| Скачать .docx |
Дипломная работа: Розробка пасивного термодатчика
Зміст
Вступ
1 КОНСТРУКЦІЯ ТА ПРИНЦИП ДІЇ пасивного термодатчика
1.1 Принцип дії та функціональна схема пасивного термодатчика
1.2 Конструкція термодатчика
2 ОБГУНТУВАННЯ РОБОТОЗДАТНОСТІ ВИБРАНОЇ КОНСТРУКЦІЇ ПАСИВНОГО ТЕРМОДАТЧИКА
2.1 Вимоги до термодатчиків
2.2 Вибір принципу радіолокації для приладів на пасивних ПАХ-елементах
2.3 Принципи побудови акустичних датчиків
2.4 Принцип побудови резонаторів на ОАХ
2.5 Аналіз можливих варіантів побудови датчиків акустичних хвиль
2.6 Застосування датчиків на акустичних хвилях
2.7 Визначення необхідних параметрів, які впливають на поверхневі акустичні хвилі в пасивних Пах-елементах
2.8 Розрахунок порогової чутливості термодатчика
2.9 Розрахунок термодатчика на теплову інерційність
Висновки
СПИСОК ВИКОРИСТАНОЇ ЛІТЕРАТУРИ
Вступ
Вимірювальні перетворювачі на пасивних елементах (акустичні датчики) з розвитком автомобільної індустрії й індустрії телекомунікацій здобувають все більшу актуальність. Такі прилади будуються на фільтрах акустичних хвиль, комерційне використання яких почалося більше 60 років тому. Тільки в телекомунікаціях - у мобільних телефонах і на базових станціях - щорічна потреба в цих фільтрах близько 3 мільярдів. Ці прилади працюють із поверхневими акустичними хвилями й служать у передавачах полосними фільтрами як проміжних частот, так і частот радіохвиль. Крім того, акустичні датчики застосовуються в автомобільній індустрії (датчики крутного моменту й тиску в шині), медицині (хімічні датчики) і багатьох інших сферах (як датчики вологості, температури й т.д.). Причини такого широкого використання цієї технології в промисловості - невисока вартість, надійність, чутливість і витривалість приладів. Крім того, деяким з них не потрібні джерела живлення.
1 КОНСТРУКЦІЯ ТА ПРИНЦИП ДІЇ пасивного термодатчика
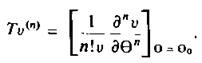
1.1. Принцип дії та функціональна схема пасивного термодатчика
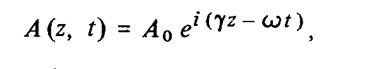
Швидкість V акустичних поверхневих хвиль чутлива до температури пропорційно kV коефіцієнту першого порядку та залежить від коефіцієнтів більш високого порядку (квадратичного, кубічного), які для різних видів матеріалу детально визначено в науково-технічній літературі. Для кварцу У- зрізу ця залежність є зручною – лінійною
D V =kV Т V.
Крім того, кварц є найстабільнішім з доступних в Україні матеріалів. Зорієнтуємось на кварц у побудові пасивного термодатчика.
Час затримки хвилі в лінії затримки на термодатчику змінюється DTі відповідно зі зміною цією швидкості
DTі=Lі/ D V.
Термодатчик є пасивним, оскільки він не містить елементів живлення. Опитуваня термодатчику здійснюється за допомогою радіолокаційної системи (РЛС) 1 середньої точності та середньої потужності. На самому термодатчику знаходиться антена 2 (рис.1), яку з‘єднано зі зустрічно-штирьовим перетворювачем (ЗШП) 3. Посланий РЛС 1 сигнал проходить відстань L0 близько 4 м до термодатчика, приймається антеною 2 та за допомогою ЗШП 3 перетворюється у ПАХ, яка біжить по підложці 4 спочатку до відбивачів 5 (їх повинно бути не менше двох), відбивається від них і прямує назад до ЗШП 3. Втрати потужності при цьому складають не менше 3дБ. Відбитий ослаблений сигнал антеною термодатчика 2 повертається назад до РЛС 1 (рис.2), проходячи знову відстань L0. Час Tі, який проходить від випромінення сигналу РЛС до його приймання тою ж РЛС від термодатчика
T1= L1/V+T0,
T2= L2/V+T0.
В цій системі рівнянь є дві невідомі: T0 – початковий час затримки радіосигналу, та V, які визначаються після її розв‘язання. Оскільки швидкість ПАХ залежить від температури, то і зміна часу затримки DTі буде залежати від температури
DTі»Lі/ (kV Т V) +T0

|
||
![]() |
||
Рис. 1. Функціональна схема термодатчика
|
Рис. 2. Відгук термодатчика.
kT – коефіцієнт термочутливості часу затримки
kV – коефіцієнт термочутливості фазової швидкості
L0 – відстань від антени передавача до антени приймача (до 4 м)
Lі – відстань від ЗШП до одного з відбивачів (біля 9 мм)
cсв – швидкість світла (300 тис.км/с)
V – фазова швидкість ПАХ (біля 3 км/с)
DTі – зміна часу затримки відбитого сигналу
Т – вимірювана температура
Хоча ця залежність нелінійна, однак kV настільки малий, що нелінійністю можна знехтувати
1.2 Конструкція термодатчика
Основним елементом конструкції є (рис.1, рис.2) чутливий елемент у вигляді лінії затримки на кварцовій підложці 4 У-зрізу. Лінію затримки виконано у вигляді рознесених ЗШП 3 із п‘яти пар штирів та відбивачів 5 по 1 штирю в кожному, сформованих методом фотолітографії на поверхні кварцу шарами хром-мідь-нікель.
Чутливий елемент за допомогою спеціального адгезійного клеючого складу встановлено в діелектричній прокладці 6, яка не дозволяє електричним наводкам у корпусі 7 впливати на чутливий елемент. Прокладку в свою чергу приклеєно до корпусу. Оскільки температурні покази не залежать від якості кріплення чутливого елементу, єдиними вимогами до клеєвого з‘єднаня є його термостійкість та надійність.
Термодатчик має дуже малі габаритні розміри - його висота лише декілька міліметрів. Приєднаня гвинтами для таких малих приладів стає складним, майже неможливим. Тому для того, щоб приєднати до корпусу 7 кришку (не показано), сформовано в обох елементах декілька виступів 8, які з попреднім натягом входять один в інший і клеються.
В нижній частині корпусу сформовано виступи з отворами, які по-перше, дозволять міцно приєднати термодатчик до об‘єкту контролю, по-друге дозволяють на днищі корпусу наклеяти антену 2 термодатчику. Кінці цієї спіральної антени підключаються через отвір у підкладці 6 та корпусі до ЗШП лінії затримки. Отвір у корпусі герметизується, найкраще склоспаєм.
2 Обгунтування роботоздатності вибраної конструкції пасивного термодатчика
2.1 Вимоги до термодатчиків
Оскільки інформація про нові типи вимірювачів не завжди є повною та містить комерційну таємницю, для визначення сучасного рівня та основних орієнтирів у розробці таких датчиків скористаємось відомостями про класичні серійні термодатчики, якими є термометри опору. Згідно ГОСТ 6651-78 термометр опору використовується для перетворення температури в діапазоні -200...+1100 С в опір.
Найчастіше використовуються термоопори 3-х типів:
- платинові (ТОП)
- мідні (ТОМ)
- напівпровідникові (ТОП)
Платинові ТЕ мають високостабільний температурний коефіцієнт опору ТКО, гарну відтворюваність властивостей.
Функція перетворення ТОП має вигляд.
Платина:
RT=R0(1+AT+BT2), при TЄ(0 ÷ 650) ˚С
R0- опір при Т0=0˚С;
Т- поточна вимірювана температура, ˚С;
А=3,90784х10-3К-1;
В=5,7841х10-7К-2;
RT=R0[1+AT+BT2+C(T-100)T3],
при TЄ(-200…0)˚С, де С=-4,482х10-12К-4.
Мідні ТО широко поширені завдяки своїй дешевині й лінійній залежності ТКО від температури.
Мідь:
RT=R0(1+αRхТ), при TЄ(-50…200)˚С ; (3)
αR=4,26х10-3ДО-1 –ТКО першого порядку мідного ТЕ;
R0- опір при Т0=0˚С;
Т- поточна вимірювана температура, ˚С;
Напівпровідникові терморезистори відрізняються від металевих меншими габаритами й більшими значеннями ТКО.
ТКО напівпровідникових терморезисторів негативний і зменшується зворотньопропорційно квадрату абсолютної температури: α=В/Т2. При 20˚С ТКО становить 0,02 ÷ 0,08 К-1.
Температурна залежність опору ТСП (рис. 1 крива 2) досить добре описується формулою Rθ=AeВ/T, де Т – абсолютна температура, А – коефіцієнт, що має розмірність опору, В - коефіцієнт, що має розмірність температури. На рис.3 для порівняння наведено температурну залежність для мідного терморезистора (пряма 1).
Якщо для використаного перетворювача не відомі коефіцієнти А и В, алі відомі опори R1 й R2 при Т1 і Т2, то опір і коефіцієнт В для будь-якої іншої температури можна визначити зі співвідношень:
Недоліками напівпровідникових терморезисторів, що істотно знижують їхні експлуатаційні якості, є нелінійність залежності опору від температури (рис. 1) і значний розкид від зразка до зразка як номінального опору, так і постійної В.
По конструктивному виконанню металеві, мідні й платинові ТО діляться на дві великі групи:
- средовищні (що занурюють) ТО, призначені для внутрішнього вимірювання температури рідких, газоподібних і сипучих середовищ у різних галузях техніки;
- поверхневі ТО, призначені для виміру температури поверхні твердих тіл на які безпосередньо встановлений ТО.
Конструкція термометра опору типу ТОП-6097, призначеного для вимірювання температури газоподібних або рідких хімічно неагресивних й агресивних середовищ у діапазоні від -50 до +250 , показана на рис.4. Чутливий елемент 1 платинового термометра являє собою керамічний каркас, у канали якого поміщено спіраль із платинового дроту. Кінці спирали приварені до виводів, через які чутливий елемент з'єднаний із трьохжильним кабелем. Канали каркаса засипані керамічним порошком й герметизовані. Захисна арматура 2 термометра являє собою зварну конструкцію зі сталевої сурми й штуцера. Місце сполучення чутливого елемента з кабелем закривається ковпаком 4 із прес-матеріалу АГ-4В, угвинченим у верхню частину штуцера 3, і заливається компаундом.
Показники теплової інерційності промислових термометрів становлять 10÷60с і визначаються так саме, як і для термопар. Виключення становлять термометри, призначені для вимірювання температури газу; для них показник теплової інерційності визначається як постійна часу при зануренні термометра в потік повітря, що має постійну швидкість 0,5 м/с.
![]() |
![]() |
Рис.4 Конструкції традиційних термодатчиків
Поверхневі термоперетворювачі відрізняє висока надійність, малі розміри, матеріалоємність, поліпшені показники теплової інерції. Термоопори стійкі до вібрації й зберігають працездатність при вологості до 98 %. Не вимагають складних монтажних робіт при установці на об'єкті. При установці на труби або радіатори дозволяють із низькою тепловою інерцією виміряти температуру енергоносія. Практично незамінні для труб малого діаметра, де установка середовищних перетворювачів ускладнена або економічно недоцільна.
ЧЕ термоперетворювачів групи 2 виконані у вигляді плоскої одношарової біфілярної спіралі, закріпленої між двома пластинами зі склотканини. Товщина такого ЧЕ не перевищує 0,15мм. Виводи перетворювача 2-1 – плоскі у вигляді пелюстків. Перетворювачі 2-3, 2-7 конструктивно виконані на базі моделі 2-1, алі із повторюємо закладенням виводів у корпусі із пресматеріала АГ-4У (2-3) або високотемпературного клейового заливання (2-7). Термоперетворювачі 2-1, 2-3, 2-7 рекомендуються для вимірювання температури поверхонь обмоток, підшипників, електродвигунів і генераторів, а також поверхонь труб будь-якого діаметра. Термоперетворювач 2-9 призначений для виміру температури зовнішнього повітря й температури в приміщеннях.
Поверхневі ТО найбільш використовуються в сучасних вимірювальних перетворювачах і різних бортових вимірювальних системах як датчики температури для визначення поточної температури бортового засобу вимірювання з метою наступної алгоритмічної компенсації його систематичних додаткових температурних похибок.
В Україні АТ «Чезара» робить мідні й платинові середовищні й поверхневі ТО (таблиця 1, 2).
