| Скачать .docx |
Реферат: Приборы для амперометрического титрования
Реферат на тему:
Приборы для амперометрического титрования
Метод амперометрического титрования
Амперометрическое титрование представляет собой объемный метод анализа, в котором для индикации конечной точки используется явление диффузионного тока, наблюдаемое на ртутном капельном или вращающемся платиновом электроде. Амперометрическое титрование сочетает объемные и полярографические методы анализа. Полярографический метод основан на пропорциональности между величиной диффузионного предельного тока электрода и концентрацией вещества, участвующего в электрохимическом процессе.
На рис. а показаны примеры полярограмм: зависимостей величины тока, проходящего через исследуемый раствор, от приложенного к катоду потенциала.
При полярографировании регистрируют изменения тока, проходящего через индикаторный ртутный электрод, при изменении потенциала. С увеличением отрицательного потенциала сначала происходит увеличение силы тока, характеризующее начало восстановления на катоде ионов металла, затем происходит эффект насыщения, вызванный местным уменьшением концентрации ионов данного металла вблизи ртутного электрода. Ионы металла, попадающие на электрод благодаря диффузии их через раствор, немедленно восстанавливаются. Скорость диффузии определяется разностью между концентрацией ионов металла в общем объеме раствора и концентрацией ионов металла на поверхности катода, где она равна нулю. Возникает участок кривой, где не происходит увеличения тока при изменении потенциала. Ток на этом участке кривой называется диффузионным током, последний линейно связан с концентрацией С ионов металла в растворе.

Кривая на рис, а соответствует концентрации С, кривая 2-концентрации С2 , кривая S-концентрации С3 .
Для каждого металла существует определенный потенциал £/м , при котором наблюдается явление диффузионного тока.
На рис. 6 показана зависимость / = /, полученная ил полярограмм, 2 и 3. На оси абсцисс при этом откладываются концентрации иолов металла в растворе.
Ряд точек этой зависимости находится па прямой линии, представленной уравнением, лежащим в основ-полярографии:
U= КС,
где Id– диффузионный ток; С – концентрация ионов металла; К – коэффициент пропорциональности.
При амперометрическом титровании можно добавлением титрапта снизить концентрацию ионов, дающих электродную реакцию, при этом снижается и величина диффузионного тока. Зависимость между количеством добавленного титраита и величиной диффузионного тока представляет собой кривую амперометрического титрования. Ряд характерных кривых амперометрического титрования показан на рис.
Таким образом, при проведении амперометрического титрования на индикаторном электроде устанавливают потенциал, соответствующий области диффузионного тока того вещества, которое участвует в электродном процессе и концентрация которого меняется в процессе титрования.
Амперометрическое титрование имеет ряд преимуществ, выгодно отличающих его от полярографических определений и некоторых других видов титрований. Если для полярографических определений необходимо, чтобы сам определяемый ион давал электродную реакцию, то при амперометрическом титровании достаточно, чтобы на электроде мог восстанавливаться или окисляться хотя бы один из участвующих в реакции реагентов или продукт этой реакции. Электродная реакция, которая используется для индикации конечной точки титрования, зависит от того, какой потенциал установлен на индикаторном электроде в данном растворе. Поэтому, устанавливая тот или иной потенциал индикаторного электрода, можно добиться селективной электродной реакции, при которой изменение силы тока не будет зависеть от присутствия других веществ в анализируемом растворе. При амперометрическом титровании можно определять чрезвычайно малую концентрацию различных веществ в растворах. Титрование можно проводить в мутных и окрашенных растворах. При амперометрическом титровании используют реакции осаждения, окисления – восстановления, комплексообразования, нейтрализации.

