| Скачать .docx |
Реферат: Промислова електроніка
Міністерство освіти і науки України
Індустріальний технікум Дон ДТУ
МЕТОДИЧНІ РЕКОМЕНДАЦІЇ
до виконання лабораторних робіт
з дисципліни «Промислова електроніка»
для студентів спеціальності:
5. 090609 “Монтаж і експлуатація електроустаткування підприємств та цивільних споруд”
Алчевськ
2008
Укладач Коваленко К.В. – викладач електротехнічних дисциплін
Рецензент Колесник С.В - викладач вищої категорії
Затверджено О.М. Присяжнюк – голова методичної ради на засіданні методичної ради
Розглянуто і схвалено на засіданні циклової
комісії електротехнічних дисциплін
Протокол №____
від “___”_________ 20__ р.
Голова комісії _________Л.І. Уманська
зміст
Вступ
Лабораторна робота № 1 «Дослідження напівпровідникового діоду»
Лабораторна робота № 2 «Дослідження біполярного транзистора»
Лабораторна робота № 3 «Дослідження напівпровідникового тиристора»
Лабораторна робота № 4 «Дослідження роботи фоторезистора»
Лабораторна робота № 5 «Дослідження характеристик підсилювача»
Лабораторна робота № 6 «Дослідження операційного підсилювача»
Лабораторна робота № 7 «Дослідження мультивібраторів»
Лабораторна робота № 8 «Дослідження логічних інтегральних схем»
Лабораторна робота № 9 «Дослідження малопотужних випрямлячів і згладжуючих фільтрів»
Лабораторна робота № 10 «Дослідження тиристорних керованих випрямлячів»
Література
Інструкція з охорони життєдіяльності під час проведення лабораторних робіт
Вступ
Для раціонального виконання лабораторної роботи учбову групу слід розділити на дві підгрупи по 12-15 чоловік в кожній. Підгрупа ділиться на учбові бригади з двох-трьох чоловік в кожній. Бригада виконує роботу при максимальній участі в ній всіх членів. Кожний учень повинен бути в курсі всіх питань, передбачених роботою.
За наявності в лабораторії достатньої кількості робочих місць, обладнаних необхідними приладами, апаратами і машинами, рекомендується лабораторні роботи проводити так званим фронтальним методом, коли вся учбова підгрупа виконує одну і ту ж роботу, відразу після проходження відповідної теми за програмою.
Лабораторні роботи слід проводити за затвердженим графіком відповідно до робочого плану викладача. Завдання до лабораторної роботи слід видавати за декілька днів до її проведення. Це дозволить студентам підготуватися до лабораторної роботи заздалегідь, і прийшовши в лабораторію, вони вже ясно уявлятимуть собі об’єм і зміст роботи, основні теоретичні обґрунтування, правила, закони, і т.п.
Домашня підготовка до виконання кожної лабораторної роботи включає повторення теоретичного матеріалу за даною темою, ознайомлення з порядком виконання лабораторної роботи. На стандартному бланку зі штампом студент підготовляє звіт, де записує устаткування, зміст роботи, та обробку результатів вимірювань та обчислень, викреслює принципові електричні схеми, заготовлює таблиці для внесення в них результатів вимірювань та розрахунків під час проведення роботи.
В лабораторії, приступаючи до виконання роботи, необхідно розташувати на робочому столі або панелях контрольно-вимірювальні прилади. Перед зборкою електричної схеми слід ознайомитися з технічними даними приладів, апаратів, електричних машин, що використовуються в даній роботі.
При перевірці схеми необхідно переконатися в надійності контактів в місцях приєднання до приладів, апаратів і машин і в правильному початковому положенні рукояток регулюючих приладів та вимикачів.
Перед включенням підготовленої до випробуванням електроустановки при відсутності напруги стрілки всіх контрольно-вимірювальних приладів повинні бути на нульових відмітках шкал. У разі потреби положення стрілок приладів треба установити на нульове показання.
Вмикання зібраної схеми допустиме тільки після перевірки її викладачем або лаборантом.
В процесі виконання показники контрольно-вимірювальних приладів учнів заносять в підготовлені звіт, а після закінчення роботи, до розбирання схеми дані представляються викладачу для контрольної перевірки. По вказівці викладача схема розбирається, а її елементи (прилади, апарати, провідники і ін.) забираються в місця їх зберігання.
Звіти виконаних робіт виконуються на готових бланках. Звіт повинен включати: тему і мету роботи, устаткування, зміст роботи з таблицями і схемами, обробку результатів вимірювань та обчислень і висновок за роботою.
Розрахунково-графічну роботу і оформлення звіту студенти можуть виконувати дома. Викладачу пред'являють оформлений звіт для перевірки, та після опитування студента за темою лабораторної роботи, вона зараховується.
ЛАБОРАТОРНА РОБОТА №1
Тема: Дослідження напівпровідникового діоду
Мета роботи: ознайомлення з основними параметрами германієвих та кремнієвих діодів, а також зняти їх вольт-амперну характеристики
Прилади та устаткування: джерело живлення 36 В; випрямний міст; мілівольтметр М82 (0-3000 мВ, клас 0,5); міліамперметр; мікроамперметр; реостат; напівпровідникові діоди; сполучні дроти.
Теоретичні обґрунтування
Напівпровідникові діоди - це НП прилади, виготовлені на основі двошарових НП структур і які використовують властивості р-п переходу.
Широко розповсюджені випрямні діоди, дія яких базується на використанні вентильних властивостей р-п переходу.
Ці діоди призначені для випрямлення змінного струму низької частоти.
ВАХ випрямного діода показана на рисунку 1.

Рисунок 1 – ВАХ випрямного діода
Основними параметрами випрямних діодів є:
- граничний прямий струм діода Іпр – максимально допустиме середнє значення струму через діод у прямому напрямку за визначених умов охолодження, у сучасних діодів Іпр = (0,1 ÷ 2200) А;
- максимально допустимий прямий струм діода (імпульсний) Іпр max , становить (10 ÷ 50)Іпр ;
- прямий спад напруги Uпр , тобто середнє значення напруги на діоді при граничному прямому струмі Іпр , для діодів з кремнію становить (0,6 ÷ 0,8) В;
- максимально допустима зворотна напруга Uзв max , що дорівнює максимально допустимому амплітудному значенню зворотної напруги, яке не призводить до виходу з ладу приладу за визначених умов охолодження, Uзв max = (50 ÷ 3000) В.
Виготовляються випрямні діоди переважно із кремнію (у перспективі – із арсеніду галію, як більш термостійкого).
Порядок виконання роботи
1. Ознайомитися з технічними даними вимірювальних приладів та обладнання.
2. Скласти схему (рис.2) та показати її керівнику.

Рисунок 2 – Схема дослідження випрямного діоду
3. Зняти вольт-амперну характеристику діоду при прямій напрузі Іпр =f(Uпр ). Для цього потрібно міняти реостатом напругу, зробити 5-6 замірів та занести результати вимірів у таблицю 1.
Таблиця 1
| № п/п |
Результати замірів |
|||
| Uпр , мВ |
Іпр , мА |
Uзв , мВ |
Ізв , мкА |
|
4. Зняти вольт-амперну характеристику діоду при зворотній напрузі Ізв =f(Uзв ). Для цього потрібно змінити полярність на діоді VD2, повзунком реостату повільно змінювати напругу, зробити 5-6 замірів та занести результати вимірів у таблицю 1.
Обробка результатів вимірювань і обчислень
1. По отриманим даним визначити коефіцієнт випрямного діоду при однаковій напрузі:
К=Іпр /Ізв .
2. По даним таблиці 1 побудувати вольт-амперну характеристику діода.
Контрольні питання
1. Що таке випрямний діод?
2. Що таке вольт-амперна характеристика діода?
3. Охарактеризуйте будову діода.
4. Поясніть пряму та зворотну гілку ВАХ діода.
5. Які типи діодів Ви знаєте?
6. Поясніть принцип роботи випрямного діоду.
7. Де використовуються випрямні діоди?
8. Якими параметрами характеризується діод?
9. З яких матеріалів виготовляють діоди?
10. Як позначаються діоди на схемах?
Техніка безпеки
1. Уважно прочитати та вивчити інструкцію лабораторної роботи.
2. Пам’ятати, що в лабораторії існує небезпечна для людини висока напруга.
3. Зібрати схему згідно з інструкцією до лабораторної роботи, уникнути перехрещення проводів і надати викладачу для перевірки.
4. Вивчити значення кожного вимірювального приладу, шкалу відмітку, тощо.
5. Вмикати напругу на лабораторну роботу тільки після дозволу викладача і особистій його присутності.
6. Перед тим, як зробити будь-які зміни у схемі, її необхідно вимкнути з джерела електромережі.
7. Після зроблених у схемі змін, вона повинна бути перевірена керівником лабораторних занять і тільки після дозволу керівника підключити до електромережі.
8. Треба пам’ятати, якщо у ланцюзі буде малий опір , то може виникнути великий струм. Це призведе до виходу з ладу приборів та стенду.
9. Слідкувати за межами вимірювання приборів.
10. У разі нещасного випадку негайно вимкнути напругу мережі, для чого потрібно натиснути на аварійну кнопку, розміщену на передній панелі лабораторного столу, а потерпілому надати першу допомогу і викликати швидку медичну допомогу за телефоном 03.
ЛАБОРАТОРНА РОБОТА №2
Тема: Дослідження біполярного транзистора
Мета: дослідження вхідних та вихідних характеристик транзистора, який включили по схемі зі спільним емітером
Прилади та устаткування|обладнання|: 1) універсальний стенд УЄ-100; 2) панель транзистора.
Теоретичні обґрунтування
Транзистором називається напівпровідниковий прилад з двома електроно-дірковими переходами та трьома виводами, який призначений для підсилювання та генерування електричних сигналів. В залежності від порядку чергування областей транзистори можуть бути двох типів: p-n-p та n-p-n.
Один зовнішній прошарок транзистора називається емітером, він створює струм транзистора. Інший зовнішній прошарок називають колектором, він збирає заряди, які надходять з емітера. Середній прошарок – база. На перший перехід подають пряму напругу, на другий – зворотну.
Параметри транзистора можна визначити по його вхідних і вихідних характеристиках. Вхідні характеристики транзистора, який включений за схемою зі спільним емітером, являють собою залежність струму бази від напруги між базою і емітером Iб =f(UБЕ ) при UКЕ =const. Використовуючи вхідну характеристику транзистора, можна визначити вхідний опір Rвх для певного положення робочої точки А. Для цього при постійній напрузі UКЕ задають приріст струму бази ΔIб і визначають зміну напруги, що утворюється при цьому на базі ΔUБЕ (рис.1).