У таблиці 3 у скороченому об’ємі наведені параметри номінальних СГХ мідних і платинових ТО. Зроблені заводом-виробником ТО після їх статичного градуювання розподіляються на п'ять класів точності. Критеріями розподілу є припустимі відхилення опору R0 при Т0=0˚З і чутливості S100=R100/R0, обумовленої як відношення опорів при Т=100˚З і Т0=0˚С. Величини припустимих відхилень наведені в табл. 4.
Таблиця 1
Основні технічні характеристики поверхневих ТО виробництва АТ «Чезара»
| Технічна характеристика |
Тип, марка ТЕ |
||||||
| Мідний ТОМ |
Платиновий ТОП |
||||||
| ТМ-221 |
ТМ-006 (ТМ-104) |
ТМ-232 |
ТЭМ |
ТП-018 (025) |
ТП-033 |
||
| 1. Діапазон вимірюваних температур, °З |
-50... …+200 |
-196... …+200 |
-130... …+200 |
-196... …+200 |
-260... …+300 |
-50... …+1000 |
|
| 2 Номінальний опір R0 при Т0=0°С, Ом |
53; 100; 200 |
53; 60; 100 |
53; 100 |
53; 60; 100 |
60; 100; 500 |
15; 25; 34 |
|
| 3. Тип номінальної СГХ за ГОСТ 6651-94 |
гр. 23; 100 М; 200 М |
гр. 23; 100 М |
гр. 23; 100 М |
гр. 23; 100 М |
50 П; 100 П; 500 П |
15 П; 25 П; 35 П |
|
| 4. Похибка індивідуальної СГХ, не більше, °З |
0,5 |
0,5 |
1,5 |
0,5 |
0,5 |
||
| 5. Показник теплової інерції, не більше, с |
0,5 |
0,01 |
0,01 |
0,01 |
0,01 |
0,01 |
|
| 6. Гарантійний термін, років |
12 |
15 |
15 |
15 |
15 |
15 |
|
| 7. Габаритні розміри, мм (маса, гр.) |
10 х 6 (1) |
20 х 32 (2,5) |
10 х 20 (1,5) |
(0,5) |
(8) - ТП-018 (0,5) - ТП-025 |
49 х 23 (10) |
|
| 8. Конструктивні виконання, згідно малий..2. |
Тип 1 Підкладка- ситал |
Тип 1 Підкладка- склотканина |
Тип 1 Підкладка- склотканина |
Тип 1 Підкладка- склотканина |
Тип 1 ТП-018 пластм. корпус |
Тип 1 |
|
| 9. Особливості застосування |
Для плоских поверхонь |
ТМ-006 для плоских поверхонь; ТМ-104 для поверхонь із R=7...100мм |
Для поверхонь із R≥10мм |
Для плоских поверхонь |
Для плоских поверхонь ТП-018 у пластмасовому корпусі |
Для плоских поверхонь |
|
Примітка: 1. СГХ - статична градуюальна характеристика;
1. Допуск на величину номінального опору R0 (по п. 2) не більше ±0,5 Ом.
Таблиця 2
Основні технічні характеристики середових ТО виробництва АТ «Чезара»
| Технічна характеристика |
Тип, марка ТО |
|||
| Мідний ТОМ |
Платиновий |
ТОП |
||
| ТМ-168 |
ТМ-166 |
ТП-198 (ТП-227) |
ТП-165 (ТП-175) |
|
| 1. Діапазон вимірюваних температур, °З |
-196... …+200 |
-196... …+200 |
-260... …+200 |
-260... …+300 |
| 2 Номінальний опір R0 при Т0=0°С, Ом |
100 |
100 |
100, 500 |
100 |
| 3. Тип номінальної СГХ за ДЕРЖСТАНДАРТ 6651-94 |
100 М |
100 М |
100 П, 500П |
100 П |
| 4. Похибка індивідуальної СГХ, не більше, °С |
0,5 |
0,5 |
0,5 0,1 у діапазоні -260...0С |
0,5 |
| 5. Показник теплової інерції, не більше, с |
5 |
5 |
3 (ТП-198) 0,5(ТП-227) |
5 |
| 6. Гарантійний рядків, років |
15 |
15 |
12 |
10 |
| 7. Габаритні розміри, мм (маса , гр.) |
(20) |
(80) |
(74 - ТП-198) (12 - ТП-227) |
(80 - ТП-165) (20 - ТП-175) |
| 8. Особливості застосування й конструкції |
Для неагресивних рідин і газів. Кріплення- двома гвинтами. Негерметичний. |
Для неагресивних рідин і газів під тиском до 200 кг/див2. Кріплення- різьба М16-1. Герметичний. |
Для криогенних рідин. Герметичний. |
Для неагресивних рідин і газів, ТП-175 негерметичний. ТП-165 герметичний при тиску до 200 кг/див2. |
Таблиця 3
Параметри номінальних СГХ мідних і платинових ТО
| Тип термометра |
Номінальний опір при 0°С, Ом |
Позначення градуювальної характеристики |
Діапазон температур, °С |
| ТОП |
1 5 10 (46) 50 100 500 |
1П 5П 10П (гр. 21) 50П 100П 500П |
-50...+1100 -100...+1100 -200... +1000 -260... +1000 -260...+ 1000 -260...+1000 -260...+300 |
| ТОМ |
10 50 (53) 100 |
10М 50М (гр. 23) 100М |
-50...+200 -50...+200 -50...+180 -200...+200 |
Таблиця 4
Припустимі відхилення номінальних СГХ мідних і платинових ТО
| Тип термометра |
Клас точності |
Параметр термометра |
||||
| ΔR0/ R0, % |
S100=1,3910 |
S100=1,4280 |
||||
| +a |
-b |
+a |
-b |
|||
| ТОП |
I II III IV V |
±0.05 ±0.1 ±0.2 ±0.4 ±0.8 |
0,0015 |
0,0005 0,0010 0,0020 0,0030 0,0050 |
– |
|
| ТОМ |
I II III IV V |
– ±0.1 ±0.2 ±0.5 ±1.0 |
– |
– 0,001 0,002 0,003 0,005 |
||
Будь які інші вимірювачі температури для того, щоб бути готовими до широкого використання, повинні відповідати представленим характеристикам. Зорієнтуємось на досягнення розробленим термодатчиком показників серійних термометрів: діапазон вимірювання термодатчиків на пасивних ПАХ-елементах –50 …+200°С, похибка вимірювання 0,5%, показник теплової інерційності 5 с, габаритні розміри 10´6 мм.
Вимірювальний ланцюг також матиме класичну схему (рис.5) ТО в складі чутливого до температури первинного перетворювача (ПП) та вторинного перетворювача (ВП) вихідної характеристики термодатчика до потрібного вигляду .
Т [˚C] R(T) [Ом] U(T) [В]
![]() |
Рис. 5. Структурна схема ДТ
ВП, як правило, є потенціометричним або мостовим вимірювальним ланцюгом (ВЛ) постійного струму, що здійснює перетворення опору ТО R(T) у вихідну електричну напругу постійного струму пропорційну вимірюваній температурі. Для термодатчика на пасивних ПАХ елементах ВП є передавачем та приймачем радіосигналу.
2.2 Вибір принципу радіолокації для приладів на пасивних Пах-елементах
Виділяють два види радіолокації:
· Пасивна радіолокація заснована на прийомі власного випромінювання об'єкта
· При активній радіолокації радар випромінює свій власний зондувальний імпульс і приймає його відбитим від мети. Залежно від параметрів прийнятого сигналу визначаються характеристики мети.
Активна радіолокація буває двох видів:
Рис.6 . Радіолокаційна станція
http://ru.wikipedia.org/wiki/%D0%98%D0%B7%D0%BE%D0%B1%D1%80%D0%B0%D0%B6%D0%B5%D0%BD%D0%B8%D0%B5:Radarops.gif
Активна радіолокація з пасивною відповіддю
· З активною відповіддю — на об'єкті передбачається наявність радиопередатчика (відповідача), що випромінює радіохвилю у відповідь на прийнятий сигнал. Активна відповідь застосовується для опізнавания об'єктів (свій-чужий), а також для одержання від них додаткової інформації (наприклад, кількість палива, тип об'єкта й т.д.).
· З пасивною відповіддю - сигнал запиту відбивається від об'єкта й сприймається в пункті прийому відповідно.
Для побудови пасивного ПАХ-термодатчика будемо використовувати саме останній метод (із пасивним відгуком).
Радіолокація заснована на наступних фізичних явищах:
· Радіохвилі розсіюються на виявлених на шляху їхнього поширення електричних неоднорідностях (об'єктами з іншими електричними властивостями, відмінними від властивостей середовища поширення). При цьому відбита хвиля, також, як і власне, випромінювання цілі, дозволяє виявити ціль.
· На більших відстанях від джерела випромінювання можна вважати, що радіохвилі поширюються прямолінійно й з постійною швидкістю, завдяки чому є можливість вимірювати дальність і кутові координати мети.
· Частота прийнятого сигналу одержує додатковий зсув щодо частоти випромінюваних коливань при переміщенні крапок прийому й випромінювання (еффект Доплера), що дозволяє вимірювати радіальні швидкості руху мети відносно РЛС.
У РЛС із фазовим методом виміру дальності, характерно безперервне зондувальне випромінювання. У цьому випадку про відстань до об'єкта судять по зміні фази сигналу генератора масштабної частоти за час поширення електромагнітних хвиль до об'єкта й назад. У фазометрі рівняються дві хвилі: пряма, що надходить безпосередньо від генератора, і відбита, з виходу приймача після відбиття від об'єкта. Ці радіохвилі мають різні фази.
Нехай напруга, вироблювана генератором, змінюється за законом
Umax=Um*sin(ft+ф0),
Де ф0 - початкова фаза; f - масштабна частота. Цією напругою модулюються коливання генератора високої частоти, які випромінюються в простір. Тоді напруга відбитого сигналу на виході приймача (Пр)
Uотр= Um отр* sin[(ft - ft0)+ф0] = Um отр* sin(ft - ft0+ф0),
де ft0 – зсув фаз між прямим і відбитим сигналами.
У цій формулі не враховуються запізнення фази сигналу в ланцюгах РЛС і зсув фаз, що виникає при відбитті від об'єкта. Ці параметри постійні й можуть бути отримані експериментальним шляхом.
Оскільки t0 = 2D/c, то ф = f2D/c .
Із цієї формули виходить, що зсув фаз між прямим і відбитим сигналами залежить від дальності до об'єкта й частоти генерованих коливань. Оскільки частота коливань постійна, по зсуву фаз можна визначити дальність до об'єкта.
При імпульсному методі радіолокації передавачі генерують коливання у вигляді короткочасних імпульсів, за якими ідуть порівняно тривалі паузи. Причому тривалість паузи вибирається виходячи з дальності дії РЛС Dmax.
Сутність імпульсного методу полягає в наступному:
Передавальний пристрій РЛС випромінює енергію не безупинно, а короткочасно, що строго періодично повторюються, імпульсами, у паузах між якими відбувається прийом відбитих імпульсів прийомним пристроєм тієї ж РЛС. Таким чином, імпульсна робота РЛС дає можливість розділити в часі потужний зондувальний імпульс, випромінюваний передавачем і значно менш потужний відбитий сигнал. Вимір дальності до мети зводиться до виміру відрізка часу між моментом випромінювання імпульсу й моментом прийому, тобто часом руху імпульсу до мети й назад. Імпульсний принцип є найбільш перспективним для приладів на ПАХ.
Нові вимоги, пропоновані до РЛС, привели до розробки зовсім нової техніки, нових принципів радіолокації. У цей час на сучасних РЛС імпульс посланий станцією являє собою сигнал, закодований по досить складному алгоритму ( найпоширеніший код Баккера), що дозволяє одержувати дані підвищеної точності й ряд додаткових відомостей про ціль спостереження. З появою транзисторів й обчислювальної техніки потужні мегаватні передавачі пішли в минуле. На їхню зміну прийшли складні системи РЛС середньої потужності об'єднані за допомогою ЕОМ. Це дало поштовх до використання інших можливостей радіолоокації, зокрема, для дистанційних пасивних вимірювачів.
Та якщо відбиття сигналу відбувається в лінії затримки, то час затримки в цій лінії завдяки на 5 порядків меншій швидкості ПАХ (3000м/с), ніж швидкість радіохвилі в повітрі (300000000м/с), є набагато більшим, хоч на 2-3 порядки, ніж час бігу радіохвилі до термодатчика. Тому часом бігу радіохвилі можна знехтувати, оскільки малопотужний ВП не зможе знаходитись далеко від ПП.
