| Скачать .docx |
Реферат: Модуляция
Модуляция. Модулированные колебания.
1) Пусть есть сигнал ![]()
если
- константы Þ чисто гармонический "не модулированный" сигнал - т.н. несущую с частотой ![]()
Если
или
подвергаются медленному (в сравнении с
) изменению, то сигнал называют модулированным. Низкочастотный сигнал, задающий это изменение, называют модулирующим. Процесс формирования модулированного сигнала называют модуляцией.
Изменение при модуляции амплитуды
- это амплитудная модуляция (АМ)
Изменение при модуляции угла
- это угловая модуляция; ее делят на
частотную модуляцию (изменение частоты
) и фазовую (изменение фазы
)
В общем случае модуляция превращает гармонический сигнал в негармонический (при любом способе модуляции). Если полоса модулирующего сигнала
, то полоса модулированного сигнала ![]()
------------------------------------------------------------------------------------------------------
2) Амплитудная модуляция. Амплитудно-модулированные колебания.
Здесь :
- несущая
- "смещенный" модулирующий сигнал
(будет огибающей при
)
- амплитудно-модулированный сигнал

нормальная модуляция перемодуляция (искажение огибающей)
при
Но: мощность
Þ если в отсутствии модуляции (т.е. при
) мощность передатчика
, то при модуляции
Þ
при ![]()
Þ
при ![]()
Средняя мощность ![]()
Þ
при
Þ
не очень выгодная модуляция, т.к. пиковая мощность
, а средняя мощность только
; достоинство - простота модуляции и демодуляции (детектирование)
Спектр АМ сигнала вычисляли :
![]()
верхняя и нижняя боковые частоты с ![]()
- и полоса сигнала расширилась до
(!)
В пределе (
)
Þ мощность в боковых полосах
Для сложного модулирующего сигнала - свертка в частотной области ! - т.к. есть перемножение во временной области ![]()
- симметрично по ![]()
- спектр несущей
- спектр АМ сигнала
Недостатки АМ - удвоение полосы сигнала и потери мощности на несущую (не содержит информации, но излучается даже без модуляции !), плохое использование выходного каскада передатчика.
Варианты:
------------------------------------------------------------------------------------------------------
DSB-модуляция (double-sideband)


![]()
- соответствует АМ при ![]()
- полоса удваивается, но экономится мощность
(нет потерь на несущую)
Для передатчика с заданной
имеем
(ранее для АМ имели
при
)
При простоте модулятора существенный недостаток DSB - крайняя сложность демодуляции.
------------------------------------------------------------------------------------------------------
SSB - модуляция (single-sideband)

- достоинство - минимально возможная полоса (= полосе модулирующего сигнала), высокий КПД (нет несущей), эффективное использование мощности передатчика ![]()
Недостаток - сложность модулятора; зато - простота демодуляции :

Но: в приемнике надо иметь очень стабильный генератор ![]()
Сейчас - SSB - основной тип модуляции для связи в КВ диапазоне (3-30MHz).
------------------------------------------------------------------------------------------------------
3) Угловая модуляция - два связанных варианта - частотная модуляция (ЧМ) и фазовая модуляция (ФМ).
Пусть имеем сигнал вида
с фазой
, в общем случае зависящей от времени
Если
- то это гармонический сигнал с
Если
- имеем линейный по времени набег фазы - эквивалентно
Þ колебания с линейно нарастающей фазой есть колебания со смещенной частотой - т.к. есть связь
и ![]()
В общем случае
, полная фаза колебаний
, а мгновенная частота ![]()
------------------------------------------------------------------------------------------------------
Пусть мы воздействуем модулирующим сигналом
на мгновенную частоту так, что
(
- крутизна частотной модуляции, или коэффициент преобразования напряжение-частота)
Если
, то
- т.н. девиация частоты (ее максимальное отклонение)
Тогда
Þ
Þ модуляция частоты в пределах
чистым тоном частоты
есть модуляция фазы в пределах
тем же тоном.
Величина
- индекс модуляции (максимальное отклонение фазы); определяется только девиацией и модулирующей частотой
------------------------------------------------------------------------------------------------------
Обратно, если чистым тоном модулируется фаза так, что
, то
или
с ![]()
Þ для модуляции чистым тоном фазовая и частотная модуляции эквивалентны
------------------------------------------------------------------------------------------------------
Но: в общем случае эквивалентности нет - например, если ![]()
Для ЧМ имеем фиксированный сдвиг частоты
Þ линейно нарастающий сдвиг фазы ![]()
Для ФМ имеем постоянный сдвиг фазы
Þ
- частота не изменяется
------------------------------------------------------------------------------------------------------
Для определения спектра ЧМ (ФМ) сигнала при гармонической модуляции распишем:
Если модуляция не глубокая (
), то
![]()
Þ

Т.о. при
спектр мощности точно соответствует АМ - три линии в спектре :
- но фаза нижней боковой полосы сдвинута (по отношению к АМ) на 180 градусов - как следствие, биения возникают не в амплитуде, а в фазе сигнала
Амплитуда боковых полос в
раз меньше амплитуды несущей Þ общая мощность в боковых полосах =
; но достоинство - полная мощность сигнала не меняется
При увеличении индекса модуляции
возникают ряды
![]()
Þ
в спектре ЧМ (ФМ) появляются частоты ![]()
При больших
ширина спектра
, причем несущая подавлена до уровня остальных составляющих :

Основное применение ЧМ - высококачественное радиовещание (при девиации частоты ~100KHz - т.е. с
) в диапазоне УКВ (60-100MHz) и в каналах передачи звука в телевещании. Причина - низкая чувствительность к паразитной амплитудной модуляции и к помехам.

------------------------------------------------------------------------------------------------------
Простейший способ ЧМ-модуляции - прямое воздействие на частоту генератора:
------------------------------------------------------------------------------------------------------
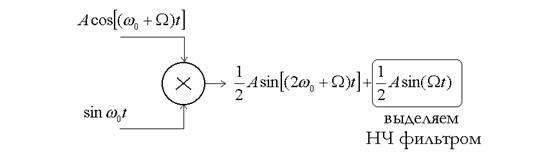
Детектирование:
а) простейший вариант: ЧМ®АМ

б) стандартный способ:

Пусть на входе
Фазовый фильтр вносит сдвиг фазы
- линейный по ![]()
Тогда 
На выходе перемножителя 
После НЧ-фильтра частота
подавлена и выходной НЧ-сигнал будет

- крутизна преобразования частота-напряжение
------------------------------------------------------------------------------------------------------
Фазовое детектирование (демодуляция)
Как выяснили,
Þ подав ФМ-сигнал на ЧМ-детектор, на выходе получим производную от модулирующего сигнала Þ введя далее интегрирующее звено, получим ФМ-детектор:
- интегратор одновременно будет выполнять функции НЧ-фильтра (давит высокочастотные составляющие)