| Скачать .docx |
Курсовая работа: Проектирование и синтез дискретных устройств
МПС РФ
ДВГУПС
Кафедра: " Автоматика и телемеханика".
Курсовой проект
На тему: "Проектирование и синтез дискретных устройств".
К.П.2107.021.226.
Выполнил: Садохин Н. В.
Проверил: Годяев А. И.
Дата _________________
Хабаровск
2008 г.
Содержание:
1. Синтез дискретного устройства.
1.1 Структурная схема.
1.2 Расчет дешифратора и индикаторов.
1.3 Синтез счетной схемы.
1.4 Делитель частоты.
2. Проектирование конечного автомата.
2.1 Описание автомата.
2.2 Анализ сигналов и минимизация автомата.
3. Заключение.
4. Приложение.
5. Список литературы.

Структурная схема.
ГТИ - генератор тактовых импульсов.
F/n - делитель частоты.
1. Проектирование дешифратора.
В синтезируемом ДУ дешифратор расшифровывает значение выдаваемой в каждом состоянии счетной схемы кодовой комбинации, преобразуя ее в код, отображаемый на индикаторе в виде шестнадцатиричного числа.
| № |
Кодовая комбинация |
DEC |
Высвеч. Символ. |
Значения функции. |
|||||||||||||||||
| Q4 |
Q3 |
Q2 |
Q1 |
А |
В |
А |
В |
||||||||||||||
| x1 |
x2 |
x3 |
x4 |
x5 |
x6 |
x7 |
x1 |
x2 |
x3 |
x4 |
x5 |
x6 |
x7 |
||||||||
| 1 |
0 |
0 |
0 |
1 |
1 |
0 |
1 |
1 |
1 |
1 |
1 |
1 |
1 |
0 |
1 |
1 |
0 |
0 |
0 |
0 |
0 |
| 2 |
0 |
0 |
1 |
1 |
3 |
0 |
3 |
1 |
1 |
1 |
1 |
1 |
1 |
0 |
1 |
1 |
1 |
0 |
0 |
1 |
1 |
| 3 |
0 |
1 |
0 |
1 |
5 |
0 |
5 |
1 |
1 |
1 |
1 |
1 |
1 |
0 |
0 |
1 |
1 |
0 |
1 |
1 |
1 |
| 4 |
0 |
1 |
1 |
1 |
7 |
0 |
7 |
1 |
1 |
1 |
1 |
1 |
1 |
0 |
1 |
1 |
0 |
0 |
0 |
1 |
0 |
| 5 |
1 |
0 |
0 |
1 |
9 |
0 |
9 |
1 |
1 |
1 |
1 |
1 |
1 |
0 |
1 |
1 |
1 |
0 |
1 |
1 |
1 |
| 6 |
1 |
0 |
1 |
1 |
11 |
0 |
B |
1 |
1 |
1 |
1 |
1 |
1 |
0 |
0 |
1 |
1 |
1 |
1 |
0 |
1 |
| 7 |
1 |
1 |
0 |
1 |
13 |
0 |
D |
1 |
1 |
1 |
1 |
1 |
1 |
0 |
1 |
1 |
1 |
1 |
0 |
0 |
1 |
| 8 |
1 |
1 |
1 |
1 |
15 |
0 |
F |
1 |
1 |
1 |
1 |
1 |
1 |
0 |
0 |
0 |
0 |
1 |
1 |
1 |
1 |
Так как индикатор А постоянно показывает 0, то синтезируем дешифратор только на индикатор В.
Для синтеза дешифратора используем карты Карно.
|
|
00 |
01 |
11 |
10 |
| 00 |
x |
x |
x |
x |
| 01 |
1 |
0 |
1 |
1 |
| 11 |
1 |
1 |
0 |
0 |
| 10 |
x |
x |
x |
x |
![]()
| 00 |
01 |
11 |
10 |
|
| 00 |
x |
x |
x |
x |
| 01 |
1 |
1 |
1 |
1 |
| 11 |
1 |
1 |
0 |
1 |
| 10 |
x |
x |
x |
x |
|
|
00 |
01 |
11 |
10 |
| 00 |
x |
x |
x |
x |
| 01 |
0 |
1 |
1 |
1 |
| 11 |
1 |
0 |
0 |
1 |
| 10 |
x |
x |
x |
x |
|
|
00 |
01 |
11 |
10 |
| 00 |
x |
x |
x |
x |
| 01 |
0 |
0 |
1 |
0 |
| 11 |
0 |
0 |
1 |
1 |
| 10 |
x |
x |
x |
x |
|
|
00 |
01 |
11 |
10 |
| 00 |
x |
x |
x |
x |
| 01 |
0 |
1 |
0 |
1 |
| 11 |
0 |
0 |
1 |
1 |
| 10 |
x |
x |
x |
x |

| 00 |
01 |
11 |
10 |
|
| 00 |
x |
x |
x |
x |
| 01 |
0 |
1 |
0 |
1 |
| 11 |
1 |
1 |
1 |
0 |
| 10 |
x |
x |
x |
x |