Якщо сигнал проходить велику відстань, то він частково розсіюється, спотворюється й слабшає й виділити його в приймачі із власних шумів приймача й шумів іншого походження найчастіше вкрай важко. Ослаблення сигналу при радіолокації цілком піддається розрахунку, що заснований на простих фізичних міркуваннях. Якщо в якійсь крапці випромінюється потужність Р, то потік потужності через одиничну площадку, що перебуває на відстані R, буде пропорційний Р/4pR2. У знаменнику стоїть площа сфери радіусом R, що оточує джерело. Таким чином, при звичайному радіозв'язку потужність, прийнята антеною, обернено пропорційна квадрату відстані. Цей закон - закон сферичного розходження пучка енергії - виконується завжди при поширенні хвиль у вільному просторі. Навіть якщо сконцентрувати випромінювану потужність у вузький промінь і потік енергії зросте в кілька разів, (цей коефіцієнт називається коефіцієнтом спрямованої дії антени), квадратична залежність від відстані збережеться. Але в радіолокації радіосигнал переборює подвійні відстані, а сама опромінювана ціль розсіює енергію в усіх напрямках, і якщо потік енергії , що опромінює ціль, слабшає обернено пропорційно R2, то прийшовши до приймача потік ще послабляється в стільки ж раз і виявляється обернено пропорційним R4. Це означає, що для підвищення дальності дії РЛС у два рази за інших рівних умов потужність її передавача треба підвищити в 16 разів. Настільки високою ціною досягаються високі характеристики сучасних РЛС.
2.3 Принципи побудови акустичних датчиків
Як джерело інформації у вимірювальних перетворювачах на пасивних елементах використовується механічна, або акустична, хвиля. Коли хвиля поширюється усередині матеріалу або по його поверхні, будь-які зміни характеристик траєкторії поширення хвилі впливають на швидкість й/або амплітуду хвилі. Частота й фазові характеристики показують зміну швидкості хвилі.
Практично всі акустичні прилади й датчики для генерування хвилі використають п'єзоелектричні матеріали. П'єзоелектрика була відкрита братами (Пьером і Полем-Жаком Кюрі Pierre й Paul-Jacques Curie) в 1880 р., а назви одержало в 1881 р. від Вільгельма Хенкела (Wilhelm Hankel). П'єзоелектрикою називають електричний заряд, що з'явився в результаті механічної напруги. Твердження вірно й у зворотну сторону. Застосування підходящого електричного поля до п'єзоелектричного матеріалу створює механічна напруга. П'єзоелектричні акустичні сенсори створюють механічні хвилі за допомогою електричного поля. Ці хвилі поширюються в підкладці, а потім, для проведення необхідних вимірів, трансформуються назад в електричне поле.
Поверхневі пружні хвилі зустрічаються в природі часто. З ними зв'язано, наприклад, поширення коливань земної кори (землетрусів) або збурюванні на поверхні води. У цих випадках довжина хвилі являє собою величину від сотень метрів ло декількох сантиметрів. Поверхневі пружні хвилі вивчав еше у вісімдесятих роках минулого століття Релей у зв'язку із проблемою визначення епіцентру землетрусів [169]. Він створив теоретичну основу для рішення завдань, пов'язаних з поверхневими пружними хвилями.
Поверхневі пружні хвилі займають істотно менший діапазон, чим зазначено вище: вони укладені в області 10-5—10-1см. Такі хвилі відомі як поверхневі акустичні хвилі (ПАХ), хоча їхні частоти відповідають області ультразвуку.
Для порушення й реєстрації ПАХ застосовують пьєзоелектрики, значення яких у зв'язку із цим істотно зросло. Поверхневі акустичні хвилі володіють рядом чудових властивостей, що представляють інтерес для фахівців в області електроніки. Насамперед це (у порівнянні з об'ємними хвилями) їхня доступність і можливість управляти ними у всіх крапках поверхні, де вони існують. Поверхневі акустичні хвилі поширюються зі швидкістю на п'ять порядків нижче, ніж швидкість електромагнітних хвиль, що дозволяє використати методи, застосовувані в діапазоні НВЧ.
Звичайний акустичний пристрій (рис.7) складається із двох зустрічно-штирових перетворювачів. Один з них перетворить енергію електричного поля в механічну хвилю, інший проводить зворотне перетворення.
Рис. 7. А кустичний пристрій
У виробництві пристроїв, що працюють на акустичних хвилях, використається фотолітографічний процес (рис.8); приблизно таким же способом виготовляються інтегральні схеми. Єдина різниця полягає в тім, що в акустичних датчиках немає переходів.
Рис. 8. Фотолітографічний процес
При виготовленні акустичних сенсорів найбільше часто використаються наступні п'єзоелектричні підкладки: кварц (Si2), танталат літію (LiTa3) і трохи рідше ніобат літію (LiNb3). У кожного із цих матеріалів є свої переваги й недоліки, пов'язані із ціною, температурною залежністю, загасанням і швидкістю поширення. В таблиці 5 наведено коефіцієнти чутливості деяких матеріалів, за якими можна визначити чутливість частоти (періоду) ПАХ до зовнішніх впливаючих факторів: деформацій eij звукопроводу KeSpeij, його температури DT та обертання основи W:
Df/fn0»KeSpeij+KtDT+Kk×W/fn0–DL/L0.
Таблиця 5
Коефіцієнти чутливості звукопроводу ПАХ
| Матеріал звукопро-воду |
f0n, МГц |
Ke |
Kt×104, 0C |
Kk |
|||
| Експе-римент |
Розра-хунок |
Експе-римент |
Розра-хунок |
Експе-римент |
Розра-хунок |
||
| ZnO-SiO2 |
82,0 |
5,7 |
4,53 |
61,45 |
48,25 |
-0,24 |
-0,22 |
| a-SiO2 ST-зрізу |
78,9 |
-0,87 |
-0,54 |
2,8 |
3,25 |
-0,44 |
-0,59 |
Слід зазначити, що анизотрорпні матеріали, у тому числі й кварц, володіють такою властивістю: температурна залежність матеріалу залежить від кута зрізу й напрямку поширення хвилі. Правильним підбором значень цих параметрів можна мінімізувати температурний ефект першого порядку. Якщо максимізувати цей ефект, то можна сконструювати акустичний датчик температури. Не можна сказати того ж про ніобат й танталат літію, тому що при будь-яких зрізі матеріалу й напрямку поширення хвилі зберігається лінійна температурна залежність. З інших матеріалів, що мають комерційне застосування, слід зазначити: арсенід галію (GaAs), карбід кремнію (Si), лангасит (LGS), оксид цинку (Zn), нітрид алюмінію (Al), п'єзоелектричний титанат свинцю-цирконію (PZT), фторид поливинилидена (PVd).
Для виготовлення датчиків використається фотолітографічний процес (див. рис. 8). Зборка починається з полірування й очищення п'єзоелектричної підкладки. Потім на підкладку рівномірно наноситься метал, як правило, алюміній. Потім на пристрій методом центрифугирования наносять фоторезист, а потім його задубливают з метою підвищення міцності. Потім ті області, які повинні бути металізовані в остаточному підсумку, закриваються світлонепроникним папером, і пристрій міститься під ультрафіолетове випромінювання. В опромінених зонах відбуваються хімічні зміни, після яких їх легко видалити за допомогою проявника. Нарешті, видаляється фоторезист, що залишився. Малюнок металу, що залишився, і є зустрічно-штировий перетворювач. Ефективність сенсора можна максимізувати за допомогою зміни довжини, ширини, товщини й розташування перетворювача.
Акустичні пристрої описуються способом поширення хвиль: через або по поверхні п'єзоелектричної підкладки. В основному акустичні хвилі розрізняються по швидкості й напрямками переміщення часток. Залежно від матеріалу й граничних умов можуть бути різні варіанти. Перетворювач кожного датчика створює електричне поле, необхідне для деформації підкладки й, відповідно, формування акустичної хвилі. Хвиля поширюється через підкладку, у якій перетвориться назад в електричне поле й повертається на інший кінець перетворювача. На рис. 9 зображено схему типового акустичного пристрою. Переміщення часток поперечних, або зсувних, в хвилі відбувається по нормалі відносно напрямку поширення хвилі. Воно може бути поляризовано таким чином, щоб бути паралельним або перпендикулярним відносно чутливої поверхні. Рух зсувної горизонтальної хвилі позначає поперечні переміщення паралельно чутливій поверхні; рух зсувної вертикальної хвилі - перпендикулярно їй.
Рис. 9. А кустичний пристрій на ОАХ
Хоча цей пристрій був створений досить давно, вимірювання швидкості осадження металу все ще здійснюється за допомогою резонатора товщини здвигової хвилі.
Хвиля, що проходить через підкладку, називається об'ємною хвилею. Найпоширенішими пристроями на об'ємній акустичній хвилі (ОАХ) є п'єзоелектричні резонатори з коливаннями зсуву по товщині (КЗТ) і датчики горизонтально поляризованих акустичних плоских хвиль (АПВ).
Якщо хвиля поширюється на поверхні підкладки, тоді вона називається поверхневою хвилею. Найбільше широко використовувані пристрої на поверхневих хвилях - це датчик поверхневих акустичних хвиль (ПАХ) і датчик горизонтально поляризованих поперечних поверхневих хвиль, також відомий як датчик поверхневої зсувної хвилі (ПЗХ).
Всі пристрої на акустичних хвилях датчиками чутливі до відхилень багатьох фізичних параметрів. Будь-яка зміна в характеристики шляху поширення акустичної хвилі змінить відповідно й результат на виході. Всі датчики будуть працювати в газовому або вакуумному середовищі, але тільки їхня сукупність буде ефективно працювати при контакті з рідинами. Датчики на ПАХ та ОАХ - генерують хвилі, які поширюються в основному в поперечно-горизонтальному напрямку. Поперечна горизонтальна хвиля не випромінює енергію в рідинах, і це дозволяє працювати з рідинами без надмірного загасання. З іншого боку, у датчика ПАХ існує істотний зсув поверхневої нормалі, що приводить до випромінювання хвиль стиску в рідині, і це викликає надмірне загасання. Виключення із цього правила становлять пристрої, що використають хвилі, які поширюються на меншій швидкості, чим швидкість звуку в рідині. У незалежності від компонентів зсуву, такі типи хвиль не поширюються когерентно й у такий спосіб вони відносно не демпфіруються рідинами.
Цікавими для датчиків можуть бути також інші акустичні хвилі, такі як: плоска згінна хвиля, хвиля Лява, приповерхня акустична хвиля й хвиля Лемба. Перед тим, як звернутися до прикладів їхнього застосування, корисно буде коротко розглянути кожний з типів датчиків.
У датчику горизонтально поляризованих акустичних плоских хвиль (рис.10), хвиля поширюється між верхньою й нижньою поверхнею пластини, що дозволяє проводити вимір на обох сторонах.
Рис. 10. Датчики на поверхневих хвилях
Резонатор коливання зсуву по товщині, часто називаний кварцовими мікровагами, є найбільш відомим, давно винайденим і простим пристроєм на акустичних хвилях. Як показано на рисунку 6, він звичайно складається з товстої пластини пьєзокварца Ат-зрізу з паралельними круговими електродами, нанесеними на обидві сторони. Результатом додаткової напруги між цими електродами стає зсувна деформація пьезокристаллу.
Це пристрій відомо як резонатор, тому що пьезокристал резонує, коли утворяться електромеханічні стоячі хвилі. Зсув досягає граничних значень на грані кристала, що робить пристрій чутливим до поверхневої взаємодії. Довго такий резонатор використався для виміру рівня металізації у вакуумних системах, де він звичайно використався в генераторних схемах. Частота коливань відповідає резонансу кристала й визначає нагромадження маси на поверхні приладу. Наприкінці 1960-х було продемонстровано, як ОАХ- резонатор працює в якості датчик випару.
ОАХ резонатор характеризується простотою виробництва, здатністю витримувати суворі умови навколишнього середовища, температуростійкістю й гарною чутливістю до додаткових мас, напиленим на поверхню пьєзокристаллу. Через компонент поширення поперечних хвиль TSM резонатор також може виявляти й вимірювати рідини, що робить його гарним кандидатом у біодатчики. На жаль, ці пристрої мають найнижчу чутливість маси серед всіх датчиків, розглянутих тут. Стандартний ОАХ резонатор працює в межах 5-50 Мгц. Створення дуже тонких пристроїв, що працюють на більше високих частотах може збільшити чутливість маси, але тоншання датчиків нижче стандартних значень приводить до створення неміцних пристроїв, які складно робити й експлуатувати. Останнім часом були пророблені робота зі створення високочастотних ОАХ - резонаторів з використанням п'єзоелектричної плівки й техніки об'ємної мікрообробки кремнію.
