| Скачать .docx |
Реферат: Расчёт полупроводникового выпрямител
Задача № 13
« РАСЧЕТ ПОЛУПРОВОДНИКОВОГО ВЫПРЯМИТЕЛЯ»
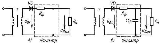
Для питания электронного термометра от однофазной сети частотой f= 50 Гц используется однополупериодный выпрямитель, преобразующий переменное напряжение (АС) - в постоянное (DС). Он состоит (рис. 13, а) из понижающего трансформатора Т; полупроводникового диода VD ; Г -образного сглаживающего RС-фильтра. Нагрузкой выпрямителя является активное сопротивление R п
и

R С-фильтр обрыв Сф осциллограмма напряжении U В
а) 6) в)
Задание.
1) для любого промышленного адаптера к электронному устройству (калькулятор, радиоприемник, телефон, плеер, принтер и т.д.) нарисовать эскиз конструкции и кратко описать его работу;
2) построить для двух периодов (t = 0,04 c) графики напряжения на выходе выпрямителя без сглаживающего фильтра, первых четырех членов ряда Фурье разложения функции напряжения (как принято в таких случаях, ось абсцисс разметить в градусах (x = 180ωt /π));
3) построить график суммы первых четырех членов ряда Фурье;
4) вычислить коэффициент пульсаций напряжений на выходе сглаживающего фильтра при обрыве проводов конденсатора (неисправный фильтр);
5) вычислить коэффициент пульсаций напряжений на выходе сглаживающего фильтра при подключенном конденсаторе (исправный фильтр).
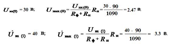
Исходные данные: (9.0) СФ ,мкФ=1, RФ, Ом=1000, RП, кОм=90, Uвх max,В= 45.
Решение.
Пункт 1. Конструкция промышленного адаптера типа ХМ-318.
Параметры адаптера:
UВХ = ~220В; f=50...60Г;
UВЫХ = 3... 12В; IВЫХ МАХ =0,5 А.
Внутри корпуса находится трансформатор, выпрямитель и
фильтр.
![]() |
Снаружи - вилка для включения в сеть 220 В, переключатель UВЫХ = -3-4,5-6-7,5-9-12 В, шнур с набором разъемов для подключения потребителей.
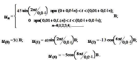
Пункт 2. Формула разложение в ряд Фурье.
=45(5,31 + 0,5 *sin wt - 4 * соs2 wt – 1.5 * сos4 wt)
= (30 +40 sin wt – 13) • соs 2wt - 5 соs 4wt)B.
В прямоугольной системе координат ( y = u ; x = 180ωt /π) строим графики (см. рис. п13.1.2) следующих функций:


Рис. п13.1.2 – Графики напряжения U Н и первых 4 членов ряда Фурье
Пункт 3. Построение графика суммы первых четырех членов ряда Фурье разложения функции напряжения U Н выполняем графоаналитическим методом, для чего находим суммы ординат всех графиков разложения с шагом 0,001с. Полученные точки соединяем между собой с использованием лекала (рис. п13.2.1).

Рис. п13.2.1. График суммы первых 4 членов ряда Фурье
Пункт.4.

а – схема при обрыве цепи конденсатора С ф ;
б – схема с исправным фильтром
Рис. п13.3.1. Выпрямитель с RC -фильтром
u = (30+40 sinωt ) = (30+40 sin(2πft )) = (30+40 sin(314t )) В.
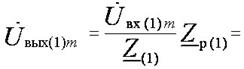
pвх = Uвх (1) m /Uвх (0) = 40/30 = 1,3.
p вых = U вых (1) m /U вых (0) .
p вых. С=0 = U вых (1) m /U вых (0) = 3.3/2.47=1.3
Пункт 5.





p вых = U вых (1) m /U вых (0) = 8.52/2.47= 3.4