При амперометрическом титровании, как и при полярографировании, применяются в качестве индикаторных ртутный капельный, платиновый вращающийся электрод и некоторые другие.
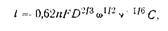
Плотность диффузионного тока, например, на вращающемся твердом дисковом электроде определяется уравнением
![]()
где п – число электронов, участвующих в реакции; F– число Фарадея; D– коэффициент диффузии; w– угловая скорость вращения электрода; ч – кинематическая вязкость раствора; С – концентрация потенциалоопределяющего вещества в объеме раствора.
Разновидностью метода амперометрического титрования является титрование с двумя индикаторными электродами, к которым прикладывается небольшое постоянное напряжение, метод, известный в литературе под названием dead– stoptitrationили «биамперометрическое титрование». В отличие от потенциометрического титрования с двумя поляризующимися электродами, где в конечной точке резко меняется потенциал между электродами, при амперометрическом титровании с двумя индикаторными электродами резко меняется величина тока. Потенциал самих электродов при этом несколько изменяется. Если при потенциометрическом титровании в цепь электродов включают большое сопротивление, то чтобы получилось большее изменение тока, при амперометрическом титровании сопротивление в цепи электродов должно быть возможно меньшим.
Амперометрическое титрование с двумя индикаторными платиновыми электродами первоначально было применено при титровании йода, затем нашло применение и для определения других элементов. Физическая сущность метода заключается в следующем. Если в раствор погрузить одновременно два одинаковых платиновых электрода и приложить к ним постоянное напряжение, то в процессе титрования будет изменяться концентрация ионов, участвующих в реакции, а вместе с ней и сила тока.
Применяемые для амперометрического титрования ртутные капельные индикаторные электроды практически мало отличаются от электродов, применяемых при обычном полярографировании. Единственным требованием к ним является обеспечение большой скорости капель для уменьшения колебаний регистрируемой кривой титрования.
Существенный интерес представляют твердые вращающиеся платиновые электроды. Простейший твердый вращающийся электрод представляет собой небольшой отрезок топкой платиновой проволоки, впаянной в конец стеклянной трубки. По бокам трубки припаяны небольшие лопасти для перемешивания раствора при вращении трубки. Иногда нижний конец трубки загибают, тогда этот участок трубки вместе с электродом выполняет функции перемешивания. Длина наружного конца платиновой проволоки обычно составляет 4–5 мм. Иногда применяют электроды в виде диска диаметром 1–3 мм, получаемого путем впайки платиновой проволоки в торец стеклянной трубки и последующей шлифовки торца.
Как было указано выше, сила тока на индикаторном электроде зависит от скорости вращения электрода. Поэтому привод электрода должен обеспечивать равномерное вращение последнего, независимо от колебаний напряжения сети. Обычно скорость вращения выбирают в пределах 400–600 об/мин.
Приборы для амперометрического титрования
На рис. представлена схема амперометрического титрометра. Ртутно-капельный электрод / и насыщенный каломельный электрод 2 с помощью агарового мостика 4 образуют электродную пару. В сосуд с исследуемым раствором подается титрапт из бюретки 3. Часть напряжения, подаваемого на реостат 6 от батареи 5, снимается движк) м реостата и через небольшое эталонное сопротивление 9 накладывается па электродную пару. Необходимое напряжение на электродах устанавливается по вольтметру 7. Ток в цепи электродов измеряется с помощью гальванометра 8. При титровании раствор перемешивается мешалкой 10, приводимой в действие от электродвигателя //. В процессе титрования отмечают количество израсходованного титранта и соответствующую величину диффузионного тока. По полученным точкам строят кривую амперометрического титрования. Излом кривой характеризует конечную точку титрования ток в цепи электродов не упадет, реле времени размыкает конечный выключатель KB – титрование прекращается.
СКВ АНН разработан амперометрический полуавтоматический анализатор бромных индексов с кулонометрической генерацией титранта. Блочная схема прибора показана на рис. 64. Прибор состоит из четырех блоков: титровального стенда, электронного сигнализатора, регистрирующего потенциометра и стабилизатора.
На титровальном стенде размещены термостатированная титровальная ячейка V с системой генераторных Г и индикаторных И электродов, электродвигатель Д с мешалкой М. В электронном сигнализаторе размещены блоки питания БП1 и БП2 генераторных и индикаторных электродов, автоматический секундомер С, реле времени РВ – л миллиамперметр тА. Потенциометр П подключен к небольшому сопротивлению R.
При пропускании тока через генераторные электроды происходит разложение бромида калия, находящегося в сравнительном растворе, и на аноде выделяется бром. Бром является тнтрантом. Генераторные и индикаторные электроды изготовлены из платины. При титровании бром идет на присоединение к непредельным углеводородам, содержащимся в сравнительном растворе.
Ток, проходящий через раствор, достигает определенного значения. Затем в сравнительный раствор добавляют навеску анализируемой пробы. При этом бром присоединяется к непредельным углеводородам, содержащимся в пробе, концентрация свободного брома в растворе уменьшается, одновременно уменьшается сила тока, проходящего через индикаторные электроды.
После этого включается ток в цепи генераторных электродов, запускается секундомер и начинается титрование. При возвращении величины тока индикаторной цепи к заданному значению автоматически прекращается протекание генераторного тока, останавливается секундомер и начинает работать реле времени.
Если в течение установленной выдержки ток не уменьшится, прибор окончательно заканчивает титрование и загорается сигнальная лампа. По показаниям секундомера рассчитывают результаты анализа. Процесс титрования записывается на диаграмм-нон бумаге регистрирующего потенциометра.
Следует отметить удачное сочетание амперометрического титрования с кулонометрической генерацией титранта. В приборе отсутствует бюретка и необходимость в заранее подготовленном тнтрапте.

Французской фирмой Tacusselelectronique выпущен па рынок универсальный комплекс для различного вида титрований типа Urectron-5, состоящий из отдельных блоков.
Основой комплекса является автоматический титратор типа U-5, к которому могут придаваться регистратор кривой титрования типа EPL-2, узел подачи титранта с перистальтическим насосом типа MPSLO и со своим командным блоком типа UOWPP, сменный блок электродов с магнитной мешалкой, на столике которой устанавливается химический стакан с исследуемым раствором, а также другие блоки.
Прибор может выполнять следующие функции: амперометрическое титрование, потенциометрическое титрование с потреблением тока, погенциометрическое титрование без потребления тока.
С помощью прибора можно производить простое считывание результатов, регистрировать полную кривую титрования, работать в режиме непрерывного титрования с постоянной скоростью подачи одного или двух реактйвов, а также титровать до заданных условий с получением выходного сигнала в момент окончания титрования.
Схема прибора предусматривает получение сигнала, пропорционального первой производной от кривой титрования, используемого для замедления подачи титрапта при увеличении крутизны кривой титрования.
Амперометрическое титрование проводится па приборе с высокой точностью благодаря введенному в схему фильтру для сглаживания пульсаций измеряемого тока.