Рисунок 1 – Вхідні характеристики транзистора
Вихідні характеристики транзистора, включеного за схемою з загальним емітером, являють собою залежність колекторного струму від напруги між колектором і емітером Iк =f(UКЕ ) при Iб =const. Використовуючи вихідні характеристики транзистора, можна визначити коефіцієнт підсилення для певного положення робочої точки. Для цього при постійній напрузі UКЕ задаються значеннями струму бази ΔIб і визначають зміну струму, що утворюється при цьому на колекторі ΔIк (рис.2).

Рисунок 2 – Вихідні характеристики транзистора
Порядок виконання роботи
1. Ознайомитися з технічними даними вимірювальних приладів та обладнання.

Рисунок 3 – Схема для дослідження транзистора
2. Установити панель транзистора, яку досліджують.
3. Зняти сім’ю вхідних характеристик транзистора IБ =f(UБЕ ) при UКЕ =const. Для цього потенціометром R2 установити напругу на колекторі і підтримувати його незмінним, а потенціометром R1 змінювати напругу на базі-емітер та знімати струм IБ . Дані занести в таблицю 1.
Таблиця 1
| № п/п |
UБЕ , В |
IБ , мкА |
||
| UКЕ =0 В |
UКЕ =1 В |
UКЕ =2 В |
||
4. Зняти сімейство вихідних характеристик транзистора IК =f(UКБ ) при IБ =const. Для цього потенціометром R1 установити струм на базі і підтримувати його незмінним, а потенціометром R2 змінювати напругу на колекторі-емітері та знімати струм колектора IК . Дані занести в таблицю 2.
Таблиця 2
| № п/п |
UКЕ , В |
IК , мА |
||
| IБ1 =0,5 мкА |
IБ1 =1 мкА |
IБ1 =1,5 мкА |
||
Обробка результатів вимірювань і обчислень
1. По отриманим даним таблиці 1 побудувати сімейство вхідних характеристик транзистора IБ =f(UБЕ ) при UКЕ =const.
2. По отриманим даним таблиці 2 побудувати сімейство вихідних характеристик транзистора IК =f(UКБ ) при IБ =const.
3. По побудованим характеристикам визначити параметри транзистора:
коефіцієнт підсилювання β=ΔIК /ΔIБ ;
вхідний опір Rвх =ΔUБЕ /ΔIб .
Контрольні питання
1. Який прилад називається транзистором|цеп|?
2. Яку будову має транзистор?
3. Пояснити принцип роботи транзистора.
4. Як знімають вхідні та вихідні характеристики транзистора?
5. Які схеми включення транзисторів Ви знаєте?
6. Які типи транзисторів Ви знаєте?
7. Якими параметрами характеризується транзистор?
8. Які параметри можна визначити по вхідним та вихідним характеристикам?
9. В яких основних режимах може працювати транзистор?
10. Де використовуються транзистори?
Техніка безпеки
1. Уважно прочитати та вивчити інструкцію лабораторної роботи.
2. Пам’ятати, що в лабораторії існує небезпечна для людини висока напруга.
3. Зібрати схему згідно з інструкцією до лабораторної роботи, уникнути перехрещення проводів і надати викладачу для перевірки.
4. Вивчити значення кожного вимірювального приладу, шкалу відмітку, тощо.
5. Вмикати напругу на лабораторну роботу тільки після дозволу викладача і особистій його присутності.
6. Перед тим, як зробити будь-які зміни у схемі, її необхідно вимкнути з джерела електромережі.
7. Після зроблених у схемі змін, вона повинна бути перевірена керівником лабораторних занять і тільки після дозволу керівника підключити до електромережі.
8. Треба пам’ятати, якщо у ланцюзі буде малий опір , то може виникнути великий струм. Це призведе до виходу з ладу приборів та стенду.
9. Слідкувати за межами вимірювання приборів.
10. У разі нещасного випадку негайно вимкнути напругу мережі, для чого потрібно натиснути на аварійну кнопку, розміщену на передній панелі лабораторного столу, а потерпілому надати першу допомогу і викликати швидку медичну допомогу за телефоном 03.
ЛАБОРАТОРНА РОБОТА № 3
Тема: Дослідження напівпровідникового тиристора
Мета: дослідити роботу керованого тиристора
Прилади та устаткування: 1) універсальний стенд УЭ-100; 2) панель тиристора.
Теоретичні обґрунтування
Тиристор (від грецького thyra – двері + резистор) – це напівпровідниковий прилад, що має багатошарову структуру і ВАХ якого має ділянку з негативним опором. Його використовують як перемикач струму.
Тиристори бувають двоелектродні (або діодні) – диністори та триелектродні (або тріодні) – триністори.
Диністор має чотиришарову структуру. У нього є три р-п переходи, причому два крайні з них зміщені у прямому напрямку, а середній – у зворотному.
Із зростанням напруги на диністорі зростає і струм через диністор І .
При деякому значенні струму, що називається струмом вмикання диністора Івм , вихідний струм мав би зрости до нескінченності, якби не обмежуюча дія опору навантаження R н . Надалі прилад утримується в увімкненому стані за рахунок внутрішнього позитивного зворотного зв'язку.
Для вимикання приладу (переведення його у непровідний стан) струм у його колі повинен стати меншим за струм утримання.
Диністори не знайшли широкого розповсюдження (використовувались для фіксування досягнення напругою певного значення). Зате тріодний тиристор ( триністор), який є керованим перемикаючим приладом і частіше називається просто тиристором, став одним з основних елементів енергетичної електроніки. Тиристор – це чотиришаровий перемикаючий прилад, у якого від однієї з базових зон зроблено вивід – керуючий електрод.
Подаючи між керуючим електродом та катодом пряму напругу на р-п перехід, що працює у прямому напрямку, можна регулювати значення напруги вмикання Uвм . Цю головну властивість тиристора демонструє його ВАХ, наведена на рис. 1.
Якщо подати на керуюче коло імпульс прямої напруги тиристор вмикається і залишається увімкненим після зняття сигналу керування.
Вимкнути тиристор можна лише зниженням струму у його анодному колі нижче струму утримання Іут .

Рисунок 1 – ВАХ тиристора
Порядок виконання роботи
1. Ознайомитися з технічними даними вимірювальних приладів та обладнання.

