| Скачать .docx |
Реферат: Джерела живлення
МІНІСТЕРСТВО ОСВІТИ І НАУКИ УКРАЇНИ
КРАСНОДОНСЬКИЙ ПРОМИСЛОВО ЕКОНОМІЧНИЙ КОЛЕДЖ
Реферат
з предмету
Схемотехніка
На тему
Джерела живлення
Студента групи 1ОКІСМ-06
Петренко Михайла
Перевірила: Дрокіна Т.М.
Краснодон 2009
ПЛАН
Вступ
1. Джерело живлення з гальванічною розв'язкою від мережі на оптронів
2. Мікропотужний стабілізатор з малим споживанням
3. Джерела живлення з розділовими конденсаторами
4. Джерела живлення з розділовими конденсаторами
5. Лінійне джерело живлення
6. Стабілізатор зі струмом навантаження до 5А
7. ІМПУЛЬСНІ ДЖЕРЕЛА живлення
8. Ефективний імпульсний стабілізатор низького рівня складності
ВСТУП
Перша проблема, з якою при конструюванні будь-яких пристроїв стикаються і початківці і досвідчені радіоаматори - це проблема електроживлення. У цій главі будуть розглянуті різноманітні мережеві джерела живлення (мікропотужний, середньої потужності, потужні). При виборі і розробці джерела живлення (далі ІП) необхідно враховувати ряд факторів, що визначаються умовами експлуатації, властивостями навантаження, вимогами до безпеки і т.д.
Досить прості у виготовленні і експлуатації вторинні імпульсні перетворювачі напруги, їх відрізняє простота виготовлення і дешевизна комплектуючих. Економічно і технологічно виправдане конструювати ІП за схемою вторинного імпульсного перетворювача для пристроїв з струмом споживання 1-5 А, для безперебійних ІП до систем відеоспостереження та охорони, для підсилювачів низької частоти, радіостанцій, зарядних пристроїв. Краща відмінна риса вторинних перетворювачів перед лінійними - масогабаритні характеристики випрямляча, фільтра, перетворювача, стабілізатора. Проте їх вирізняє великий рівень перешкод, тому при конструюванні необхідно приділити увагу екрануванню і придушення високочастотних складових у шині живлення. Останнім часом набули досить широке поширення імпульсні ИП, побудовані на основі високочастотного перетворювача з без трансформаторним входом. Ці пристрої, харчуючись від промислової мережі ~ 110В/220В, не містять у своєму складі громіздких низькочастотних силових трансформаторів, а перетворення напруги здійснюється високочастотним перетворювачем на частотах 20-400 кГц. Такі джерела живлення володіють на порядок кращими масогабаритными показниками в порівнянні з лінійними, а їх ККД може досягати 90% і більше. ІП з високочастотним імпульсним перетворювачем істотно поліпшують багато характеристик пристроїв, що живляться від цих джерел, і можуть застосовуватися практично в будь-яких радіоаматорських конструкціях. Однак їх відрізняє достатньо високий рівень складності, високий рівень перешкод у шині живлення, низька надійність, висока собівартість, недоступність деяких компонентів. Таким чином, необхідно мати дуже вагомі підстави для застосування імпульсних ІП на основі високочастотного перетворювача в аматорській апаратурі (у промислових пристроях це в більшості випадків виправдано). Такими підставами можуть служити: вірогідність коливань напруги на межах ~ 100-300 В. можливість створювати ІП з потужністю від десятків ват до сотень кіловат на будь-які вихідні напруги, поява доступних високотехнологічних рішень на основі ІМС та інших сучасних компонентів.
1. ДЖЕРЕЛО ЖИВЛЕННЯ З ГАЛЬВАНІЧНОЮ РОЗВ'ЯЗКОЮ ВІД МЕРЕЖІ НА ОПТРОНІВ
Мікропотужний ІП з гальванічною розв'язкою від мережі ~ 220 В можна виконати із застосуванням оптронів, включивши їх послідовно для збільшення вихідної напруги (рис. 3.2-1.). Перенесення енергії здійснюється за допомогою однонаправленої світлового потоку всередині Оптрон (Оптрон містить світловипромінювальних і поглинає матеріалів), таким чином, гальванічної зв'язку з мережею не виникає. На одній оптопари виділяється 0,5-0,7 В для АОД101. АОД302 і 4 В-для АОТ102, АОТ110 (притоці 0,2 мА). Для забезпечення необхідних значень напруги та струму оптопари включаються послідовно або паралельно. В якості буферного накопичується елемента можна використовувати іоністор, акумулятор або ємність на 100-1000 мкФ. Світлодіоди живиться через ємність не більше 0.2 мкФ щоб уникнути руйнування. Необхідно пам'ятати, що ефективність оптронів падає з часом (приблизно на 25% за 15000 годин роботи).

