| Скачать .docx |
Реферат: Інтегральні технології розробки синтезаторів частот
Інтегральні технології розробки синтезаторів частот
1 Ввиди інтегральних технологій
Важливим аспектом при проектуванні БІС ЦСПСЧ є рівень інтегральної технології. В даний час найбільш перспективні при розробці монолітних цифрових синтезаторів частот наступні інтегральні технології.
1. КМОП-технологія і її різновиди (КНС, "кремній на сапфірі") дозволяють виконувати синтезатори з досить високими робочими частотами (порядка 150 Мгц і вище). Це найбільш освоєна технологія, по якій випускається величезне число інтегральних схем. Важливою гідністю технології КМОП КНС є підвищена стійкість до проникаючої радіації, що робить її привабливою для застосування в спеціальній техніці. Дана мікросхема синтезатора розроблена по 3,5-мкм КМОП/ КНС-технології і реалізує табличний метод синтезу. ІС є широкосмуговий синтезатор для систем супутникового зв'язку з наступними параметрами: число можливих частот, що синтезуються, 220, діапазон частот до 7,5 Мгц навіть при рівні проникаючої радіації до 300000 радий. Ефективний алгоритм обчислення відліків забезпечує вихідний цифровий синусоїдальний сигнал розрядністю 12 біт, вимагаючи для реалізації всього 1084 логічні вентилі і 3840 біт вбудованого постійного пристрою, що запам'ятовує (ПЗП). Рівень побічних дискретних складових в спектрі рівний -65 дБ, споживана потужність 300 мВт. Для порівняння: синтезатор з аналогічними параметрами, виконаний на ІС середньому ступені інтеграції складається з 25 мікросхем і споживає близько 3,5 Вт. Виконаний по 1,25-мкм КМОП-технології синтезатор забезпечує рівень побічних дискретних складових в спектрі -90 дБ при робочій частоті 150 Мгц.
2. Технологія, заснована на арсенід-галієвих польових структурах із затвором Шотки (MESFET GaAs). Розробляються БІС синтезаторів з робочими частотами 10...30 ГГц. Проведені випробування прототипу на ІС середньому ступені інтеграції з робочою частотою більше 1 ГГц. Проте ця технологія поки що досить дорога.
3. Технологія ІС на транзисторах з високою рухливістю електронів — ТВПЕ (НЕМТ) - технологія. Судячи з попередніх розробок, застосування даної технології дозволить створити синтезатори з робочою частотою десятків і сотень гигагерц. Розробляються синтезатори з розрядністю фазового накопичувача 1 ...18 біт. Відмітна особливість БІС синтезаторів, виконаних по ТВПЭ-технології, — спроможність одержати високе відношення тактової частоти до тієї, що синтезується, що дозволяє понизити рівень паразитних складових в спектрі.
4. Технологія "германій на кремнії" представляється перспективною для розробки ВЧ-пристроїв. В даний час, за деякими даними, роботи за цією технологією веде фірма Analog Devices.
Більшість синтезаторів для роботи в діапазоні частот до 100 Мгц виконана по КМОП-технології, яка дозволяє створювати виключно економічні пристрої.
2 Д инаміка розвитку цифрових синтезаторів прямого синтезу
Проведемо аналіз динаміки розвитку цифрових синтезаторів прямого синтезу частот. На рисунку 1 проводиться порівняння різних моделей синтезаторів, створених на початку і середині 1990-х років. Як видно з рисунка, із збільшенням тактової частоти зростає споживана потужність. Проте, зіставляючи дані про розвиток технології за 1990-1996 роки, можна бачити, що при даній споживаній потужності тактова частота зросла практично на порядок.
Основними виробниками ЦСПСЧ в даний час є компанії HARRIS, HUGHES SPACE AND COMMUNICATIONS COMPANY, TEXAS INSTRUMENTS, ANALOG DEVICES, MOTOROLA, PLESSEY, STANFORD TELECOM, ROCKWELL, AT&T (нині LUCENT TECHNOLOGY).
Фірма ANALOG DEVICES стала лідером в створенні недорогих і мало споживаючих КМОП ЦСПСЧ. У 1995-1996 роках фірмою розроблені і запущені в серійне виробництво нові БІС ЦСПСЧ. Серед них комбінований ЦСПСЧ-модуля-тор AD7008, QPSK-модулятор AD9853, функціонально закінчені БІС ЦСПСЧ AD9830, AD9831, AD9850. БІС розроблені по КМОП-техноло-гиі, мають непогані характеристики ціна-якість. У ряді ЦСПСЧ ANALOG DEVICES можливе застосування розглянутих далі методів поліпшення якості спектру без особливих витрат.
Серед нових ЦСПСЧ ANALOG DEVICES можна виділити КМОП-ЦСПСЧ з вбудованим модулятором AD7008, той, що має 32-битий накопичуючий суматор і 10-розрядний вбудований ЦАП. Архітектура даної мікросхеми дозволяє забезпечити як амплітудну, так і кутову модуляцію або їх поєднання в каналах квадратури, що дозволяє використовувати AD7008 в системах з QAM і SSB. Максимальна тактова частота 50 (20) Мгц, виключно зручний інтерфейс управління, який забезпечує як послідовне, так і паралельне завантаження кодів частоти і моделюючого сигналу, Спроможність сумісного використовування з ЦПОС або мікропроцесором, мале енергоспоживання (менше 625 мВт при напрузі живлення 5 В), невисока ціна (близько 45$ в партії до 10 шт.) роблять даний виріб вельми привабливим для використовування в нових розробках.
На зміну знятої з виробництва моделі AD9955 прийшли AD9830, AD9831, AD9850. AD9830 має максимальну тактову частоту 50 Мгц при споживаній потужності 250 мВт, AD9831 — 25 Мгц при 150 мВт (35 мВт при 3 В живленні), AD9850 — 125 Мгц при 380 мВт. Всі мікросхеми мають однополярне живлення, вбудований 10-розрядний ЦАП, регістри для управління фазовою і частотною модуляцією.
Фірми HARRIS і HUGHES SPACE AND COMMUNICATIONS COMPANY спеціалізуються у області високочастотних синтезаторів прямого синтезу з робочою частотою порядка 1 ГГц і більш. З табл. 1 видно, що основним напрямом досліджень була розробка GaAs швидкодійних ЦСПСЧ.
Таблиця 1.

