| Скачать .docx |
Реферат: Выпрямительные диоды
Содержание
Введение...................................................................................................................... 3
§1. Выпрямительные диоды....................................................................................... 4
§2. Стабилитроны....................................................................................................... 9
§3. Варикапы............................................................................................................ 12
§4. Светодиоды......................................................................................................... 15
§5. Фотодиоды.......................................................................................................... 18
Список литературы.................................................................................................. 22
Диод (от др.-греч. δι - два и -од из слова электрод) - двухэлектродный электронный прибор, обладает различной проводимостью в зависимости от направления электрического тока. Электрод диода, подключённый к положительному полюсу источника тока, когда диод открыт (то есть имеет маленькое сопротивление), называют анодом, подключённый к отрицательному полюсу — катодом.
Развитие диодов началось в третьей четверти XIX века сразу по двум направлениям: в 1873 году британский учёный Фредерик Гутри открыл принцип действия термионных (вакуумных ламповых с прямым накалом) диодов, в 1874 году германский учёный Карл Фердинанд Браун открыл принцип действия кристаллических (твёрдотельных) диодов.
Принципы работы термионного диода были заново открыты тринадцатого февраля 1880 года Томасом Эдисоном, и затем, в 1883 году, запатентованы (патент США № 307031). Однако дальнейшего развития в работах Эдисона идея не получила. В 1899 году германский учёный Карл Фердинанд Браун запатентовал выпрямитель на кристалле. Джэдиш Чандра Боус развил далее открытие Брауна в устройство применимое для детектирования радио. Около 1900 года Гринлиф Пикард создал первый радиоприёмник на кристаллическом диоде. Первый термионный диод был запатентован в Британии Джоном Амброзом Флемингом (научным советником компании Маркони и бывшим сотрудником Эдисона в 1904 году в ноябре шестнадцатого (патент США № 803684 от ноября 1905 года). В 1906 году в ноябре двадцатого Пикард запатентовал кремниевый кристаллический детектор (патент США № 836531).
В конце XIX века устройства подобного рода были известны под именем выпрямителей, и лишь в 1919 году Вильям Генри Иклс ввёл в оборот слово «диод», образованное от греческих корней «di» — два, и «odos» — путь.
Выпрямитель электрического тока - механическое, электровакуумное, полупроводниковое или другое устройство, предназначенное для преобразования переменного входного электрического тока в постоянный выходной электрический ток.
Диодный выпрямитель или диодный мост (то есть 4 диода для однофазной схемы (6 для трёхфазной полумостовой схемы или 12 для трёхфазной полномостовой схемы), соединённых между собой по схеме) — основной компонент блоков питания практически всех электронных устройств.
Диодный мост - электронная схема, предназначенная для преобразования ("выпрямления") переменного тока в пульсирующий постоянный. Такое выпрямление называется двухполупериодным.
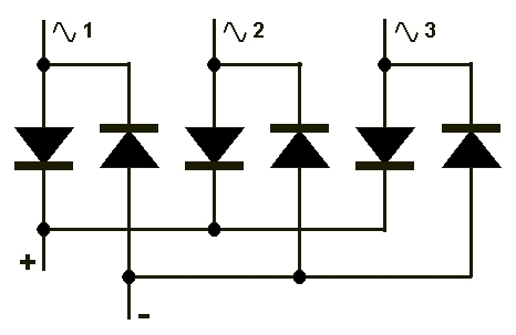
Выделим два варианта включения мостовых схем однофазную и трехфазную.
Однофазная мостовая схема:
На вход схемы подается переменное напряжение (для простоты будем рассматривать синусоидальное), в каждый из полупериодов ток проходит через два диода, два других диода закрыты (рис.1 а, б).
![]() |
![]() |
Рисунок 1 а) Выпрямление положительной полуволны б) Выпрямление отрицательной полуволны
В результате такого преобразования на выходе мостовой схемы получается пульсирующее напряжение вдвое большее частоты напряжения на входе (рис.2 а, б, с)

Рисунок 2. а) исходное напряжение (напряжение на входе), б) однополупериодное выпрямление, с) двухполупериодное выпрямление
Трехфазная мостовая схема:
В схеме трехфазного выпрямительного моста в результате получается напряжение на выходе с меньшими пульсациями, чем в однофазном выпрямителе (рис.3).

