| Скачать .docx |
Реферат: Тонкопленочные конденсаторы и индуктивности
СОДЕРЖАНИЕ
ВВЕДЕНИЕ……………………………………………………………..……3
1. ТОНКОПЛЕНОЧНЫЕ КОНДЕНСАТОРЫ …………………………4
1.1 Расчет тонкопленочных конденсаторов без подстроечных секций….8
1.2 Расчет гребенчатых конденсаторов…………………………………..13
1.3 Расчет тонкопленочного конденсатора повышенной точности……14
1.4 Добротность тонкопленочных конденсаторов………………………17
2. ПЛЕНОЧНЫЕ ИНДУКТИВНОСТИ ………………………………..20
2.1 Исходные данные для расчета………………………………………...20
2.2 Расчет пленочных катушек индуктивности………………………….22
Приложение 1………………………………………………………………26
Приложение 2………………………………………………………………27
Приложение 3………………………………………………………………28
ЗАКЛЮЧЕНИЕ…………………………………………………………….29
ЛИТЕРАТУРА……………………………………………………………..30
ВВЕДЕНИЕ
При конструировании современной радиоэлектронной аппаратуры используются новые разработки в области микроэлектроники и нанотехнологии. Но вопрос получения и использования тонких пленок до сих пор актуален, т.к. на их основе разрабатываются гибридно-пленочные интегральные микросхемы.
Тонкопленочные элементы применяются не только в гибридных, но и в некоторых полупроводниковых микросхемах, например, аналоговых СВЧ диапазона на арсениде галлия. В кремниевых цифровых БИС используются резистивные слои поликристаллического кремния. В СВЧ диапазоне также используются тонкопленочные конденсаторы с емкостями порядка десятых долей пикофарады. В этом же диапазоне находят применение гребенчатая структура конденсатора, плоские прямоугольные или круглые пленочные индуктивные элементы.
В данной работе рассматриваются вопросы проектирования и расчета таких пленочных элементов, как конденсаторы и индуктивности.
Первая глава содержит описание различных конструкций тонкопленочных конденсаторов, методику расчетов конденсаторов без подстроечных секций и конденсаторов повышенной точности. В ней также обоснован выбор материала для диэлектрических пленок тонкопленочных конденсаторов.
Во второй главе представлена методика расчета различных пленочных индуктивных элементов.
1. ТОНКОПЛЕНОЧНЫЕ КОНДЕНСАТОРЫ
Конденсаторы являются широко распространенными элементами пленочных микросхем. По конструктивному признаку тонкопленочные конденсаторы (ТПК) можно разделить на три группы: однослойные, многослойные и гребенчатые.
Большинство характеристик ТПК (величина номинала, стабильность, рабочее напряжение, температурная и временная стабильность, частотные свойства, добротность, полярность, надежность и др.) зависят от выбранных материалов и технологии изготовления.
Материал, применяемый для изготовления диэлектрических слоев, должен иметь хорошую адгезию к материалам подложки и обкладок, не вступать с ними в химические реакции. Диэлектрическая пленка должна быть достаточно плотной, иметь высокую электрическую прочность, малые диэлектрические потери, незначительную величину температурного коэффициента линейного расширения (ТКЛР), сравнимую с ТКЛР подложки, иметь высокую диэлектрическую проницаемость и не разлагаться при нагревании. Лучше других этим требованиям удовлетворяют характеристики диэлектриков, приведенных в таблице «Основные характеристики диэлектрических материалов тонкопленочных конденсаторов». [Приложение 1]
Кроме материалов, приведенных в этой таблице, для изготовления ТПК могут применяться окислы тантала, двуокись титана, титанат бария и др. Эти материалы имеют большие значения ε, чем окись кремния SiO или окись германия GeO и на их основе можно изготовлять ТПК большой емкости. Однако из-за больших диэлектрических потерь добротность таких конденсаторов низка, в связи с чем их можно применять только в низкочастотных цепях и цепях постоянного тока. ТПК с диэлектриком из титаната бария, кроме того, имеют большое значение ТКЕ. Все большее применение для изготовления ТПК находят окислы редкоземельных металлов: лантана, иттрия и др. Для обеспечения наименьших потерь на высоких частотах, обкладки ТПК чаще всего напыляют из материалов с низким электрическим сопротивлением. Материал обкладок должен легко испаряться, иметь низкую подвижность атомов при образовании пленки и невысокую энергию испаренных частиц (во избежание диффузии и внедрения атомов металла в диэлектрик).