Хвилі Релея (рис. 11) рухаються вертикально відносно грані поверхні датчика поверхово-акустичних хвиль (ПАХ). ПАХ-хвилі дуже чутливі до змін поверхні, однак не дуже придатні для більшості приладів виміру/визначення рідини.
Рис. 11. Хвилі Релея
Датчики горизонтально поляризованих поперечних поверхневих хвиль використають тонку п'єзоелектричну підкладку, або пластину, що працює як акустичний хвилевід, що втримує енергію між верхнею і нижньою поверхнями пластини (рис. 10). У результаті, обидві поверхні піддаються зсуву, так що вловлювання може виникнути на будь-якій стороні. Це важлива перевага, тому що одна сторона містить зустрічно-штировий перетворювач, якому необхідно ізолювати від електропровідної рідини або газів, у той час як друга сторона може бути використаний як датчик.
Рис. 12. Поверхневі хвилі
Енергія поверхневої хвилі замикається в межах однієї довжини хвилі з поверхні (Рис. 12) датчика на ПАХ. Ця характеристика дозволяє створювати датчики, дуже чутливі до взаємодії з поверхнею.
Так само як й ОАХ резонатор, відсутність компонента нормалі до поверхні дозволяє датчику вступати в контакт із рідиною й застосовувати його як біодатчик. Датчики на ОАХ в минулому успішно використані для виявлення ртуті в кількості мікрограм на літр, що відповідає рівню відповідного тесту відповідно до Закону про безпечну питну воду. Більше чутливі до навантаження маси від власної ваги чим TSM резонатор, SH-APM менш чутливі чим датчики поверхневої хвилі. На це є дві причини: перша полягає в тім, що чутливість до навантаження маси від власної ваги й інших відхилень залежить від товщини пластини, причому чутливість зростає разом з тоншанням пристрою. Межі товщини визначаються виробничим процесом. Друга причина полягає в тому, що енергія хвилі не досягає граничних значень на поверхні, що зменшує чутливість.
2.4 Принципи побудови резонаторів на ОАХ
Конструктивно пьєзорезонатори з коливаннями зсуву по товщині виконуються у вигляді тонких плоскопаралельних пластин (круглих або прямокутних) з відношенням довжини (діаметра) до товщини не менш 50 (рис. 13, а)
Рис. 13. Пьєзорезонатори з коливаннями зсуву по товщині
1 - пьезоелемент; 2 - електрод; 3 – токопідвід
або у вигляді плосковипуклих або двояко-випуклих лінз із відношенням діаметра до товщини не менш 5—10 (рис. 13, б). У резонаторах двох зазначених типів електроди збурення розміщаються в центрі поверхонь пьєзоелементів. У третьому варіанті, використаному порівняно рідко, ПР виконується у вигляді тонкого оконтуреного стрижня, частково або повністю вкритого електродами (рис. 13,в).
У перерахованих конструкціях електроди формуються безпосередньо на поверхні пьєзоелементу.
Підвищення робочої частоти вимагає зменшення частотозадаючого розміру пьєзовібратора. У товщинно-зсувних резонаторах це — товщина. На частотах понад 50 МГц вона стає менше 30 мкм, що створює труднощі виготовлення й експлуатації через низьку міцність пьєзоелементів. Проблема одержання високочастотних пьєзоелементів вирішується шляхом виконання резонаторів у вигляді тонких перемичок пьєзоелементу. У цьому випадку міцність конструкції створюється великою міцністю периферії. Тонка центральна частина виконується методами іонного або хімічного травлення.
У ПРД найчастіше застосовуються пьєзорезонатори повернених У-зрізів, що дає коливання зсуву по товщині. Частота коливань цих пьєзорезонаторів у першому наближенні визначається співвідношенням
де с66 -діюча константа пружності, визначена як
Рис. 14. Залежність частотної постійної N від кута 0 для резонаторів повернених У-зрізів. Коливання зсуву по товщині
де в — кут повороту пластини навколо осі X, відкладений від площини XZ (для чистого У-зрізу 0 = О град.
Ефект локалізації енергії в кварцових пьєзорезонаторах з коливаннями зсуву по товщині
У цих пьєзорезонаторах коливальна енергія концентрується в центральної поделектродной області пьєзоелементу. Безелектродні периферійні області ПР виявляються практично вільними від пружних коливань, що дозволяє здійснювати кріплення пьєзовібратора на значній площі поблизу його країв без помітного погіршення добротності. Цей ефект, надзвичайно важливий у практичному відношенні, прийнято називати ефектом локалізації енергії. В останні десятиліття ефект локалізації був всебічно досліджений, що послужило поштовхом до створення високочастотних ПР із моночастотным спектром і монолітними п'єзоелектричними фільтрами.
На основі пьєзорезонаторів з локалізацією енергії в цей час будується більшість пьєзорезонансных датчиків. Основні причини широкого застосування ПР із локалізацією енергії у вимірювальних перетворювачах полягають у наступному.
1. У порівнянні із системами кріплення резонаторів інших типів система кріплення пьєзорезонаторов з локалізацією енергії в істотно меншому ступені впливає на властивості резонатора як коливальної системи і його характеристики як перетворювачі параметра в частоту. Останнє ставиться до термопреобразователям і пристроїв мікрозважування на основі мас-чутливих резонаторів.
2. Використання резонаторів з локалізацією енергії в датчиках механічних величин дозволяє найбільш просто приєднувати тензочутливі резонатори в конструкцію без погіршення добротності ПР. Інші конструктивні рішення, що забезпечують акустичну розв'язку вібратора, або значно складніші (див. §2.2), або менш ефективні.
3. Пьєзорезонатори з максимальною добротністю (до 10-6) реалізовані на кварцових лінзах, що працюють із використанням ефекту локалізації. Більша добротність пьєзорезонатору — ключ до побудови автогенераторів з високою короткочасною стабільністю частоти (до 10-12) і реалізації датчиків з високою чутливістю.
4. Пьєзорезонатори з локалізацією зсувно-товщинних коливань-високочастотні. Як наслідок цього, абсолютні зміни частоти у функції вимірюваного параметра для них звичайно вище, ніж у резонаторів інших типів. Істотне значення мають малі габаритні розміри високочастотних резонаторів. Це визначає можливість мікромініатюризації ПРД і поліпшення їхніх динамічних характеристик.
Ефект локалізації енергії породжується особливостями поширення хвиль зсуву в тонких пьезопластинах. Як згадувалося вище, у нескінченно пружному середовищі характер поширення хвиль визначається тільки властивостями матеріалу. Хвильовий процес в обмеженому тілі визначається не тільки властивостями середовища, але й характером взаємодії пружної хвилі із границями пружного тіла — хвилеводу. Специфіка волноводного поширення сдвиговых хвиль — їхня частотна дисперсія, що полягає в залежності постійній поширення 7 від частоти коливання з. Частотна дисперсія характерна для багатьох типів акустичних коливань .
Особливість дисперсійних хвиль зсуву в пластинах полягає в тім, що при деякій критичній частоті сокр постійна поширення хвилі стає удаваною, у результаті чого характер поширення якісно міняється. Якщо рівняння для хвилі, що поширюється, представити у вигляді

де А0 — амплітуда коливань у крапці розташування джерела; t— час; z— відстань від джерела, те мнимої постійної поширення 7 = 'V 0 = V^-l) буде відповідати хвиля, експоненциально спадаюча в міру видалення від джерела:

Необхідно особливо підкреслити, що спад амплітуди коливань не зв'язаний у цьому випадку з розсіюванням енергії, оскільки, як неважко показати, потік енергії від джерела через перетин, нормальне z, виявляється рівним нулю.
Принципово хвилі зсуву можна збудити пьєзоелектрически, підводячи напругу до електродів, що повністю покривають вібратор-пластину із двох сторін. Однак у цьому випадку умови поширення сдвиговой хвилі будуть у всіх крапках пьезоелемента ідентичні й, таким чином, при частотах вище частоти відсічення хвиля буде вільно поширюватися по всьому пьєзоелементу, а на частотах нижче частоти відсічення хвиля поширюватися не зможе в жодній з областей. Це фактично означає, що п'єзоелектричне порушення хвильового процесу на частотах з < сокр у розглянутому випадку фізично нереалізовано. (Попутно відзначимо, що введення електродів збільшує момент інерції пьєзоелемента й зрушує частоту відсічення сокр униз у порівнянні із частотою відсічення вільної пластини.) З розглянутого приклада ясно, що для локалізації енергії в одній з областей пьєзоелемента необхідно створити у вібраторі неоднорідність. Найбільше просто це досягається, якщо електроди порушення покривають тільки частина пьєзоелемента. У цьому випадку центральна, поделектродная область вібратора характеризується частотою відсічення сое меншої, чим частота відсічення вільної пластини сос. Якщо тепер збуджувати елемент на частоті з', для якої сое < з' < < сос, те, як неважко переконатися, для поделектродной області постійна поширення 7Е буде дійсна й хвилі зсуву в цій області будуть поширюватися вільно. У той же час постійна поширення у вільній пластині 7С виявляється мнимої й хвилі зсуву в ній поширюватися не зможуть. Відповідно до (1.23) амплітуда А буде експоненциально спадати в міру видалення від краю електрода на периферію. Таким чином, при частоті порушення, що задовольняє умові сое < з < сос> енергія механічних коливань зсуву буде локалізуватися в поделектродной області, не поширюючись на периферію пьезоелемента. На частотах з > сос постійна поширення виявляється дійсної у всьому вібраторі, так що енергія коливань вільно витікає з поделектродной області на периферію. У той же час на частотах з < сое постійна поширення мнима у всіх областях пьезоелемента, і, як ми вже відзначали, на цих частотах п'єзоелектричне порушення нереалізоване. Таким чином, умови локалізації сдвиговых коливань по товщині реалізуються тільки в області частот сое < з < сос.
Розглянемо тепер питання про резонанс пьєзотока в структурі. Резонансна частота змінюється обернено пропорційно товщині пьєзоелмента. З елементарних фізичних міркувань ясно, що складена система, у якій товщина вібратора варіюється в межах від hn у вільній частині до hn + h3 в області електродів, повинна мати частоту механічного резонансу, що відповідає деякому проміжному значенню товщини hp:
hn < hp < hn + h3.
Звідси виходить, що механічний резонанс системи пластина-електроди повинен досягатися на частоті, що лежить у проміжку між частотами відсічення. Оскільки для цього проміжку реалізуються умови локалізації й енергія коливань зосереджена під електродами, на цій частоті коливань буде спостерігатися резонанс пьезотоку.
Спектральні характеристики ПР із локалізацією енергії в сильному ступені залежать від параметрів електродних покриттів: збільшення площі й маси електродів приводить до появи додаткових резонансів у спектрі пьезотоку в безпосередній близькості від частоти основного резонансу. Ці паразитні резонансы звичайно називають ангармоническими обертонами. (Визначенням ангармонические підкреслюється той факт, що на відміну від обертонів гармонійній, кратних основній частоті, ангармонические обертони умові /„ = nft не задовольняють.)
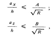
Зменшуючи товщину й поперечні розміри електродів, можна домогтися локалізації єдиного резонансу, придушивши інші ангармонічні обертони, тобто забезпечивши моночастотный спектр ПР. Співвідношення, що забезпечує виконання цієї вимоги, знайдено з теоретичного аналізу спектра коливань пластин й одержало назву критерію моночастотности. Критерій моночастотности записується як
де ах і az — розміри електрода відповідно уздовж довжини й ширини пластини; А и В — постійні (для кварцового У-зрізу відповідно А = 2,8; В = 2,17); R - так званий коефіцієнт зниження, що характеризує відносну різницю частот вільної й електродної областей вібратора:

Тут p‘ і p - щільності відповідно кварцу й електрода, а h і h' -товщини відповідно вібратора й електрода, нанесеного з однієї сторони пластини.
Звичайне зниження R становить не більше 0,01-0,03. Величина R визначає швидкість спаду амплітуди коливань А в міру видалення від краю електрода. Практично, якщо пьезоелемент кріпиться по периферії на відстані 10-15 h від краю електрода, добротність коливань ПР може бути збережена на рівні 50-100 тисяч.
У порівнянні із плоскими більше ефективна локалізація енергії в центрі пьєзоелементу досягається в лінзових ПР. У цих резонаторах навіть при відсутності електродів центральна область має більш низьку частоту відсічення, оскільки товщина в центрі за рахунок сферичності перевищує товщину вібратора на периферії. Різниця частот відсічення в центрі й на периферії становить у лінзах не 1—3%, як у резонаторах-пластинах, а істотно більше: у принципі, товщина лінзи на краю може бути зведена до нуля. Тому в лінзових резонаторах вдається більш якісно розв'язати край пьєзоелементу від коливань, забезпечивши цим одержання добротностей на рівні 106 — 107. Відповідно до теорії для кварцу граничні значення добротності самого матеріалу залежать від частоти й визначаються співвідношенням
![]()
Добротність кращих лінзових резонаторів близька до теоретичної межі.
