| Скачать .docx |
Реферат: Классификация лечебных физических факторов. Алгоритм функционирования и структурная компоновка аппаратного комплекса
БЕЛОРУССКИЙ ГОСУДАРСТВЕННЫЙ УНИВЕРСИТЕТ ИНФОРМАТИКИ И РАДИОЭЛЕКТРОНИКИ
Кафедра ЭТТ
РЕФЕРАТ
На тему:
« Классификация лечебных физических факторов.
Алгоритм функционирования и структурная компоновка аппаратного комплекса»
МИНСК, 2008
Классификация лечебных физических факторов
В зависимости от видов и форм используемой энергии лечебные физические факторы и соответствующие им методы можно разделить на группы и представить в виде следующей классификации.
Первая группа — постоянный электрический ток низкого напряжения (гальванизация, лекарственный электрофорез).
Вторая группа — импульсные токи низкого напряжения (электросон, диадинамотерапия, амплипульстерапия, интерференцтерапия, флюктуоризация, электродиагностика, электростимуляция).
Третья группа — электрические токи высокого напряжения (диатермия, ультратонотерапия, местная дарсонвализация).
Четвертая группа —электрические, магнитные и электромагнитные поля различных характеристик (франклинизация, магнитотералия, индуктотермия, ультравысокочастотная терапия, микроволновая терапия).
Пятая группа — электромагнитные колебания оптического (светового) диапазона (терапия инфракрасным, видимым и ультрафиолетовым излучением, лазерная терапия).
Шестая группа — механические колебания среды (массаж, ультразвуковая терапия, лекарственный фонофорез, вибротерапия).
Седьмая группа —измененная или особая воздушная среда (ингаляционная или аэрозольтерапия, электроаэро-зольтерапия, баротерапия, аэроионотерапия, климате рапия и др.).
Восьмая группа —пресная вода, природные минеральные воды и их искусственные аналоги.
Девятая группа — тепло (теплолечение) и холод (криотерапия, гипотермия). В качестве термолечебных сред используют лечебные грязи (пелоиды), парафин, озокерит, нафталан, песок, глину, лед и др.
Особую группу составляют сочетанные методы, позволяющие использовать два физических фактора и более (Л.А. Комарова, Г.И. Егорова). С каждым годом они получают все большее распространение в медицине.
Современные представления о механизмах физиологического и лечебного действия физических факторов
Действие на организм различных лечебных физических факторов развивается более или менее сходно и его необходимо рассматривать, исходя из важнейших принципов функционирования живых систем, в частности, из принципа единства организма и внешней среды. Универсальным законом жизни является приспособление (адаптация) организма к изменяющимся условиям окружающей среды с целью поддержания гомеостаза. Этот процесс обеспечивается сложной системой приспособительных реакций, основу которых составляет безусловный рефлекс. Ответом организма на действие лечебных физических факторов, являющихся сложными физико-химическими раздражителями, привносящими в него энергию (вещество, информацию) и вызывающими в нем изменения, также служит системная приспособительная реакция. Структура, особенности и выраженность этой реакции зависят как от физической природы и дозировки фактора, так и от исходного функционального состояния, индивидуальных качеств организма и характера патологического процесса.
Физические факторы являются одновременно средствами как неспецифического, так и специфического действия. Именно последнее обусловливает особую ценность физиотерапевтических воздействий, дает возможность наряду с общей стимуляцией защитных и компенсаторно-приспособительных реакций дифференцированно воздействовать на нарушенные функции организма, различные патогенетические и саногенетические механизмы, отдельные симптомы болезни.
Цепь событий, происходящих в организме после применения физического фактора, условно можно разделить на три основные стадии: физическую, физико-химическую, биологическую.
Во время физической стадии энергия действующего фактора передается биологической системе, тканям, клеткам и окружающей их среде. Взаимодействие физических факторов с организмом сопровождается отражением, прохождением, рассеиванием и поглощением энергии. Влияние на организм оказывает только поглощенная часть энергии. Различные ткани человеческого организма имеют неодинаковую (селективную) способность к поглощению физической энергии. Так, энергия электрического поля УВЧ сильнее усваивается тканями с диэлектрическими свойствами (костной, жировой), а поглощение микроволн, наоборот, преимущественно наблюдается в тканях с большим содержанием воды и электролитов - мышечной, крови, лимфе и др. Не меньшее значение имеет и глубина проникновения, или уровень поглощения энергии в организме. Как известно, физиотерапевтические факторы весьма существенно различаются по этому показателю: одни из них проникают на несколько миллиметров и полностью поглощаются кожей, а другие пронизывают все межэлектродное пространство. Каждому физическому фактору присущ также и свой механизм поглощения энергии. Иллюстрацией к сказанному могут служить данные о поглощении и нагревании различных тканей при использовании некоторых физиотерапевтических методов (рисунок 1). Все эти различия, в целом, служат основой формирования уже на физической стадии специфических особенностей действия отдельных физиотерапевтических факторов.