Рисунок 2 – Схема для дослідження тиристора
2. Установити в стенд панель тиристора, принципова схема наведена на рис.2.
3. Установити резистором R1 напругу Uкер рівну нулю.
4. Резистором R2 змінюючи напругу U2 , слідкувати за зміною струму I за амперметром. Дані занести в таблицю 1.
Таблиця 1
| Uкер = |
Uкер = |
||
| I, А |
U2 , В |
I, А |
U2 , В |
4. Установити резистором R1 напругу Uкер на керуючому електроді.
5. Резистором R2 змінюючи напругу U2 , слідкувати за зміною струму I за амперметром. Дані занести в таблицю 1.
Обробка результатів вимірювань і обчислень
По отриманим даним побудувати вольт-амперну характеристику тиристора і порівняти її з теоретичною.
Зробити висновки по роботі.
Контрольні запитання
1. Що таке динистор?
2. Що таке тиристор?
3. Поясніть принцип роботи тиристора.
4. Яку структуру має тиристор?
5. Як можна керувати вмиканням тиристора?|виміру|
6. Якими параметрами характеризується тиристор?
7. Де застосовуються тиристори?
8. Як вимикається тиристор у колах постійного та змінного струму?
9. Які спеціальні типи тиристорів Ви знаєте?
10. Чи можна керувати вмиканням динистора?
Техніка безпеки
1. Уважно прочитати та вивчити інструкцію лабораторної роботи.
2. Пам’ятати, що в лабораторії існує небезпечна для людини висока напруга.
3. Зібрати схему згідно з інструкцією до лабораторної роботи, уникнути перехрещення проводів і надати викладачу для перевірки.
4. Вивчити значення кожного вимірювального приладу, шкалу відмітку, тощо.
5. Вмикати напругу на лабораторну роботу тільки після дозволу викладача і особистій його присутності.
6. Перед тим, як зробити будь-які зміни у схемі, її необхідно вимкнути з джерела електромережі.
7. Після зроблених у схемі змін, вона повинна бути перевірена керівником лабораторних занять і тільки після дозволу керівника підключити до електромережі.
8. Треба пам’ятати, якщо у ланцюзі буде малий опір , то може виникнути великий струм. Це призведе до виходу з ладу приборів та стенду.
9. Слідкувати за межами вимірювання приборів.
10. У разі нещасного випадку негайно вимкнути напругу мережі, для чого потрібно натиснути на аварійну кнопку, розміщену на передній панелі лабораторного столу, а потерпілому надати першу допомогу і викликати швидку медичну допомогу за телефоном 03.
ЛАБОРАТОРНА РОБОТА №4
Тема: Дослідження роботи фоторезистора
Мета: зняття вольт-амперної характеристики та енергетичної характеристики фоторезистора
Устаткування: 1) універсальний стенд УЭ-100; 2) панель фоторезистора
Теоретичні обґрунтування
Фоторезистором називають напівпровідниковий фотоелектричний прилад з внутрішнім фотоефектом, в якому використовується явище фотопровідності, тобто зміни електричної провідності напівпровідника при його освітленні.
Якщо до неосвітленого фоторезистора підключити джерело живлення, то в електричному ланцюзі з'явиться невеликий струм, званий темновим струмом, обумовлений наявністю в неосвітленому напівпровіднику деякої кількості вільних носіїв заряду.
При освітленні фоторезистора струм в ланцюзі сильно зростає за рахунок збільшення концентрації вільних носіїв заряду. Різниця струмів за наявності і відсутності освітлення називається світловим струмом або фотострумом, величина якого залежить від інтенсивності освітлення, величини прикладеної напруги, а також вигляду і розмірів напівпровідника, використовуваного у фоторезисторі.
Однією з основних є енергетична характеристика фотоструму фоторезистора, тобто залежність фотоструму Iф від потоку випромінювання Ф, вимірюваного в люменах (рис. 1). Видно, що при малих значеннях світлового потоку характеристику можна вважати лінійною, а при великих значеннях фотострум не пропорційний світловому потоку.
Вольт-амперні характеристики більшості фоторезисторів лінійні (рис. 2), проте в деяких випадках при підвищенні напруги лінійність порушується.
На величину фотоструму Iф робить вплив також спектральний склад світлового потоку.

Рисунок 1 – Енергетична характеристика фотоструму фоторезистора

Рисунок 2 – Вольт-амперні характеристики фоторезистора
Фоторезистори володіють значною інерційністю, обумовленої часом генерації і рекомбінації електронів і дірок, що відбуваються при зміні освітленості фоторезистора. Час встановлення стаціонарної величини фотопровідності називається часом фотовідповіді фоторезистора. Час фотовідповіді визначає максимально допустиму частоту модуляції світлового потоку, тобто частотний діапазон роботи фоторезистора.
Порядок виконання|вміст,утримання| роботи
1. Установити в стенд панель фоторезистора, принципова схема наведена на рис. 2.
Рисунок 1 – Схема дослідження фоторезистора
2. За допомогою лампи накалювання засвітити фоторезистор, резистором R2 змінювати напругу на фоторезисторі та слідкувати за свідченнями амперметру. Дані занести в таблицю 1.
Таблиця 1
| U, В |
|
| I, мкА |
3. При постійній напрузі на фоторезисторі поступово удаляємо лампу накалу і слідкуємо за показаннями амперметра. Дані занести в таблицю 2.
Таблиця 2
| Ф, лм |
|
| I, мкА |
Обробка результатів вимірювань|вимірів| і обчислень
За даними таблиці 1 побудуйте вольт-амперну характеристику фоторезистора.
Побудувати енергетичну характеристику фоторезистора I=f(Ф)
Ф=I/(KU),
де К – питома чутливість фоторезистора.
Контрольні питання
1. Що називається внутрішнім фотоефектом?
2. Який прилад називається фоторезистором?
3. Як влаштований фоторезистор?
4. Поясніть принцип дії фоторезистора.
5. Що таке енергетична характеристика фоторезистора та який вид вона має?
6. Як знімаються вольт-амперні характеристики фоторезисторів?
7. Як впливає спектральний склад світлового потоку на величину фотоструму?
8. Який вид мають частотні характеристики фоторезисторів?
9. Якими параметрами характеризуються фоторезистори?
10. Де застосовуються прилади з внутрішнім фотоефектом?
Техніка безпеки
1. Уважно прочитати та вивчити інструкцію лабораторної роботи.
2. Пам’ятати, що в лабораторії існує небезпечна для людини висока напруга.
3. Зібрати схему згідно з інструкцією до лабораторної роботи, уникнути перехрещення проводів і надати викладачу для перевірки.
4. Вивчити значення кожного вимірювального приладу, шкалу відмітку, тощо.
5. Вмикати напругу на лабораторну роботу тільки після дозволу викладача і особистій його присутності.
6. Перед тим, як зробити будь-які зміни у схемі, її необхідно вимкнути з джерела електромережі.
7. Після зроблених у схемі змін, вона повинна бути перевірена керівником лабораторних занять і тільки після дозволу керівника підключити до електромережі.
8. Треба пам’ятати, якщо у ланцюзі буде малий опір , то може виникнути великий струм. Це призведе до виходу з ладу приборів та стенду.
9. Слідкувати за межами вимірювання приборів.
10. У разі нещасного випадку негайно вимкнути напругу мережі, для чого потрібно натиснути на аварійну кнопку, розміщену на передній панелі лабораторного столу, а потерпілому надати першу допомогу і викликати швидку медичну допомогу за телефоном 03.
ЛАБОРАТОРНА РОБОТА №5
Тема: Дослідження характеристик підсилювача
Мета: дослідження впливу різних кіл підсилюючого каскаду на його частотну характеристику.
Прилади та устаткування: 1) універсальний стенд УЄ-100; 2) панель підсилювача; 3) звуковий генератор; 4) підсилювач ПНЧ та гучномовець.
Теоретичні обґрунтування
Електронними підсилювачами називаються устрої які призначені для підсилення електричних сигналів.
Одним із найбільше суттєвих ознак, по яких класифікуються підсилювачі, є діапазон частот електричних сигналів. Розрізняють такі типи підсилювачів: підсилювачі низької частоти, підсилювачі постійного струму, широкополосні (імпульсні) підсилювачі, виборчі (селективні) підсилювачі.
У лабораторній роботі досліджується каскад підсилювача низької частоти ПНЧ. До складу каскаду входять джерело вхідного сигналу, підсилювальний елемент, навантаження і джерело живлення. У залежності від призначення каскаду джерелом вхідного сигналу можуть бути мікрофон, звукоприймач, різноманітні датчики, детектор радіоприймального устрою й інші. У якості підсилювального елемента часто використовують транзистор. Навантаженням каскаду можуть бути вхідний ланцюг наступного каскаду, підсилювач потужності й інші.
Підсилювач низької частоти призначений для підсилення електричних сигналів у деякій смузі частот. Про особливості підсилювачів низької частоти можна судити по його амплітудній (вхідній) і частотній характеристикам.
На рисунку 1 зображена амплітудна характеристика ПНЧ UB И X = f (UBX ). По ній можна визначити динамічний діапазон D = UB И Xmax / UB И Xmin . Чим більше D, тим вище якість підсилювача. Амплітудна характеристика помітно нелінійна при дуже малих і дуже великих напругах вхідного сигналу. Причому навіть при відсутності вхідного сигналу на виході є деяка напруга, що визначається власними шумами підсилювача. Тому дуже малі значення UB Х min вибирати не можна через те, що слабкі сигнали будуть заглушуватися напругою власних шумів. При великих вхідних сигналах відбувається перевантаження підсилювальних елементів, що призводить до зменшення посилення і перекручування сигналу, що посилюється. Тому дуже велике значення UB Х max , також не можна вибирати. Таким чином, динамічний діапазон підсилювача обмежений.