2.5 Аналіз можливих варіантів побудови датчиків акустичних хвиль
В 1887 році лорд Релей відкрив режим поверхневої акустичної хвилі й у своїй класичній роботі пророчив властивості цих хвиль. Названі по імені людини їх що відкрили, хвилі Релея володіють поздовжнім і вертикальним поперечним компонентом, що може з'єднуватися із середовищем при контакті з поверхнею пристрою. Таке з'єднання сильно впливає на амплітуду й швидкість хвилі. Ця риса дозволяє датчикам ПАХ прямо оцінювати масу й механічні характеристики. Рух поверхні також дозволяє використати ці пристрої як мікроприводи. Хвиля має швидкість приблизно на 5 порядків менше ніж відповідна електромагнітна хвиля, що робить поверхневі хвилі Релея одними із самих повільних по швидкості поширення у твердих речовинах. Амплітуда хвилі становить ~10 Aнг, а довжина хвилі коливається від 1 до 100 мікронів.
На рис. 12 докладно представлено область деформації, викликана поширенням ПАХ уздовж осі Z і відповідний розподіл потенційної енергії. Тому що фактично вся енергія хвиль Релея укладена в межах однієї довжини хвилі на поверхні, датчики ПАХ мають найбільшу чутливість серед всіх розглянутих акустичних датчиків.
Зазвичай датчики ПАХ працюють у межах від 25 до 500 Мгц (рис.15). Одним з недоліків цього пристрою є те, що хвилі Релея є поверхневими нормальними хвилями, і тому вони погано підходять для виміру рідин. Коли датчик ПАХ вступає в контакт із рідиною, в результаті хвилі стиску викликають істотне загасання поверхневої хвилі.
Рис. 15. Приклади датчиків на ПАХ
Датчики акустичної хвилі комерційно доступні в декількох формфакторах. Більшість із них являє собою напівпровідникові пластини, які потім тестуются, нарізаются на кристали й упаковуються.
Якщо зріз пьезокристалла відповідним чином повернути, тоді мода хвилі міняється від датчика з вертикально-поперечною ПАХ до датчика на поперечно-горизонтальної ПАХ. Це істотно знижує втрати, коли рідини вступають у контакт із середовищем поширення, що дозволяє датчикам ПАХ працювати в якості біосенсорів.
У загальному випадку, чутливість датчика пропорційна кількості енергії, що виникає на шляху поширення хвилі. Датчики об'ємної акустичної хвилі розсіюють енергію з поверхні через речовину основи на іншу поверхню. Розподіл енергії мінімізує інтенсивність енергії на поверхні, на якій відбувається вимір. Датчики ПАХ навпаки фокусують енергію на поверхні, що робить їх більше чутливими. Інші конструкторські міркування при виборі датчиків акустичних хвиль містять у собі стабільність генератора й рівень перешкод.
2.6 Застосування датчиків
Всі датчики акустичних хвиль у тім або іншому ступені чутливі до відхилень від багатьох фізичних параметрів. Якесь із представлених на ринку датчиків представлені на фото 1. По суті говорячи, всі датчики акустичних хвиль, що випускають для індустрії телекомунікацій повинні бути герметично запечатані для запобігання будь-яких перешкод, які можуть бути обмірювані пристроєм і відповідно викличуть небажані зміни на виході.
Рис. 16. Лінія затримки
Якщо вибрати правильний напрямок зрізу матеріалу, тоді будуть переважати горизонтально поляризовані поперечні поверхневі акустичне хвилі (рис.16). У цих хвиль є зсув, паралельний поверхні пристрою.
Рівень фактору, що можуть уловити акустичні пристрої, може бути значно збільшений шляхом нанесення на пристрій покриття з матеріалів, які перетерплюють зміни в масі, пружності, або провідності під впливом яких-небудь фізичних або хімічних стимулів. Під прикладеною напругою, що міняє динамічні властивості середовища, ці датчики стають детекторами тиску, що обертає моменту, ударної хвилі й сили. Вони стають датчиками маси, або ваги, якщо часткам дозволено контактувати із середовищем поширення, міняючи напруги в ній. Вони стають датчиками випару коли застосовується покриття, що абсорбує тільки певні хімічні осадження. Ці пристрої працюють шляхом ефективного виміру маси абсорбованого осадження. Якщо покриття абсорбує певні біологічні хімічні речовини в рідинах, датчик стає біодатчиком. Як було замічено раніше, якщо вибрати правильний напрямок поширення хвилі, можна створити бездротової датчик температури. Середовище поширення міняється разом з температурою, впливаючи на дані на виході. Нижче наведені деякі найбільш загальні способи застосування датчиків акустичних хвиль.
Термодатчик будується на термозалежності швидкості поверхневих хвиль, яка визначається напрямком і типом кристалічного матеріалу, використовуваного для виробництва датчика. Термодатчики на базі генераторів лінії запізнювання ПАХ володіють міліградусною роздільною здатністю, гарною лінійністю й низькою інерцією. Вони до того ж досить чутливі до навантаження маси від власної ваги й тому повинні бути герметично упаковані. 124 Мгц термодатчик кварцу ST-зрізу приповерхньої об'ємної хвилі, як недавно стало відомо, має температурний коефіцієнт 32 ppm/ C і чутливість 0.22 C. Він також продемонстрував на три порядки меншу чутливість до навантаження маси від власної ваги, чим датчик на ПАХ. Час відповіді становить 0.3 с, що в 103 рази швидше ніж датчик ПАХ. Перевага термодатчиков також полягає в тому, що вони не вимагають елементів і вони є бездротовими, що робить їх придатними для використання у віддалених місцях.
Датчики тиску стали першою заявленою технологією використання ПАХ у сфері застосування датчиків, у 1975 році . На швидкості ПАХ сильно впливає напруга, що подається на п'єзоелектричну підкладку, по якій поширюється хвиля. У такий спосіб датчик тиску на ПАХ створений шляхом перетворення пристрою в діафрагму (див. рис. 17).
Рис. 17. Датчик тиску на ПАХ
Частоти ПАХ змінюється разом з напругою. Коли діафрагма прогинається під тиском, датчик ПАХ змінює дані на виході.
Невідшкодовані температурні коливання, які заважають роботі датчиків тиску на ПАХ може бути мінімізований шляхом приміщення зразкового пристрою виміру на ПАХ поруч із що вимірює ПАХ на ту ж підкладку й змішуючи два сигнали. Один датчик працює як термодатчик, чия близькість до датчика тиску гарантує, що обоє з них піддані однієї й тій же температурі. Однак температурний датчик на ПАХ повинен бути ізольований від напруги, якому піддається ПАХ.
Датчики тиску на ПАХ пасивні (не вимагають елементів живлення), бездротові, дешеві, витривалі, дуже компактні й легені, і відповідно добре пристосовані для виміру тиску в об'єктах, що рухаються (наприклад, шини машин або вантажівок). Ці характеристики забезпечують перевага над такими технологіями як ємнісні й пьезорезистивные датчики, яким необхідні елементи живлення і які не є бездротовими. Датчик тиску на ПАХ вагою <1м з дозволом 0.73 фунт на квадратний дюйм недавно був інтегрований у шину автомашини з відмінними результатами. Така система дозволяє операторові спостерігати тиск у кожній із шин з комфортної кабіни. Правильно надуті шини сприяють поліпшенню безпеки, більшої ощадливості палива й до більше довгого строку експлуатації самих шин. Ця технологія особливо цікава для нового ринку шин зі спущеним тиском (також називаних з нульовим тиском або розширеною маневреністю).
Датчик крутного моменту на пристрої з ПАХ, нерухомо прикріпленого до плоского місця на валу, й вал піддається крутному моменту, цей крутний момент піддає напрузі датчик і перетворює його в бездротової, пасивний, легкий датчик крутного моменту. Якщо вал обертається в одну сторону, тоді датчик перебуває в стані натягу, при обертанні в іншому напрямку датчик перебуває в стані стиску. У практичному застосуванні два датчики обертаючого моменту використаються таким чином, що їх центральні (осьові) лінії перебувають під прямим кутом один до одного (див. рис. 10). Таким чином, коли один датчик перебуває в стані стиску, інший - у стані натягу. Тому що обидва датчики піддаються одній температурі, сума двох сигналів мінімізує будь-які ефекти виходу параметрів під впливом температури.
Рис. 18. Диференціальний датчик тиску на ПАХ
Додавання другого ПАХ ефективно мінімізує температурні коливання датчика тиску на ПАХ.
У порівнянні з іншими датчиками крутного моменту, включаючи резистивні датчики опору, оптичні перетворювачі, торсіоны, датчик крутного моменту на ПАХ є дешевим, має високу надійність і до того ж бездротової. Відстеження крутного моменту на вантажівках й автомашинах значно поліпшить керування й гальмування, тому що крутний момент вимірює зчеплення коліс набагато краще, ніж датчики обертів двигуна, використовувані в цей час.
Датчики маси. Із всіх оцінюваних тут пристроїв, датчики на ПАХ найбільш чутливі до навантаження від власної маси, що можна використати при створенні датчика часток і датчика товщини плівки. Якщо датчик покритий адгезивом, то він стає датчиком часток: будь-яка частка, що попадає на поверхню там і залишається й змінює поширення хвилі. Повідомляється, що дозвіл по масі становить 3 pg на 200 Мгц кварцу ST-зрізу ПАХ, що в 1000 3 чувствительней протестированного 10 Мгц TSM резонатора. Датчики часток використаються у виробничих приміщеннях, моніторах якості повітря, і моніторах атмосфери.
Датчик товщини працює в основному по тім же принципі що й датчик часток, за винятком того, що на ньому немає покриття. Вимірюване зрушення частоти пропорційне масі обложеної плівки, так що датчик одержує дані по товщині шляхом виміру щільності плівки й акустичного опору. Цей метод точний тільки в тому випадку, якщо плівка тонка (в ідеальному випадку не більше чим кілька відсотків акустичної довжини хвилі). Найбільш доступні в продажі датчики товщини базуються на TSM резонаторах. Не будучи такі ж чутливими, як датчики на ПАХ, ці пристрої проте легкі у використанні й мають достатню чутливість.
Датчик конденсації/вологості. Якщо датчик на ПАХ піддається температурному контролю й прямому впливу навколишнього середовища, то вода буде конденсуватися на ньому при температурі конденсації, що робить його ефективним датчиком крапки конденсації. Існуючі комерційні інструменти для високоточних вимірів крапки конденсації засновані на оптичних методах, які є досить дорогими, і не мають достатню чутливість, точністю й довгостроковою стійкістю. Був розроблений 50 МГц датчик конденсації YZ-зрізу ниобата літію на ПАХ, що стійкий до основних забруднюючих речовин, має дозвіл ±0.025°C (порівн. ±0.2°C для оптичного датчика), дешевий, і значно більше стабільний.
Рис. 19. Датчик обертання
Напруга у валу передається на датчик на ПАХ, що через напругу міняє свою робочу частоту й, відповідно, що крутить момент. Додаткове використання ще однієї ПАХ мінімізує температурний ефект.
З датчиків акустичних хвиль із пружним гігроскопічним полімерним покриттям виходять відмінні датчики вологості. Три складові механізму становлять чутливість датчика: навантаження від власної маси, електроакустичні ефекти й в‘язкоеластичні ефекти. Кожний із цих механізмів можна ефективно контролювати й робити дешевий, точний датчик вологості. 50 Мгц датчик YZ-зрізу ниобата літію на ПАХ, покритий polyXIO був продемонстрований як датчик вологості з діапазоном відносної вологості 0%-100% й областю неоднозначності порядку 5%. Додатково, 767 Мгц датчик AT-зрізу кварцу на SH-ПАХ був недавно продемонстрований як датчик вологості із чутливістю 1.4 ppm/% відносної вологості й областю неоднозначністю в 5%. Як з'ясувалося, він є більше чутливим пристроєм, чим 14 Мгц TSM резонатор, покритий тим же полімером.
У тій же категорії 434 Мгц датчик YZ-зрізу ниобата літію на ПАХ був використаний як вилучений датчик води, а 86 Мгц датчик XY-зріз кварцу на хвилях Лаві був продемонстрований як датчик льоду.
Хімічний датчик випарів із--з покриттям і без покриття. Уперше про датчик хімічних випарів було заявлено в 1979 році. Більшість із них ґрунтується на чутливості мас-детектора, у взаємодії з хімічно вибірним покриттям, що абсорбує задані випари, що приводить до збільшення навантаження від власної ваги пристрою (див. Рис. 11). Як й у випадку з термокомпенсированными датчиками тиску, одна з ПАХ використається як крапка відліку, ефективно мінімізуючи ефект коливань температури.