| 00 |
01 |
11 |
10 |
|
| 00 |
x |
x |
x |
x |
| 01 |
0 |
1 |
1 |
1 |
| 11 |
1 |
0 |
1 |
1 |
| 10 |
x |
x |
x |
x |
Индикатор А
Индикатор В
3.Счетная схема
Схема предназначена для хранения числа и изменения его под воздействием входных сигналов на единицу или заданную константу.
| № |
t |
t+1 |
T3 |
T2 |
T1 |
||||||
| Q4 |
Q3 |
Q2 |
Q4 |
Q3 |
Q2 |
J3 |
K3 |
J2 |
K2 |
D1 |
|
| 1 |
0 |
0 |
0 |
0 |
0 |
1 |
0 |
x |
0 |
x |
1 |
| 2 |
0 |
0 |
1 |
0 |
1 |
0 |
0 |
x |
1 |
x |
0 |
| 3 |
0 |
1 |
0 |
0 |
1 |
1 |
0 |
x |
x |
0 |
1 |
| 4 |
0 |
1 |
1 |
1 |
0 |
0 |
1 |
x |
x |
1 |
0 |
| 5 |
1 |
0 |
0 |
1 |
0 |
1 |
x |
0 |
0 |
x |
1 |
| 6 |
1 |
0 |
1 |
1 |
1 |
0 |
x |
0 |
1 |
x |
0 |
| 7 |
1 |
1 |
0 |
1 |
1 |
1 |
x |
0 |
x |
0 |
1 |
| 8 |
1 |
1 |
1 |
0 |
0 |
0 |
x |
1 |
x |
1 |
0 |
|
|
00 |
01 |
11 |
10 |
| 0 |
0 |
0 |
x |
x |
| 1 |
0 |
1 |
x |
x |
|
|
00 |
01 |
11 |
10 |
| 0 |
x |
x |
0 |
0 |
| 1 |
x |
x |
1 |
0 |
|
|
00 |
01 |
11 |
10 |
| 0 |
0 |
x |
x |
0 |
| 1 |
1 |
x |
x |
1 |
|
|
00 |
01 |
11 |
10 |
| 0 |
x |
0 |
0 |
x |
| 1 |
x |
1 |
1 |
x |
|
|
00 |
01 |
11 |
10 |
| 0 |
1 |
1 |
1 |
1 |
| 1 |
0 |
0 |
0 |
0 |
4. Делитель частоты
В связи с тем, что частота тактового генератора равна 210Гц, нам необходимо понизить ее до приемлемого для снятия показаний уровня.
| Элементная база. |
|
Часть 2
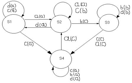
Синтез конечн ого автомата
Задание: а- 11 Базис - " Или-не"
в- 10 Триггеры - RS
с- 01 Серия – любая
![]() |
d- 00 Схема - 1
| Сост-я |
Входные сигналы |
Выходные сигналы |
||||||
| a |
b |
c |
d |
a |
b |
с |
d |
|
| S1 |
S2 |
S1 |
S4 |
S1 |
ay |
by |
ay |
ay |
| S2 |
S2 |
S2 |
S2 |
S1 |
ay |
cy |
by |
ay |
| S3 |
S4 |
S3 |
S4 |
S3 |
cy |
by |
cy |
by |
| S4 |
S2 |
S4 |
S4 |
S4 |
cy |
ay |
ay |
ay |
| S1 |
S2 |
S3 |
S4 |
|
| S1 |
b,d |
a |
- |
c |
| S2 |
d |
a,b,c |
- |
- |
| S3 |
- |
- |
b,d |
a,c |
| S4 |
- |
a |
- |
b,c,d |
Минимизация по входным сигналам:
а S1 |-- S2 ; b S1 |-- S1 ; c S1 |-- S4 ; d S1 |-- S1 ;
a S2 |-- S2 ; b S2 |-- S2 ; c S2 |-- S2 ; d S2 |-- S1 ;
a S3 |-- S4 ;b S3 |-- S3 ; c S3 |-- S4 ; d S3 |-- S3 ;
a S4
|-- S2
;b S4
|-- S4
;c S4
|-- S4
;d S4
|-- S4
. ![]()
; ![]()
;
; ![]()
.
.
Минимизация по выходным сигналам:
a S1 |--ay ; b S1 |--by ; c S1 |--ay ; d S1 |--ay ;
a S2 |--ay ; b S2 |--cy ; c S2 |--by ; d S2 |--ay ;
a S3 |--cy ; b S3 |--by ; c S3 |--cy ; d S3 |--by ;
a S4
|--cy
; b S4
|--ay
; c S4
|--ay
; d S4
|--ay
.![]()


| Элементная база. |
|
Заключение
Целью данного курсового являлось научиться проектировать цифровые автоматы и их отдельные узлы. При расчете этого курсового я научился делать необходимые расчеты для синтеза конечных автоматов и счетных схем.
Список литературы
1. Годяев А. И. "Проектирование дискретных устройств".
2. Годяев А. И. "Методические указания по автоматике и телемеханике".
3. Лекции Крамаренко Е. Р.
