| Скачать .docx |
Курсовая работа: Преобразование случайных сигналов в безынерционных нелинейных и инерционных линейных цепях
КАЗАНСКИЙ ГОСУДАРСТВЕНЫЙ ТЕХНИЧЕСКИЙ УНИВЕРСИТЕТ
им. А. Н. ТУПОЛЕВА
Институт радиоэлектроники и телекоммуникаций
Кафедра РИИТ
КУРСОВАЯ РАБОТА
по курсу: «Радиотехнические цепи и сигналы»
на тему: «Преобразование случайных сигналов в безинерционных нелинейных и инерционных линейных цепях»
Выполнил: Мулюков Р. Р.
Группа: 5201
Проверил: Козлов В.А.
Казань 2010
Задание
1. Произвести генерацию случайного сигнала X(n) с равномерным законом распределения, заданным математическим ожиданием mX 0 и среднеквадратическим отклонением X 0 .
2. Изменяя длину участка реализации N (1 N 1024) определить с помощью критерия
такую длину участка реализации N0
, для которой вероятность Р, с которой статическое распределение выборки из N значений может считаться соответствующий теоретическому распределению, будет достаточно близка к единице, а величины mXN
0
и XN
0
достаточно близки к заданным mX
0
и X
0
. В дальнейшей работе использовать этот объем выработки.
3. Определить корреляционную функцию Rx () и энергетический спектр Wx () исходного сигнала X(n), построить их графики указав масштаб по осям времени и частот соответственно. Определить тип случайного процесса X(n) – широкополосный или узкополосный.
4. Аппроксимировать закон распределения случайного процесса X(n). По найденной функции Р(х) и указанной в задании нелинейной характеристике Y = f(x) определить теоретически функцию P(y) – закон распределения отклика безынерционного нелинейного элемента на воздействие случайного элементы X(n). Построить график функции P(y)
5. Провести преобразование случайного процесса X(n) в безынерционной нелинейной цепи с указанной в индивидуальном задании нелинейной характеристикой Y = f(x). Для выборки N0 значений случайного процесса Y(n) получить m1 YN 0 и 1 YN 0 , гистограмму, графики корреляционной функции Ry () и энергетического спектра случайного сигнала Wy (). Сопоставить гистограмму с графиком функции P(y). Указать, какие характеристики случайного процесса изменились в результате его передачи через безынерционную нелинейную цепь.
6. Провести фильтрацию случайного процесса Y(n) цифровой моделью инерционной линейной цепи в индивидуальном задании характеристиками получили новый сигнал Z(n). Для выборки N0 значений случайного процесса Z(n) получить m1 ZN 0 и 1 ZN 0 , гистограмму, графики корреляционной функции Rz () и энергетического спектра Wz (). Определить с помощью критерия x2 произошла ли нормализация случайного процесса Y(n) в результате его фильтрации в линейной цепи. Указать, какие характеристики случайного процесса изменились в результате его передачи через линейную цепь.
Параметры исходного сигнала X(n)
Вариант 27
mXN 0 = -1,25 XN 0 = 0,75 Т = 0.0004 с
Вариант нелинейности 3.4
Нелинейности
Y = 
Параметры линейной цепи
Тип ПФ f0 = 500 Гц Q = 3
1. Случайными называются сигналы (процессы), значение которых не могут быть предсказаны с полной достоверностью. Наибольшее распространение при описании случайных сигналов имеют математическое ожидание m1
X
0
= -1,25 (начальный момент 1-го порядка) и среднеквадратичное отклонение X
0
= 0,75 (
, где Dx
– дисперсия [центральный момент 2-го порядка]). Если реализация случайного процесса X(t) задана в виде выборочной последовательности значений Xi
,
где i = 1,2,3, … N, то ![]()
математическое ожидание рассматривать как постоянную составляющую в спектре случайного сигнала, а дисперсию как среднюю мощность флуктуационной (переменной) составляющей.
2. Одной из важнейших характеристик случайного процесса является плотность вероятности P(х) – функция, которая показывает, насколько часто повторяется (по времени) то или иное значение Х.
Для равномерного закона распределения
![]()
P
![]() |
Xmin = -2,525 0 Xmax = 0,042 X
Все значения в Х интервале от Xmin до Xmax встречаются одинаково часто.
Для точного определения одномерной плотности случайного процесса необходимо исследовать реализацию бесконечной длительности, что на практике нереально. Поэтому реально берут реализацию конечной длительности Тс
и при ее изучении берут выборки с конечным шагом Т (в данной работе Т = 0.0004 с), число отсчетов случайного сигнала
, подвергаемых обработке, всегда конечно, следовательно, вместо P(х) получают ее оценку в виде ее гистограммы.
Изменяя длину участка реализации N (1 N 1024) определим с помощью критерия 2 такую длину участка реализации N0 , для которой вероятность Р, с которой статистическое распределение выборки из N значений может считаться соответствующим теоретическому распределению, будет достаточно близка к единице, а величины mXN 0 и XN 0 достаточно близки к заданным mX 0 и X 0 .
Если реализация случайного процесса X(t) задана в виде выборочной последовательности значений Xi , где i = 1,2,3, … N, то для построения гистограммы находят Xmin и Xmax . Затем диапазон изменений X(Xmin Xmax ) разбивают на отдельные интервалы ширины X. Число интервалов Ni берут,
10 20. ![]()