Рис. 20. ПАХ аналізатор
Комерційно доступний портативний ПАХ аналізатор (рис. 20), що розпізнає хімічні випари складається з 4 датчиків на ПАХ, на кожний з яких нанесене різне полімерне покриття.
При виборі хімічно сорбционного покриття необхідно приймати в розрахунок деякі особливості будови пристрою. В ідеальному випадку, покриття повинне бути повністю двостороннім, що означає, що воно буде абсорбувати, а потім повністю десорбировать випару при прочищенні свіжим повітрям. Швидкість, при якій покриття абсорбує й десорбирует повинне бути досить великий, <1 з, наприклад. Покриття повинне бути досить міцним, щоб витримувати корозійні випари. Воно повинне бути селективні, абсорбуючі тільки певні випари й не усмоктуючи інших. Покриття повинне працювати при розумних температурах. Воно повинне бути стійким, відтвореним, чутливим. І нарешті, дуже важлива його товщина й однорідність.
Коли кілька датчиків на ПАХ, кожний з унікальним хімічним специфічним покриттям розміщені в певному порядку, тоді кожний з них буде давати різний результат при впливі даного випару. Програмні засоби по розпізнаванню структур допускають різноманітний список легкоиспаряющихся органічних сполук, які можу бути виявлені й ідентифіковані, що утворить дуже потужний хімічний аналізатор. Комерційно доступний аналізатор з поруч із 4 датчиків на SWA показаний на рис.20.
TSM резонатори успішно були використані для виміру хімічних випарів, але вони значно менш чутливі чим їх ПАХ аналоги. Також ПАХ датчики хімічних випарів були зроблені без покриттів. У цей методі використається колонка газового хроматографа для відділення елементів хімічних випарів і термоконтролируемая ПАХ, що конденсує випари й вимірює відповідне навантаження від власної маси.
Якщо на пристрій на ПАХ нанести хімічно сорбционный полімер, вийде датчик хімічних випарів. Додавання ще одного пристрою на ПАХ дозволить мінімізувати коливання температури й забезпечить контрольовану різницеву частоту.
Біодатчик. Подібно датчикам хімічних випарів, біодатчики визначають наявність хімічної речовини, але скоріше в рідинах, чим у парах. Як було замічено раніше, пристрій на ПАХ у цьому випадку не підходить, тому що вертикальний компонент поширення хвилі буде придушуватися рідиною. Біодатчики вироблялися з використанням TSM резонатора, SH-APM й SH-ПАХ датчиків. Із всіх відомих акустичних датчиків для виміру рідини, найбільшою чутливістю володіє датчик хвиль Лові, спеціального класу горизонтальний^-горизонтальних-горизонтальні-поперечно-горизонталАЕих ПАХ. Для того щоб створити датчик хвилі Лові, волноводное покриття міститься на пристрій на SH-ПАХ таким чином, що енергія поперечно-горизонтальних хвиль фокусируется на цьому покритті. Потім биораспознавающее покриття міститься на волнопроводное покриття, образуя повний біодатчик. Було досягнуто успішне розпізнавання anti-goat Ig у концентрації 3 3 10-8-10-6 moles при використанні 110 Мгц yz-зріз SH-ПАХ з полімерним покриттям провідну хвилю Лява.
2.7 Визначення необхідних параметрів, які впливають на поверхневі акустичні хвилі в пасивних Пах-елементах
Датчики на акустичних хвилях - надзвичайно універсальні пристрої, чий комерційний потенціал тільки починають усвідомлювати. Вони конкурентноспособны за ціною, міцні, дуже чутливі, і надійні, тому ж деякі з них є бездротовими й/або не вимагають елементів живлення. Бездротові датчики досить зручні для використання їх на об'єктах, що рухаються, наприклад, для виміру тиску покришок на машинах або крутному моменті вала. Датчики яким не потрібна енергія бажані для вилученого спостереження за хімічними випарами, вологістю й температурою. Інші застосування включають вимір сили, прискорення, ударної хвилі, кутової швидкості, в'язкості, зсуву й потоку, як доповнення до характеристики плівки. Датчики також володію електроакустической чутливістю, що дозволяє їм визначати рівень р, іонних домішок й електричні поля. Датчики поверхневої акустичної хвилі показали себе як самі чутливі загалом, що є результат їхньої великої щільності енергії на поверхні. Для виміру рідин самими чутливими показали себе датчики хвиль Лові, спеціального класу поперечно-горизонтальних поверхневих хвиль. Триває робота з розробки даних датчиків для застосування їх в інших областях.
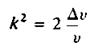
Деякі важливі властивості елементів, виготовлених з п'єзоелектричних матеріалів, у тому числі елементів на ПАХ, визначаються не абсолютними значеннями матеріальних констант, а їхнім взаємним співвідношенням Одним з таких параметрів є коефіцієнт електромеханічного зв‘язку. При визначенні коефіцієнта електромеханічного зв'язку в елементів на ПАВ у першу чергу становить інтерес динамічний стан. Пружний рух спостерігається лише в тонкому поверхневому шарі підкладки, уздовж якого поширюється ПАХ, що необхідно враховувати при розгляді відповідних видів енергії. Коефіцієнт електромеханічного зв'язку з урахуванням цього положення, описувався б складним вираженням, а його величина була б функцією глибини середовища. Тому за аналогією з об'ємними хвилями коефіцієнт електромеханічного зв'язку для елемента на ПАХ визначається звичайно як відношення зміни швидкості поширення хвилі в неп'єзоелектричному середовищі до швидкості в пьезоелектрику.
Позначимо фазову швидкість поширення поздовжньої хвилі в неп'єзоелектричному середовищі Vо, а фазову швидкість поширення цієї ж хвилі в пьезоелектрику V. Можна записати

де r — щільність середовища. Для коефіцієнтів жорсткості с11 і с11(р) можна записати співвідношення

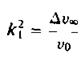
де k1-коефіцієнт електромеханічного зв'язку для поздовжньої хвилі. Із цих рівностей можна одержати:
![]()
Таким чином, відносна зміна фазової швидкості ідеальної об'ємної поздовжньої хвилі, викликана п'єзоелектричним ефектом, пропорційна квадрату коефіцієнта електромеханічного зв'язку для цієї хвилі.
У випадку ПАХ її швидкість зміниться, якщо вільну поверхню пье-зоелектрика покрити ідеально провідним шаром, товщиною якого можна зневажити. Змінe швидкості ПАХ викликано тією обставиною, що провідний шар закорочує складову електричного поля, що паралельна поверхні. Це явище має велике значення для практичних застосувань, особливо при збуренні ПАХ за допомогою перетворювача. У зв'язку із цим теоретично й експериментально були визначені швидкості ПАХ на вільній і металізованій поверхнях для різних напрямків поширення хвиль і різної орієнтації поверхні. Якщо позначити через Dv різницю між швидкістю на вільній поверхні v й і швидкістю на металізованій поверхні v о, то величину Dv / v о можна вважати мірою зв'язку.
Коефіцієнт електромеханічного зв'язку k для ПАВ, як і для поздовжньої хвилі, визначається співвідношенням

Це співвідношення підтверджене експериментально. Також в інший спосіб визначено коефіцієнт електромеханічного зв'язку:

Тут ΔVµ = Vµ — Vo, при цьому Vµ — фазова швидкість ПАХ у випадку «вільних» граничних умов [тобто поверхневий імпеданс Zp прилягаючого середовища нескінченний і діелектрична проникність для даного середовища дорівнює нулю, що практично важко здійсненно] й Vo — фазову швидкість при «закороченных» граничних умовах (Zp = 0, що прилягає середовище провідна). Зв'язок з визначенням задається співвідношенням

де
![]()
Для рішення завдання про поширення ПАХ необхідно знати інтенсивність і напрямок потоку енергії. Перенос енергії у випадку гармонійної зміни в часі всіх величин при квазистатическом наближенні електричного поля можна характеризувати в будь-якій крапці середовища (використовуючи електроакустичну аналогію) за допомогою комплексного вектора Пойнтинга р — поняття, широко використовуваного в теорії електромагнітного поля. Інтенсивність ПАХ в напрямку осі Х обумовлена як середнє значення потужності, що пройшла через одиницю поверхні перпендикулярно осі, є дійсною складовою i-ої компоненти комплексного вектора Пойнтинга:
![]()
де символ Re позначає дійсну складову, а зірочкою відзначені комплексно-сполучені величини. Наведені величини дані в масштабі амплітуд. У випадку непьезоелектрического середовища відсутній член ip* у виразі для р і п'єзоелектричний внесок ek,jEk у виразі для T,j.
Інтенсивність ПАХ в обраному напрямку, обумовлений формулою для р, зменшується в напрямку вглиб середовища. В елементах електроніки на ПАХ нас, як правило, цікавить інтегральна величина -загальний потік енергії ПАХ в даному напрямку, що лежить у площині границі двох середовищ. При цьому маємо на увазі середню енергію, що ПАХ переносить на поверхні в смузі шириною 1 м: де символ Re позначає дійсну складову, а зірочкою відзначено комплексно-сполучені величини. Наведені величини дані масштабі амплітуд. У випадку непьезоелектричного середовища відсутні член ip* у виразі для і п'єзоелектричний внесок ek,jEk у виразі для T,j .
Інтенсивність ПАХ в обраному напрямку зменшується в напрямку в глиб середовища. В елементах електроніки на ПАХ нас, як правило, цікавить інтегральна величина -загальний потік енергії ПАХ в даному напрямку, що лежить у площині границі двох середовищ. При цьому маємо на увазі середню енергію, що ПАХ переносить на поверхні в смузі шириною 1 м:

За винятком випадків псевдоповерхневих хвиль, які будуть описані нижче, величина Pi = 0, і потік енергії ПАХ паралельний поверхні.
В анізотропному середовищі в загальному випадку напрямок потоку енергії ПАХ не паралельний напрямку її поширення. Відхилення потоку енергії від напрямку поширення можна характеризувати відношенням величин Р\/Рг, заданих останнім виразом. Випадок коли напрямок, поширення ПАХ, обумовлений хвильовим вектором, збігається з напрямком потоку енергії ПАХ, називається чистою модою ПАХ
Рис. 21. Криві повільності для ПАХ, що поширюються в площині (110) у нікелі
Оскільки нас цікавить напрямок потоку енергії, можна також використати таке поняття, як крива повільності (рис. 21). Цю криву одержимо, відкладаючи в напрямку поширення ПАХ значення, обратно пропорційні її швидкості.
Напрямок групової швидкості, тобто напрямок потоку енергії {вектора Р), для даного напрямку поширення ПАХ, певного хвильовим вектором, задано напрямком нормалі до кривої повільності. На рис. 21 кут t визначає напрямок поширення й Ф — кут між векторами Р и к, тобто кут відхилення потоку енергії від напрямку поширення. Із кривої на рис. 21 можна визначити напрямку, уздовж яких поширюються чисті моди ПАХ (вони позначені кружечками), що характеризуються тим, що вектори Р и к колінеарні. Наприклад, для напрямків, близьких до кута й = 90° (рис. 21), потік енергії ПАХ відхиляється в напрямку д = 90°, отже, пучок ПАХ фокусується.
Для ПАХ в ізотропному середовищі Використаємо загальне рішення, наведене в попередніх розділах, для випадку поширення ПАХ в ізотропному неп'єзоелектричному напівпросторі. Із властивостей вектора поляризації треба, щоб механічні змішання в цьому випадку мають місце лише в сагиттальній площині. Пружні коливання назвемо поверхневою хвилею Релея. Запишемо рівняння для розрахунку фазової швидкості vr, які виходять з вікового рівняння системи:

де vt й vi являють собою відповідно швидкість поперечних й повздовжніх об'ємних хвиль, що завжди більше швидкості ПАХ Релея vj . Для складових змішань при поширенні уздовж осі Xi дійсні співвідношення мають позитивні дійсні значення, з -пр вільная константа, що залежить від інтенсивності ПАХ. З формули слідує, що поздовжня (U) і поперечна (V) складові змішання зсунуто по фазі на 90°, що є причиною еліптичного руху часток. На рис. 22 показана залежність амплітуд коливань хвиль Релея від відстані до поверхні. З малюнка видно, що хвиля торкає шар під поверхнею товщиною лише кілька довжин хвиль.