Рисунок 1 - Распределение тепла в отдельных слоях ткани (а, д - жировая; б, г - мышечная; в - костная) при воздействии высокочастотными факторами (методами):1 - УВЧ-терапия, 2 - индуктотермия, 3 - СВЧ-терапия, 4 - ультразвук
Поглощение энергии сопровождается возникновением физико-химических (первичных) сдвигов в клетках и окружающей их среде. Они составляют физико-химическую стадиюдействия физических факторов на организм. Наиболее изученными первичными эффектами являются теплообразование (нагрев тканей), изменение pH, концентрации и соотношения ионов в клетках и тканях, образование свободных форм веществ, генерация свободных радикалов, изменение пространственной структуры (конформации) биополимеров, прежде всего белков. Среди других возможных механизмов первичного действия физических факторов следует назвать изменение физико-химических свойств воды, поляризационные и биоэлектретные эффекты, изменение электрических свойств клеток, выделение биологически активных веществ (простагландины, цитокины, оксид азота, медиаторы и др.). В общем, в результате действия физиотерапевтических факторов либо образуются различные физико-химические формы, способные вступать в метаболические реакции, либо возникают физико-химические сдвиги, которые сказываются на течении как физиологических, так и патологических процессов в организме. Следовательно, физико-химические изменения — своеобразный триггерный механизм преобразования энергии физического фактора в биологически значимую реакцию организма.
Последствия физико-химических сдвигов зависят от их характера, биологической значимости, локализации воздействия, морфо-функциональной специализации тканей, в которых они происходят. Физико-химические сдвиги в коже, подкожно-жировой клетчатке, мышечной ткани в основном определяют местное действие физических факторов. Если же они происходят в эндокринных органах, то в значительной степени определяют гуморальный компонент действия лечебных физических факторов. Преимущественное поглощение энергии нервными образованиями (рецепторами, нервными волокнами, структурами головного мозга и др.) и происходящие в них физико-химические изменения являются основой формирования рефлекторной реакции организма на применение физических факторов. При этом реакции указанных структур на физические факторы протекают по законам сенсорной физиологии.
Важно иметь в виду, что одному физическому фактору могут быть присущи многие физико-химические эффекты, а применение различных физиотерапевтических методов способно вызвать схожие первичные сдвиги. Этим в первую очередь определяются универсальный механизм действия лечебных физических факторов, единство общего и специфического в их влиянии на организм, сходность и различия в показаниях и противопоказаниях к применению физиотерапевтических методов.
Третья стадия - биологическая. Она представляет собой совокупность непосредственных и рефлекторно возникающих изменений в органах и тканях как следствие поглощения физической энергии биологическими системами организма. Выделяют местную, рефлекторно-сегментар ную и общую (генерализованную) реакции организма с их многочисленными компонентами.
Местные изменения происходят в тканях, поглотивших энергию физического фактора. Они выражаются в изменениях метаболизма, регионального кровообращения и микроциркуляции, диффузионных процессов, митотической активности клеток и их функционального состояния, образовании свободных радикалов, биологически активных веществ и т.д. Местные сдвиги приводят к созданию нового уровня трофики тканей, активации локальных защитных реакций и способствуют восстановлению в них нарушенных болезнью отношений. Такие же сдвиги, но происходящие в рецепторах, нервно-сосудистых сплетениях и периферических нервах, служат источником нервной и гуморальной афферентации - основы формирования реакций организма системного характера.