Практика показала, что для нанесения обкладок ТПК наилучшим материалом является алюминий, применение которого обеспечивает более высокий процент выхода годных ТПК по сравнению с другими металлам. Это объясняется сравнительно низкой температурой испарения алюминия и невысокой подвижностью его атомов на поверхности подложки. Удельное поверхностное сопротивление алюминиевой пленки достаточно мало и при ее толщине 2500-5000 A находится в интервале 0,2-0,06 Ом/квадрат. Это обеспечивает высокую добротность ТПК.
Рекомендуется одновременно с изготовлением обкладок ТПК наносить и тонкопленочные проводники. При этом ускоряется и упрощается техпроцесс изготовления микросхем и сокращается расход алюминия.
Следует помнить, что при температуре выше 180°С в алюминиевых пленках образуются игольчатые кристаллы, способные в ряде случаев проколоть тонкую диэлектрическую пленку. Поэтому температуру подложки и термообработки нельзя выбирать слишком высокой.
Использование многослойных тонкопленочных структур, хотя и позволяет увеличить удельную емкость ТПК, ограничено тем обстоятельством, что с ростом числа слоев увеличивается сложность технологического процесса изготовления конденсаторов, увеличивается процент брака и снижается их надежность.
Конденсаторы с малой величиной емкости рекомендуется проектировать в виде двух пересекающихся проводящих полосок, разделенных слоем диэлектрика.
Желательно,чтобы все конденсаторы, расположенные на одной подложке, были изготовлены на основе одной диэлектрической пленки.
Нижняя обкладка ТПК должна выступать за край верхней не менее чем на 200 мкм, а диэлектрик - не менее чем на 200 мкм за край нижней обкладки. Выводы обкладок ТПК в местах коммутации с другими элементами должны выступать за слой диэлектрика не менее чем на 500 мкм.
Для повышения точности и надежности ТПК необходимо выбирать наиболее простую форму обкладок. Суммарная площадь, занимаемая ТПК на микроплате, не должна превышать 2 см2 , минимальная площадь ТПК равна 0,5 х 0,5 мм2 .
Емкость пленочного конденсатора определяется по формуле
(1.1)
где d - толщина диэлектрика, см; S - площадь перекрытия верхней и нижней обкладок, см2 , она называется активной площадью конденсатора; ε0 - электрическая постоянная вакуума; ε0 = 8,854·10-12 Ф/м; ε - относительная диэлектрическая проницаемость материала диэлектрика.
Емкость на единицу площади называется удельной емкостью конденсатора С0
(1.2)
Конструкция пленочного конденсатора определяется площадью S (возможные варианты конструкции показаны на рис. 1.1).
При S ≥ 5 мм2 используется конструкция рис. 1.1,а, у которой площадь верхней обкладки меньше, чем нижней.
При 1 ≤ S ≤ 5 мм2 используется конструкция, представляющая собой пересечение пленочных проводников (рис. 1.1, б).
При 0,1 ≤ S ≤ 1 мм2 используются конструкции, представляющие собой последовательное соединение конденсаторов или конденсатор с диэлектриком – подложкой (рис. 1.1, в, г).
При S<0,1 мм2 используется гребенчатая конструкция (рис. 1.1, д), расчет емкости проводится по эмпирической формуле (1.10).

Рис.1.1 . Разновидности конструкций тонкопленочных конденсаторов:
а – с активной площадью перекрытия обкладок S>5 мм2 ; б – с S = 1– 5 мм2 ;
в, г – с S<1 мм2; д – гребенчатая; е – в виде двух параллельно расположенных
проводящих пленок; 1 – диэлектрик; 2 – нижняя обкладка; 3 – верхняя
обкладка; 4 – подложка
1.1. Расчет тонкопленочных конденсаторов без подстроечных секций
Исходными данными для расчета ТПК являются следующие параметры:
- номинальная величина емкости ТПКС, пФ;
- диэлектрическая проницаемость ε;
- рабочее напряжение на ТПК Uраб , В;
- допустимая относительная погрешность емкости γС доп , %;
- удельная емкость С0 , пФ/см2 ;
- абсолютные производственные погрешности изготовления размеров верхней обкладки ∆l и ∆b, мм;
- погрешность установки и совмещения масок ∆ly , мм;
- максимальная температура окружающей среды t, °C;
- предполагаемая длительность работы микросхемы Т, час.