Рисунок 3. Напряжение на выходе трехфазного выпрямителя
Для выпрямления трехфазных напряжений так же широко используются диодные выпрямители. Очень распространены схемы выпрямителей на полумостовых диодных выпрямителях рис. 4.

Рисунок 4. Трехфазная схема выпрямителя на полумостах
Как правило, для сглаживания пульсирующего напряжения на выходе выпрямителя применяется фильтр в виде конденсатора или дросселя, к тому же для стабилизации выходного напряжения устанавливается стабилитрон рис. 5.

Рисунок 5. Схема диодного выпрямителя с фильтром
Конструкция, преимущества

Рисунок 6. Диодный мост на дискретных элементах
Конструкция диодных мостов может быть выполнена из отдельных диодов, или в виде монолитной конструкции (диодной сборки). Монолитная конструкция, как правило, предпочтительней - она дешевле и меньше по объему. Диоды в ней подобраны на заводе изготовителе и параметры максимально аналогичны друг другу, в отличие от отдельных диодов, где параметры могут отличаться друг от друга, к тому же в рабочем состоянии диоды в диодной сборке работают в одинаковом тепловом режиме, что уменьшает вероятность выхода из строя элемента. Еще одним преимуществом диодной сборки является ее простота монтирования на плате. Основным недостатком монолитной конструкции является не возможность замены одного диода, вышедшего из строя другим, в этом случае необходимо менять всю сборку, но происходит это крайне редко, если рабочие режимы диодного моста подобраны правильно.

Рисунок 7. Диодная сборка
Область применения выпрямительных мостов обширна, например:
- приборы освещения (люминесцентные лампы, ЭПРА, модули солнечных батарей);
- счетчики электроэнергии;
- блоки питания и управления бытовой техники (телевизоров, миксеров, стиральных машин, пылесосов, set-top-box, компьютеров, холодильников, электроинструмента и др.), зарядные устройства мобильных телефонов и ноутбуков, AC/DC-DC/DC преобразователи;
- промышленное (блоки питания, зарядные устройства, блоки управления электродвигателями, регуляторы мощности и др.), автомобильные выпрямители.
Стабилитрон (диод Зенера) — полупроводниковый диод, предназначенный для стабилизации напряжения в источниках питания. По сравнению с обычными диодами имеет достаточно низкое регламентированное напряжение пробоя (при обратном включении) и может поддерживать это напряжение на постоянном уровне при значительном изменении силы обратного тока. Материалы, используемые для создания p-n перехода стабилитронов, имеют высокую концентрацию примесей. Поэтому, при относительно небольших обратных напряжениях в переходе возникает сильное электрическое поле, вызывающее его электрический пробой, в данном случае являющийся обратимым (если не наступает тепловой пробой вследствие слишком большой силы тока).