Вследствие местных сдвигов, являющихся источником длительного раздражения, а также благодаря непосредственным физико-химическим изменениям в нервных рецепторах и других нервных образованиях, в ответ на физиотерапевтическое воздействие формируется общая ответная реакция организма. Она носит, как уже подчеркивалось, системный характер и имеет адаптационно-компенсаторную направленность. Ведущим компонентом этой целостной реакции организма является рефлекторный акт, нервное и гуморальное звенья которого теснейшим образом связаны между собой. Надо подчеркнуть, что тесная взаимосвязь местных и общих реакций во многом обеспечивается благодаря особенностям структуры и функций кожи, являющейся входными воротами для большинства физиотерапевтических факторов.
Участие в приспособительной реакции всех органов и систем наблюдается в основном после обширных или интенсивных физиотерапевтических процедур, а также после воздействия на особые зоны (точки акупунктуры, воротниковую зону, зоны Захарьина—Геда и др.). Ограниченные же физиотерапевтические воздействия сопровождаются, как правило, динамическими изменениями в органах и тканях, принадлежащих к тому же метамеру, что и раздражаемая кожная поверхность. Реализуются эти сдвиги по типу сегментарных (метамерных) реакций.
В реакции организма на физиотерапевтическое воздействие кора головного мозга принимает самое активное участие. Условные раздражители, сочетаясь с безусловным, которым является физиотерапевтический метод, могут заметно изменять его действие на организм, вырабатывать в случае курсового применения новые функциональные отношения между нервной системой и регулируемыми ею физиологическими системами, что также сказывается на лечебном эффекте. Следовательно, рефлекторная реакция при физиотерапевтических процедурах носит условно-безусловный характер. Основное доказательство этого — возможность образования условно-рефлекторных связей в ответ на физиотерапевтическое воздействие. Согласно специальным исследованиям и многочисленным клиническим наблюдениям, после нескольких физиотерапевтических процедур физиологический эффект, характерный для данного воздействия, обнаруживается и при выключенном аппарате.

Рисунок 2 - Схема реакций организма на применение лечебных физических факторов
При мобилизации энергетических ресурсов организма и энергетическом обеспечении функций преимущественное значение имеет симпатоадреналовая система, а в мобилизации пластического резерва основную роль играет гипофизарно - адренокортикальная система.
Изложенные общие представления о механизмах действия на организм лечебных физических факторов, упрощенно отраженные на схеме (рис. 2), будут дополнены, уточнены и конкретизированы при рассмотрении в последующем каждого из методов физиотерапии.
Алгоритм функционирования и структурная компоновка аппаратного комплекса
Анализ процессов, возникающих в канале воздействия БТС электроанальгезии, показывает, что основными электрическими параметрами воздействия, определяющими, в конечном счете, эффективность обезболивания, являются: амплитуда стимулирующего тока, частота следования, длительность, частота заполнения стимулов. Вариабельность характеристик биологических тканей канала воздействия БТС определяет необходимость регулировки основных параметров воздействия, так как вия возбуждения нервных структур изменяются как в зависимости, места расположения электродов на теле пациента, так и от индивидуальных особенностей строения тканей в зоне стимуляции. Наибольший разброс параметров биологических тканей наблюдается при чрескожной передаче стимула, так как здесь на условия стимуляции оказывает дополнительное влияние такие факторы, как состояние контакта электрод-кожа, структурное строение тканей, психофизические эффекты, связанные с потоотделением, состояние периферического кровотока результаты исследования импедансов пассивных биологических тканей случаев расположения электродов на различных участках кожи пациента и при расположении электродов на одинаковом участке кожи у разных лиц показывают, что значения граничных частот, определяющие сложение спектральных составляющих адекватного стимула, могут измениться в 1,5-2 раза в зависимости от условий воздействия. Поэтому при разработке технических звеньев БТС необходимо предусматривать регулировку параметров стимула, обеспечивающую достижение адекватных условий стимуляции во всех возможных случаях использования аппаратуры. Однако большое число ручных регулировок параметров воздействия, допустимое в исследовательской аппаратуре, становится несообразным в медицинских БТС, функционирующих в клинических условиях и требующих максимальной простоты обслуживания. Параметры и режимы электронейростимуляции, нуждающиеся в регулировке в процессе функционирования БТС, можно разделить на две группы. Первая группа включает параметры воздействия, связанные с дозировкой лечебного эффекта. Эти параметры устанавливаются в соответствии с величиной сигнала управления БТС, зависящей от полученного значения диагностического признака. Если управление техническими звеньями БТС осуществляется со стороны медицинского персонала, то регулировку параметров первой группы целесообразно выполнить вручную. К этой группе относится, например, установка амплитуды стимулирующего тока, определяющая градиент напряжения в тканях, степень охвата необходимого количества возбуждаемых нервных проводников и, соответственно, глубину и силу достигаемого эффекта. Вторая группа параметров воздействия, в которую входит длительность стимулов и частота заполнения, играет вспомогательную роль, обеспечивая отсутствие нежелательных эффектов в зоне расположения электродов. Регулировка параметров позволяет использовать большие интенсивности стимулирующего тока, что необходимо для усиления эффективности лечебного воздействия. Для данной группы целесообразно введение автоматического управления параметрами воздействия в зависимости от характеристик биологического звена БТС.
