| Скачать .docx |
Реферат: Информационные характеристики систем передачи сообщений
БЕЛОРУССКИЙ ГОСУДАРСТВЕННЫЙ УНИВЕРСИТЕТ ИНФОРМАТИКИ И РАДИОЭЛЕКТРОНИКИ
кафедра ЭТТ
РЕФЕРАТ на тему:
« Информационные характеристики систем передачи сообщений »
МИНСК, 2008
Информационные характеристики дискретных сообщений. Краткие теоретические сведения.
Системы передачи дискретной информации – системы, в которых реализации сообщений представляют собой последовательности символов алфавита источника. Если m – объем алфавита источника дискретных сообщений, то совокупность элементарных сообщений (символов)
- алфавит источника. Априорная вероятность появления символа
при независимость его от предыдущих –
.
В общем случае априорная вероятность появления
будет условной:
![]()
, где
- символы, сформированные источником до символа
. Количество информации, которое несет символ
, определяется формулой:
.
Масштабный коэффициент
зависит от выбора единицы измерения количества информации. Если единица количества информации выбирается двоичной, то
и соответственно
(бит)
Основные информационные свойства дискретных сообщений:
1.Свойство аддитивность:
,
где q – количество символов
в сообщении,
а
принимает одно из значений в пределах от 1 до m.
2. Среднее количество информации, приходящейся на один символ источника сообщений, при условном характере априорной вероятности: 
3. Среднее количество информации, приходящейся на один символ источника сообщений, при зависимости вероятности появления очередного символа
только от вероятности появления предыдущего символа
:

4. Среднее количество информации, приходящейся на один символ, при независимости символов источника сообщений:

является определением энтропии источника дискретных сообщений.
5. Максимальная энтропия источника имеет место при независимости и равновероятности символов сообщения (
):
![]()
6. Коэффициент избыточности:
,
где
и
– относительная скорость передачи информации, характеризует возможность оптимизации скорости передаваемой информации.
Устранение избыточности позволяет сократить объем сообщения, а следовательно, повысить скорость передачи информации.
В канале с помехой передаваемая информация частично искажается.

Рис. 1
Как показано на рис. 1, передаваемой сообщение
под влиянием помехи n(t) на выходе канала связи преобразуется в сообщение
. Если дискретный стационарный канал без памяти, то
и длительности символов
на выходе и входе канала одинаковы. Тогда скорость передачи информации как среднее количество информации, получаемое в единицу времени, определяется выражением:
,
где
– частота посылки символов, а
– среднее количество взаимной информации в множестве символов
относительно множества символов
:
![]()
В формуле
– условная энтропия множества символов X при данном множестве Y, определяющая среднее количество потерянной информации из-за влияния помех;
- условная энтропия множества символов Y при данном множестве X, определяющая шумовую энтропию;
- энтропия множества символов Y:
,
,
,
Где 
- вероятность ошибки воспроизведения символа
.
Скорость передачи информации определяется формулой:
(бит/с)
Пропускная способность дискретного канала связи определяется следующим выражением:
,
где ![]()
В каналах без помех
.
Информационные характеристики непрерывных сообщений. Краткие теоретические сведения.
Источник непрерывных сообщений характеризуется тем, что в каждый момент времени
сообщение
может принимать бесконечное множество значений с бесконечно малой вероятностью каждого и них, и, если бы сообщение могло передаваться абсолютно точно без искажений, оно несло бы бесконечное количество информации. Однако на практике при передаче информации всегда имеют место искажения и количество информации, содержащееся в принятом непрерывном сообщении, определяется разностью значений энтропий сообщения до и после получения информации. Эта разность является конечной величиной.
Пусть
- реализация непрерывного сообщения на входе канала связи,
– реализация выходного сообщения;
- одномерная плотность вероятности входных сообщений,
- одномерная плотность вероятности выходных сообщений,
- условная плотность вероятности
при известном
(апостериорная вероятность);
- условная плотность вероятности
при известном
,
- совместная плотность вероятности. Тогда будут иметь место следующие выражения:
1. Энтропия источника непрерывных сообщений:
,
где
- интервал квантования (точность измерения);
2. Дифференциальная энтропия источника непрерывных сообщений:
б,
Определяющая количество информации в битах, приходящейся в среднем на один отсчет.
3. Максимальная дифференциальная энтропия источника непрерывных сообщений:
![]()
Которая имеет место при нормальной плотности распределения случайного процесса:
,
- математическое ожидание случайной величины,
- дисперсия этой величины,
- основание натурального логарифма.
4. Полная средняя взаимная информация:
,
где
- дифференциальная энтропия сообщения
на выходе канала связи:
-
дифференциальная условная энтропия, характеризующая действие шумового процесса.
5. Для аддитивной смеси
при статистической независимости нормальных процессов
и помехи
:
,
,
,
где
и
- соответственно дисперсии процессов
и
.
6. Пропускная способность канала связи для нормально распределенных сообщения и помехи:
, (бит/с)
где
- полоса пропускания канала.
7. Пропускная способность канала связи при
:
, (бит/с)
Где
- спектральная плотность аддитивной помехи.
8. Пропускная способность канала связи при спектральной плотности
гауссовского сигнала
и спектральной плотности
аддитивной гауссовой помехи
определяется:
,
где
- полоса пропускания канала.
9. Скорость передачи информации для гауссовских сигнала и аддитивной помехи:
(бит/с),
где
- эффективная полоса частот, занимаемая информационным сигналом,
.
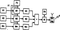
Многоканальные системы передачи информации. Обобщенная
структурная схема, классификация, особенности применения.
Многоканальные системы передачи - которые имеют несколько каналов
передачи информации. Каждый канал приемник - передатчик.