Проектирование однослойных ТПК следует начинать с выбора материала диэлектрической пленки (см. Приложение 1). Практика показывает, что диэлектрические пленки толщиной 2000 – 3000 A и менее, нередко оказываются не сплошными, и ТПК на их основе являются ненадежными элементами. Многие конденсаторы с такой толщиной диэлектрика после изготовления оказываются негодными из-за замыкания обкладок.
Минимальная толщина диэлектрического слоя рассчитывается по формуле
![]()
, (1.3)
где Кз – коэффициент запаса электрической прочности ТПК и обычно равен 2.4, Епр – электрическая прочность материала диэлектрика, В/см.
В связи с этим, в тех случаях, когда значение d, полученное на основе вышеприведенной формулы, оказывается меньше 3000 A, за расчетные значения толщины пленки диэлектрика принимается величина d ≥ 3000 A.
Суммарная относительная погрешность емкости конденсатора определяется
по формуле
(1.4)
где
- относительная погрешность удельной емкости, характеризующая ее воспроизводимость, зависит от материала и погрешности толщины диэлектрика;
- относительная погрешность активной площади конденсатора, зависящая от точности геометрических размеров, формы и площади верхних обкладок;
- температурная погрешность, которая зависит от ТКС материала диэлектрика;
- относительная погрешность, обусловленная старением пленок конденсатора, зависит от материалов. Обычно она не бывает выше 2-3%.
°С)
,
где S, L, В - соответственно площадь, длина и ширина верхней обкладки;
- минимальна, если обкладки имеют форму квадрата. Если форма отклоняется от квадрата,
увеличивается.
Для учета этих отклонений используют коэффициент формы обкладок
КФ = L / B. ( 1.5 )
Тогда относительная погрешность
при ∆L=∆B определяется по формуле
(1.6)
Для обеспечения заданной точности емкости необходимо выполнение условия
≤
доп
, где
(1.7)
Из (1.5) и (1.6) следует, что при выбранном из топологических соображений значении коэффициента формы, площадь верхней обкладки равна
(1.8)
Если в (1.7) выполняется равенство, то получаем выражение для удельной
емкости
(1.9)
В частном, наиболее характерном случае, когда Кф = 1 (т.е. обкладки квадратной формы), приведенные выражения (1.6), (1.7) и (1.8) упрощаются



На основании выше приведенных рассуждений, рекомендуется следующий порядок расчета тонкопленочного конденсатора.
1. Выбирают материал диэлектрика по рабочему напряжению Uраб в соответствии с данными таблицы [Приложение 1]. Из нее определяют ε, tg δ, Епр , αс (ТСК).
2. Вычисляют температурную погрешность
°С)
где Тmax - максимально допустимая температура.
3. Определяют относительную погрешность активной площади конденсатора
![]()
4. Рассчитывают минимальную толщину диэлектрика, исходя из необходимости обеспечения электрической прочности
Dmin = ( K3 · Uраб )/ Епр
где К3 - коэффициент запаса.
5. Определяют удельную емкость конденсатора, исходя из необходимости
обеспечения его электрической прочности
С0 эл = ( 0,0885· ε )/ d
6. Определяют удельную емкость конденсатора, исходя из требуемой точности его изготовления

7. Выбирают минимальное значение удельной емкости С0 , учитывая электрическую прочность и точность изготовления
С0 ≤ min { С0 эл , С0 точн }
8. Определяют коэффициент, учитывающий краевой эффект
К = 1 при ( С / C0 ) ≥ 5 мм2
К = 1,3 – 0,06 · ( С / C0 ) при 1 ≤ ( С / C0 ) < 5 мм2
9. Вычисляют площадь верхней обкладки
SВО = ( С / C0 ) · К
10. Определяют размеры верхней обкладки конденсатора
LВ
= BВ
=
Размеры LВ и ВВ округляют до величины, кратной шагу координатной сетки.
11. Определяют размеры нижней обкладки конденсатора
LН = ВН = LВ + 2q ,
где q - величина перекрытия обкладок.