где nk
– число отсчетов сигнала, попавший в k – интервал,
- теоре-тическая вероятность пребывания случайного сигнала в пределах каждого из интервалов X (в работе Ni
= 10), N – общее число исследуемых отсчетов сигнала.
Пусть N = 100
= 3,6 mXN
0
= -1,1635 XN
0
= 0,7464
Пусть N = 200
= 9,8 mXN
0
= -1,1533 XN
0
= 0,7572
Пусть N = 300
= 10,6 mXN
0
= -1,1803 XN
0
= 0,7569
Пусть N = 400
= 8,8 mXN
0
= -1,2014 XN
0
= 0,7597
Пусть N = 500
= 6,68 mXN
0
= -1,2082 XN
0
= 0,7452
Пусть N = 600
= 8,07 mXN
0
= -1,2143 XN
0
= 0,7416
Пусть N = 700
= 6,4 mXN
0
= -1,2196 XN
0
= 0,7471
Пусть N = 800
= 5,77 mXN
0
= -1,2368 XN
0
= 0,7443
Пусть N = 900
= 7,51 mXN
0
= -1,2265 XN
0
= 0,7480
Пусть N = 1000
= 7,48 mXN
0
= -1,2119 XN
0
= 0,7473
В дальнейшей работе будем использовать объем выработки N = 100, т. к. критерий Пирсона имеет наименьшее значение.


3. Энергетический спектр случайного сигнала Wx () показывает, как средняя мощность сигнала распределена по диапазону частот. Для большинства случайных сигналов ширина спектра теоретически бесконечно велика. Для оценки реальной ширины спектра вводят понятие эффективной ширины спектр э , которую можно определить как полосу частот, в пределах которой спектральная плотность средней мощности падает не более чем в 2 раза по сравнению с максимумом.
Корреляционная функция случайного процесса Rх () является внутренней мерой связанности процесса в различные моменты времени, отстоящие на , его свойства (помнить) предшествующие состояния следует интервал корреляции – это величина временного сдвига , начиная с которого значения сигнала X(t) и X(t+) могут считаться несвязанными.
Оценку величин интервала корреляции процесса к при известной корреляционной функции Rх () можно следующим образом: если процесс широкополосный, то к равен координате первого нуля функции Rх (); если процесс узкополосный, то к определяют по координате первого нуля огибающей функции Rх (). Корреляционная функция Rх () и энергетический спектр случайного сигнала Wx () связана между собой преобразованиями Фурье. Если реализация случайного процесса X(t) задана в виде выборочной последовательности значений Xi , где i= 1,2,3, … N, то
, 0 k N1
где N1 – число отсчетов корреляционной функции и энергетического спектра (на 1 2 порядка меньше числа отсчетов сигнала N);
Т – интервал дискретизации сигнала.
= 2Пf =
- шаг отсчета по частоте.
Корреляционная функция Rх (t) и энергетический спектр Wx (f) исходного сигнала изображены на рисунках (см. ниже). Это широкополосный сигнал. Т = 0.0004с; N1 = 10;
![]()


По графику корреляции видно что исследуется широкополосный сигнал, его интервал корреляции:
![]()
Энергетическая ширина спектра
![]()
4. Найдем P(x) для равномерного закона распределения
![]()
Xmin
= -2,525 Xmax
= 0,042 ![]()
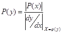
Если во всей области изменения переменной Х связь отклика Y с воздействием Х, обусловленная видом характеристики y = f(x) нелинейного элемента, однозначна, то плотность вероятности распределения мгновенных значений P(y) по известной P(x) можно найти

где
преобразованная зависимость y = f(x).
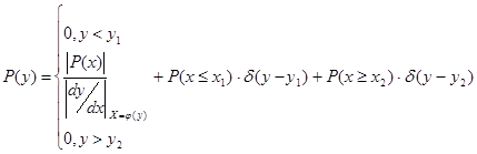
Если нелинейность такова, что какому-то значению y = y1 отвечает конечное множество значений
,
, … , то
+
+ …
Если линейность такова, что есть значения Y, которым в силу характеристики y = f(x) отвечает бесконечное число значений Х, то применяют следующее правило

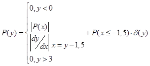
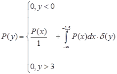
[-2,525; 0,042]
[0, 3] P(x) = 0,39
У нас нелинейность вида
Y = 


![]()

![]()



В результате преобразования случайного процесса X(n) в безынерционной нелинейной цепи мы получили новый сигнал Y(n).