ГКИ - генератор канальных импульсов, УУ - устройство уплотнения, КФ – канальный модулятор.

ФУ - формирующее устройство, М – модулятор, ГН – генератор несущей, ДМК – демодулятор канальный.
В зависимости от видов уплотнения:
1) линейное уплотнение;
2) нелинейное уплотнение;
3) уплотнение логического типа.
4) мажоритарное
5) компенсационное
Соответственно линейное и нелинейное разделение.
При линейном уплотнении - канальные сигналы должны быть линейно независимы. Каждый из этих сигналов не может быть получен из сигналов
этой же системы - ортогональные.
Три вида ортогональности:
1) частотная ортогональность (ЧРК);
2) временная ортогональность (ВРК);
3) структурная ортогональность - кодовая (СУ),(СРК).
Многоканальная РТС ПИ с временным уплотнением канальных сигналов.
Для организации многоканальной передачи по одной линии связи необходимы операция уплотнения каналов на передающей части системы связи и операция разделения на приемной. Информация от нескольких источников передается в многоканальной радиолинии по общему ВЧ-тракту. В результате предварительного преобразования, кодирования выходных сигналов датчика формируются канальные сигналы. Канальные сигналы объединяются по определенному правилу, в результате чего образуется суммарный групповой сигнал (уплотнение).
Два метода объединения: линейный - простое суммирование канальных сигналов, мажоритарный - использование различных функций, применяется для передачи цифровой информации. При линейном уплотнении используются ортогональные сигналы.
На основании т. Котельникова можно передавать всю информацию, содержащуюся в сигнале с ограниченным спектром в виде выборок этого сигнала через равные интервалы времени. Для передачи выборок канал используется не полностью, и поэтому, используя временное разделение, можно передавать несколько сигналов.
В приемнике отсчеты, принадлежащие каждому сигналу выделяются с помощью соответствующих устройств. Частота выборок не меньше 2Фм, Фм– максимальная частота спектра передаваемого сообщения. Если выборку делать с более высокой частотой появятся защитные интервалы.

Величины С1, С2, С3, Сн преобразуются датчиками (Д), вх. сигналы датчиков поступают на первичные модуляторы (М – АИМ, ШИМ, ФИМ, КИМ).
Эти импульсы возникают в заданные моменты времени каждого канала. Работой коммутатора управляет ГТИ.
Такт. Импульсы также подаются на синхронизатор (С), синхроимпульсы должны по какому-либо параметру отличаться от канальных импульсов.
Коммутаторы в приемной и передающей частях должны работать синхронно. В синхронизаторе на приемной стороне синхронизатора. Импульсы отделяются и формируются.Напряжение, используемое для управления коммутатором. Он подключает канальные импульсы к соответстсвующим демодуляторам.
Многоканальная РТС ПИ с частотным уплотнением канальных сигналов.
В системах с ЧРК используются канальные сигналы, частотные спектры которых располагаются в не перекрывающихся частотных полосах. Формирование канальных сигналов при помощи АМ, ЧМ, ФМ, чтобы средние частоты спектров канальных сигналов соответствовали средним частотам отведенных полос каждого канала. Разделение с помощью частотных фильтров.

ГН – генератор несущей, ЛПР – производится выделение группового сигнала с помощью демодулятора.

Ф – фильтра, П – получатель.
Многоканальная РТС ПИ с уплотнением канальных сигналов по форме (кодовое линейное уплотнение).
I——|

Достоинства:
1) высокая потенциальная помехоустойчивость;
2) высокая информационная защищенность;
3) энергетическая скрытность системы;
4) возможно специальное помехоустойчивое кодирование группового сигнала;
5) универсальность.Недостатки:
1) повышенная сложность системы;
2) многоуровневый сигнал сложнее обрабатывается цифровым образом;
3) требуется время для выхода системы в синхронный режим;
4) количество уплотняемых каналов не превышает сотни.
ЛИТЕРАТУРА
1. Охрименко А.Е. Основы извлечения, обработки и передачи информации. (В 6 частях). Минск, БГУИР, 2004.
2. Девятков Н.Д., Голант М.Б., Реброва Т.Б.. Радиоэлектроника и медицина. –Мн. – Радиоэлектроника, 2002.
3. Медицинская техника, М., Медицина 1996-2000 г.
4. Сиверс А.П. Проектирование радиоприемных устройств, М., Радио и связь, 2006.
5. Чердынцев В.В. Радиотехнические системы. – Мн.: Высшая школа, 2002.
6. Радиотехника и электроника. Межведоств. темат. научн. сборник. Вып. 22, Минск, БГУИР, 2004.