| Скачать .docx |
Курсовая работа: Расчет связного передатчика 27 2 МГц
Министерство образования Российской Федерации
УРАЛЬСКИЙ ГОСУДАРСТВЕННЫЙ ТЕХНИЧЕСКИЙ УНИВЕРСИТЕТ
КАФЕДРА "РАДИОПЕРЕДАЮЩИЕ УСТРОЙСТВА"
КУРСОВАЯ РАБОТА
"РАСЧЕТ СВЯЗНОГО ПЕРЕДАТЧИКА 27,2 МГц"
Екатеринбург 2003
Дано:
Передатчик с частотной модуляцией.
1. Мощность P1 = 2,5 Вт.
2. Частота f = 27,2 МГц.
3. EП = 12 В.
4. Антенна - штырь 1,5 м.
5. Ф2 = 25 дБ.
- составить структурную схему передатчика;
- рассчитать режим оконечной ступени;
- рассчитать согласующее устройство оконечной ступени с антенной;
- пояснить назначение всех элементов схемы.
1. Структурная схема передатчика
![]() |
Умножитель
Рис. 1 структурная схема передатчика
УНЧ - усилитель низкой частоты;
УЧ - управитель частоты;
АГ - автогенератор (кварцевый);
У - усилитель;
Умножитель частоты на 2;
ОУ - оконечный усилитель;
СЦ - согласующая цепь.
2. Расчет режима оконечной ступени
2 .1 Расчет коллекторной цепи
Паспортные данные:
rнас = 1,73 Ом;
Е'б = 0,7 В;
Iк о доп = 0,8 А.
Определим коэффициент использования выходного напряжения (Uвых )

![]()
Возьмем угол отсечки (q) равным 900 , тогда a1 (q) = 0,5.
Определим амплитуду напряжения коллектора в граничном режиме:
Uкгр = Ек *xгр ;
Uкгр = 12*0,86 = 10,32 (В).
Найдем первую гармонику тока коллектора:

Определим постоянную составляющую коллекторного тока:

Определим подводимую мощность P0 .
P0 = Eк *Iк0 ,
P0 = 12*0,306 = 3,672 »3,7 (Вт)
Определим мощность, рассеиваемую в виде тепла:
Pк1 = P0 - P1 ,
Pк1 = 3,7 - 2,5 = 1,2(Вт) < Pдоп = 1/2Uкэдоп *Iк0доп = 26 (Вт)
Определим коэффициент полезного действия (h)

Определим сопротивление коллектора (Rк )

2.2 Расчет базовой цепи
Определим сопротивление резистора Rд , включенного по РЧ между базой и эмиттером, которое определяется по следующей формуле:
Rд »b0 /2pfТ CЭ
Rд » 24/2*3,14*350*106 *124*10-12 » 88(Ом)
Значение сопротивления Rбк резистора, включенного по РЧ между коллектором и базой:
Rбк = b0 /2pfТ Cк
Rбк = 24/2*3,14*350*106 *12*10-12 » 909,46 (Ом)
Рассчитаем амплитуду тока базы:

где c = 1 + g1 (q)2pfТ Cк Rк
c = 1 + 0,5*2*3,14*350*106 *12*10-12 *21,5 » 1,28

![]()
Максимальное обратное напряжение на эмиттерном переходе:


Постоянные составляющие базового и эмиттерного токов:
Iб0 = I к0 /b 0
Iб0 = 0,306/24 = 0,013(А);
Iэ0 = Iк0 + Iб0
Iэ0 = 0,306 + 0,013 = 0,319 (А).
Напряжение смещения на эмиттерном переходе:

![]()
Рассчитаем элементы схемы:
![]()
LвхОЭ = 4*10-9 + 4*10-9 /1,28 » 9,12 (нГн);

Входное сопротивление транзистора (Zвх = rвх + jXвх ):

Входная мощность:

Коэффициент усиления по мощности транзистора:
kp = P1 /Pвх
kp = 2,5/0,09=27,78.
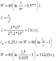
3. Расчет штырьевой антенны
3.1 Из конструктивных соображений выбираем радиус штыря:
r = 5*10-3 (м)
3.2 Находим волновое сопротивление антенны:

3.3 Входное сопротивление:

4 . Расчет согласующего устройства оконечной ступени с антенной
4.1 Расчет трансформатора сопротивления
Емкость С22 предназначена для разделения по постоянной составляющей тока Iк0, реактивное сопротивление ХС22 должно удовлетворять соотношению:
ХC 22 << Rое = 4Rк , (ХС22 = Rое /[50…100])
XC 22 = (wC22) -1 = 4Rк /100 Þ
С22 = 100/(4*21,5*2*3,14*27,2*10-6 ) = 6,8 (нФ);
XL 2 >> Rое = 4Rк, (ХL2 = Rое *[50…100])
XL 2 = wL2 = 4Rк *100 Þ
L2 = 4*21,5*100/(2*3,14*27,2*10-6 ) = 50,3 (мкГн).
Волновое сопротивление:
ZС = 2*21,5 = 43 (Ом).
Ток в линии:

Требуемая индуктивность линии:
![]()
где a1 , и сходя из допустимой неравномерности АЧХ трансформатора на f =27,2 МГц, равен 0,1.
Uпр = Uк = 10,32 (В).
![]()
Исходя из волнового сопротивления линии выбираем кабель КВФ-37:
ZC = 37 Ом;
Спогонная = 120 пФ/м;
b = 2,56 мм (внешний диаметр кабеля);
с = 0,78 мм (внутренний диаметр).
Геометрическая длина линии:
![]()
где q < 18…54 при ZC = ZC треб (берем q = 30),
e - диэлектрическая проницаемость диэлектрика (фторопласт e = 2,1).
![]()
Для данного уровня мощности, из условия обеспечения добротности Q не ниже 10 на частоте f, выбираем феррит марки 1000 НМ:
mн = 1000;
Q = 20 при B = 0,01 Тл.
Выбираем многовитковую конструкцию на кольцевом ферритовом сердечнике с типоразмерами:
D = 45 мм;
d = 28 мм;
h = 12 мм.
Средний диаметр феррита:
Dср = 0,5(D + d),
Dср = 3,65 (мм).
Максимальная магнитная индукция на рабочей частоте:
![]()
где P'ф - допустимые удельные тепловые потери в феррите (P'ф £ 0,3…1,5 Вт/см2 ).
![]()
Выберем Bf = 15*10-3 Тл.
V = pDср S,
V =3,14*3,65*(0,5*1,2*1,7)=11,7 (см3 ).

V > Vmin
Число витков:

Уточняем Lпр.расч :

pd = 3,14*2,8 = 8,8 (см),
wb = 10*0,256 = 2,56 (см),
следовательно, все витки помещаются на феррит.

Удельные тепловые потери в феррите:

Мощность потерь в феррите:

4.2 Расчет колебательного контура
Для определения номиналов элементов (С23 , L3 ) колебательного контура пересчитаем сопротивление антенны в контур следующим образом:

Рис. 2 Пересчёт сопротивления антенны в контур
Сопротивление на зажимах контура равно 4Rк , добротность контура из конструктивных соображений примем равной 100.
![]()
Общая емкость контура равна:
![]()
Коэффициент включения равен:
![]()
Характеристическое сопротивление контура в резонансе:


Далее находим индуктивность контура:

Приведем конструктивный расчет индуктивности L3 :
- диаметр провода катушки:

- число витков:

- электрическая прочность катушки:
а) напряжение между соседними витками:
Uв = 2Uк/N
Uв = 2*10,32/3 » 6,9 (В).
b) напряженность поля между витками:
E = Uв/(g - d),
E = 6,9/(1,5*2,26- 2,26) » 6,1 (В/мм) < Eдоп = 250 - 300 (В/мм).
Библиографический список
1. ГЕНЕРИРОВАНИЕ И ФОРМИРОВАНИЕ РАДИОСИГНАЛОВ: Методические указания к курсовому проектированию по дисциплине “Устройства генерирования и формирования радиосигналов” /Л.И. Булатов, Б.В. Гусев. Екатеринбург: Изд-во УГТУ, 1998.
2. "Проектирование радиопередатчиков": Учеб. пособие для вузов/В.В. Шахгильдян, М.С. Шумилин, В.Б. Козырев и др.; Под ред. В.В. Шахгильдяна. - 4 -е изд., перераб. И доп. - М.: Радио и связь, 2000. -656 с.: ил.
3. РАСЧЕТ И ПРОЕКТИРОВАНИЕ РАДИОПЕРЕДАЮЩИХ УСТРОЙСТВ: Методические указания к курсовому проектированию по дисциплине “Устройства формирования сигналов” /Л.И. Булатов, Б.В. Гусев. Екатеринбург: Изд-во УГТУ, 1997. 31 с.
4. М.С. Шумилин, В.Б. Козырев, В.А. Власов Проектирование транзисторных каскадов передатчиков. Учеб. пособие для техникумов. М.: Радио и связь, 1987. - 320 с.: ил.