Рисунок 1 – Амплітудна характеристика підсилювача
На рисунку 2 зображена частотна характеристика К = f (f). По ній видно, що електричні сигнали, що проходять через ПНЧ, спотворюються. Викривлення збільшуються на самих нижчих і вищих робочих частотах. Це пов'язано зі зміною значення опору навантаження для різноманітних частот.

Рисунок 2 – Амплітудно-частотна характеристика підсилювача
Порядок виконання роботи
1. Ознайомитися з технічними даними вимірювальних приладів та обладнання.
2. Установити панель досліджуваного підсилювача.
3. Включити осцилограф та дати йому нагрітися.
4. Під час прогрівання рекомендується ввімкнути підсилювач низької частоти та спостерігати на екрані осцилографа за сигналами різної частоти та амплітуди, та одночасно прослуховувати їх за допомогою ПНЧ та гучномовця.

Рисунок 3 – Схема транзисторного підсилювача
5. Зняти амплітудну характеристику. Для цього поставити тумблери підсилювача в положення 1 та подавати від генератора на вхід сигнал частотою 400 Гц або 1000 Гц і змінювати його величину від 0 до 0,08 В. Зафіксувати показання вихідного вольтметра. Результати занести в таблицю 1.
Таблиця 1
| Uвх , В |
|
| Uвих , В |
6. Зняти частотну характеристику. Для цього поставити тумблери підсилювача в залежності від досліду та подавати від генератора на вхід підсилювача напругу незмінної величини і змінювати її частоту від 20 Гц до 2000 Гц. Зафіксувати показання вихідного вольтметра. Результати замірів занести в таблицю 2.
Таблиця 2
| Положення тумблерів |
Вхідна напруга Uвх = В |
|||||||
| В1 – 1 В2 – 1 В3 – 1 |
В1 – 2 В2 – 1 В3 – 1 |
В1 – 1 В2 – 2 В3 – 1 |
В1 – 1 В2 – 2 В3 – 2 |
|||||
| Частота f, Гц |
Uвих , В |
К |
Uвих , В |
К |
Uвих , В |
К |
Uвих , В |
К |
Обробка результатів вимірювань|вимірів| і обчислень
1. По даним таблиці 1 розрахувати динамічний діапазон
D = UB И Xmax / UB И Xmin .
2. По отриманим даним таблиці 1 побудувати амплітудну характеристику підсилювача UB И X = f (UBX ).
3. По даним таблиці 2 розрахувати для всіх режимів коефіцієнт підсилення
К=UB И X / UBX .
4. По отриманим даним таблиці 2 побудувати частотну характеристику підсилювача К=f(f).
Контрольні питання
1. Поясніть призначення підсилювачів.
2. Які типи підсилювачів Ви знаєте?
3. Назвіть призначення всіх елементів принципової схеми підсилювача.
4. Якими основними параметрами характеризуються підсилювачі?
5. Поясніть амплітудну та амплітудно-частотну характеристику підсилювача.
6. Поясніть причини з’явлення частотних спотворень в підсилювачі.
7. Що зветься коефіцієнтом підсилювання, від яких параметрів він залежить?
8. Як визначити динамічний діапазон підсилювача?
9. В яких режимах можуть працювати підсилювачі?
10. За якими принципами будуються підсилювачі?
Техніка безпеки
1. Уважно прочитати та вивчити інструкцію лабораторної роботи.
2. Пам’ятати, що в лабораторії існує небезпечна для людини висока напруга.
3. Зібрати схему згідно з інструкцією до лабораторної роботи, уникнути перехрещення проводів і надати викладачу для перевірки.
4. Вивчити значення кожного вимірювального приладу, шкалу відмітку, тощо.
5. Вмикати напругу на лабораторну роботу тільки після дозволу викладача і особистій його присутності.
6. Перед тим, як зробити будь-які зміни у схемі, її необхідно вимкнути з джерела електромережі.
7. Після зроблених у схемі змін, вона повинна бути перевірена керівником лабораторних занять і тільки після дозволу керівника підключити до електромережі.
8. Треба пам’ятати, якщо у ланцюзі буде малий опір , то може виникнути великий струм. Це призведе до виходу з ладу приборів та стенду.
9. Слідкувати за межами вимірювання приборів.
10. У разі нещасного випадку негайно вимкнути напругу мережі, для чого потрібно натиснути на аварійну кнопку, розміщену на передній панелі лабораторного столу, а потерпілому надати першу допомогу і викликати швидку медичну допомогу за телефоном 03.
ЛАБОРАТОРНА РОБОТА №6
Тема: Дослідження операційного підсилювача
Мета: дослідити роботу операційного підсилювача та схем на його основі
Устаткування: 1) універсальний стенд УЄ-100; 2) панель операційного підсилювача.
Теоретичні обґрунтування
Операційний підсилювач (ОП) – це ППС, що має високий коефіцієнт підсилення, два входи (так званий диференційний вхід) і один вихід.
Зазвичай ОП будують як ППС з безпосередніми зв'язками між каскадами, з диференційним входом і біполярним відносно амплітуди підсилюваного сигналу виходом. Це забезпечує нульові потенціали на вході і виході ОП за відсутності вхідного сигналу. Тому такі підсилювачі легко з'єднувати послідовно, а також охоплювати зворотними зв'язками.
За своєю структурою ОП бувають три- або двокаскадні.
За трикаскадною схемою будувались ОП у інтегральному виконанні першого покоління. Перший диференційний каскад у них працює в режимі мікрострумів, забезпечуючи тим самим високий вхідний опір. Другий диференційний каскад забезпечує підсилення напруги. Третій каскад, вихідний, виконується як двотактний з СК і забезпечує підсилення потужності, а також низький вихідний опір. ОII другого покоління будуються за двокаскадною схемою. Це стало можливим із зростанням рівня інтегральної технології. При цьому, перший каскад забезпечує і високий вхідний опір, і великий коефіцієнт підсилення за напругою. Другий каскад є підсилювачем потужності.
Свою назву ці підсилювачі одержали у зв'язку з тим, що спочатку вони використовувались для моделювання математичних операцій (додавання, віднімання, диференціювання, інтегрування та ін.) в аналогових обчислювальних машинах (АОМ).
Нині вони використовуються в основному як високоякісні підсилювачі напруги при побудові будь-яких електронних пристроїв.
Поширеному застосуванню ОП сприяють їхні високі параметри. Це великий коефіцієнт підсилення за напругою, що становить Кц = (104 -109 ); високий вхідний опір по кожному з входів – R вх > 400 кОм; низький вихідний опір R вих < 100 Ом; досить широкий частотний діапазон - від нуля до одиниць мегагерц.
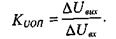
Найважливішими характеристиками ОП є вихідні амплітудні (передатні) характеристики - Ueux = f ( U в x ) . Знімають ці характеристики, подаючи сигнал на один із входів і з'єднуючи інший з нульовою точкою.
Кожна вихідна характеристика має горизонтальні та скісну ділянки. Горизонтальні ділянки відповідають режимам повністю відкритого чи закритого транзистора вихідного каскаду (режимам насичення). При зміні напруги вхідного сигналу на цих ділянках вихідна напруга підсилювача залишається незмінною і визначається напругами, близькими до напруги джерел живлення.
Коефіцієнт підсилення визначається по скісних ділянках:
![]()
Порядок виконання роботи
1. Ознайомитися зі схемою операційного підсилювача К1УТ401А.
2. Використовуючи схему електричних з’єднань, визначити положення кнопок S3 і S2 , при яких пристрій буде здійснювати операції, переліковані в таблиці 1. Відмітити входи, на які слід подавати сигнали. Результати занести в таблицю 1.
Таблиця 1
| Операція |
S3 |
S2 |
| Додавання |
||
| Віднімання |
||
| Диференціювання |
||
| Інтегрування |