Рис. 22. Залежність складових ПАХ Релея від глибини, вираженої в одиницях довжин хвиль
Крива 1 — поздовжня складова з негативним знаком, крива 2 — поперечна складова; криві нормовані відносно амплітуди поперечної складової на поверхні ізотропного твердого тіла.
Вектор Пойнтинга паралельний напрямку поширення хвилі й швидко зменшується із глибиною (-х3). З рис. 23 виходить, що енергія хвилі зосереджена поблизу поверхні. Рух середовища, викликане ПАХ Релея, наочно зображено на рис. 24, де показана деформація прямокутної сітки в сагиттальній площини. Дійсні зсуви становлять величини порядку 10-5 довжини хвилі ПАХ.
Рис. 24. Залежність інтенсивності хвиль Релея, нормованої по одиничній амплітуді на поверхні ізотропного твердого тіла, від глибини, вираженої в одиницях довжин хвиль

Рис. 25. Деформація прямокутної сітки в сагиттальной площини, викликана ПАХ Релея в ізотропному середовищі [ 170]
А — незбурена поверхня, В — рух поверхні, викликаний ПАХ. Інтервали позначають зсув у різних крапках твердого тіла.
Деякі основні властивості ПАХ в анізотропному середовищі аналогічні властивостям ПАХ Релея. Вони мають еліптичну поляризацію, перенос хвильової енергії відбувається в приповерхньому шарі й фазовій швидкості не залежить від частоти. Однак анізотропія може вносити рял відмінностей. Наприклад, фазова швидкість залежить від напрямку поширення, і потік енергії не обов'язково паралельний хвильовому вектору. Площина еліптичної поляризації хвилі може не збігатися із сагиттальною площиною, і в тих випадках, коли вона збігається з нею, головні осі еліпса (рис. 24) не обов'язково паралельні осям Х\ н Хц. Загасання амплітуди хвилі в загальному випадку відбувається не за експонентним законом, а по синусоїді з експоненциально загасаючою амплітудою. Якщо анізотропне середовище має п'єзоелектричні властивості, то крім трьох складових механічних змішань існує й електричний потенціал, завдяки чому швидкість поширення ПАХ стає залежної від електричних умов на поверхні або поблизу її. У цьому випадку ПАХ супроводжується електричним полем з еліптичною поляризацією в сагитальної площини.
Підкладки для ПАВ можна вибирати із цілого ряду комбінацій орієнтації поверхні, напрямку поширення хвилі й кристалографічної симетрії середовищ. Найбільш широке поширення одержали матеріали з відносно високою кристалографічною симетрією. Це пов'язане з тим, що напрямок потоку енергії в них паралельно хвильовому вектору. Ці напрямки відповідають екстремумам криво повільності (рис. 21). Деякі екстремуми визначаються значенням пружних і п'єзоелектричних констант, інші тільки кристаллографічною симетрією середовища. Необхідною й достатньою умовою для існування чистої моди є задоволення однієї з наступних умов:
А) Якщо сагиттальная площина [Х{, A"j) є площиною дзеркальної симметрии, то вісь X] являє собою напрямок поширений чистої моди. Рішення розпадається на дві незалежні частини: одна містить складову змішання й2, друга — складові й(, «3, <?.
Б) Якщо сагиттальная площина перпендикулярна осі симетрії другого
порядку кристала", те вісь Х\ є напрямком поширення чистої моди. Рішення розпадається на дві незалежні частини, одна з яких містить складові М] й й3, друга — иг й ip.
Наведені випадки, коли детермінанти систем рівнянь (6.8) і (6 15) розпадаються на дві незалежні частини, називають вирожденными. Нижче розглянуті три випадки, коли задовольняються обоє умови або одне з них.
Напрямку поширення чистої моди, що задовольняють умовам А и Б
Середовище, у якій обоє умови задовольняються одночасно, не може бути п'єзоелектричної, тому що має центр симетрії. Як приклад можна привести поширення ПАВ у напрямку кристалографічної осі уздовж базової площини неп'єзоелектричного кристала з кубічною симетрією. У цьому випадку рішення рівняння (6.8) розпадається на дві незалежні частини. Складова иг приводить до появи об'ємної поперечної хвилі, що задовольняє граничним умовам на поверхні. Із другої частини рішення одержимо дві константи Ь(т}, які на відміну від ізотропного середовища не обов'язково будуть розташовуватися на негативній мнимій осі, тому що 2сц ^ Сц - сп- Дійсні частини констант Ь{т} приводять до осциліруючої амплітуди змішання, у той час як мнимі частини характеризують загасання.
Направлення поширення чистої моди, що задовольняють умові А.Цей випадки з найпоширеніших, він відповідає орієнтації поширення ПАХ уздовж осі Ху на поверхні Х\Хг кристала ниоба-та літію (клас Ът). Оскільки для вираження дійсно 1 п = Г23 = г24 ~ 0, рішення розпадається на дві незалежні частини. Одне рішення, що задовольняє граничним умовам, містить лише складову змішання й, отже, приводить до об'ємної хвилі, поляризованної перпендикулярно сагитальної площини. Ця об'ємна ' на відрізняється від хвилі, розглянутої в попередньому випадку, тим, що хвильовий вектор відхилений від поверхні (у напрямку усередину среду Той час як напрямок потоку енергії паралельно осі Х\. Друге рішення, що містить потенціал <р і дві складові й, і ы3, являє собою ПАХ Релея в пьезоелектрике ін.
Рис. 25. Залежності поздовжніх (криві 1) і поперечних (криві 2) складового змішання ПАХ, що поширюється на зрізі YZ кристала ниобата літію, від глибини, вираженої в одиницях довжин хвиль [106]
Суцільні криві відповідають вільній поверхні, переривчасті - закороченій; криві нормовані щодо амплітуди поперечної складової на поверхні.
Значення швидкості й форма залежать від електричних граничних умов. Приймаючи, що X3 > 0 простір заповнений середовищем з діелектричної постійної Ео (вільна поверхня) і складові електричної індукції D3, а також потенціал j безперервні, одержимо для наведеного приклада значення швидкості ПАХ, рівне 3485 м/с. Якщо поверхня покрита тонким провідним шаром, то тангенціальна складова електричного поля ПАХ на поверхні дорівнює нулю, а фазова швидкість зменшиться до величини 3405 м/с. Залежності складові змішання й потенціалу для цих двох випадків зображені на рис. 25 .
Електрично закорочені поверхні особливо впливають на хід кривих електричного потенціалу (рис. 26). Так само, як й в ізотропному середовищі, рух часток відбувається лише в тонкому шарі під поверхнею підкладки товщиною в кілька довжин хвиль. Потік енергії Р, має лише складову Р\, отже, його напрямок паралельно вектору поширення хвилі.
Коефіцієнт електромеханічного зв'язку, обумовлений вираженням для наведеної орієнтації підкладки з ниобата літію у випадку поширення чистої моди ПАХ має одне з найбільших досяжних значень к2 = 0,046, для кварцу 0.001.
Вимірювані значення швидкості поширення ПАХ на вільній і металізованій частинах поверхні підкладки з ниобата літію, паралельної площини XZ, залежно від кута, утвореного напрямом поширення ПАХ і віссю Z, наведені на рис. 27. Электричне закорочення поверхні здійснено шаром алюмінію товщиною h =23Онм.
Крива повільності для кутів в околиці осі Z представлена рис. 28. Якщо кут відхилення хвильового вектора від осі Z становить 10 град., той напрямок потоку енергії відхилено від хвильового вектора на 3 град.
Рис. 2 6. Залежність електричного потенціалу від глибини для випадку
Рис. 27. Залежність швидкості ПАХ, що поширюється уздовж У-зрізу кристала ниобата літію, від кута відхилення хвильового вектора (в інтервалі кутів д = ± 10°) від осі Z, обмірювана за допомогою лазерного інтерферометра
Сплошна крива відповідає вільній поверхні, переривчаста – закороченої шаром алюмінію товщиною 68 нм, штрих-пунктирна – закороченим шаром алюмінію товщиною 230 нм.
Рис. 2 8. Криві повільності для ниобата літію YZ зрізу (суцільна крива) і для ізотропного середовища (переривчаста крива) [170]
Більше складний характер ПАХ в порівнянні із плоскими об'ємними хвилями особливо яскраво проявляється в явищі, пов'язаному з відбиттям хвиль. Об'ємна хвиля описується одним хвильовим фронтом, тому, вибравши необхідну частоту, можна домогтися, щоб на плоскому розділі змішання або його похідна (акустична швидкість) були дорівнюють нулю. При цьому умові відбувається повне відбиття об'ємної хвилі від вільної або закріпленої поверхні. Прикладом може служити п'єзоелектричний резонатор у формі пластини.
Для ПАВ характерним є еліптичний рух часток у сагитальній площині. У зв'язку із цим поверхневу акустичну хвилю можна розкласти на дві хвилі: поздовжню й поперечну, поляризовані в сагитальній площини й зсунуті по фазі на 90° (вплив анізотропії середовища враховувати не будемо).
Фазовий зсув приводить до того, що неможливо знайти таку частоту, при якій у певнім місці (наприклад, на ідеальному ребрі) амплітуди обох хвиль виявилися б одночасно рівними нулю або максимальними. Отже, не можна одержати повне відбиття, можливо лише часткове відбиття.
Зсув, що відповідає ПАХ, задовольняє граничній умові нульовому значенню механічної напруги на плоскій поверхні досить далека від ідеального ребра. Однак при нульовій амплітуді хвилі на ребрі й у безпосередній близькості від нього граничні умови не виконуються. Для їхнього виконання необхідно припустити існування об'ємних хвиль поблизу ребра. Це можна
пояснити сприянням деформації еліптичним рухом часток у хвилі, в результаті чого виникає лінійно поляризована хвиля типу об‘ємної хвилі. Наслідком такого ефекту є те, що відбивається лише мала частина ПАХ. Мале значення коефіцієнта відбиття привело до того, що елементі, що здійснюють відбиття ПАХ , більше, ніж елементів, що перетворюють ПАХ. В частині, де стрибком змінюються пружні властивості або граничні умови, частково відбивається також і об‘ємна хвиля. Доцільно припустити, що часткове відбиття відбулося на початку системи координат. Розповсюджені випадки відбиття від сходинки показані на рис.29.
Рис. 29. Ідеалізоване подання стрибкоподібних змін властивостей поверхні, викликаних частковим відбиттям ПАХ: а — сходинка, утворена видаленням самого матеріалу; б — сходинка, утворена нанесенням металевого або діелектричного шару
(Ац — амплітуда падаючої ПАХ, А,— амплнтуда відбитої ПАХ, А, — амплітуда попередньої ПАХ й А „-амплітуда виниклої об'ємної хвилі.)
Відбиття ПАХ можна описати комплексним коефіцієнтом відбиття
Тут Ad = Ао — амплітуда падаючої ПАХ; Аr – Аoе — амплітуда відбитої ПАХ, причому jг-фазове зрушення при відбитті; k -хвильове число, рівне 2 p/l; Го, Гr, Гi відповідно амплітуда, реальна й мнима частини коефіцієнта відбиття. Фазове зрушення, викликаний наявністю об'ємних хвиль у місці стрибкоподібної зміни фізичних величин, як правило, є малою величиною й у першому наближенні їм можна знехтувати, тобто
|Г| = Го = Гг.
Визначення коефіцієнта відбиття ПАХ представляє дуже складне теоретичне завдання. На відміну від коефіцієнта електромеханічного зв'язку коефіцієнт відбиття не можна визначити виходячи тільки із властивостей ПАХ. Теоретично його можна записати у вигляді наступного ряду
де go, gi, gi — коефіцієнти, отримані експериментальним шляхом, h - висота сходинки, l -довжина хвилі ПАХ. При цьому висота сходи величина позитивна, якщо сходинка спрямована нагору. Як правило можна обмежитися лінійною частиною виразу.
Це співвідношення є основним при проектуванні пристроїв з відбивачами ПАХ, оскільки дозволяє, задавшись висотою сходи, передбачити величину коефіцієнта відбиття ПАХ. Коефіцієнт g0 не дорівнює нулю лише у випадку провідного шару й у першому наближенні його можна записати в такий спосіб:
де v_швидкість ПАХ на вільній поверхні, vo — швидкість на металізованій поверхні й gо — коефіцієнт електромеханічного зв'язку. Однак можуть бути відхилення від цього виразу.
У випадку А < 0 (сходинка утворена вибіркою матеріалу або нанесенням діелектричного шару), як правило, |Л| <t 2 і коефіцієнт відбиття пропорційний висоті сходи, тобто Г, = giAA. Для сходинки, спрямованої вниз (А < 0), коефіцієнт відбиття має негативний знак, тобто на такій сходинці ПАХ відбивається з фазовим зсувом 180°.