12. Определяют размер диэлектрика конденсатора
LД = ВД = LН + 2f,
где f - величина перекрытия нижней обкладки и диэлектрика,
13. Рассчитывают площадь конденсатора на подложке
S = SД = LД ·BД
На основании полученных результатов выбирают конструкцию пленочного конденсатора (см. рис. 1.1). При необходимости вместо квадратной формы обкладок используют прямоугольную форму. Для этого задаются одной из сторон конденсатора, рассчитывают коэффициент формы обкладок и вычисляют размеры обкладок прямоугольной формы.
1.2. Расчет гребенчатых конденсаторов
Если расчетная величина активной площади ТПК меньше 1 мм2 , рекомендуется конструировать гребенчатый пленочный конденсатор, внешний вид которого показан на рис. 1.2.

Рис. 1.2. Гребенчатый конденсатор
Емкость такого конденсатора (пФ) в основном состоит из паразитной емкости, обусловленной краевым эффектом, и определяется по эмпирической формуле
С = εр βl , ( 1.10 )
где β – коэффициент, зависящий от ширины пленочных проводников и расстояния между ними, определяется по графику [Приложение 2];
l – длина совместной границы проводников, см;
εp – расчетное значение относительной диэлектрической проницаемости:
для конденсатора, не имеющего защитного покрытия,
,
для конденсатора, покрытого защитным слоем,
![]()
где εп – относительная диэлектрическая проницаемость материала подложки;
1.3. Расчет тонкопленочного конденсатора повышенной точности
Если допуск на номинал емкости
мал, а величины
,
и
и относительно велики, то величина
может оказаться отрицательной. Это значит, что при изготовлении ТПК может быть большой процент брака. При положительных, но очень малых значениях
величина S
2
может оказаться слишком большой, а величина C0
макс
– малой, что невыгодно с точки зрения миниатюризации ТПК.
В этих случаях целесообразно проектировать ТПК с регулировочными секциями (рис. 1.3).
Отсоединение секций у конденсатора, изображенного на рис. 1.3,а, позволяет уменьшать его емкость. Подсоединение или отсоединение секций ТПК, изображенного на рис. 1.3,б, позволяет изменять емкость как в сторону увеличения, так и уменьшения.
Для конструктивного расчета подстраиваемых ТПК необходимо знать минимальное и максимальное значения емкости.
Их можно определить из выражений
(1.11)
(1.12)
где относительные погрешности выражены в процентах. В процессе настройки номинал емкости обязательно должен попасть в диапазон Смин – Смакс.

Рис. 1.3. Тонкопленочный конденсатор с подстраиваемыми секциями уменьшения.
Шаг подгонки, равный емкости одной секции, должен быть не больше поля допуска ∆С = Смакс -Смин .
Число подстраиваемых секций можно определить из отношения
(1.13)
Максимальная площадь основной части верхней обкладки S осн. макс определяется по формуле
, (1.14)
где Со макс – максимальная удельная емкость
величина Со вычисляется по формуле (1.2).
При Кф = 1размеры верхней обкладки определяются из соотношения
(1.15)
Площадь одной подстроечной секции равна
,
(1.16)
где
;

S осн.мин = Восн.мин L осн.мин ;
Восн.мин =В - ∆В;
L осн.мин = L -∆ L .
Дальнейшее конструирование заключается в рациональном расположении подстроечных секций на одной или двух сторонах верхней обкладки. Расстояние между секциями и их ширина выбирается исходя из топологических соображений с учетом технологических ограничений. Высота секции вычисляется по формуле
(1.17)
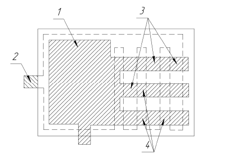
Чтобы не допустить повреждения диэлектрика, которое может произойти при подгонке номинала конденсатора, изображенного на рис. 1.3, иногда применяют другую конструкцию регулируемого ТПК (рис.1.4) с так называемыми «матричными» секциями.
В местах перекрещивания полосок, принадлежащих обкладкам 1 и 2, образуются подстроечные секции конденсатора 3, которые можно отсоединить разрывом перемычек 4.