Рисунок 1 – Схема операційного підсилювача
3. Вставити плату лабораторної роботи в роз'єм стенда.
4. Включити стенд. Переконатися, що операційний підсилювач обнулен, тобто за відсутності вхідного сигналу напруги на виході напруга також дорівнює нулю. Контроль виконувати по вольтметру (mA 1 V) за шкалою 0 – 4 в.
5. Встановити кнопки S2 і S3 в положення, при якому буде виконуватися операція додавання.
6. Подати напруги на Вх1 і Вх2 та виміряти напругу на виході. Результати занести в таблицю 2.
Таблиця 2
| Операція додавання |
Операція віднімання |
|
| Uвх1 |
||
| Uвх2 |
||
| Uвих1 |
||
| Uвих2 |
7. Встановити кнопки S2 і S3 в положення, при якому буде виконуватися операція віднімання. Повторити вимірювання за п.6. Результати занести в таблицю2.
8. По закінченні вимірювань встановити всі ручки на стенді в початковий стан. Виключити тумблер “Сіть”.
Обробка результатів вимірювань і обчислень
Провірити точність результату додавання та віднімання вхідних сигналів, що подаються на вхід операційного підсилювача:
Uвих =Uвх1 +Uвх2 та Uвих =Uвх1 -Uвх2 відповідно.
Зробити висновки по роботі операційного підсилювача.
Контрольні питання
1. Що називається операційним підсилювачем?
2. Де застосовують операційні підсилювачі?
3. Які якості має операційний підсилювач?
4. Як позначається операційний підсилювач на схемах?
5. Охарактеризуйте амплітудні та частотні характеристики операційного підсилювача.
6. Що таке напруга зміщення нуля?
7. Які пристрої на основі операційних підсилювачів Ви знаєте?
8. Чим відрізняється схема інтегруючого підсилювача від диференціюючого?
9. Що таке компаратор?
10. Як отримують інвертуючи підсилювачі?
Техніка безпеки
1. Уважно прочитати та вивчити інструкцію лабораторної роботи.
2. Пам’ятати, що в лабораторії існує небезпечна для людини висока напруга.
3. Зібрати схему згідно з інструкцією до лабораторної роботи, уникнути перехрещення проводів і надати викладачу для перевірки.
4. Вивчити значення кожного вимірювального приладу, шкалу відмітку, тощо.
5. Вмикати напругу на лабораторну роботу тільки після дозволу викладача і особистій його присутності.
6. Перед тим, як зробити будь-які зміни у схемі, її необхідно вимкнути з джерела електромережі.
7. Після зроблених у схемі змін, вона повинна бути перевірена керівником лабораторних занять і тільки після дозволу керівника підключити до електромережі.
8. Треба пам’ятати, якщо у ланцюзі буде малий опір , то може виникнути великий струм. Це призведе до виходу з ладу приборів та стенду.
9. Слідкувати за межами вимірювання приборів.
10. У разі нещасного випадку негайно вимкнути напругу мережі, для чого потрібно натиснути на аварійну кнопку, розміщену на передній панелі лабораторного столу, а потерпілому надати першу допомогу і викликати швидку медичну допомогу за телефоном 03.
ЛАБОРАТОРНА РОБОТА №7
Тема: Дослідження мультивібраторів
Мета роботи: вивчити схему та принцип дії мультивібратора, зняти осцилограми колекторних і базових напруг транзисторів мультивібратора.
Устаткування: 1) універсальний стенд УЄ-100; 2) панель мультивібратора; 3) осцилограф Н-3013.
Теоретичні обґрунтування
Мультивібратори – це релаксаційні автогенератори напруги прямокутної форми (релаксаційний - такий, що різко відрізняється від гармонійного -синусоїдного; автогенератор - пристрій, що генерує незатухаючі коливання без запуску ззовні і не має стійких станів).
Виконуються мультивібратори на основі електронних приладів, що мають на вольт-амперній характеристиці ділянку з негативним опором (наприклад, тунельні діоди, тиристори), а також на підсилювачах постійного струму з позитивними зворотними зв'язками (на транзисторах, ОП, цифрових і спеціальних ІМС). Електронні прилади в них працюють у ключових режимах.
Мультивібратори можуть працювати у трьох режимах: чекаючому, автоколивальному та режимі синхронізації.
Найчастіше вони працюють у автоколивальному режимі, коли мультивібратор має два квазісталих (нестійких) стани рівноваги і переходить із одного стану в інший самочинно під впливом внутрішніх перехідних процесів. У такому режимі мультивібратор використовується як генератор прямокутної напруги.
У чекаючому режимі мультивібратор має один сталий і один квазісталий стани рівноваги. Зазвичай він знаходиться у сталому стані і переходить до квазісталого під дією зовнішнього електричного сигналу. Час перебування у квазісталому стані визначається внутрішніми процесами в схемі мультивібратора. Такі мультивібратори використовуються для формування імпульсів напруги необхідної тривалості, а також для затримки імпульсів на визначений час. Мультивібратор, що працює у такому режимі, має назву одновібратора.
У режимі синхронізації використовується мультивібратор, що працює в автоколивальному режимі, але його перехід із одного стану в інший забезпечується зовнішньою синхронізуючою напругою. Для його і нормальної роботи в цьому режимі необхідно, щоб частота синхронізуючого сигналу перевищувала частоту власних коливань. У результаті частота коливань мультивібратора практично не залежить від дестабілізуючих факторів, що впливають на його елементи. Використовуються такі мультивібратори для створення генераторів стабільної частоти і при керуванні складними електронними пристроями, робота яких синхронізована якоюсь зовнішньою дією (наприклад, синхронізація розгортки електронного осцилографа).
Загалом, мультивібратори повинні забезпечувати стабільність частоти і довжини імпульсів, а також необхідну (зазвичай мінімальну) тривалість їх фронтів.
На транзисторах автоколивальний мультивібратор найчастіше будують за симетричною схемою з колекторно-базовими зв'язками, яка буде досліджена в лабораторній роботі.
Порядок виконання роботи
1. Встановити в стенд панель мультивібратора.
2. Вивчити електронну схему мультивібратора, принцип його дії та призначення елементів.

Рисунок 1 – Схема мультивібратора
3. Включити живлячу напругу стенда та електронного осцилографа.
4. З’єднати вхід осцилографа по черзі з колектором та базою транзистора (Г1, Г2 та г3, Г4).
5. Зняти осцилограми базових і колекторних напруг транзистора.
Обробка результатів вимірювань
1. Замалювати осцилограми колекторних і базових напруг транзистора.
2. Порівняти осцилограми з теоретичними для даної схеми.
3. Зробити висновки по роботі.
Контрольні питання
1. Що таке мультивібратор?
2. На основі яких приладів виконуються мультивібратори7|цеп|
3. В яких режимах можуть працювати мультивібратори?
4. Охарактеризуйте режими роботи мультивібраторів.
5. Охарактеризуйте призначення елементів досліджуваної схеми.
6. Як можна зменшити спотворення переднього фронту генерованих імпульсів по даній схемі?
7. Що таке одновібратор?
8. Дайте характеристику мультивібраторам на операційних підсилювачах.
9. Якими параметрами характеризуються генеровані імпульси?
10. Де застосовуються мультивібратори?
Техніка безпеки
1. Уважно прочитати та вивчити інструкцію лабораторної роботи.
2. Пам’ятати, що в лабораторії існує небезпечна для людини висока напруга.
3. Зібрати схему згідно з інструкцією до лабораторної роботи, уникнути перехрещення проводів і надати викладачу для перевірки.
4. Вивчити значення кожного вимірювального приладу, шкалу відмітку, тощо.
5. Вмикати напругу на лабораторну роботу тільки після дозволу викладача і особистій його присутності.
6. Перед тим, як зробити будь-які зміни у схемі, її необхідно вимкнути з джерела електромережі.
7. Після зроблених у схемі змін, вона повинна бути перевірена керівником лабораторних занять і тільки після дозволу керівника підключити до електромережі.
8. Треба пам’ятати, якщо у ланцюзі буде малий опір , то може виникнути великий струм. Це призведе до виходу з ладу приборів та стенду.
9. Слідкувати за межами вимірювання приборів.
10. У разі нещасного випадку негайно вимкнути напругу мережі, для чого потрібно натиснути на аварійну кнопку, розміщену на передній панелі лабораторного столу, а потерпілому надати першу допомогу і викликати швидку медичну допомогу за телефоном 03.
ЛАБОРАТОРНА РОБОТА №8
Тема: Дослідження логічних інтегральних схем
Мета: ознайомитися з основними логічними операціями; вивчити основні логічні елементи і мікросхеми на їх основі; практична перевірка використання логічних мікросхем в імпульсних пристроях.
Устаткування: 1) універсальний стенд УЄ-100; 2) макет основних логічних елементів І-НІ, виповнених на мікросхемі К1ЛБ553 зі світлодіодною індикацією вхідних ті вихідних напруг; 3) макет тригера та мультивібратора, виконаних на мікросхемі К155ЛА3 зі світлодіодною індикацією.
Теоретичні обґрунтування
Основу сучасних пристроїв обробки інформації складають цифрові (логічні) ІМС.
Аналіз роботи цифрових пристроїв базується на використанні апарату математичної логіки. В її основі лежить поняття події, що оцінюється з точки зору її настання: вона може настати або не настати. Тоді кожну подію можна вважати істинною, що може моделюватися одиницею «1» (високим рівнем напруги при електричному моделюванні) або хибною, що моделюється нулем «0» (низьким рівнем напруги).
Обробка інформації, що подається у вигляді подій, ведеться у двійковій системі числення, яка має тільки дві цифри: 0 і l.
Величина, котра може приймати тільки ці два значення, називається двійковою (логічною) змінною.
Складна подія, що залежить від декількох двійкових змінних, називається двійковою (логічною, перемикальною) функцією.
Однією з найпростіших логічних функцій є функція заперечення Ні, яку ще називають операцією інверсії:
![]()