Рисунок 8. Обозначение стабилитрона на принципиальных схемах

Рисунок 9. Обозначение двуханодного стабилитрона на принципиальных схемах
В основе работы стабилитрона лежат два механизма:
· Лавинный пробой p-n перехода
· Туннельный пробой p-n перехода (Эффект Зенера в англоязычной литературе)
Несмотря на схожие результаты действия, эти механизмы различны, хотя и присутствуют в любом стабилитроне совместно, но преобладает только один из них. У стабилитронов до напряжения 5,6 вольт преобладает туннельный пробой с отрицательным температурным коэффициентом, выше 5,6 вольт доминирующим становится лавинный пробой с положительным температурным коэффициентом. При напряжении, равном 5,6 вольт, оба эффекта уравновешиваются, поэтому выбор такого напряжения является оптимальным решением для устройств с широким температурным диапазоном применения.
Пробойный режим не связан с инжекцией неосновных носителей заряда. Поэтому в стабилитроне инжекционные явления, связанные с накоплением и рассасыванием носителей заряда при переходе из области пробоя в область запирания и обратно, практически отсутствуют. Это позволяет использовать их в импульсных схемах в качестве фиксаторов уровней и ограничителей.
Виды стабилитронов:
- прецизионные — обладают повышенной стабильностью напряжения стабилизации, для них вводятся дополнительные нормы на временную нестабильность напряжения и температурный коэффициент напряжения (например: 2С191, КС211, КС520);
- двуханодные — обеспечивают стабилизацию и ограничение двухполярных напряжений, для них дополнительно нормируется абсолютное значение несимметричности напряжения стабилизации (например: 2С170А, 2С182А);
- быстродействующие — имеют сниженное значение барьерной ёмкости (десятки пФ) и малую длительность переходного процесса (единицы нс), что позволяет стабилизировать и ограничивать кратковременные импульсы напряжения (например: 2С175Е, КС182Е, 2С211Е).
Существуют микросхемы линейных регуляторов напряжения с двумя выводами, которые имеют такую же схему включения, что и стабилитрон, и зачастую, такое же обозначение на электрических принципиальных схемах.
Основным параметром стабилитронов является напряжение стабилизации — значение напряжения на стабилитроне при прохождении заданного тока стабилизации. Пробивное напряжение диода, а значит, напряжение стабилизации стабилитрона зависит от толщины p-n-перехода или от удельного сопротивления базы диода. Поэтому разные стабилитроны имеют различные напряжения стабилизации (от 3 до 400 В).
Важным параметром стабилитрона является температурный коэффициент напряжения стабилизации — величина, определяемая отношением относительного изменения температуры окружающей среды при постоянном токе стабилизации. Значения этого параметра у различных стабилитронов различны. Коэффициент может иметь как положительные так и отрицательные значения для высоковольтных и низковольтных стабилитронов соответственно. Изменение знака соответствует напряжению стабилизации порядка 6В.
Варикап (англ. vari(able) — переменный и cap(acity) — ёмкость) — полупроводниковый диод, работа которого основана на зависимости барьерной ёмкости p-n перехода от обратного напряжения. Варикапы применяются в качестве элементов с электрически управляемой ёмкостью в схемах перестройки частоты колебательного контура, деления и умножения частоты, частотной модуляции, управляемых фазовращателей и др.
При отсутствии внешнего напряжения в p-n-переходе существуют потенциальный барьер и внутреннее электрическое поле. Если к диоду приложить обратное напряжение, то высота этого потенциального барьера увеличится. Внешнее обратное напряжение отталкивает электроны в глубь n-области, в результате чего происходит расширение обеднённой области p-n перехода, которую можно представить как простейший плоский конденсатор, в котором обкладками служат границы области. В таком случае, в соответствии с формулой для ёмкости плоского конденсатора, с ростом расстояния между обкладками (вызванной ростом значения обратного напряжения) ёмкость p-n-перехода будет уменьшаться. Это уменьшение ограничено лишь толщиной базы, далее которой переход расширяться не может. По достижении этого минимума с ростом обратного напряжения ёмкость не изменяется.
По сути, варикап - это обратносмещенный полупроводниковый диод. Прямая ветвь его вольт-амперной характеристики, принципиальная для основного назначения диода (выпрямление, детектирование), для варикапа несущественна. В общем случае в качестве варикапа можно использовать (и на практике это нередко реализуют) диод и даже коллекторный или эмиттерный переход биполярного транзистора.
В отличие от полупроводниковых диодов, у варикапов нормируют (и, разумеется, обеспечивают при производстве) емкость р-n перехода при определенном напряжении смещения на нем и добротность. Заметим, что добиться добротности варикапа, заметно превышающей добротность контурной катушки, непросто. Это объясняется тем, что в варикапе, как и в любом диоде, последовательно с р-n переходом всегда включено сопротивление базовой области полупроводника, а параллельно - эквивалентное сопротивление, обусловленное обратным током через переход. Относительно низкая добротность варикапа подразумевает, в частности, необходимость учитывать ее при расчете добротности колебательного контура.
Зависимость емкости р-n перехода от приложенного к нему обратного напряжения имеет степенной характер вида С=U-n , где значение параметра n может находиться в пределах от 0,33 до 0,5 (определяется технологией изготовления перехода). На рис. 10 показана типовая вольт-фарадная характеристика варикапа Д902, построенная в линейных координатах. Подобные характеристики можно найти в справочной литературе. Они позволяют определить емкость варикапа при различных значениях напряжения смещения.