Для него m1 YN 0 = 0,5132 1 YN 0 = 0,5323 Гистограмма изображена на рисунке, ее огибающая схожа с графиком теоретически построенной функции P(y) следовательно, теоретические расчеты совпадают с практическим преобразованием.
Корреляционная функция Ry (t) и энергетический спектр случайного сигнала Wy (f) представлены на рисунках, приведенных ниже:


Интервал корреляции: ![]()
Энергетическая ширина спектра: ![]()
В результате преобразования случайного процесса X(n) в безынерционной нелинейной цепи случайный сигнал перестал быть равномерным. Математическое ожидание увеличилось и стало больше нуля. Среднеквадратичное отклонение уменьшилось примерно в 1,5 раза. Сигнал остался широкополосным.
6. В общем случае точно установить взаимосвязь закона распределения воздействия с законом распределения отклика линейной цепи и ее частотной характеристикой очень сложно. Но если протяженность во времени импульсной характеристики цепи такова, что хотя бы в несколько раз превышает к входного случайного процесса, или полоса пропускания цепи в частотной области хотя бы в несколько раз меньше ширины энергетического спектра входного процесса, то при любом законе распределения P(х) входного процесса, случайный процесс на выходе линейной цепи будет иметь распределение, близкое к нормальному.
В результате фильтрации случайного процесса Y(n) в инерционной цепи (ПФ, f0 = 500 Гц, Q = 3) мы получили новый сигнал Z(n).

Для него m1 ZN 0 = 0,0018 1 ZN 0 = 0,1679
Определим по гистограмме с помощью критерия 2 произошла ли нормализация случайного процесса Y(n) в результате его фильтрации в линейной цепи


где nk – число отсчетов сигнала, попавший в k – интервал.
![]()
- теоретическая вероятность пребывания случайного сигнала в пределах каждого из интервалов X, N - общее число исследуемых отсчетов сигнала Ni = 10
P
=Ф(-1,8)-Ф(-2,21)= - 0,92814+0,97289=0,045
Р
=Ф(-1,38)+Ф(1,8)=-0,83241+0,92814=0,096
Р
=-Ф(0,96)+Ф(1,38)= -0,66294+0,83241=0,1694
Р
=-Ф(0,55)+Ф(0,96)= -0,41768+0,66294=0,24526
Р
=-Ф(0,13)+Ф(0,55)=-0,10348+0,41768=0,3142
Р
=Ф(0,29)+Ф(0,13)=0,22818+0,10348=0,33166
Р
=Ф(0,7)-Ф(0,29)=0,51608-0,22818=0,28789
Р
=Ф(1,12)-Ф(0,7)=0,73729-0,51607=0,22122
Р9=Ф(1,54)-Ф(1,12)=0,87644-0,73729=0,13915
Р10=Ф(1,95)-Ф(1,54)=0,94882-0,87644=0,07
| K | Pk | nk | |
| 1 | 0,045 | 3 | 4,9 |
| 2 | 0,0096 | 5 | 2,5 |
| 3 | 0,1694 | 10 | 0 |
| 4 | 0,24526 | 18 | 6,4 |
| 5 | 0,3142 | 11 | 0,1 |
| 6 | 0,33166 | 12 | 0,4 |
| 7 | 0,28789 | 13 | 0,9 |
| 8 | 0,22122 | 13 | 0,9 |
| 9 | 0,13915 | 8 | 0,4 |
| 10 | 0,07 | 7 | 0,9 |
2 =17,4 Нормализация Р случайного процесса Y(n) в результате его фильтрации в линейной цепи не происходит.
Графики корреляционной функции и энергетического спектра представлены ниже:


Интервал корреляции: ![]()
Энергетическая ширина спектра: ![]()
В результате фильтрации случайного процесса Y(n) в инерционной линейной цепи случайный сигнал становится близким к нормальному. К этому заключению приходим из того, что полоса пропускания цепи в частотной области почти в 2 раза меньше ширины энергетического спектра входного процесса. Математическое ожидание стало равно 0, 0018, а среднеквадратическое отклонение уменьшилось до 0,1679. Сигнал стал узкополосным – это произошло из-за частотной характеристики К() линейной цепи – ПФ.
Выводы
1. При взятой длине реализации N = 100, 2 является наименьшим из всех рассмотренных N. Математическое ожидание отличается на 9% от заданного, а среднеквадратическое отклонение на 1%
2. По виду корреляционной функции и энергетическому спектру заключаем, что сигнал широкополосный.
3. В результате преобразования случайного процесса X(n) в безинерционной нелинейной цепи, случайный сигнал перестал быть равномерным. Математическое ожидание увеличилось и стало больше 0, среднеквадратичное отклонение уменьшилось примерно в 1,5 раза. Сигнал остался широкополосным, к и fэ остались прежними.
4. В результате фильтрации случайного процесса Y(n) в инерционной цепи нормализация не произошла. Математическое ожидание стало равным 0,0018, а среднеквадратическое отклонение 0,1679. Сигнал стал узкополосным, энергетическая ширина спектра составила
, а ![]()
Литература
1) Козлов В.А. Преобразование случайных сигналов в безынерционных нелинейных и инерционных линейных цепях. Казань, КГТУ им. А.Н. Туполева, 2001 г.
2) Гоноровский И.С. Радиотехнические цепи и сигналы. М, Советское радио. 1977 г.