Рис. 1.4. Тонкопленочный конденсатор с матричными подстраиваемыми
секциями
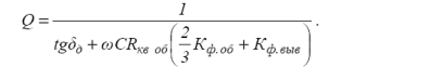
1.4. Добротность тонкопленочных конденсаторов
О добротности ТПК на рабочей частоте можно судить по величине угла потерь tg δ или обратной ей величине, называемой добротностью Q
(1.18)
Потери энергии в ТПК складываются из следующих составляющих:
- потерь энергии в диэлектрических слоях: в, основном, диэлектрическом слое ТПК, в подложке, в защитном слое;
- потерь энергии в металлических элементах ТПК: обкладках, выводах конденсатора.
В связи с этим эквивалентную схему ТПК можно представить в виде последовательного соединения емкости без потерь C , эквивалентного сопротивления диэлектрических потерь r э. д и эквивалентного сопротивления диэлектрических потерь в металлических элементах конденсатора r э. м (рис. 1.5 ).

Рис. 1.5. Эквивалентная схема ТПК
Тангенс угла потерь можно представить в виде суммы
tg δ = tg δд + tg δм ,
где tg δд – тангенс угла потерь в диэлектрических материалах;
tg δм – тангенс угла потерь в металлических элементах ТПК.
Значения tg δд для некоторых диэлектрических материалов приведены в таблице [Приложение 1]. Величина tg δм может быть вычислена по формуле
tg δ = ω С rэ.м , ( 1.19 )
где ω = 2 πf – круговая частота (f – рабочая частота, Гц);
С – емкость конденсатора, Ф;
r э.м – эквивалентное сопротивление потерь переменному току в обкладках и выводах rэ.м = rэ.об + rэ.выв ,
Сопротивление выводов ТПК определяется выражением
r э.выв = Rкв.выв Кф.выв ,
а эквивалентное сопротивление обкладок ТПК переменному току можно определить как
r э. об = 2/ 3 R, ( 1.20 )
где R – сопротивление одной обкладки конденсатора постоянному току (Ом), вычисляемое по формуле R = R кв.об Кф.об .
Формула (1.20) справедлива, если выполняется условие
ωRC ≤ 0,04 ,
при котором распределение тока в обкладках подчинено линейному закону.
После преобразований формула (1.18) может быть представлена в виде
(1.21)
При выводе формулы (1.21) предполагается, что обкладки и выводы ТПК изготовлены из одного материала, по единой технологии и имеют одинаковую толщину, т.е. выполняется условие
Rкв об = Rкв выв .
В диапазоне частот 10–150 МГц для определения добротности ТПК емкостью 50–1000 пФ с диэлектриком из моноокиси кремния существует эмпирическая формула
(1.22)
где f – рабочая частота, МГц, С – емкость ТПК, пФ.
Она применима, если удельная емкость Со находится в пределах 500
1000 пФ/см2
, а удельное сопротивление материала обкладок не превышает 0,1 Ом/квадрат, что характерно для алюминиевых обкладок, толщиной не менее 300
500 нм.
2. ПЛЕНОЧНЫЕ ИНДУКТИВНОСТИ
Изготовление катушек индуктивности для гибридных пленочных микросхем представляет большие трудности. Наибольшее распространение в мегагерцовом диапазоне частот получили плоские спиральные катушки рис 2.1. [Приложение 3].Ограниченные размеры подложек пленочных микросхем и конечная ширина проводящей полоски не позволяют изготовить плоские однослойные пленочные катушки с индуктивностью более 5–7 мкГн. Это означает, что наиболее реальным является изготовление микросхем с колебательными контурами, резонансная частота которых соответствует нескольким десяткам мегагерц.
Методы увеличения индуктивности плоских спиральных катушек, основанные на нанесении ферритовых пленок, позволяют увеличить индуктивность катушек лишь на 10–40%, но значительно усложняют технологический процесс их изготовления.
Различные схемные эквиваленты индуктивности, в которых используются активные элементы, пока не нашли широкого применения из–за зависимости их параметров от частоты и температуры.
2.1. Исходные данные для расчета
Исходными данными для расчета являются параметры:
- величина индуктивности – L;
- величина добротности – Q;
- рабочая частота – f ;
- ориентировочный размер подложки.
По ним выбираются:
- форма катушки, ее внутренний диаметр Dвн, который зависит от размеров внутренней контактной площадки и, как правило, выбирается равным 0,5 мм;
- материал проводника катушки;
- материал подложки;
- способ изготовления катушки;
- способ получения фото оригинала.