Рисунок 10. Типовая вольт-фарадная характеристика варикапа Д902
Однако предпочтительнее иметь дело с вольт-фарадной характеристикой варикапа, построенной в "двойном" (т. е. по обеим осям) логарифмическом масштабе. Известно, что степенная функция выглядит в таком масштабе как прямая линия, причем тангенс угла ее наклона к оси ординат численно равен показателю степени функции. На рис. 11 показан этот график для варикапа Д902. Измерив обычной линейкой стороны прямоугольного треугольника ABC, получаем для модуля показателя степени значение 0,5 (АВ/ВС). Падающий характер характеристики говорит о том, что этот показатель имеет минусовой знак. Таким образом, зависимость емкости варикапа Д902 от приложенного напряжения имеет вид С=U-0,5 .

Рисунок 11. Вольт-фарадной характеристика варикапа, построенной в «двойном» логарифмическом масштабе
Сказанное выше относится к «классическим» варикапам. Для увеличения эффективности управления современными варикапами при их изготовлении принимают специальные технологические меры, поэтому и вольт-фарадные характеристики могут иметь уже не столь простой вид.
Поскольку вольт-фарадная характеристика варикапа нелинейна, его использование в аппаратуре неизбежно приводит к появлению искажений. Немецкий радиолюбитель Ульрих Граф провел измерения интермодуляционных искажений второго и третьего порядков в различных полосовых фильтрах, содержащих полупроводниковые диоды. Он подавал на вход фильтра (входное сопротивление 50 Ом) два сигнала с уровнем +3 дБ (10 мВ на сопротивлении 50 Ом) и анализировал спектр выходного сигнала. Значения частоты входных сигналов Граф выбирал так, чтобы продукты интермодуляции попадали в полосу пропускания фильтра.
В одном из экспериментов в двуконтурном входном полосовом фильтре постоянные конденсаторы, входящие в колебательные контуры, были заменены варикапами. Интермодуляционные составляющие второго порядка на выходе фильтра при этом возросли по уровню на 10 дБ, а третьего - почти на 50 дБ!
Иными словами, варикапы во входных цепях приемников способны ухудшить их реальную избирательность, хотя, скорее всего, они так "сработают" лишь в аппаратуре относительно высокого класса (связная техника). Впрочем, и в приемнике среднего класса интермодуляция на входном варикапе может стать существенной, если приемник эксплуатируют вблизи передающих устройств.
Светодио́д или светоизлучающий диод (СД , LED англ. Light - emitting diode ) - полупроводниковый прибор, излучающий некогерентный свет при пропускании через него электрического тока. Излучаемый свет лежит в узком диапазоне спектра, его цветовые характеристики зависят от химического состава использованного в нем полупроводника. Считается, что первый светодиод, излучающий свет в видимом диапазоне спектра, был изготовлен в 1962 году в Университете Иллинойса группой, которой руководил Ник Холоньяк.