Рисунок 1 – Елемент НІ
Графічне позначення елемента, що реалізує таку функцію наведене на рис. 1. У якості такого елемента може бути використано, наприклад, транзисторний ключ - підсилювач з СЕ, що працює у ключовому режимі: при високому рівні напруги на вході на виході матимемо низький і навпаки.
Функцію, яку виконує комбінаційний пристрій, для полегшення сприйняття часто представляють у вигляді таблиці, яку називають таблицею істинності. Кількість стовбців цієї таблиці дорівнює числу змінних, що входять до функції і є ще один стовбець, в якому вказують значення функції для кожної з можливих комбінацій вхідних змінних, а їх числу відповідає кількість рядків таблиці. У загальному випадку кількість рядків дорівнює 2n , де n – число змінних.
Таблиця 1 – Деякі логічні функції двох змінних

У загальному випадку кількість вхідних змінних (кількість входів) логічних елементів, необхідних для реалізації складних логічних функцій, може бути будь-якою. Реально у елементів, що випускаються у вигляді ІМС, воно, як правило, складає 2 (чотири елементи, що мають спільні кола живлення у одному корпусі ІМС), 3 (три елементи), 4 (два елементи), 8 (один елемент). Частіше це елементи І-НІ, АБО-НІ.
За елементною базою, на якій виконано логічні елементи, їх підрозділяють на резисторно-діодні (РДЛ - резисторно-діодна логіка), резисторно-транзисторні (РТЛ), резисторно-діодно-транзисторні (РДТЛ), транзисторно-транзисторні (ТТЛ), на К-МОН комплементарних транзисторах (К-МОН-логіка) і деякі інші.
Підсилення забезпечують елементи, побудовані на основі транзисторних ключів.
Порядок виконання роботи
1. Ознайомитися з основними логічними операціями та способами їх реалізації.
2. Ознайомитися зі схемою к155ЛА3 (К1ЛБ553).
3. Ознайомитися зі схемою з’єднання елементів мікросхеми К1ЛБ553 для реалізації основних логічних операцій (рис. 2).
![]()
Схема 1
![]()
Схема 2
Рисунок 2 – Схеми дослідження логічних елементів
4. Подати живлення на схему 2 (рис.2). Встановити перемикач в положення 1 та подавати за допомогою тумблерів по черзі 0 і 1.Заповнити таблицю станів (табл.2). При заповненні таблиці зручно користуватися світло діодами. Якщо світло діод горить, на відповідному вході чи виході “1”, якщо ні – “0”. Визначити, яку логічну операцію реалізує дана схема.
5. Переводячи перемикач по черзі в положення 3, 4, 5, 6 повторити дослід та заповнити таблицю 3. Визначити, які логічні операції виконує схема в цих положеннях.
6. Подати живлення на схему 1 (рис.2). Тумблер поставити в положення Т (верхнє положення). Користуючись кнопками КН1 і КН2, подавати по черзі на входи Вх1 і Вх2 імпульси та проаналізувати по світло діодам стан входів і виходів. Визначити, яка схема реалізована на логічних елементах.
7. Перевести тумблер в положення М (нижнє положення). Визначити, що за схема реалізована на логічних елементах в цьому режимі. Результати занести в таблицю 3.
Таблиця 2
| А |
В |
Положення перемикача |
|||||
| 1 |
2 |
3 |
4 |
5 |
6 |
||
| 0 |
0 |
||||||
| 1 |
0 |
||||||
| 0 |
1 |
||||||
| 1 |
1 |
||||||
| Виконана операція |
|||||||
Таблиця 3
| А |
В |
Положення перемикача |
|
| Т |
М |
||
| 0 |
0 |
||
| 1 |
0 |
||
| 0 |
1 |
||
| 1 |
1 |
||
| Виконана операція |
|||
Обробка результатів вимірювань|вимірів|.
1. Визначити по світлодіодам схем стани вхідних та вихідних величин.
2. Визначити, які схеми реалізують логічні елементи.
3. Проаналізувати результати та зробити висновки.
Контрольні питання
1. Що називається логічною операцією?
2. Назвіть простіші логічні операції.
3. Що називають таблицею істинності?
4. Наведіть можливі способи реалізації простих логічних функцій за допомогою електронних пристроїв.
5. Поясніть, у чому специфіка реалізації логічних елементів залежно від обраної елементарної бази.
6. Наведіть умовні графічні позначення простих логічних елементів.
7. Вкажіть, як оцінюють подію у алгебрі логіки.
8. Чому резисторно-діодні схеми не дозволяють реалізувати складні логічні функції?
9. Як працює інвертор (елемент НІ) на транзисторній логіці?
10. Поясніть, як можна моделювати події алгебри логіки.
Техніка безпеки
1. Уважно прочитати та вивчити інструкцію лабораторної роботи.
2. Пам’ятати, що в лабораторії існує небезпечна для людини висока напруга.
3. Зібрати схему згідно з інструкцією до лабораторної роботи, уникнути перехрещення проводів і надати викладачу для перевірки.
4. Вивчити значення кожного вимірювального приладу, шкалу відмітку, тощо.
5. Вмикати напругу на лабораторну роботу тільки після дозволу викладача і особистій його присутності.
6. Перед тим, як зробити будь-які зміни у схемі, її необхідно вимкнути з джерела електромережі.
7. Після зроблених у схемі змін, вона повинна бути перевірена керівником лабораторних занять і тільки після дозволу керівника підключити до електромережі.
8. Треба пам’ятати, якщо у ланцюзі буде малий опір , то може виникнути великий струм. Це призведе до виходу з ладу приборів та стенду.
9. Слідкувати за межами вимірювання приборів.
10. У разі нещасного випадку негайно вимкнути напругу мережі, для чого потрібно натиснути на аварійну кнопку, розміщену на передній панелі лабораторного столу, а потерпілому надати першу допомогу і викликати швидку медичну допомогу за телефоном 03.
ЛАБОРАТОРНА РОБОТА №9
Тема: Дослідження малопотужних випрямлячів і згладжуючих фільтрів
Мета: вивчити схему і роботу однопівперіодного, двопівперіодного мостових випрямлячів; вивчити схему і роботу ємкісного та індуктивного фільтрів; дослідити за допомогою осцилографа форми напруг на виході випрямлячів та фільтрів.
Устаткування: 1) універсальний стенд УЄ-100; 2) осцилограф Н-3013; 3) панель досліджуваних випрямлячів.|проводи|
Теоретичні обґрунтування
Випрямлячі - це електротехнічні пристрої, призначені для перетворення енергії джерела напруги змінного струму в енергію напруги постійного струму.
Як правило, випрямляч підмикається до розподільної мережі напруги змінного струму.
До складу випрямляча зазвичай входять: трансформатор, вентильна схема, згладжуюючий фільтр та стабілізатор напруги.
Трансформатор призначений для перетворення величини напруги мережі до значення, необхідного для роботи випрямляча. Він також забезпечує електричну (гальванічну) розв'язку мережі і навантаження.
Вентильна схема перетворює змінну напругу у випрямлену - пульсуючу однополярну. Вона може виконуватись на напівпровідникових ключах.
Згладжуючий фільтр перетворює випрямлену напругу у постійну. Фільтри виконуються на реактивних елементах, що мають властивість накопичувати електричну енергію: конденсаторах, дроселях. Такі фільтри називаються пасивними.
Для живлення радіоелектронних пристроїв часто використовують активні фільтри, що будуються на транзисторах, операційних підсилювачах та реактивних елементах.
Стабілізатор напруги підтримує напругу на навантаженні на незмінному рівні при змінах напруги мережі або навантаження у заданих межах.
При необхідності регулювання напруги на навантаженні за необхідним законом і у заданих межах використовують регулятори напруги. Стабілізатор також являє собою різновид регулятора, у якого забезпечується автоматичне регулювання за ознакою постійності значення напруги на навантаженні.
Регулятор (стабілізатор) може бути увімкнено і зі сторони змінної напруги (до трансформатора).
Параметри вузлів випрямляча та їх елементів, режими їх роботи повинні бути узгоджені із заданими умовами роботи навантаження. Навантаження також вважають елементом випрямляча, бо зміни його опору в процесі роботи впливають на режим роботи всього пристрою.
Згладжуючий фільтр, стабілізатор (регулятор), а іноді й трансформатор можуть не входити до складу випрямляча, коли у них немає необхідності.
Крім вказаних вузлів, випрямляч може мати вузли і елементи захисту від короткого замикання, перевантаження, зниження напруги мережі та ін. (запобіжник, автоматичний вимикач, електронний пристрій захисту, елементи і вузли індикації наявності і значення напруги і струму, а також вузли діагностики працездатності).
Випрямлячі класифікують за числом фаз - однофазні та багатофазні (останні - найчастіше трифазні). За потужністю випрямлячі бувають малої потужності (до 100 Вт), середньої (до 10 кВт) і великої (понад 10 кВт).
