| Скачать .docx |
Реферат: Основы построения телекоммуникационных систем
Содержание
1. Введение _______________________________ 2
2. Техническое задание _____________________ 3
3. Расчет количества линий
коммутируемого доступа
от ТФОП к модемному лупу ______________ 4
4. Расчет требуемой пропускной
способности канала связи к двум
смежным узлам провайдеров Интернет ____ 4
5. Примерный состав оборудования _________ 5
6. Схема организации связи ________________ 6
1. Введение
По данным исследовательских и консалтинговых компаний совсем недавно количество пользователей сети Интернет превышало 100 млн. Интернет предлагает своим пользователям самые разнообразные услуги, производители оборудования и ПО регулярно создают новые виды Интернет – приложения. Благодаря этому появляются новые группы пользователей, для которых всемирная сеть становится важным инструментом профессиональной деятельности. Среди таких групп одной из важнейших и постоянно растущих можно назвать категорию крупных корпоративных клиентов, использующих Интернет в своем бизнес процессе. Однако все острее стоит проблема доступа к сети Интернет, поскольку ее быстрое расширение уже сильно отразилось на телекоммуникационных системах. Очевидно, что скоро возникнет необходимость альтернативного доступа к сети помимо ТФОП.
2.Техническое задание
N 7 вариант – Е
1.1. Составить схему организации связи, примерный состав оборудования городского узла Интернет.
1.2. Выполнить расчет количества линий коммутируемого доступа от ТФОП к модемному пулу.
1.3. Исходные данные:
Количество пользователей:
коммутируемый доступ – 800 пользователей,
нагрузка от одного пользователя – 0,01(Эрл).
некоммутируемый доступ – 100 пользователей,
нагрузка от одного пользователя – 0,01 (Эрл).
среднюю скорость передачи данных пользователя принять 12 ( Кбит/с). Допустимое снижение скорости – 5%.
30% трафика пользователя идет на местный WEB – сервер.
1.4. Рассчитать требуемую пропускную способность канала связи к двум смежным узлам провайдеров Интернет.
3.Расчет количества линий коммутируемого
доступа от ТФОП к модемному пулу.
Так как количество пользователей коммутируемого доступа – 800, а нагрузка от одного пользователя – 0,01 (Эрл), то можем найти суммарную нагрузку от абонентов коммутируемого доступа.
Ак = 800 . 0,01 = 8 ( Эрл ) ;
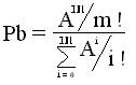
Для определения количества линий от ТФОП к модемному пулу воспользуемся табулированными значениями первой формулы Эрланга:

Где А – интенсивность нагрузки
m – количество линий
Рb – вероятность блокировки
При средней вероятности блокировки Рb = 0,005 количество линий будет равно m = 16.
4.Расчет требуемой пропускной способности канала связи к двум
смежным узлам провайдеров Интернет.
4.1 Расчет нагрузки от пользователей некоммутируемого доступа.
Найдем суммарную нагрузку от абонентов некоммутируемого доступа:
Ан = 100польз х 0,01= 1 ( Эрл ).
Воспользовавшись табулированными значениями первой формулы Эрланга получим, что нагрузка эквивалентна 5 занятым линиям. Т.к. по заданию скорость передачи данных у абонентов некоммутируемого доступа равна 2 мбит/с, то суммарная скорость передачи будет 10 мбит/с.
4.2 Расчет суммарной нагрузки от пользователей:
4.3
В пункте 3 полученное значение линий от ТФОП к модемному пулу получилось равным 16, при средней скорости передачи данных пользователей коммутируемого доступа – 12 кбит/с суммарная скорость будет:
12 х 16 = 192 кбит/с.
Таким образом скорость передачи данных пользователей коммутируемого и некоммутируемого доступа в сумме будет составлять 10 мбит/с + 192 кбит/с = 10,192 мбит/с.
Таким образом требуемая пропускная способность канала связи к двум смежным узлам провайдеров составит:
10,192 мбит/с
30% трафика, поступающего на местный WEB– сервер = 7,101 мбит/с.
5. Примерный состав оборудования для организации связи.
Для организации связи требуется примерно следующее оборудование:
- Модемы для пользователей коммутируемого доступа к примеру
Motorolla со скоростью передачи – 33,6 кбит/с.
- Модемы для пользователей коммутируемого доступа, например
Hponics PCMS – модем для выделенных линий со скоростью
передачи – 2048 кбит/с.
- В качестве сервера используется компьютер, например
Intel Pentium-III.
- Так же применяется маршрутизатор, например Cisco 2600.