Рассмотрим структурную реализацию алгоритмов автоматической установки параметров стимулов в БТС противоболевой электронейростимуляции.
Автоматическое управление частотой заполнения стимула при чрескожном воздействии можно осуществить на основе предварительного измерения частотных свойств биологических тканей в зоне стимуляции, определения значения граничной частоты адекватного диапазона спектральных составляющих стимула и формирования несущей частоты стимула в этом диапазоне. Определение граничных частот спектра стимула можно провести с помощью измерения сдвига фаз между стимулирующим током и напряжением. Фазовая характеристика биологических тканей, имеет экстремум, приходящийся на минимум активных потерь тока в тканях, т.е. находящийся в диапазоне адекватных частот спектра стимула.
Структурная схема управления частотой заполнения стимула, основанная на анализе фазовой характеристики тканей, показана на рис. 3. Тактовый генератор 1 вырабатывает короткие импульсы U1 , запускающие генератор пилообразного напряжения 2. Линейно возрастающее напряжение U2 вызывает плановое изменение частоты генератора 3, сигнал с которого поступает на формирователь стимула 4, вырабатывающий импульсное напряжение U3 . Через усилитель стимула 5 и измеритель тока стимуляции 6 воздействие прикладывается к электродам 7, расположенным на коже пациента. Фазометр 8 осуществляет формирование напряжения U4 , пропорционального сдвигу фаз между напряжением и током стимуляции в течение действия стимула. В момент, когда напряжение U4 проходит через максимум, схема выделения максимума 9 генерирует короткий импульс напряжения U5 . Этот сигнал воздействует на генератор пилообразного напряжения 2, вызывая остановку изменения напряжения на его выходе и запоминание этого напряжения до следующего такта работы.

Рисунок 3 – Структурная схема (а) и временные диаграммы (б) автоматического управления частотой заполнения стимула.
Процесс изменения частоты генератора заполнения 3 прекращается, поскольку фазовый сдвиг достигает максимального значения, соответствующего области адекватных частот заполнения. Поиск частоты генератора заполнения будет производиться в начале каждого такта работы, длительность которого определяется периодом напряжения U1 . При изменении параметров биологической ткани будет изменяться фазовое соотношение между стимулирующим током и напряжением и устанавливаться новая частота заполнения, соответствующая области адекватных частот.
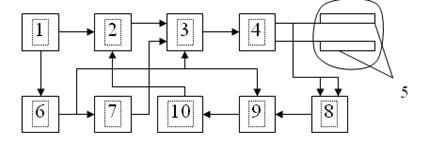
Определение граничной частоты спектра стимула и формирование адекватного сигнала стимуляции можно произвести методом избирательной фильтрации. Структурная схема, реализующая данный метод, показана на рис4.
![]() |
Рисунок 4 – Структурная схема реализации метода избирательной фильтрации
Формирование адекватного стимула осуществляется путем пропускания широкополосного сигнала генератора 1, имеющего равномерный спектр в области возможных несущих, частот стимула, через перестраиваемый избирательный фильтр 2. Колоколообразная частотная характеристика фильтра обеспечивает на выходе формирование амплитудно-модулированного сигнала. Несущая частота этого колебания определяется частотой настройки фильтра 2, а импульсная периодичность — периодичностью сигналов генератора 1. Полученный на выходе фильтра 2 сигнал через коммутатор 3, усилитель 4 и измерительную схему 5 прикладывается к электродам 6, расположенным на коже пациента. Частота настройки фильтра 2 устанавливается следующим образом. Тактовый генератор 7 с определенной периодичностью переводит схему в режим управления. При этом коммутатор 3 подключает к цепи электродов широкополосный сигнал от генератора 1. Отклик биологической ткани на широкополосный сигнал через измерительную схему 5 подается на вход узкополосного фильтра 10. С помощью тактового генератора 7 осуществляется периодическое сканирование частоты его настройки. Напряжение на выходе фильтра 10 усиливается с помощью усилителя 9 и поступает на формирователь управляющего напряжения 8, который запоминает значение напряжения сканирования фильтра 10 в момент максимального значения производной напряжения на выходе усилителя 9. Запомненное напряжение с выхода формирователя 8 подается на управляющий вход фильтра 2 и определяет частоту его настройки и, тем самым, несущую частоту стимула. Таким образом, несущая частота стимула оказывается связанной с участком наибольшей крутизны частотной характеристики биологической ткани, определяющей положение граничной частоты спектра адекватного стимула. Алгоритм установки длительности стимулов основан на зависимости длительности адекватного стимула от величины времени релаксации тока в тканях, окружающих электроды.