Рисунок 12. Обозначение светодиода в электрических схемах
Как и в любом полупроводниковом диоде, в светодиоде имеется p-n переход. При пропускании электрического тока в прямом направлении, носители заряда — электроны и дырки — рекомбинируют с излучением фотонов (из-за перехода электронов с одного энергетического уровня на другой).
Не всякие полупроводниковые материалы эффективно испускают свет при рекомбинации. Лучшие излучатели относятся к прямозонным полупроводникам (т. е. таким, в которых разрешены прямые оптические переходы зона-зона), типа AIII BV (например, GaAs или InP) и AII BVI (например, ZnSe или CdTe). Варьируя состав полупроводников, можно создавать светодиоды для всевозможных длин волн от ультрафиолета (GaN) до среднего инфракрасного диапазона (PbS).
Диоды, сделанные из непрямозонных полупроводников (например, кремния, германия или карбида кремния), свет практически не излучают. Впрочем, в связи с развитием кремниевой технологии, активно ведутся работы по созданию светодиодов на основе кремния. В последнее время большие надежды связываются с технологией квантовых точек и фотонных кристаллов.
По сравнению с другими электрическими источниками света (преобразователями электроэнергии в электромагнитное излучение видимого диапазона), светодиоды имеют следующие отличия:
· Высокий КПД. Современные светодиоды уступают по этому параметру только люминесцентной лампе с холодным катодом (CCFL).
· Высокая механическая прочность, вибростойкость (отсутствие спирали и иных чувствительных составляющих).
· Длительный срок службы. Но и он не бесконечен - при длительной работе и/или плохом охлаждении происходит "отравление" кристалла и постепенное падение яркости.
· Специфический спектральный состав излучения. Спектр довольно узкий. Для нужд индикации и передачи данных это - достоинство, но для освещения это недостаток. Более узкий спектр имеет только лазер.
· Малая инерционность.
· Малый угол излучения - также может быть как достоинством, так и недостатком.
· Низкая стоимость.
· Безопасность - не требуются высокие напряжения.
· Нечувствительность к низким и очень низким температурам. Однако, высокие температуры противопоказаны светодиоду, как и любым полупроводникам.
· Отсутствие ядовитых составляющих (ртуть и др.) и, следовательно, лёгкость утилизации.
Применение
1. В уличном, промышленном, бытовом освещении.
2. В качестве индикаторов, в виде одиночных светодиодов (например индикатор включения на панели прибора) так и в виде цифрового или буквенно-цифрового табло (например цифры на часах)
3. Массив светодиодов используется в больших уличных экранах, в бегущих строках. Такие массивы часто называют кластеры светодиодов, светодиодные кластеры, или просто кластеры.
4. В оптопарах
5. Мощные светодиоды используются как источник света в фонарях и светофорах
6. Светодиоды используются в качестве источников модулированного оптического излучения (передача сигнала по оптоволокну, пульты ДУ, светотелефоны)
7. В подсветке ЖК экранов (мобильные телефоны, мониторы, телевизоры и т. д.)
8. В играх, игрушках, значках, USB-устройствах, и других гаджетах.
9. В светодиодных дорожных знаках
Фотодио́д — приёмник оптического излучения, который преобразует попавший на его фоточувствительную область свет в электрический заряд за счёт процессов в p-n-переходе.

Рисунок 13. Обозначение на схемах

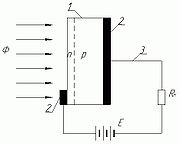
Рисунок 14. Структурная схема фотодиода. 1 — кристалл полупроводника; 2 — контакты; 3 — выводы; Ф — поток электромагнитного излучения; Е — источник постоянного тока; RH — нагрузка.
Фотодиод, работа которого основана на фотовольтаическом эффекте (разделение электронов и дырок в p- и n- области, за счёт чего образуется заряд (ЭДС)) называется солнечным элементом. Кроме p-n фотодиодов существуют и p-i-n фотодиоды, в которых между слоями p- и n- находится слой изолятора i. p-n и p-i-n фотодиоды только преобразуют свет в электрический ток, но не усиливают его, в отличие от лавинных фотодиодов и фототранзисторов.
Принцип работы

