| Скачать .docx |
Реферат: Распространение радиоволн в тропосфере
Тропосферой называется приземная область атмосферы, простирающаяся до высоты примерно 10—15 км. Тропосфера неоднородна как в вертикальном направлении, так и вдоль земной поверхности, кроме того, ее электрические параметры меняются при изменении метеорологических условий. Тропосфера влияет на распространение земных волн и обеспечивает распространение так называемых тропосферных волн. Распространение тропосферных волн связано с рефракцией (искривлением траектории волны) в неоднородной тропосфере, а также с рассеянием и отражением радиоволн от неоднородностей тропосферы.
Распространение радиоволн в тропосфере. Рефракция радиоволн. Земные радиоволны распространяются вдоль поверхности Земли в тропосфере. Проводимость тропосферы s для частот, соответствующих радиоволнам (за исключением миллиметровых волн), практически равна 0; диэлектрическая проницаемость e и, следовательно, показатель преломления n являются функциями давления и температуры воздуха, а также давления водяного пара. У поверхности Земли n » 1,0003. Изменение e и n с высотой зависит от метеорологических условий. Обычно e и n уменьшаются, а фазовая скорость u растет с высотой. Это приводит к искривлению радиолучей (рефракция радиоволн, рис. 9). Если в тропосфере под углом к горизонту распространяется волна, фронт которой совпадает с прямой ав (рис. 9), то вследствие того, что в верхних слоях тропосферы волна распространяется с большей скоростью, чем в нижних, верхняя часть фронта волны обгоняет нижнюю и фронт волны поворачивается (луч искривляется). Т. к. n с высотой убывает, то радиолучи отклоняются к Земле. Это явление, называется нормальной тропосферной рефракцией, способствует Распространение радиоволн за пределы прямой видимости, т.к. за счёт рефракции волны могут огибать выпуклость Земли. Однако практически этот эффект может играть роль только для УКВ, поскольку для более длинных волн преобладает огибание в результате дифракции. Метеорологические условия могут ослаблять или усиливать рефракцию по сравнению с нормальной.
Тропосферный волновод. При некоторых условиях (например, при движении нагретого воздуха с суши над поверхностью моря) температура воздуха с высотой не уменьшается, а увеличивается (инверсии температуры). При этом преломление в тропосфере может стать столь сильным, что вышедшая под небольшим углом к горизонту волна на некоторой высоте изменит направление на обратное и вернётся к Земле. В пространстве, ограниченном снизу Землёй, а сверху как бы отражающим слоем тропосферы, волна может распространяться на очень большие расстояния (волноводное распространение радиоволн). Так же как в металлических радиоволноводах, в тропосферных волноводах могут распространяться волны, длина которых меньше критической (lкр » 0,085 d3/2 , d -высота волновода в м, lкр в см). Толщина слоев инверсии в тропосфере обычно не превышает ~ 50-100 м, поэтому волноводным способом могут распространяться только дециметровые, сантиметровые и более короткие волны.
Рассеяние на флуктуациях e. Помимо регулярных изменений e с высотой, в тропосфере существуют нерегулярные неоднородности (флуктуации) e, возникающие в результате беспорядочного движения воздуха. На них происходит рассеяние радиоволн УКВ диапазона. Т. о., область пространства, ограниченная диаграммами направленности приёмной и передающей антенн и содержащая большое число неоднородностей e, является рассеивающим объёмом. Рассеяние приводит к флуктуациям амплитуды и фазы радиоволны, а также к распространению УКВ на расстояния, значительно превышающие прямую видимость (рис. 10). При этом поле в точке приёма В образуется в результате интерференции рассеянных волн. Вследствие интерференции большого числа рассеянных волн возникают беспорядочные изменения амплитуды и фазы сигнала. Однако среднее значение амплитуды сигнала значительно превышает амплитуду, которая могла бы быть обусловлена нормальной тропосферной рефракцией.
Поглощение радиоволн. Тропосфера прозрачна для всех радиоволн вплоть до сантиметровых. Более короткие волны испытывают заметное ослабление в капельных образованиях (дождь, град, снег, туман), в парах воды и газах атмосферы. Ослабление обусловлено процессами поглощения и рассеяния. Каждая капля воды обладает значительной проводимостью и волна возбуждает в ней высокочастотные токи. Плотность токов пропорциональна частоте, поэтому значительные токи, а следовательно, и тепловые потери, возникают только при распространении сантиметровых и более коротких волн. Эти токи вызывают не только тепловые потери, но являются источниками вторичного рассеянного излучения, ослабляющего прямой сигнал. Плотность потока рассеянной энергии обратно пропорциональна l4, если размер рассеивающей частицы d < l, и не зависит от l, если d >> l. Практически через область сильного дождя или тумана волны с l < 3 см распространяться не могут. Волны короче 1,5 см, помимо этого, испытывают резонансное поглощение в водяных парах (l = 1,5 см; 1,35 см; 0,75 см; 0,5 см; 0,25 см) и кислороде (l = 0,5 см и 0,25 см). Энергия распространяющейся волны расходуется в этом случае на ионизацию или возбуждение атомов и молекул. Между резонансными линиями имеются области малого поглощения.
При распространении радиоволн в свободном пространстве амплитудное значение напряженности электрического поля сигнала Етсв на расстоянии r от передающей антенны базовой станции определяется по формуле [4]:

где P - излучаемая мощность передающей антенны; Dпрд – коэффициент направленного действия передающей антенны; F- характеристика направленности антенны в горизонтальной и вертикальной плоскостях.
Формула показывает, что напряженность поля сигнала в месте приема уменьшается пропорционально расстоянию r вследствие "потерь передачи" в свободном пространстве. При распространении радиоволн в тропосфере потери напряженности поля будут определяться тангенсом угла потерь:

где сигма, эпсилон – соответственно удельная проводимость и диэлектрическая проницаемость тропосферы, а лямбда-длина волны.
Дисперсионные свойства приземного пласта тропосферы определяются ее газовым составом, температурой, давлением и влажностью.

Влияние неоднородности среды на распространение радиоволн
"Нормальная тропосфера" с параметрами Т=288 К, р=0,1013 кПа и влажностью 60% для диапазона УКВ является диэлектриком, в котором радиоволны распространяются практически без потерь. Однако, реальная тропосфера не является однородной по своему составу. В приземном пласте тропосферы есть водные пары (туман, дождь) или взвешенные частицы (дым, пыль). Это обусловлюет уменьшение напряженности поля через тепловые потери на движение молекул газа. Величина поглощения оценивается коэффициентом потерь в зоне неоднородности:

где эпсилон – коэффициент ослабления напряженности поля сигнала в зоне неоднородности; альфа – постоянная затухания напряженности поля; r - длина зоны неоднородности.
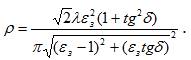
С увеличением длины зоны неоднородности rзн поглощение энергии радиосигнала увеличивается. Особенно ощутимы потери для спектров УВЧ (на которых работает мобильная связь). Влияние тропосферы на распространение радиоволн оказывается не основным. Более важное влияние оказывает подстилающая поверхность, трасы радиосвязи. Грунт земли включает сухой грунт и водные растворы солей, которые определяют важные расхождения дисперсионных параметров: диэлектрической проницаемости и удельной проводимости земли. Вследствие этого на трассе радиосвязи могут появляться эффекты отражения и поглощения радиоволн. Условия распространения радиоволн определяются тангенсом угла потерь в земле. При низкоподнятых антеннах базовых станций (до 20м) поглощения энергии электромагнитного поля в земле увеличивается. Коэффициент тепловых потерь в земле определяется коэффициентом Ван дер Поля [4]:
![]()
где

При высокоподнятых антеннах потери в земле оцениваются коэффициентом А. Б. Введенського:
![]()
где
![]()
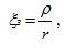
С учетом влияния неоднородной среды распространения радиоволн и подстилающей поверхности, выражение амплитудного значения напряженности поля сигнала в месте приема принимает вид:

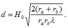
Из-за влияния коэффициентов эпсилон напряженность поля сигналов в месте приема радиоволн существенным образом снижается. Реальные трассы радиосвязи мобильных систем имеют участки подстилающей поверхности с разными значениями эпсилон, сигма. Однако, вследствие сравнительно небольших расстояний между БС и МС значения параметров могут браться усредненными. Обычно берутся значение сигма, эпсилон такие, которые отвечают параметрам "влажного грунта сигма=0.1..0,011), эпсилон=(15...30). Таким образом, подстилающая поверхность на трассах мобильной радиосвязи для диапазона СВЧ является полупроводником. Причинами потерь напряженности поля радиосигналов в месте приема является также рельеф местности. Поскольку антенны базовых станций находятся в непосредственной близости от земли, то на трасах радиосвязи появляются крупномасштабные объекты, которые экранируют приемные антенны от передающих. Чем больше пересеченность местности, тем большее влияние она оказывает на условия прямой видимости станций. Ослабление поля сигнала при этом зависит не только от величины просвета трассы радиосвязи, но и от расстояния до объекта, который экранирует (рис. 2, а). Параметры трассы радиосвязи H, ra, rb, а также длина волны лямбда определяют значение обобщенного параметра потерь d:

Обобщенный параметр d определяет размеры той части пространства между БС и МС, в которой распространяется основная часть энергии электромагнитного поля [4]. Если величина экрана не будет превышать радиус R первой зоны Френеля (рис. 2, б), то напряженность поля сигнала в месте приема будет практически отвечать напряженности поля при открытой трассе. Если же величина экрана будет больше радиуса первой зоны Френеля, то несмотря на формально закрытую трассу, ослабление напряженности поля сигнала будет определяться в зависимости от дифракционного параметра d.

Экранирование MS на трассе радиосвязи
Статистические исследования трасс мобильной радиосвязи в диапазонах УКВ показывают, что объектами, которые отражают, могут быть отдельные участки земли, а также отдельные объекты для которых выполняется условие tg(сигма)>1.).
Отраженные лучи при этом будут иметь разные разности хода, так как расстояния от вторичных излучателей к приемной радиостанции будут разными. Таким образом, на входе радиоприемника даже при экранировании регулярного луча появится радиосигнал, образованный путем интерференционного добавления отраженных сигналов. Поскольку в процессе функционирования системы MS постоянно перемещаются, то изменяется и количество объектов, которые отражают, с разной эффективностью отражения и разностью хода лучей. Вследствие этого, отраженный сигнал на входе приемника MS будет постоянно колебаться (флуктуировать).
Выводы:
При определении зоны покрытия должны учитываться все особенности пересеченной местности с целью максимального исключения теневых участков возможных трасс радиосвязи, затухания в осадках, отражение, интерференция, влияние неоднородностей. В зоне покрытия радиосвязь должен обеспечиваться практически для любой точки нахождения MS. Это достигается не только координатным размещением BS, но и выбором высот поднятия их антенн, которые преобладают для данной местности и учитывают основные направления трасс радиосвязи.
Использование антенн направленного действия, диаграммы направленности которых частично перекрываются, дает возможность формировать круговую диаграмму направленности BS. Кроме того, предполагается возможность изменения излучаемой мощности и ее автоматическое регулирование в каждому отдельному субканале.
Литература
1. Крук Б.И., Попатонопуло В.Н. Телекоммуникационные системы и сети: Учебное пособие. В 3 томах. Том 1 – Современные технологии – М.: Горячая линия-Телеком, 2003. – 647 с.
2. Громаков Ю.А. Стандарты и системы подвижной радиосвязи. 5-е изд. - М.: Эко-Трендз, 1998
3. Кловский Д.Д. Теория передачи сигналов. – М.: Связь, 1973.
4. А.А. Зеленский, В.Ф. Солодовник. Системы радиосвязи – Учеб.пособие. Ч.3.-Харьков: Нац. аэрокосм. ун-т "Харьк. авиац. ин-т", 2003.–90с.