Є некеровані випрямлячі та керовані. Перші будуються на некерованих вентилях - на діодах, другі - на керованих - наприклад, на тиристорах.
За принципом дії випрямлячі поділяються на однотактні та двотактні.
Однотактними називають випрямлячі, у яких по вторинній обмотці трансформатора струм протікає один раз за період напруги мережі і лише у одному напрямку.
Важливим параметром випрямляча є кратність пульсацій випрямленої напруги т - відношення частоти пульсацій випрямленої напруги до частоти мережі. У однотактних випрямлячів він відповідає числу фаз мережі.
Двотактними (двопівперіодними) називають випрямлячі, у яких по вторинній обмотці трансформатора струм за період напруги мережі протікає двічі і у різних напрямках. Кратність пульсацій у двотактних випрямлячів дорівнює подвоєному числу фаз.
Теорія випрямлячів зводиться до розробки аналітичних виразів, що зв'язують відомі параметри напруги мережі живлення і навантаження з невідомими параметрами, які характеризують роботу вентильної схеми. На підставі цього робиться вибір типу вентилів для конкретної схеми випрямляча та розрахунок його вузлів.
Порядок виконання роботи
1. Встановити в стенд панель однофазних випрямлячів.
![]()
Рисунок 1 – Схема дослідження випрямлячів
2. Встановити перемикач SА1 в положення 1, SА2 – 2, SА3 – 2, SА4 – 1, SА5 – 1, що відповідає однофазній схемі випрямлення без згладжую чого фільтра. Замалювати осцилограми вихідної напруги.
3. Встановити тумблер SА1 в положення 1, SА2 – 1, SА3 – 2, SА4 – 1, SА5 – 1, що відповідає двопівперіодній схемі випрямлення. Замалювати осцилограми вихідної напруги.
4. Встановити тумблер SА1 в положення 1, SА2 – 2, SА3 – 1, SА4 – 2, SА5 – 1, що відповідає однопівперіодній схемі випрямлення з ємкісним фільтром. Замалювати осцилограми вихідної напруги.
5 . Тумблери SА1, SА2, SА5 залишити без змін, а SА3 поставити в положення 2, SА4 – 2, що відповідає однопівперіодній схемі випрямлення з індуктивним фільтром. Замалювати осцилограми вихідної напруги.
Обробка результатів вимірювань|вимірів|.
1. Замалювати осцилограми вихідних напруг для випрямлячів з фільтрами та без фільтрів.
2. Проаналізувати осцилограми вихідних напруг.
3. Зробити висновки.
Контрольні питання
1. Поясніть, що таке випрямляч.
2. Наведіть структурну схему випрямляча.
3. Поясніть призначення функціональних вузлів випрямляча.
4. Назвіть ознаки, за якими класифікують випрямлячі.
5. Наведіть найбільш розповсюджені схеми випрямлячів.
6. Які експлуатаційні характеристики і параметри притаманні випрямлячам?
7. Поясніть принцип дії однопівперіодного випрямляча.
8. Поясніть принцип дії двопівперіодного випрямляча.
9. Які різновиди згладжуючих фільтрів Ви знаєте?
10. Поясніть специфіку роботи випрямляча на активне-ємнісне і активно-індуктивне навантаження.
Техніка безпеки
1. Уважно прочитати та вивчити інструкцію лабораторної роботи.
2. Пам’ятати, що в лабораторії існує небезпечна для людини висока напруга.
3. Зібрати схему згідно з інструкцією до лабораторної роботи, уникнути перехрещення проводів і надати викладачу для перевірки.
4. Вивчити значення кожного вимірювального приладу, шкалу відмітку, тощо.
5. Вмикати напругу на лабораторну роботу тільки після дозволу викладача і особистій його присутності.
6. Перед тим, як зробити будь-які зміни у схемі, її необхідно вимкнути з джерела електромережі.
7. Після зроблених у схемі змін, вона повинна бути перевірена керівником лабораторних занять і тільки після дозволу керівника підключити до електромережі.
8. Треба пам’ятати, якщо у ланцюзі буде малий опір , то може виникнути великий струм. Це призведе до виходу з ладу приборів та стенду.
9. Слідкувати за межами вимірювання приборів.
10. У разі нещасного випадку негайно вимкнути напругу мережі, для чого потрібно натиснути на аварійну кнопку, розміщену на передній панелі лабораторного столу, а потерпілому надати першу допомогу і викликати швидку медичну допомогу за телефоном 03.
ЛАБОРАТОРНА РОБОТА №10
Тема: Дослідження тиристорних керованих випрямлячів
Мета: дослідити тиристорні керовані випрямлячі.
Устаткування: 1) універсальний стенд УЄ-100; 2) осцилограф Н-3013; 3) панель досліджуваних тиристорних випрямлячів.
Теоретичні обґрунтування
Можливість зміни значення постійної напруги на навантаженні за не обхідним законом у заданих межах може бути реалізована за допомогою керованих випрямлячів, що будуються на керованих вентилях наприклад, на тиристорах.
Перед тим, як розглядати конкретні схемні рішення керованих випрямлячів, спочатку ознайомимось з основними методами регулювань напруги постійного струму, які, перш за все, можна розділити на два види: такі, що забезпечують регулювання з боку змінного струму і такі, що забезпечують регулювання з боку постійного струму.
Регулювання з боку змінного струму можливе при використанні випрямних схем на некерованих вентилях, але при цьому необхідно вводити додаткові силові пристрої. Так можна:
1) змінювати значення змінної напруги, що подається на вентильну схему, перемиканням під навантаженням відводів вторинної обмотки трансформатора, змінюючи тим самим коефіцієнт трансформації останнього;
2) застосовувати регулятори змінного струму з рухомим струмознімачем (автотрансформатори) або з рухомою магнітною системою (індукційні регулятори).
Із боку постійного струму можливе регулювання безперервними й імпульсними методами.
При безперервних методах застосовують:
1)реостати і дільники напруги;
2)компенсаційні регулятори.
Через великі втрати енергії в елементах регулятора (надлишок напруги тут гаситься на увімкнених послідовно з навантаженням елементах, що принципово обумовлює низьке значення к.к.д., такі методи застосовують в малопотужних регуляторах.
У наш час найуживанішими є імпульсні методи регулювання. Це зумовлено отриманням на основі стрімкого розвитку напівпровідникових технологій силових електронних напівпровідникових приладів, що можуть працювати у ключовому режимі за досить високих напруг (тисячі вольт) і частот (десятки і сотні кілогерц) - польові і біполярні транзистори, СІТ-транзистори і БТІЗ, спеціальні види тиристорів.
Оскільки регулюючий елемент при реалізації імпульсних методів працює як ключ, то втрати енергії в ньому мінімальні, що визначає високий к.к.д. перетворюючих пристроїв.
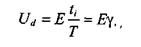
Середнє значення постійної напруги на навантаженні Ud регулюється за цими методами за рахунок зміни співвідношення між тривалостями замкненого і розімкненого станів ключа, коли постійна напруга (наприклад, з виходу фільтра некерованого випрямляча) підмикається до навантаження або ні.
Напруга на виході регулятора має форму прямокутних імпульсів з амплітудою, що дорівнює е.р.с. джерела постійного струму.
Є декілька таких методів регулювання. Розглянемо основні з них.
• Метод широтно-імпульсного регулювання (ШІР)
полягає у
і ому, що при сталому періоді надходження імпульсів змінюють їх тривалість - ширину. У результаті маємо:
![]()
де Е - е.р.с. джерела постійного струму; t - тривалість імпульсу; Т- період надходження імпульсів;
- коефіцієнт заповнення.
Змінюючи γ, можна змінювати Ud від нуля (при γ= 0) до Е
• При частотно-імпульсному регулюванні (ЧІР) змінюють частоту (період) надходження імпульсів при їх фіксованій тривалості.
• За комбінованого регулювання змінюють період, тривалість імпульсів.
Останній метод найпростіший у реалізації, але при регулюванні постійної напруги отримання її постійного значення у часі на навантаженні, що забезпечується, як відомо, за допомогою фільтрів, вимагає використання елементів фільтра з масогабаритними параметрами, далекими від мінімально можливих. Це ж стосується і методу ЧІР.
Мінімальні параметри елементів фільтра забезпечує метод ШІР, оскільки за нього регулятор працює на фіксованій частоті.
До речі, ця частота, як правило, у багато разів перевищує частоту мережі змінного струму, що, тим більше, забезпечує мінімальні параметри елементів фільтра.
У порівнянні з іншими методами, метод ШІР забезпечує також кращі умови узгодження регулятора з мережею живлення (полегшене подавлення радіоперешкод, що передаються з регулятора у мережу).
Керовані випрямлячі широко використовуються для створення регульованих джерел напруги при регулюванні нагрівачів, освітлювальних приладів, швидкості обертання електродвигунів і т.п.