Рисунок 15. Структурная схема фотодиода. 1 — кристалл полупроводника; 2 — контакты; 3 — выводы; Ф — поток электромагнитного излучения; Е — источник постоянного тока; RH — нагрузка.
При воздействии квантов излучения в базе происходит генерация свободных носителей, которые устремляются к границе p-n-перехода. Ширина базы (n-область) делается такой, чтобы дырки не успевали рекомбинировать до перехода в p-область. Ток фотодиода определяется током неосновных носителей — дрейфовым током. Быстродействие фотодиода определяется скоростью разделения носителей полем p-n-перехода и ёмкостью p-n-перехода Cp-n
Фотодиод может работать в двух режимах:
· фотогальванический — без внешнего напряжения
· фотодиодный — с внешним обратным напряжением
Особенности:
· простота технологии изготовления и структур
· сочетание высокой фоточувствительности и быстродействия
· малое сопротивление базы
· малая инерционность
Параметры:
· чувствительность. Отражает изменение электрического состояния на выходе фотодиода при подаче на вход единичного оптического сигнала. Количественно чувствительность измеряется отношением изменения электрической характеристики, снимаемой на выходе фотоприёмника, к световому потоку или потоку излучения, его вызвавшему.
;
— токовая чувствительность по световому потоку
;
— вольтаическая чувствительность по энергетическому потоку
· шумы. Помимо полезного сигнала на выходе фотодиода появляется хаотический сигнал со случайной амплитудой и спектром — шум фотодиода. Он не позволяет регистрировать сколь угодно малые полезные сигналы. Шум фотодиода складывается из шумов полупроводникового материала и фотонного шума.
Характеристики:
· вольт-амперная характеристика (ВАХ) зависимость выходного напряжения от входного тока. U Φ = f (I Φ )
· спектральные характеристики : зависимость фототока от длины волны падающего света на фотодиод. Она определяется со стороны больших длин волн шириной запрещённой зоны, при малых длинах волн большим показателем поглощения и увеличения влияния поверхностной рекомбинации носителей заряда с уменьшением длины волны квантов света. То есть коротковолновая граница чувствительности зависит от толщины базы и от скорости поверхностной рекомбинации. Положение максимума в спектральной характеристике фотодиода сильно зависит от степени роста коэффициента поглощения.
· световые характеристики
· зависимость фототока от освещённости, соответствует прямой пропорциональности фототока от освещённости. Это обусловлено тем, что толщина базы фотодиода значительно меньше диффузионной длины неосновных носителей заряда. То есть практически все неосновные носители заряда, возникшие в базе, принимают участие в образовании фототока.
· постоянная времени это время, в течение которого фототок фотодиода изменяется после освещения или после затемнения фотодиода в е раз (63 %) по отношению к установившемуся значению.
· темновое сопротивление сопротивление фотодиода в отсутствие освещения.
· инерционность
Классификация
1. p-i-n фотодиод. В p-i-n структуре средняя i-область заключена между двумя областями противоположной проводимости. При достаточно большом напряжении оно пронизывает i-область, и свободные носители, появившееся за счет фотонов при облучении, ускоряются электрическим полем p-n переходов. Это дает выигрыш в быстродействии и чувствительности. Повышение быстродействия в p-i-n фотодиоде обусловлено тем, что процесс диффузии заменяется дрейфом электрических зарядов в сильном электрическом поле. Уже при Uобр ≈0.1В p-i-n фотодиод имеет преимущество в быстродействии.
Достоинства:
1) есть возможность обеспечения чувствительности в длинноволновой части спектра за счет изменения ширины i-области.
2) высокая чувствительность и быстродействие
3) малое рабочее напряжение Uраб
Недостатки: сложность получения высокой чистоты i-области
2. Фотодиод Шоттки (фотодиод с барьером Шоттки). Структура металл-полупроводник. При образовании структуры часть электронов перейдет из металла в полупроводник p-типа.
3. Лавинный фотодиод. В структуре используется лавинный пробой. Он возникает тогда, когда энергия фотоносителей превышает энергию образования электронно-дырочных пар. Очень чувствительны. Для оценки существует коэффициент лавинного умножения:
![]()

Для реализации лавинного умножения необходимо выполнить два условия:
1) Электрическое поле области пространственного заряда должно быть достаточно большим, чтобы на длине свободного пробега электрон набрал энергию, большую, чем ширина запрещённой зоны:
![]()
2) Ширина области пространственного заряда должна быть существенно больше, чем длина свободного пробега:
W > > λ
Значение коэффициентов внутреннего усиления составляет M=10-100 в зависимости от типа фотодиодов.
4. Фотодиод с гетероструктурой. Гетеропереходом называют слой, возникающий на границе двух полупроводников с разной шириной запрещённой зоны. Один слой р+ играет роль «приёмного окна». Заряды генерируются в центральной области. За счет подбора полупроводников с различной шириной запрещённой зоны можно перекрыть весь диапазон длин волн. Недостаток — сложность изготовления.
Берман Л. С. Введение в физику варикапов, Л., 1968.
Берман Л. С. Нелинейная полупроводниковая ёмкость. - М., 1963.
Выпрямительные диоды, диодные мосты и области их применения // http://www.gaw.ru/html.cgi/txt/publ/igbt/diodes.htm
Полупроводниковые приборы. Диоды выпрямительные, стабилитроны, тиристоры: Справочник / Под ред. А.В. Голомедова. – М.: Радио и связь, 1988.

