зміна цього параметра в межах від 0 до 40 мс. Максимальний час передачі лінії сканування не повинен перевищувати 5 с.
Застосування апаратів групи G4 в основному концентрується на інтеграції служби факсимільному зв'язку з іншими службами зв'язку і передачі повідомлень. Служба факсимільному зв'язку з використанням апаратів групи 4 додає деякі корисні удосконалення в передачу факсимільних повідомлень, не відмовляючись при цьому від концепції растрової графіки. Визначені, наприклад, базові величини дозволу: 200, 300 і 400 крапок на дюйм. Доданий режим передачі без стискування даних, що дозволяє здійснювати передачу зображення, не застосовуючи звичайні алгоритми стискування. Новий режим, званий змішаним режимом, забезпечує пересилку тексту як даних і передачу графічних зображень в растровій формі.
Стандарти для апаратів групи 4 ввели три класи факсимільних терміналів відповідно до їх робочих характеристик. Термінали, які просто посилають і приймають факсимільні повідомлення, визначаються як термінали класу 1. Термінали класу 2 можуть отримувати як телекси (текстові повідомлення, що пересилаються між факсимільними апаратами), так і змішані повідомлення. І, нарешті, термінали. Що формують групу 3, можуть створювати, передавати і приймати повідомлення в будь-якій формі.
Призначення факс-модемів
У міру розвитку обчислювальної техніки багато фірм почали випускати плати розширення до персональних комп'ютерів (ПК), що дозволяють ПК обмінюватися факсимільними повідомленнями з факсимільними апаратами групи 3. Така плата отримала назву факс-платы. Випускалися дві їх різновиди, що дозволяють тільки передавати факси або передавати і приймати їх.
Оскільки факс-платы грунтувалися на тих же принципах передачі інформації, що і звичайні модеми, то ці два пристрої були об'єднані разом і названі факс-модемом.
Маючи комп'ютер, сканер і друкуючий пристрій, можна не набувати факсимільного апарату. Достатньо додатково придбати тільки факс-модем. Підключивши його до комп'ютера, отримуємо факс-машину, яка реалізує всі функції факсимільного апарату.
Більш того, комбінація комп'ютера у факс-модем має декілька переваг перед традиційними факсимільними апаратами:
· якщо як друкуючий пристрій використовується струменевий або лазерний принтер, то якість прийнятих і виведених на принтер факсимільних повідомлень, як правило вище, ніж при використанні звичайних факсимільних апаратів;
· факсимільний апарат не може виконувати інші функції, окрім передачі образів паперових документів. Комп'ютер, сканер, факс-модем і принтер можна задіювати для вирішення інших завдань;
· факс-модем дозволяє передавати не тільки факсимільні повідомлення, але і звичайні файли, працюючи як звичайний модем;
· встановивши факс-модем в локальній мережі, можна забезпечити його сумісне використання користувачами, що дозволяє заощадити грошові кошти;
· прийняте комп'ютером факсимільне повідомлення може бути передане на іншу факс-машину без втрати якості, оскільки комп'ютер передає прийнятий «електронний образ» документа.
Комп'ютерна телефонія (CTI – Computer Telephony Integration) – галузь промисловості, що виникла на стику комп'ютерних і телефонних технологій. Основний її зміст – по-перше, використання комп'ютерного інтелекту для управління телефонними викликами, а по-друге, організація взаємодії між абонентом телефонної мережі загального користування і видаленим комп'ютером. Системи комп'ютерної телефонії дозволяють вельми істотно підвищити ефективність праці співробітників компанії, автоматизувавши велику частину виконуваних ними рутинних операцій, і надати клієнтам цілий спектр нових послуг.
Вперше ідея використовувати персональний комп'ютер для створення інтегрованих систем факсимільного зв'язку була реалізована в 1985 р., коли фірма GammaLink випустила першу комп'ютерну факсимільну плату. Це дозволило підключити телефонну лінію безпосередньо до комп'ютера і перетворити його на могутній і багатофункціональний факс. Пізніше, в червні 1994 року, компанію GammaLink придбав лідер індустрії комп'ютерної телефонії, компанія Dialogic. На той час компанія Dialogic пропонувала найширший спектр голосових плат для комп'ютерної телефонії, і це придбання дозволило їй першою в світі інтегрувати функції факсу і голосового зв'язку в один виріб. Пізніше, в 1999 році, компанію Dialogic придбала корпорація Intel, Сьогодні корпорації Intel належить 64% світового ринку устаткування комп'ютерної телефонії. В той же час комп'ютерні факсимільні плати випускає достатньо велика кількість виробників, і їх продукція, що розрізняється по деяких функціональних можливостях, служить одній меті – автоматизації процесу обміну факсимільними повідомленнями.
Одній з систем комп'ютерної телефонії, призначеної для організації автоматизованого корпоративного факсимільного сервісу, є мережевий корпоративний факс-сервер. По суті справи, мережевим факсом-сервером є шлюз, призначений для передачі факсів між користувачами локальної мережі і зовнішніми абоненти по телефонних каналах і каналах WAN, і є комп'ютером, обладнаним однією або декількома багатоканальними факсимільними платами і інтегрований з локальною обчислювальною мережею (ЛВС). Він володіє багатьма перевагами в порівнянні з групою з декількох автономних факс апаратів або факс-модемів, дозволяючи обмінюватися факсимільними повідомленнями з кращою якістю, великими зручностями і меншими витратами. Факс-сервер наділяє кожного користувача ЛВС можливістю передавати і приймати факсимільні повідомлення за допомогою свого робочого ПК. Користувач дістає можливість створити на своєму комп'ютері документ, наприклад, в Windows і відправити його на факс-апарат, отримати його на свій комп'ютер, переслати іншому користувачеві, копіювати, зберігати, видаляти і так далі Таким чином, кожен співробітник компанії отримує в своє розпорядження персональний інтелектуальний факс.
1. Передача зображення по лініях зв'язку є складною проблемою.
2. Для передачі текстових і фотографічних зображень по телеграфних лініях зв'язку застосовуються спеціальні пристрої, використовуючи факс-технології.
3. Для збільшення швидкості передачі використовуються різні методи стискування інформації (наприклад, JPEG), у тому числі і новітні наукові розробки (DjVu).
4. Для переміщення по каналу зв'язку інформація спеціальним чином кодується.
5. Якісно новим є перехід на цифрові технології і, як наслідок цього, можливість передачі по каналах зв'язку кольорових факс-зображень.
6. Розвиток комп'ютерної техніки привів до створення факс-модемів, що дозволяють економічніше і якісно здійснювати факсимільний зв'язок.
Список використаних джерел
1. http://directshow.wonderu.com/compress
2. http://startprint.msk.ru/news/01/07.shtml
3. http://www.math.rsu.ru/dictionary/c/CCITT.htm
4. http://www.cqham.ru/likbez_djvu.htm
5. http://alexdiplom.narod.ru/text/3_1.htm
6. http://mzone.narod.ru/net/TechNet_015.htm
7. http://snt.incom.ua/content/view/371519/156/