2. МІКРОПОТУЖНИЙ СТАБІЛІЗАТОР З МАЛИМ СПОЖИВАННЯМ
У деяких радіоаматорських конструкціях потрібні мікропотужний стабілізатори, що споживають в режимі стабілізації мікроампери. На рис. 3.2-4 приведена принципова схема такого стабілізатора з внутрішнім струмом споживання 10 мкА і струмом стабілізації 100 мА. Для зазначених на схемі елементів напруга стабілізації становить Uвых = 3.4 В, для його зміни замість світлодіоди HL1 можна включити послідовно діоди КД522 (на кожному падіння напруги складає 0.7 В: на транзисторах

VT2 - 0,3 В). Вхідна напруга даного стабілізатора (Uвх) не більше 30 В. Чи повинні застосовуватися транзистори з максимальним коефіцієнтом підсилення.
3. ДЖЕРЕЛА ЖИВЛЕННЯ З РОЗДІЛОВИМИ КОНДЕНСАТОРАМИ
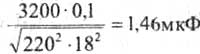
У мікропотужний джерелах живлення з гальванічною зв'язком з промисловою мережею звичайно застосовуються т.зв. розділові конденсатори, які являють собою не що інше, як шунтуючі опору, що включаються послідовно в ланцюг живлення. Відомо, що конденсатор, встановлений в колі змінного струму, володіє опором, що залежить від частоти і називається реактивним. Ємність конденсатора роздільник (за умови застосування в промисловій-мережі ~ 220 В, 50 Гц) можна розрахувати за такою формулою:

Для прикладу: зарядний пристрій для нікель-кадмієвих акумуляторів 12В ємністю
1 А / ч може бути що живиться від мережі через розділовий конденсатор. Для нікель-кадмієвих акумуляторів зарядний струм складає 10% від номіналу, тобто 100 мА в нашому випадку. Далі, з огляду на падіння напруги на стабілізаторі порядку 3-5 в, отримуємо, що на вході зарядного пристрою необхідно забезпечити напругу ~ 18 В при робочому струмі 100 мА. Підставляючи ці дані, отримуємо:


Таким чином, вибираємо С = 1,5 мкФ з подвоєним робочою напругою 500 В (можуть застосовуватися конденсатори типів: МБМ, МГБП, МБТ).
Повна схема зарядного пристрою з розділовим конденсатором наведена на рис. 3.2-2. Пристрій придатне для зарядки акумуляторів струмом не більше 100 мА при напрузі заряду не більш 15В. Подстроєчним резистором R2 встановлюють необхідне значення напруги заряду. R1 виконує роль обмежувача струму на початку заряду, а що виділяється на ньому напруга подається на світлодіод. По інтенсивності світіння світлодіоди можна судити - наскільки розряджена АКБ.

При експлуатації цього джерела живлення (і будь-яких інших ВП без гальванічної розв'язки з мережею) необхідно пам'ятати про заходи безпеки. Пристрій і заряджається батарея весь час знаходяться під потенціалом промислової мережі. У деяких випадках такі обмеження унеможливлюють нормальну експлуатації пристроїв, тому доводиться забезпечувати гальванічну розв'язку ІП від мережі. Малопотужний джерело живлення з розділовим конденсатором, але з гальванічною розв'язкою від промислової мережі можна виготовити на основі перехідного трансформатора або реле магнітного пускача, причому їх робоча напруга може бути і нижче 220 В. На рис. 3.2-3 показана принципова схема такого джерела живлення. Ємність розділового конденсатора розраховується з урахуванням параметрів трансформатора (тобто, знаючи коефіцієнт трансформації. Спочатку розраховують напругу, що необхідно забезпечити на вході трансформатора, а потім, переконавшись у допустимості такої напруги для застосовуваного трансформатора, розраховують параметри конденсатора). Потужність, що віддається таким джерелом живлення, цілком може живити квартирний дзвінок, приймач, аудіоплеєр.

4. ДЖЕРЕЛА ЖИВЛЕННЯ З РОЗДІЛОВИМИ КОНДЕНСАТОРАМИ
У мікропотужний джерелах живлення з гальванічною зв'язком з промисловою мережею звичайно застосовуються т.зв. розділові конденсатори, які являють собою не що інше, як шунтуючі опору, що включаються послідовно в ланцюг живлення. Відомо, що конденсатор, встановлений в колі змінного струму, володіє опором, що залежить від частоти і називається реактивним. Ємність конденсатора роздільник (за умови застосування в промисловій-мережі ~ 220 В, 50 Гц) можна розрахувати за такою формулою:

Для прикладу: зарядний пристрій для нікель-кадмієвих акумуляторів 12В ємністю
1 А / ч може бути що живиться від мережі через розділовий конденсатор. Для нікель-кадмієвих акумуляторів зарядний струм складає 10% від номіналу, тобто 100 мА в нашому випадку. Далі, з огляду на падіння напруги на стабілізаторі порядку 3-5 в, отримуємо, що на вході зарядного пристрою необхідно забезпечити напругу ~ 18 В при робочому струмі 100 мА. Підставляючи ці дані, отримуємо:


Таким чином, вибираємо С = 1,5 мкФ з подвоєним робочою напругою 500 В (можуть застосовуватися конденсатори типів: МБМ, МГБП, МБТ).
Повна схема зарядного пристрою з розділовим конденсатором наведена на рис. 3.2-2. Пристрій придатне для зарядки акумуляторів струмом не більше 100 мА при напрузі заряду не більш 15В. Подстроєчним резистором R2 встановлюють необхідне значення напруги заряду. R1 виконує роль обмежувача струму на початку заряду, а що виділяється на ньому напруга подається на світлодіод. По інтенсивності світіння світлодіоди можна судити - наскільки розряджена АКБ.