Для мнимої частини коефіцієнта відбиття дійсне вираження, аналогічне (7.126), однак фізичний зміст має тільки квадратичний член
Через того що коефіцієнт відбиття від однієї елементарної неоднорідності має малу величину, у пристроях на ПАВ використають рефлектори (відбивачі), у яких багато, що відбивають елементів (порядку декількох сотень). Звичайно відбивач реалізується за допомогою системи канавок (рис. 30, а), які формують шляхом травлення, або системи провідних смужок на п'єзоелектричній підкладці (рис. 30, б). Металеві смужки можуть бути або ізольований друг від друга (вільні), або взаємно закорочені. У деяких випадках елементи відбивача створюються у вигляді діелектричних шарів з використанням методу іонної імплантації або дифузії металу.
Рис. 30. Відбивач ПАХ: а - система канавок, б - система смужок
Основними характеристиками рефлектора є довжина d, тобто період і коефіцієнт відбиття.
Тут до,/ і до,-хвильові вектори падаючих і відбитої хвиль, рівні
Вектор km запишемо у вигляді
де По — одиничний вектор, перпендикулярний ребрам рефлектора й спрямований від нього до його входу, а ціле число п — порядок відбиття. Приклади, що ілюструють вираження (7.129) для випадків нормального й кутового падіння, наведені на рис. 7.31. Співвідношення (7.129) є точним лише для відбивача з нескінченним числом елементів. Якщо число елементів кінцеве, то варто визначити напрямок, у якому відбита ПАХ має максимальну амплітуду.
Температурна залежність швидкості ПАХ подібно температурної залежності резонансної частоти резонаторів на об'ємних хвилях температурну залежність швидкості ПАХ виражають за допомогою перших трьох членів статичного ряду
де — різниця значень швидкості ПАХ при температурах 0 й o, a TV"' — температурний коефіцієнт і-го порядку швидкості ПАХ
Через того що швидкість ПАХ є функцією пружних, п'єзоелектричних і діелектричних постійних підкладок, температурний коефіцієнт швидкості ПАХ також буде функцією цих постійних й їхніх температурних залежностей.
При виборі орієнтації підкладки прагнуть, щоб температурний коефіцієнт швидкості ПАХ першого порядку був якнайближче до ноля, а температурні коефіцієнти більше високого порядку як можна меншої величини. І хоча при проектуванні елементів на ПАХ насамперед виходять із температурного коефіцієнта швидкості ПАХ, слід зазначити, що необхідно враховувати й теплове розширення самої підкладки.
при поширенні ПАХ від місця порушення хвилі до місця її приймання частина енергії хвилі губиться (втрати енергії пучка ПАХ). Розрізняють втрати, викликані геометрією, і втрати, викликані загасанням ПАВ. Причинами втрат першого типу є:
1) відхилення напрямку поширення енергії від напрямку фазової швидкості;
2) дифракція пучка ПАХ (рис. 6.18, б), т. з границь пучка й зміна його профілю.
Втрати, пов'язані із загасанням, проявляються зменшенням інтенсивності пучка зі збільшенням відстані від вхідного перетворювача (рис. 6.18, в). На загасання ПАХ впливають наступні фактори:
1) взаємодія з тепловими коливаннями ґрат;
2) розсіювання на нерівностях поверхні;
3) розсіювання на дефектах кристалічних ґрат (дислокаціях, домішках і т.д.);
4) взаємодія поверхні із зовнішнім середовищем,
]
Рис. 31. Відображення втрат енергії пучка за допомогою профілів відносної амплітуди ПАХ, що поширюється між вхідним і вихідним перетворювачами
а — ідеальний випадок; 6 — дифракція пучка; в — дифракція пучка й загасання.
Окремі складові загасання ПАХ різним образом залежать від температури, частоти, геометрії й властивостей середовища (рис.32).
Рис. 32. Залежність втрат від температури
Відповідно до теорії твердого тіла ПАХ можна розглядати (особливо в області високих частот і низьких температур) як поверхневі фонони й пояснювати загасання ПАВ як взаємодія поверхневих фононів з дефектами кристалічних ґрат. Із цієї теорії сліду ст, що загасання фононів ПАХ відбувається аналогічно загасанню об'ємних фононів. Температурні залежності коефіцієнта загасання а дл ПАХ при різній частоті зображені на рис. 6.I9 [191].
В області низьких температур (нижче 10 ДО) коефіцієнт загасання постійний, потім при підвищенні температури різко зростає. При високій температурі (3000С) його залежність від температури слабка. Границя між цими областями залежить від частоти. При низьких температурах головну роль грає розсіювання ПАВ на нерівностях поверхні, примісних атомах і дислокаціях. Загасання не залежить від температури, але залежить від частоти. При переході до більше високих температур починає проявлятися розсіювання на теплових фононах ґрат, і різко зростає (пропорційно четвертого ступеня температури), причому проявляється й частотна залежність. При кімнатній температурі ос росте пропорційно квадрату частоти й слабко залежить від температури.
Інтерес представляє вплив прилягаючого середовища, що складає з напівпровідникового шару, у якому діє постійне електричне поле. У цьому випадку відбувається взаємодія між носіями, що рухаються, зарядів у напівпровіднику й хвилею, що рухається. Якщо швидкість зарядів перевищить швидкість ПАВ, то останні можуть підсилюватися. У літературі описаний ряд успішних спроб посилення ПАХ. Однак поки не досягнуть той результируючий ефект, що дає пасивний елемент на ПАВ з послідовно включеним активним підсилювачем. Тому описані вище активні елементи на ПАВ поки не знаходять практичного застосування.
2.8 Розрахунок порогової чутливості термодатчика
Порогову чутливість термодатчика визначимо як відношення чутливості dТ=0,2 мкс до часу затримки радіолокаційного сигналу РЛС середньої точності до зміни часу ПАХ в лінії затримки DТ=2L / (V kV) довжиною L=10 мм в діапазоні вимірювання температури TВМ
ST = TВМ´dТ/(2L / (V kV))= 0.15´10-3 K
де V =3159 м/с швидкість ПАХ у кварці У-зрізу, kV= –24*10-6 1/К - її термочутливість.
Компенсація впливу невимірюваних параметрів
Однак на вимірювання термодатчику будуть впливати інші невимірювані параметри, як то зміна тиску Р чи превантаження (в тому числі центробіжні та лінійні), перешкоди в радіолокаційному каналі. Для вимірювання та компенсації цих впливів, а також для однозначного визначення досить малопотужного імпульсу відгуку термодатчику на підложці формується декілька відбивачів (рис. 1)
2.9 Розрахунок термодатчика на теплову інерційність
Розділяють дві задачі теплової інерційності:
1. Тепловиділення всередині елементу ЕА (рис.1,а);
2. Вирівнювання температури елементу ЕА із зовнішнім (рис.1,б).
Рис. 32. Динамічні властивості термодатчика
Рис. 33 . Електричний аналог ланки
(аперіодичної першого порядку) з тепловою інерційністю
В випадку 1 всередині елементу масою m і теплоємністю c виділяється потужність Р і температура Q2 зростає до встановленого значення:
,
,
.
де S – поверхня теплоообміну, x– коефіцієнт тепловіддачі, Т – постійна часу.
В випадку 2 в момент часу t1 відбувається стрибок температури Q1 зовнішнього середовища і внутрішня температура Q2 до неї вирівнюється:
,
.
Від t1 до t2 (рис.1,в) формуються температурні градієнти, за час Т – постійну часу – відбувається 70% перехідного процесу. За час 3…5Т перехідний процес вважається майже завершеним.
Довідкові відомості.
Таблиця 7 . Питома теплоємність типових твердих матеріалів
| Тип матеріалу |
Важкі метали (мідь, латунь, залізо) |
Легкі матеріали (алюміній фосфор, слюда) |
Для органічних матеріалів (текстоліт, гетінакс, оргскло) |
| с, Дж/(кг×К) |
400 |
800 |
1200 |
Таблиця 8 . Коефіцієнти тепловіддачі для типових деталей, x , Вт/(м2К)
| Одинична деталь (конденсатор, резистор, транзистор) і одинична плата із ізоляційного матеріалу, розташованого вертикально |
15 |
| Декілька близько розташованих вертикальних плат |
11…12,5 |
| Декілька близько розташованих горизонтальних плат |
6…7 |
| Одинична металічна пластина (пластина радіатора охолодження) |
18…20 |
| Електрична котушка (в залізному сердечнику) |
30 |
Таблиця 9 . Коефіцієнти тепловіддачі корпусу, x , Вт/(м2К)
| Тип корпусу |
Розташування тепловиділяючого елементу |
||
| біля дна |
бокова стінка |
верхня стінка |
|
| Металевий сірий |
10 |
14 |
14 |
| Пластмасовий чорний |
4 |
8 |
10 |
Для ЕА вагою 1…3кг Т=20…30хв., промислових термометрів Т=3…6хв.
Зменшення постійної часу можливо:
1) зменшенням розмірів:
(для металевої нитки Æ25мкм постійна часу 0,8с);
2) примусовим обтіканням збільшити коефіцієнт тепловіддачі:
,
де
- число Рейнольда, V - швидкість повітря.
(при нагріві 200°С для швидкостей потоку 10 і 100 м/с коефіцієнти тепловіддачі 1250 і 3160 Вт/(м2К) і постійні часу термодатчика 15 і 6 мс).
Висновки
В роботі розроблено новий перспективний малогабаритний, за розмірами менший монети, термодатчик на пасивних поверхневих хвилях , який дозволяє вимірювати температуру з пороговою чутливістю 0,2 мсек, запізненням показів (тепловою інерцією) біля 15 сек, що на рівні термодатчиків класичного типу. Однак завдяки невеликій вартості і можливості автономної роботи без додаткових внутрішніх джерел енергії розроблений прилад знайде широке застосування в автомобільній, авіаційній індустрії й індустрії телекомунікацій.
Показано робото здатність термодатчика на пасивних акустичних хвилях. Вибрано серед можливих варіантів побудови в якості базового варіанту побудови прилад на поверхневих акустичних з одним зустрічно-штирьовим перетворювачем та декількома рознесеними відбивачами, сформованими на поверхні кварцової підложки методом фотолітографії.
Вибрано серед інших імпульсний режим опитування термодатчика радіолокаційним методом як найбільш надійний в умовах перешкод проходженню сигналу та найбільш простий для детектування РЛС малої потужності.
В межах роботи узагальнено розробки датчиків на пасивних елементах, визначено основні параметри та розрахункові залежності, які дозволять в подальшому більш детально порівняти існуючі типи пасивних термодатчиків і визначити їх можливості.
СПИСОК ВИКОРИСТАНОЇ ЛІТЕРАТУРИ
1. И.Зеленка. Пьезоэлектрические резонаторы на объемных поверхностных акустических волнах. – М.:Мир, 1990.
2. Малов В.В. Пьезорезонансные датчики. - Москва: Энергоатомиздат – Дания, 1989. -272 с.
3. Датчики. Справочник. Под ред. З.Ю. Готры и О.И. Чайковского. – Львов: Каменяр, 1995.
4. Задачник по кристаллофизике. Н.В. Переломова, М.М. Тагнева. – М.: Наука, 1982.
5. Измерительные преобразователи. Е.С. Полищук. – Киев: Вища школа. Головное изд-во, 1981.
6. Е.С. Левшина, П.В. Новицкий. Электрические измерения физических величин: (Измерительные преобразователи). Учеб. пособие для вузов. – Л.: Энергоатомиздат. Ленингр. отделении, 1983.
7. Машиностроительное черчение: Учебник для студентов машиностроительных и приборостроительных специальностей вузов / Г.П. Вяткин, А.Н. Андреева, А.К. Болтухин и др. Под ред. канд. техн. наук проф. Г.П.Вяткина. – 2-е изд., перераб. и доп. – М.: Машиностроение, 1985.
8. Г.С. Остапенко. Усилительные устройства: Учеб.пособие для вузов. – М.: Радио и связь, 1989.
9. H. Wohltjen et al. 1997. Acoustic Wave Sensor—Theory, Design, and Physico-Chemical Applications, Academic Press, San Diego:39.
10. M. Schweyer et al. 1997. “A Novel Monolithic Piezoelectric Sensor,” Proc Ultrasonics Symposium, Vol. 1:371-374.
11. C. Wold et al. 1991. “Temperature Measurement Using Surface Skimming Bulk Waves,” Proc Ultrasonics Symposium, Vol. 1:441-444.
12. . U.S. Patent No. 11/677664, February 22, 2007. – 13 р.
13. Leonard Reindl . Wireless passive radio sensors / Germany IEI Leibnizstr - Claustral University of Technology. – 6 p.