Основні характеристики синтезаторів, розроблених за програмами цих фірм, приведені в таблиці 2.
Таблиця 2. Основні характеристики синтезаторів

3 Алгоритмічні принципи прямого цифрового синтезу
Перейдемо до розгляду алгоритмічних принципів прямого цифрового синтезу і обґрунтуванню їх практичного застосування в сучасних розробках.
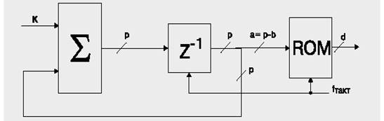
Почнемо із структурної схеми класичного ЦСПСЧ.
Основним вузлом синтезатора (рисунок 1) є суматор (НС), який працює, як генератор адреси для адресації постійного запам'ятовує пристрою (ПЗП), що містить відліки функції, що синтезується, як правило, тригонометричної.

Рисунок 1 – Алгоритм прямого цифрового синтезу
Розподільча здатність по частоті ЦСПСЧ даного типу визначається як F = F0/M, де М=2Р; р — розрядність НС, fo — тактова частота. Таким чином, для поліпшення розподільчої здатності по частоті і збільшення числа частот, що синтезуються, необхідне збільшення розрядності НС.
Проте, якщо використовувати всі розряди НС для адресації ПЗП, то це зажадає збільшення об'єму ПЗП в статечній залежності від числа розрядів НС, що складно реалізується технічно і збільшує вартість синтезатора. Через це для адресації ПЗП використовують а<р розрядів НС, величину b= p-а називатимемо числом біт округлення.
Як правило, в реальних синтезаторах використовуються НС з розрядністю р=21...36 битий, розрядністю адреси ПЗП а=1 2... 15 битий, розрядність шини даних d=8... 12 біт.
Від структурної схеми перейдемо до математичної моделі ЦСПСЧ і відповідної їй функціональної схеми показаної на рисунку 3, де введені наступні позначення: е, - помилка, викликана округленням фази, при адресації ПЗП; е2 — помилка, пов'язана з кінцевою розрядністю шини даних; е3 — помилка, викликана нелінійністю цифроаналогового перетворювача (ЦАП), його власними шумами і комутаційними перешкодами ЦАП; W1 — прилад компенсації помилки е,; W2 — пристрій компенсації помилки е2.

Рисунок 2 – Математична модель ЦСПСЧ
Помилка округлення даних е2 може бути значно понижена шляхом збільшення розрядності шини даних ПЗП, що викликає лише лінійне збільшення його об'єму. Помилка ЦАП е3 може бути зменшена вибором достатньо якісних ЦАП, а також застосуванням спеціальних рішень схемотехніки.
Помилка округлення фази е, може значно погіршити спектральні характеристики синтезатора, викликаючи появу небажаних дискретних складових в спектрі вихідного сигналу.
Одна з причин такої поведінки ЦСПСЧ — невідповідність періодів послідовності Q(i), що визначає моменти переповнювання НС, і величиною М=2Р, визначаючої ємність НС, і відповідно кількість відліків функції, що синтезується, що адресуються. Частота моментів переповнювання НС визначається виразом FHC=KF0/M, де F0 — тактова частота, До — код управляючої частоти. Очевидно, що 1<К<2Р-1, отже, може бути синтезовано 2Р-1 вихідних частот.
Послідовність Q(i) може бути представлена у вигляді дискретних вибірок пилкоподібної функції з амплітудою, що ідеалізується, М=2Р періодом М/К, проте дійсний період послідовності Q(i) визначається як таке ціле L, що Q(i)=Q(i+L), для будь-якого цілого позитивного i.
Тоді 1=2р/НОД(2р, До), де НОД(а, Ь) — найбільший загальний дільник а і Ь. Період пилкоподібній функції, що ідеалізується, співпадає з періодом Q(i) лише тоді, коли НОД(До, 2р)=К, тобто K=2k, причому до — ціле.
Звідси витікає, що період коливання, що синтезується, на виході системи буде рівний періоду послідовності (i) і містить Мд=2р/НОД(ДО, 2Р) дискретних складових.
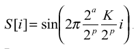
Розглянемо вихідний сигнал ЦСПСЧ з урахуванням схеми.