Порядок виконання роботи
1. Вивчити схему керованого випрямляча і призначення всіх елементів.
2. Вставити плату лабораторної роботи в стенд.
3. Включити стенд, натиснувши кнопку “Мережа”. При цьому на стенді повинна загорітися індикаторна лампа вмикання в мережу.
4. Включити осцилограф тумблером “Мережа”.
![]()
Рисунок 1 – Схема дослідження керованого випрямляча
5. Підключая вхід осцилографа “У” до відповідних точок схеми, зняти осцилограми вхідної напруги, напруги на кожному тиристорі і на виході для декількох положень ручки змінного резистора R1.
6. По закінчені вимірів вимкнути осцилограф і стенд.
Обробка результатів вимірювань|вимірів|.
1. Замалювати осцилограми вихідних напруг для випрямлячів з фільтрами та без фільтрів.
2. Проаналізувати осцилограми вихідних напруг.
3. Зробити висновки.
Контрольні питання
1. Вкажіть методи регулювання напруги постійного струму.
2. Поясніть специфіку роботи імпульсних регуляторів напруги постійного струму.
3. Вкажіть переваги широтно-імпульсного методу регулювання перед іншими методами.
4. Поясніть, на чому ґрунтується принцип дії тиристорних керованих випрямлячів.
5. Поясніть роботу керованого однофазного двопівперіодного тиристорного випрямляча з нульовим виводом.
6. Поясніть форму напруги на тиристорі керованого однофазного двопівперіодного тиристорного випрямляча з нульовим виводом при роботі на активне навантаження.
7. Наведіть регулювальну характеристику керованого тиристорного випрямляча і поясніть характери її залежності при змінах кута керування.
8. що таке система імпульсно-фазового керування?
9. Які види систем імпульсно-фазового керування Ви знаєте?
10. Поясніть, у чому полягає принцип дії системи імпульсно-фазового керування з вертикальним керуванням.
Техніка безпеки
1. Уважно прочитати та вивчити інструкцію лабораторної роботи.
2. Пам’ятати, що в лабораторії існує небезпечна для людини висока напруга.
3. Зібрати схему згідно з інструкцією до лабораторної роботи, уникнути перехрещення проводів і надати викладачу для перевірки.
4. Вивчити значення кожного вимірювального приладу, шкалу відмітку, тощо.
5. Вмикати напругу на лабораторну роботу тільки після дозволу викладача і особистій його присутності.
6. Перед тим, як зробити будь-які зміни у схемі, її необхідно вимкнути з джерела електромережі.
7. Після зроблених у схемі змін, вона повинна бути перевірена керівником лабораторних занять і тільки після дозволу керівника підключити до електромережі.
8. Треба пам’ятати, якщо у ланцюзі буде малий опір , то може виникнути великий струм. Це призведе до виходу з ладу приборів та стенду.
9. Слідкувати за межами вимірювання приборів.
10. У разі нещасного випадку негайно вимкнути напругу мережі, для чого потрібно натиснути на аварійну кнопку, розміщену на передній панелі лабораторного столу, а потерпілому надати першу допомогу і викликати швидку медичну допомогу за телефоном 03.
Перелік рекомендованої літератури
1. Герасимов В.Г. Основы промышленной электроники. – М.: Высш.шк., 1986
2. Колонтаєвський Ю.П., Сосков А.Г. Промислова електроніка та мікрохемотехніка. – К.:Каравела, 2004
3. Герасимов В.Г., Князьков О.М, Краснопольский А.Е. и др. Основы промышелнной электроники. – М.: Высш.школа, 1978
ІНСТРУКЦІЯ
З охорони життєдіяльності під час проведення лабораторних робіт
Чинна інструкція розроблена згідно з вимогами “Правил улаштування електроустаткування” ДНА ОП 0,00-1.21-98 “Правил безпеки електроексплуатації електроустаткувань і споживача”.
I Загальна частина
1.1. Нагляд за робочим станом і безпечною експлуатацією електрообладнання стендів, лабораторних столів покладається наказом по технікуму на завідувача лабораторією, провідного спеціаліста, лаборанта, які мають відповідну кваліфікацію, досвід, атестовані з “Правил безпеки експлуатації електроустаткування споживача”.
1.2. До виконання лабораторних робіт допускаються студенти, які пройшли медичний огляд, вхідний інструктаж з техніки безпеки і позначкою у спеціальному журналі з техніки безпеки і особистим підписом викладача та студента за проведений інструктаж. Інструктаж проводиться один раз на семестр.
1.3. Студент. Який отримав допуск до лабораторної роботи, повинен:
1.3.1. Знати чинну інструкцію і дотримуватися її.
1.3.2. Знати загальний устрій механізму, на якому проводиться робота.
1.3.3. Знати правила технічної експлуатації.
1.3.4. Знати призначення приборів лабораторної роботи.
1.3.5. Знати правила першої допомоги особі, яка потрапила під дію струму, та спосіб надати їй першу допомогу.
1.3.6. Знати місце розташування аварійної кнопки вимкнення стендів.
1.4. Нагляд за виконанням чинної інструкції покладається на особу, відповідальну за безпеку робіт-викладача.
II Вимоги безпеки перед початком проведення лабораторних робіт
2.1 Перед кожною лабораторною роботою студент повинен прослухати інструктаж з техніки безпеки і підписатися у журналі інструктажів.
2.2 Перевірити освітлення робочого місця, провести зовнішній огляд роботи з метою безпеки його експлуатації. Огляд проводити при непрацюючих механізму з з вимкненою напругою.
2.3 Перевірити цілісність захисного заземлення корпусів електрообладнання.
2.4 Перевірити, щоб на робочому місці не було сторонніх речей, а також сторонніх осіб.
2.5 При виявленні пошкодження обладнання, пристроїв, пристосувань, засобів захисту, повідомити викладача.
2.6 При виявленні будь-якого зауваження повідомити викладача.
III Обов’язки студента під час виконання лабораторних робіт
3.1 Уважно прочитати та вивчити інструкцію лабораторних робіт.
3.2 Пам’ятати, що в лабораторії існує небезпечна для людини висока напруга.
3.3 Зібрати схему згідно з інструкцією до лабораторної роботи, уникнути перехрещення проводів і надати викладачу для перевірки.
3.4 Вивчити значення кожного вимірювального приладу, шкалу відмітку, тощо.
3.5 Бігунок реостата необхідно установити згідно з інструкцією лабораторної роботи.
3.6 Вмикати напругу на лабораторну роботу тільки після дозволу викладача і особистій його присутності.
3.7 Перед тим, як зробити будь-які зміни у схемі, її необхідно вимкнути з джерела електромережі.
3.8 Після зроблених у схемі змін, вона повинна бути перевірена керівником лабораторних занять і тільки після дозволу керівника підключити до електромережі.
3.9 Щоб запобігти нещасний випадок при роботі з електричними машинами, одяг повинен бути щільним .
3.10 У разі нещасного випадку негайно вимкнути напругу мережі, а потерпілому надати першу допомогу і викликати швидку медичну допомогу за телефоном 03.
IV При проведенні лабораторних робіт студенту
ЗАБОРОНЯЄТЬСЯ
4.1 Пустощі, грубощі.
4.2 Брати з інших лабораторних столів прилади, реостати, інше обладнання без дозволу викладача.
4.3 Самовільно залишати виконання лабораторної роботи, переходити до іншого столу.
4.4 Вмикати напругу на схему лабораторної роботи без попередньої перевірки і дозволу викладача.
4.5 Розмикати вторинні обмотки трансформатора струму, коли по первинним йде струм. Не можна розмикати кола з котушками, які мають велику кількість витків.
4.6 Залишати під напругою навчальну схему і прилади.
V Обов’язки студента після закінчення проведення лабораторної роботи
5.1 Після закінчення роботи студент зобов’язаний:
5.1.1. вимкнути електричну напругу схеми.
5.1.2. розібрати схему і привести в порядок робоче місце.
5.1.3. дані лабораторної роботи показати викладачу і здати робоче місце.
VI Вимоги безпеки при аварійних ситуаціях
6.1 При виникненні пожежі наданні сигналу про евакуацію персоналу з приміщення навчального корпусу, а також при виникненні механічних вражень , або вражень електричним струмом необхідно діяти у такій послідовності:
6.1.1 При виникненні пожежі необхідно прийняти заходи по евакуації студентів, подзвонити 01 та приступити до гасіння засобами, які є в аудиторії, кабінеті, а також з використанням пожежних гідрантів, і т.п.
6.1.2 При поданні і звукових сигналів необхідно забезпечити евакуацію студентів відповідно до плану, який знаходиться у кабінеті і у коридорі.
При враженні електричним струмом, механічних травм необхідно надати першу медичну допомогу, особливо при зупинці дихання і послабленні серцевої діяльності, визволити від дії електричного струму, подзвонити 03.