5. ЛІНІЙНЕ ДЖЕРЕЛО ЖИВЛЕННЯ
В даний час традиційні лінійні джерела живлення все більше витісняються імпульсними. Однак, незважаючи на це, вони продовжують залишатися досить зручним і практичним рішенням у більшості випадків радіоаматорського конструювання (іноді й у промислових пристроях). Причин цього кілька: по-перше, лінійні джерела живлення конструктивно досить прості і легко настроюються, по-друге, вони не вимагають застосування дорогих високовольтних компонентів і, нарешті, вони значно надійніше імпульсних ВП. Типовий лінійний ІП містить у своєму складі: мережний понижуючий трансформатор, діодний міст з фільтром і стабілізатор, який перетворює нестабілізованим напруга, що отримується з вторинної обмотки трансформатора через діодний міст і фільтр, у вихідне стабілізоване напруга, причому, це вихідна напруга завжди нижче нестабілізованим вхідної напруги стабілізатора. Основним недоліком такої схеми є низький ККД і необхідність резервування потужності практично в усіх елементах пристрою (тобто потрібна установка компонентів допускають великі навантаження, ніж передбачувані для ВП у цілому, наприклад, для ІП потужністю 10 Вт потрібно трансформатор потужністю не менше 15 Вт та тощо). Причиною цього є принцип по якому функціонують стабілізатори лінійних ВП. Він полягає в розсіюванні на регулюючому елементі деякої потужності
Ppac = Iнагр * (Uвх - Uвых)
З формули випливає, що чим більша різниця між вхідним і вихідним напругою стабілізатора, тим більшу потужність необхідно розсіювати на регулюючому елементі. З іншого боку, чим більш нестабільно вхідна напруга стабілізатора, і чим більше воно залежить від зміни струму навантаження, тим більш високим воно має бути по відношенню до вихідною напругою. Таким чином видно, що стабілізатори лінійних ІП функціонують у досить вузьких рамках допустимих вхідних напруг, причому ці рамки ще звужуються при пред'явленні жорстких вимог до ККД пристрою. Зате досягаються в лінійних ІП ступінь стабілізації і придушення імпульсних перешкод набагато перевершують інші схеми. Розглянемо трохи докладніше застосовувані в лінійних ІП стабілізатори. Найпростіші (т.зв. параметричні) стабілізатори засновані на використанні особливостей вольт-амперних характеристик деяких напівпровідникових приладів - в основному, стабілітронів. Їх відрізняє висока вихідний опір. невисокий рівень стабілізації і низький ККД. Такі стабілізатори застосовуються тільки при малих навантаженнях, звичайно - як елементи схем (наприклад, як джерела опорного напруги). Приклади параметричних стабілізаторів та формули для розрахунку наведено на рис. 3.3-1.
Послідовні прохідні лінійні стабілізатори відрізняються наступні характеристики: напруга на навантаженні не залежить від вхідної напруги і струму навантаження, допускаються високі значення струму навантаження, забезпечується високий коефіцієнт стабілізації і мале вихідний опір. Структурна схема типового лінійного стабілізатора представлена на рис. 3.3-2. Основний принцип на якій базується його робота - порівняння вихідної напруги з деяким стабілізованою опорною напругою і управління на основі результатів цього порівняння головним силовим елементом стабілізатора (на структурній схемі-Т.Н. прохідний транзистор VT1, що працює в лінійному режимі, але це може бути і група компонентів), на якому і розсіюється надлишкова потужність (див. наведену вище формулу). У більшості випадків радіоаматорського конструювання як джерела живлення пристроїв можуть застосовуватися лінійні ІП на основі мікросхем лінійних стабілізаторів серії К (КР) 142. Вони мають дуже хорошими параметрами, мають вбудовані ланцюга захисту від перевантажень, ланцюги Термокомпенсаціі тощо, легко доступні і прості в застосуванні (більшість стабілізаторів цієї серії повністю реалізовані всередині ІС, які (мають усього три висновки). Однак при конструюванні лінійних ІП великої потужності (25-100 Вт) потрібен більш тонкий підхід, а саме: застосування спеціальних трансформаторів з броньовими сердечниками (що мають більший КДП), пряме використання тільки інтегральних стабілізаторів неможливе зважаючи на недостатності їх потужності, тобто потрібні додаткові силові компоненти і , як наслідок, додаткові ланцюжка захисту від перевантаження, перегріву і перенапруги. Такі ІП виділяють багато тепла, припускають установку багатьох компонентів на великих радіаторах і, відповідно, досить габаритні; для досягнення високого коефіцієнта стабілізації вихідної напруги потрібні спеціальні схемні рішення.