Припускаючи, що помилки е2 і е3 нехтує малі в порівнянні з помилкою е,, а також для адресації ПЗП використовується а старших біт НС, одержимо

Даний вираз може бути записане у вигляді

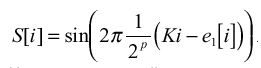
Використовуючи прості тригонометричні перетворення і враховуючи, що помилка багато менше фази, одержимо

Звідси видно, що помилка модулює сигнал частоти, що синтезується, і це спричиняє за собою появу в спектрі вихідного сигналу синтезатора побічних дискретних ліній.
В даний час найефективнішими методами придушення побічних складових в спектрі вихідного сигналу є методика рандомінізациі, запропонована Вітлі, і методика псевдошумого формоутворення.
На рисунку 3, а представлена схема пристрою компенсації псевдошумового формоутворення. Воно складається з суматора (НС), який забезпечує затримку помилки округлення на попередньому кроці і її підсумовування з помилкою округлення в даний момент. Таким чином відбувається зменшення амплітуди помилки і, як наслідок, зменшення рівня побічних складових в спектрі.
Якщо частота, що синтезується, нижча, ніж відповідна тактовій частоті (у значенні теореми Котельникова), то має місце дискретизація із запасом по частоті. Цей запас можна використовувати для зниження шуму, пов'язаного з округленням фази. Загальна помилка може бути понижена корекцією адресації ПЗП відповідно до накопичуваної помилки.
Це еквівалентно лінійній або квадратичній інтерполяції між двома послідовними адресами ПЗП.

Рисунок 3 – Система придушення шуму
Представлена на Рисунку 3, а система придушення шуму розташована між накопичувачем і ПЗП. Сигнал на виході має вигляд

Звідси видно, що подібна побудова синтезатора зменшує дискретні складові в спектрі фазової помилки.
На рисунку 3, би показана схема компенсації, запропонована Вітлі. Зниження рівня дискретних складових в синтезаторі Вітлі досягається шляхом введення псевдовипадкового тремтіння вмісту фазового накопичувача щодо середнього значення.
Періодичне додавання псевдовипадкового числа до вмісту фазового накопичувача дозволяє поруйнувати когерентність фазової помилки і таким чином розмити небажані дискретні складові в спектрі вихідного сигналу. При кожному переповнюванні фазового накопичувача псевдовипадкова величина X підсумовується з його вмістом.
Величина X рівномірно розподілена в діапазоні Про, К-1, де До — значення коду частоти, що синтезується. В середньому переповнювання фазового накопичувача синтезатора Вітлі відбувається в ті ж моменти часу, як і у звичного синтезатора без тремтіння вмісту фазового накопичувача. Таким чином, період сигналу, що синтезується, не залежить від тремтіння вмісту накопичувача, тому вихідна частота синтезатора Вітлі однозначно і точно визначається значенням коду частоти К.
Однако набагато цікавіше і важливіший той факт, що час настання моменту переповнювання фазового накопичувача не залежить від первинної фазової помилки.
Це означає, що навіть якщо сусідні значення фазової помилки спочатку корельовано, додавання випадкової величини X не впливає на середній час переповнювання фазового накопичувача і всі побічні дискретні лінії в спектрі, виникаючі через когерентності помилку, усуваються.
На виході замість дискретних бічних ліній з'являтиметься безперервний шум, пов'язаний з випадковістю моментів переповнювання фазового накопичувача. При цьому максимальний рівень побічних складових знижується.
На закінчення розглянемо експериментальне дослідження ЦСПСЧ з псевдошумовим формоутворенням. Був розроблений макетний зразок синтезатора з наступними параметрами:
• розрядність НС р=20;
• розрядність шини адреси а=8; розрядність шини даних d=8;
• тактова частота F0=250 кГц;
• діапазон частот, що синтезуються, від 3,8 Гц до 125 кГц;
• крок сітки частот 7,63 Гц;
• кількість частот Мсинт=32768, що синтезуються.
На рисунку 4 приведені експериментально одержані спектри вихідного сигналу при К=128, FBblx=488,3 Гц, тоді число дискретних складових в спектрі вихідного сигналу Мд=256. Таким чином, вихідний спектр ЦСПСЧ містить 256 складових в інтервалі 0...125 кГц з кроком 488 Гц відповідно.
Суцільною лінією показаний спектр ЦСПСЧ без системи шумового формоутворення, хрестиками показаний спектр ЦСПСЧ з системою шумового формоутворення для компенсації помилки округлення НС.

Рисунок 4 – Експериментальні спектри синтезованих сигналів