Формирование адекватной длительности стимулов, при которой достигается минимизация пороговой энергии стимуляции и поддержание этих условий в процессе длительного воздействия, требует контроля величины времени релаксации тока в зоне расположения электродов и введения управления в формирователь длительности стимулов. Структурная схема, реализующая данный принцип управления длительностью стимула, показана на рис. 5. Задающий генератор I определяет частоту следования стимулов, длительность которых задается в управляемом формирователе 2, связанном через коммутатор 3 и усилитель 4 с электродами 5, расположенными на участке биологической ткани. Сигнал тактового генератора 6, синхронизированный с импульсами стимуляции, переводит устройство в режим управления. В этом режиме на электроды 5 подается сигнал с формирователя измерительного импульса 7, представляющий собой импульс с прямоугольной огибающей. Возникающее на электродах под действием измерительного импульса экспоненциально возрастающее напряжение поступает на измеритель переходного процесса 8, который формирует временной интервал, соответствующий времени нарастания входного напряжения, т.е. контролируемой величине времени релаксации тока. Для сохранения измеренного значения на весь период управления служит запоминающее устройство 9, сбрасываемое в начале каждого такта управления сигналом тактового генератора 6. Выход запоминающего устройства 9 через устройство управления 10 связан с управляющим входом формирователя длительности стимула 2. Таким образом, длительность стимулов в режиме стимуляции устанавливается в соответствии с измеренным значением времени релаксации тока в тканях в предыдущем периоде управления. Период управления выбирается достаточно большим по сравнению с длительностью измерительного импульса и периода стимуляции. Для отслеживания изменений релаксационных свойств ткани в процессе стимуляции достаточно выбрать период управления равным 2...4 с, а длительность измерительного импульса 1,5...2,0 мс. Достоинством данной схемы является использование одной пары электродов для стимуляции и контроля параметров, что упрощает построение технического звена БТС.

Рисунок 5 – Структурная схема автоматического управления длительностью стимула
Рассмотренные алгоритмы автоматического управления параметрами противоболевой электронейростимуляции позволяют сохранить адекватность воздействия в условиях изменения свойств биологических тканей, окружающих электроды. Следовательно, БТС, функционирующая по данным алгоритмам, приобретает свойство адаптивности, позволяющее сохранить эффективность воздействия при длительной стимуляции. В то же время автоматическая установка параметров стимула предотвращает адаптацию возбуждаемых нервных структур за счет периодического изменения параметров стимула, обусловленного изменением импедансных свойств тканей, в зоне расположения электродов. Преодоление адаптации возбуждаемых структур позволяет добиться стойкого анальгетического эффекта при длительном обезболивании.
ЛИТЕРАТУРА
1. Системы комплексной электромагнитотерапии: Учебное пособие для вузов/ Под ред А.М. Беркутова, В.И.Жулева, Г.А. Кураева, Е.М. Прошина. – М.: Лаборатория Базовых знаний, 2000г. – 376с. 2000
2. Электронная аппаратура для стимуляции органов и тканей /Под ред Р.И.Утямышева и М.Враны - М.: Энергоатомиздат, 2003.384с.. 2003
3. Ливенсон А.Р. Электромедицинская аппаратура. :[Учебн. пособие] - Мн.: Медицина, 2001. - 344с. 2001
4. Катона З. Электроника в медицине: Пер. с венг. / Под ред. Н.К.Розмахина - Мн.: Медицина 2002. - 140с. 2002