В результате расчетов необходимо определить:
- шаг спирали – t;
- ширину витка – b;
- толщина витка – d;
- наружный размер спирали Dнар определяемый из соотношения Dвн/Dнар=0,4 для круга, Dвн/Dнар= 0,362 для квадрата.
- число витков – N.
При проектировании пленочных катушек индуктивности нужно учитывать следующие положения:
1. Главным фактором, определяющим индуктивность одно витковой петли является площадь, заключенная в плоскости петли.
2. Для заданной площади кольцеобразная петля соответствует наименьшей длине проводника и, следовательно, наиболее высокой добротности.
3. При условии, что связь между витками достаточно сильная, индуктивность катушки возрастает пропорционально квадрату числа витков.
4. Поперечные размеры проводника катушки слабо влияют на ее индуктивность и существенно влияют на добротность.
5. При габаритных одинаковых размерах индуктивность квадратной катушки примерно на 12% больше, чем круглой, а добротность ее на 10% ниже.
2.2. Расчет пленочных катушек индуктивности
Расчет пленочных катушек индуктивности производится в следующей последовательности:
1. Выбирается внутренний размер катушки Dвн. Из технологических соображений его не следует брать меньше 2 мм.
2. Определяется шаг спирали по формуле
(2.1)
где L – индуктивность катушки, мкГн;
Dвн – внутренний диаметр катушки, мм;
К – коэффициент, зависящий от отношения Dвн/Dнар, определяется по графику (рис. 2.2).
3. Из условия d ≤ (2 - 4) dC определяется толщина проводника катушки d .
Здесь d C – толщина слоя скин – эффекта в мм, рассчитываемая по формуле
,
где λ – длина волны, см
;
К1 – коэффициент, учитывающий материал пленки:
для серебра К1 =0,37 ;
для меди К1 =0,39 ;
для алюминия К1 =0,51 .
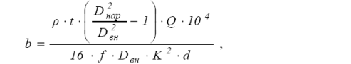
4. Определяется ширина витка, при которой получается заданная добротность катушки
(2.2)
где b – ширина витка, мм;
ρ – удельное объемное электрическое сопротивление материала проводника, Ом·см;
t – шаг спирали, мм;
D вн , D нар – внутренний и внешний размеры катушки, мм;
f – частота, МГц;
K – коэффициент, определяемый из графика рис. ;
d – толщина проводника катушки, мм.
Так как формула (2.2) выведена без учета влияния скин–эффекта, то ширину витка, рассчитанную по этой формуле, следует увеличить и выбирать равной (1,5–2)b для d = (2–4)d C .
Если новое значение ширины (b ′) получится больше t , следует, оставляя прежним внутренний размер спирали D вн и задаваясь шагом спирали t > b ′ , из формулы (2.1) определить внешний размер спирали D нар , а затем по формуле (2.2) определить ширину витков b .

Рис. 2.2. Зависимость коэффициента К от размеров пленочной катушки

Рис. 2.3. Влияние плоских металлических поверхностей на индуктивность (а)
и добротность (б): 1– алюминиевая пленка на частотах 20–100 МГц;
2, 3 – латунный лист на частотах 100 и 200 МГц
5. Определяется число витков по формуле
,
где t – шаг спирали.
Расчет плоской прямоугольной спиральной катушки сводится к расчету круглой с эквивалентным наружным диаметром:
Здесь A и B – габаритные размеры прямоугольной спиральной катушки.
При расчете и конструировании пленочных катушек индуктивности необходимо учитывать влияние близлежащих металлических поверхностей (стенок корпуса, подложек с нанесенными пленками) на индуктивность и добротность.
Это влияние проявляется в уменьшении L и Q . Зависимость индуктивности и добротности плоских катушек, расположенных на расстоянии h от металлической поверхности, приведена на рис. 2.3, где L макс и Q макс – величины индуктивности и добротности при h→ ∞ .;
L и Q – величины индуктивности и добротности при конечном значении h .
Вычисленные при расчете электрической схемы L и Q должны быть перед конструктивным расчетом катушки индуктивности увеличены с учетом размагничивающего влияния металлических поверхностей в соответствии с экспериментальными данными, приведенными на рис. 2.3.